Improving Prenatal Diagnosis Precision for Congenital Clubfoot by Using Three-Dimensional Ultrasonography
Abstract
1. Introduction
2. Materials and Methods
2.1. Study Population
2.2. Demographic Characteristics
2.3. Sonographic Measurements
2.4. The Postnatal Assessment and Treatment
2.5. Statistical Analysis
3. Results
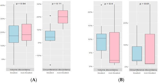
3.1. The Differences in Deviated Angle, Calf Volume, and Calf Circumference between Treated Group and Non-Treated Group
3.2. The ROC Curve for Prediction of Postnatal Treatment
3.3. Subgroup Analysis
3.3.1. The Correlation between the Number of Casts and the Degree of Deviation
3.3.2. Differences in Calf Volume and Calf Circumference Values between Two Calves with Unilateral and Bilateral Clubfoot
4. Discussion
5. Conclusions
Author Contributions
Funding
Institutional Review Board Statement
Informed Consent Statement
Data Availability Statement
Acknowledgments
Conflicts of Interest
Correction Statement
References
- Offerdal, K.; Jebens, N.; Blaas, H.G.; Eik-Nes, S.H. Prenatal ultrasound detection of talipes equinovarus in a non-selected population of 49,314 deliveries in Norway. Ultrasound Obs. Gynecol. 2007, 30, 838–844. [Google Scholar] [CrossRef] [PubMed]
- Tillett, R.L.; Fisk, N.M.; Murphy, K.; Hunt, D.M. Clinical outcome of congenital talipes equinovarus diagnosed antenatally by ultrasound. J. Bone Jt. Surg. Br. 2000, 82, 876–880. [Google Scholar] [CrossRef]
- Bar-On, E.; Mashiach, R.; Inbar, O.; Weigl, D.; Katz, K.; Meizner, I. Prenatal ultrasound diagnosis of club foot: Outcome and recommendations for counselling and follow-up. J. Bone Jt. Surg. Br. 2005, 87, 990–993. [Google Scholar] [CrossRef] [PubMed]
- Shipp, T.D.; Benacerraf, B.R. The significance of prenatally identified isolated clubfoot: Is amniocentesis indicated? Am. J. Obs. Gynecol. 1998, 178, 600–602. [Google Scholar] [CrossRef] [PubMed]
- Keret, D.; Ezra, E.; Lokiec, F.; Hayek, S.; Segev, E.; Wientroub, S. Efficacy of prenatal ultrasonography in confirmed club foot. J. Bone Jt. Surg. Br. 2002, 84, 1015–1019. [Google Scholar] [CrossRef]
- Mammen, L.; Benson, C.B. Outcome of fetuses with clubfeet diagnosed by prenatal sonography. J. Ultrasound Med. 2004, 23, 497–500. [Google Scholar] [CrossRef] [PubMed]
- Bleck, E.E. Club foot. Dev. Med. Child. Neurol. 1993, 35, 927–931. [Google Scholar] [CrossRef] [PubMed]
- Graf, A.; Hassani, S.; Krzak, J.; Long, J.; Caudill, A.; Flanagan, A.; Eastwood, D.; Kuo, K.N.; Harris, G.; Smith, P. Long-term outcome evaluation in young adults following clubfoot surgical release. J. Pediatr. Orthop. 2010, 30, 379–385. [Google Scholar] [CrossRef][Green Version]
- Chu, A.; Lehman, W.B. Treatment of Idiopathic Clubfoot in the Ponseti Era and Beyond. Foot Ankle Clin. 2015, 20, 555–562. [Google Scholar] [CrossRef]
- Ganger, R.; Radler, C.; Handlbauer, A.; Grill, F. External fixation in clubfoot treatment—A review of the literature. J. Pediatr. Orthop. B 2012, 21, 52–58. [Google Scholar] [CrossRef]
- Ferreira, R.C.; Costa, M.T. Recurrent clubfoot—Approach and treatment with external fixation. Foot Ankle Clin. 2009, 14, 435–445. [Google Scholar] [CrossRef] [PubMed]
- Hefti, F. Pediatric Orthopedics in Practice; Springer: Berlin/Heidelberg, Germany, 2007. [Google Scholar]
- Chu, A.; Labar, A.S.; Sala, D.A.; van Bosse, H.J.; Lehman, W.B. Clubfoot classification: Correlation with Ponseti cast treatment. J. Pediatr. Orthop. 2010, 30, 695–699. [Google Scholar] [CrossRef] [PubMed]
- Bergerault, F.; Fournier, J.; Bonnard, C. Idiopathic congenital clubfoot: Initial treatment. Orthop. Traumatol. Surg. Res. 2013, 99, S150–S159. [Google Scholar] [CrossRef] [PubMed]
