Features of Allostatic Load in Patients with Essential Hypertension without Metabolic Syndrome Depending on the Nature of Nighttime Decreases in Blood Pressure
Abstract
1. Introduction
2. Materials and Methods
2.1. Clinical and Laboratory Characteristics of Groups of Patients
2.2. Linear and Non-Linear Methods of ABPM Analysis
2.3. Allostatic Load Index (ALI)
2.4. Statistics
3. Results
3.1. Clinical and Laboratory Characteristics of the Groups
3.2. Drug Therapy for Groups 1 and 2
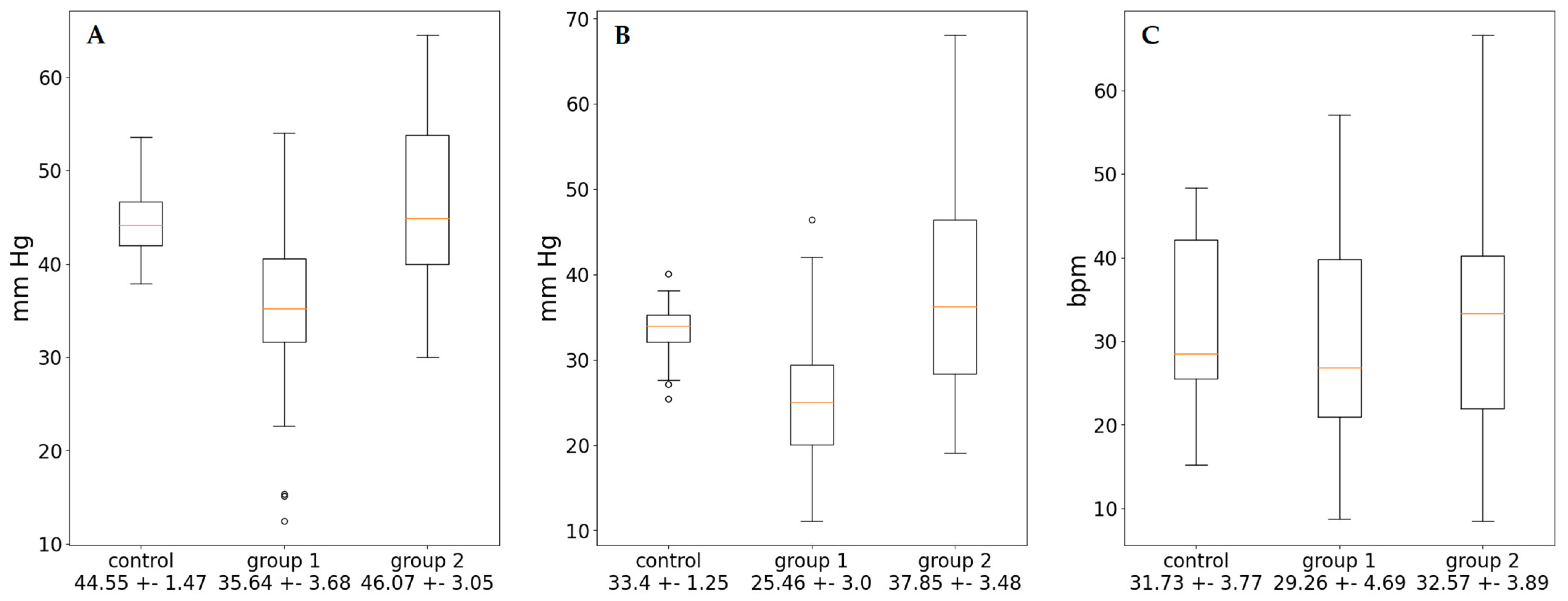
3.3. Results of Linear and Non-Linear Analysis
3.4. Assessment of ALI
4. Discussion
5. Conclusions
- Despite the ongoing antihypertensive therapy, regulation of the cardiovascular system realized within the frame of hemodynamic allostasis in patients with EH without metabolic syndrome.
- In the absence of metabolic syndrome in patients with EH, the main contribution to ALI can be made by hemodynamic parameters, which differ in their characteristics depending on the nighttime profile of BP. In particular, in group 1, the main role in the formation of allostatic load belongs to the changes in the nighttime profile of BP, and in group 2, the changes in the range of oscillations of BP are more pronounced.
- The persistence of allostatic load in the patients of both groups, considered to be low in value, allows us to raise a question concerning the effectiveness of pharmacotherapy in relation to allostasis. This approach involves assessing the adequacy of therapy not only by hemodynamic parameters but also using ALI for this purpose.