- Treadwell, M.C.; Stanitski, C.L.; King, M. Prenatal sonographic diagnosis of clubfoot: Implications for patient counseling. J. Pediatr. Orthop. 1999, 19, 8–10. [Google Scholar] [CrossRef] [PubMed]
- Glotzbecker, M.P.; Estroff, J.A.; Spencer, S.A.; Bosley, J.C.; Parad, R.B.; Kasser, J.R.; Mahan, S.T. Prenatally diagnosed clubfeet: Comparing ultrasonographic severity with objective clinical outcomes. J. Pediatr. Orthop. 2010, 30, 606–611. [Google Scholar] [CrossRef] [PubMed]
- Brasseur-Daudruy, M.; Abu Amara, S.; Ickowicz-Onnient, V.; Touleimat, S.; Verspyck, E. Clubfoot Versus Positional Foot Deformities on Prenatal Ultrasound Imaging. J. Ultrasound Med. 2020, 39, 615–623. [Google Scholar] [CrossRef] [PubMed]
- Lanna, M.; Casati, D.; Torre, C.; Monforte, S.; Andreacchio, A.; Faiola, S.; Cetin, I.; Rustico, M. Congenital isolated clubfoot: Correlation between prenatal assessment and postnatal degree of severity. Prenat. Diagn. 2020, 40, 1547–1552. [Google Scholar] [CrossRef] [PubMed]
- Goncalves, L.F. Three-dimensional ultrasound of the fetus: How does it help? Pediatr. Radiol. 2016, 46, 177–189. [Google Scholar] [CrossRef]
- Kos, M.; Hafner, T.; Funduk-Kurjak, B.; Bozek, T.; Kurjak, A. Limb deformities and three-dimensional ultrasound. J. Perinat. Med. 2002, 30, 40–47. [Google Scholar] [CrossRef]
- Cosma, D.; Vasilescu, D.E. A Clinical Evaluation of the Pirani and Dimeglio Idiopathic Clubfoot Classifications. J. Foot Ankle Surg. 2015, 54, 582–585. [Google Scholar] [CrossRef]
- Glotzbecker, M.P.; Estroff, J.A.; Curtis, T.A.; Kalish, L.A.; Spencer, S.A.; Parad, R.B.; Kasser, J.R.; Mahan, S.T. Prospective evaluation of a prenatal sonographic clubfoot classification system. Fetal Diagn. Ther. 2013, 34, 236–240. [Google Scholar] [CrossRef] [PubMed]
- Ippolito, E.; De Maio, F.; Mancini, F.; Bellini, D.; Orefice, A. Leg muscle atrophy in idiopathic congenital clubfoot: Is it primitive or acquired? J. Child. Orthop. 2009, 3, 171–178. [Google Scholar] [CrossRef] [PubMed]
- Hershkovitz, R.; Tepper, R. Sonographic nomogram of the fetal calf between 15 and 42 weeks’ gestation using 3-dimensional sonography. J. Ultrasound Med. 2008, 27, 701–705. [Google Scholar] [CrossRef] [PubMed]
- Brazell, C.; Carry, P.M.; Jones, A.; Baschal, R.; Miller, N.; Holmes, K.S.; Georgopoulos, G. Dimeglio Score Predicts Treatment Difficulty During Ponseti Casting for Isolated Clubfoot. J. Pediatr. Orthop. 2019, 39, e402–e405. [Google Scholar] [CrossRef]
- Dimeglio, A.; Bensahel, H.; Souchet, P.; Mazeau, P.; Bonnet, F. Classification of clubfoot. J. Pediatr. Orthop. B 1995, 4, 129–136. [Google Scholar] [CrossRef]
- Lauson, S.; Alvarez, C.; Patel, M.S.; Langlois, S. Outcome of prenatally diagnosed isolated clubfoot. Ultrasound Obs. Gynecol. 2010, 35, 708–714. [Google Scholar] [CrossRef]
- Toufaily, M.H.; Westgate, M.N.; Holmes, L.B. Congenital talipes equinovarus: Frequency of associated malformations not identified by prenatal ultrasound. Prenat. Diagn. 2015, 35, 254–257. [Google Scholar] [CrossRef]
- Pagnotta, G.; Maffulli, N.; Aureli, S.; Maggi, E.; Mariani, M.; Yip, K.M. Antenatal sonographic diagnosis of clubfoot: A six-year experience. J. Foot Ankle Surg. 1996, 35, 67–71. [Google Scholar] [CrossRef]
- Carvalho, J.S.; Axt-Fliedner, R.; Chaoui, R.; Copel, J.A.; Cuneo, B.F.; Goff, D.; Gordin Kopylov, L.; Hecher, K.; Lee, W.; Moon-Grady, A.J.; et al. ISUOG Practice Guidelines (updated): Fetal cardiac screening. Ultrasound Obs. Gynecol. 2023, 61, 788–803. [Google Scholar] [CrossRef]
- Rijhsinghani, A.; Yankowitz, J.; Kanis, A.B.; Mueller, G.M.; Yankowitz, D.K.; Williamson, R.A. Antenatal sonographic diagnosis of club foot with particular attention to the implications and outcomes of isolated club foot. Ultrasound Obs. Gynecol. 1998, 12, 103–106. [Google Scholar] [CrossRef]





| Treated Group (N = 37) | Non-Treated Group (N = 10) | p | |
|---|---|---|---|
| Maternal age (years) | 32 (31–35) | 34 (30.5–35.7) | 0.514 |
| BMI (m2/kg) | 27.05 (24.5–28.9) | 28.7(26.9–9.2) | 0.475 |
| Preeclampsia | 1 (2.7%) | 1 (10%) | 0.895 |
| Gestational diabetes | 0 | 0 | NA |
| GA of US evaluation (weeks) | 25 +6 (23 + 1–27 + 3) | 26 + 4 (25 + 4–30 + 2) | 0.088 |
| Presentation before delivery | 0.407 | ||
| Cephalic | 35 (94.6%) | 8 (80%) | |
| Breech | 2 (5.4%) | 2 (20%) | |
| Transverse | 0 | 0 | |
| Cesarean delivery | 35 (67.6%) | 3 (30%) | 0.074 |
| GA of delivery (weeks) | 38 + 2 (36 + 5–39 + 3) | 38 + 2 (36 + 3–39.0) | 0.865 |
| Preterm delivery (<37 weeks) | 1 (2.7%) | 1 (10%) | 0.895 |
| Neonatal sex (male) | 21 (56.8%) | 3 (30%) | 0.252 |
| Birth weight (g) | 3120 (2810–3531) | 3037.5 (2978–3233) | 0.474 |
| Unilateral clubfoot | 12 (32.4%) | 3 (30%) | 1.000 |
| Serial cast treatment | 37 | 0 | <0.05 |
| Achilles tendon percutaneous tenotomy | 22 | 0 | <0.05 |
| Treated Group (N = 37) | Non-Treated Group (N = 10) | p | |
|---|---|---|---|
| 3D US variables | |||
| Equinus (°) | 12.1 (3.3–22.5) | 15.3 (6.4–22.0) | 0.612 |
| Varus (°) | 60.5 (50.6–71.4) | 46.6 (25.8–52.2) | 0.026 |
| Derotation of CPB (°) | 67.6 (58.2–88.2) | 26.6 (23.0–32.8) | <0.05 |
| Adduction of the forefoot (°) | 22.4 (15.9–30) | 19.7 (17.3–25.0) | 0.649 |
| Volume of calf (cm3) a | 5.16 (3.57–8.68) | 6.59 (5.7–8.18) | 0.257 |
| Circumference of calf (cm) a | 6.5 (5.79–8.03) | 7.68 (7–8.8) | 0.073 |
| 2D US variable | |||
| The angle between the long-axis of the foot and the lower leg (°) | 80 (66–100) | 95 (61–103.75) | 0.794 |
| Threshold | Sensitivity | Specificity | NPV | PPV | Accuracy | AUC |
|---|---|---|---|---|---|---|
| 46° | 0.97 | 0.90 | 0.90 | 0.97 | 0.96 | 0.98 |
Disclaimer/Publisher’s Note: The statements, opinions and data contained in all publications are solely those of the individual author(s) and contributor(s) and not of MDPI and/or the editor(s). MDPI and/or the editor(s) disclaim responsibility for any injury to people or property resulting from any ideas, methods, instructions or products referred to in the content. |
© 2024 by the authors. Licensee MDPI, Basel, Switzerland. This article is an open access article distributed under the terms and conditions of the Creative Commons Attribution (CC BY) license (https://creativecommons.org/licenses/by/4.0/).
Share and Cite
Kim, Y.-m.; Seong, J.S.; Kim, J.H.; Lee, N.M.; Choi, I.H.; Jo, Y.; Nam, G.; Kim, G.J. Improving Prenatal Diagnosis Precision for Congenital Clubfoot by Using Three-Dimensional Ultrasonography. Diagnostics 2024, 14, 117. https://doi.org/10.3390/diagnostics14010117
Kim Y-m, Seong JS, Kim JH, Lee NM, Choi IH, Jo Y, Nam G, Kim GJ. Improving Prenatal Diagnosis Precision for Congenital Clubfoot by Using Three-Dimensional Ultrasonography. Diagnostics. 2024; 14(1):117. https://doi.org/10.3390/diagnostics14010117
Chicago/Turabian StyleKim, Yoo-min, Ji Su Seong, Ji Hoi Kim, Na Mi Lee, In Ho Choi, Yejin Jo, Gina Nam, and Gwang Jun Kim. 2024. "Improving Prenatal Diagnosis Precision for Congenital Clubfoot by Using Three-Dimensional Ultrasonography" Diagnostics 14, no. 1: 117. https://doi.org/10.3390/diagnostics14010117
APA StyleKim, Y.-m., Seong, J. S., Kim, J. H., Lee, N. M., Choi, I. H., Jo, Y., Nam, G., & Kim, G. J. (2024). Improving Prenatal Diagnosis Precision for Congenital Clubfoot by Using Three-Dimensional Ultrasonography. Diagnostics, 14(1), 117. https://doi.org/10.3390/diagnostics14010117