Author Contributions
Funding
Institutional Review Board Statement
Informed Consent Statement
Data Availability Statement
Conflicts of Interest
References
- Taddei, S.; Virdis, A.; Mattei, P.; Duranti, P.; Favilla, S.; Salvetti, A. Vascular renin-angiotensin system and sympathetic nervous system activity in human hypertension. J. Cardiovasc. Pharmacol. 1994, 23 (Suppl. S1), S9–S14. [Google Scholar] [CrossRef] [PubMed]
- Yang, T.; Xu, C. Physiology and pathophysiology of the intrarenal renin-angiotensin system: An update. J. Am. Soc. Nephrol. 2017, 28, 1040–1049. [Google Scholar] [CrossRef] [PubMed]
- Cohen, B.; Rivas, E.; Pu, X.; Maheshwari, K.; Araujo-Duran, J.A.; Turan, O.; Volio, A.; Yalcin, E.K.; Turan, A. Diurnal blood pressure variation in adults after abdominal surgery-An observational cohort study. J. Clin. Anesth. 2022, 77, 110633. [Google Scholar] [CrossRef] [PubMed]
- Zotova, T.Y.; Lukanina, A.A.; Blagonravov, M.L. Parameters of hemodynamic allostasis in patients of various age groups with essential arterial hypertension. Bull. Exp. Biol. Med. 2022, 173, 583–589. [Google Scholar] [CrossRef] [PubMed]
- Isaacs, A.N.; Vincent, A. Antihypertensive therapy for the prevention of nephropathy in diabetic hypertensive patients. J. Clin. Pharm. Ther. 2016, 41, 111–115. [Google Scholar] [CrossRef] [PubMed]
- Lafeber, M.; Spiering, W.; Visseren, F.L.; Grobbee, D.E. Multifactorial prevention of cardiovascular disease in patients with hypertension: The cardiovascular polypill. Curr. Hypertens. Rep. 2016, 18, 40. [Google Scholar] [CrossRef][Green Version]
- Di Palo, K.E.; Barone, N.J. Hypertension and heart failure: Prevention, targets, and treatment. Heart Fail. Clin. 2020, 16, 99–106. [Google Scholar] [CrossRef]
- Flack, J.M.; Adekola, B. Blood pressure and the new ACC/AHA hypertension guidelines. Trends Cardiovasc. Med. 2020, 30, 160–164. [Google Scholar] [CrossRef]
- Hermida, R.C.; Crespo, J.J.; Domínguez-Sardiña, M.; Otero, A.; Moyá, A.; Ríos, M.T.; Sineiro, E.; Castiñeira, M.C.; Callejas, P.A.; Pousa, L.; et al. Hygia Project Investigators. Bedtime hypertension treatment improves cardiovascular risk reduction: The hygia chronotherapy trial. Eur. Heart J. 2020, 41, 4565–4576. [Google Scholar] [CrossRef]
- Sudano, I.; Osto, E.; Ruschitzka, F. Blood pressure-lowering therapy. Handb. Exp. Pharmacol. 2022, 270, 25–45. [Google Scholar] [CrossRef]
- Merkulov, Y.A.; Pyatkov, A.A.; Gorokhova, S.G.; Merkulova, D.M.; Atkov, O.Y. Disturbances of autonomic regulation of cardiovascular system at different working regimes with night shifts. Kardiologiia 2020, 60, 62–67. [Google Scholar] [CrossRef] [PubMed]
- McEwen, B.S. Sex, stress and the hippocampus: Allostasis, allostatic load and the aging process. Neurobiol. Aging 2002, 23, 921–939. [Google Scholar] [CrossRef] [PubMed]
- McEwen, B.S. Protective and damaging effects of stress mediators: Central role of the brain. Dialogues Clin. Neurosci. 2006, 8, 367–381. [Google Scholar] [CrossRef] [PubMed]
- Zanutto, B.S.; Valentinuzzi, M.E.; Segura, E.T. Neural set point for the control of arterial pressure: Role of the nucleus tractus solitarius. Biomed. Eng. Online 2010, 9, 4. [Google Scholar] [CrossRef] [PubMed]
- Miller, A.J.; Arnold, A.C. The renin-angiotensin system in cardiovascular autonomic control: Recent developments and clinical implications. Clin. Auton. Res. 2019, 29, 231–243. [Google Scholar] [CrossRef] [PubMed]
- Morella, I.M.; Brambilla, R.; Morè, L. Emerging roles of brain metabolism in cognitive impairment and neuropsychiatric disorders. Neurosci. Biobehav. Rev. 2022, 142, 104892. [Google Scholar] [CrossRef] [PubMed]
- Ohry, A. Premature aging, allostasis and restorgenesis. Spinal Cord 2013, 51, 723. [Google Scholar] [CrossRef]
- Tadic, M.; Cuspidi, C.; Hering, D. Hypertension and cognitive dysfunction in elderly: Blood pressure management for this global burden. BMC Cardiovasc. Disord. 2016, 16, 208. [Google Scholar] [CrossRef]
- Guidi, J.; Lucente, M.; Piolanti, A.; Roncuzzi, R.; Rafanelli, C.; Sonino, N. Allostatic overload in patients with essential hypertension. Psychoneuroendocrinology 2020, 113, 104545. [Google Scholar] [CrossRef]
- Kallen, V.; Tahir, M.; Bedard, A.; Bongers, B.; van Riel, N.; van Meeteren, N. Aging and allostasis: Using bayesian network analytics to explore and evaluate allostatic markers in the context of aging. Diagnostics 2021, 11, 157. [Google Scholar] [CrossRef]
- Crews, D. Biocultural intersections: Stressors, adaptability, allostasis, frailty, and aging. J. Physiol. Anthropol. 2022, 41, 33. [Google Scholar] [CrossRef] [PubMed]
- Longpré-Poirier, C.; Dougoud, J.; Jacmin-Park, S.; Moussaoui, F.; Vilme, J.; Desjardins, G.; Cartier, L.; Cipriani, E.; Kerr, P.; Le Page, C.; et al. Sex and gender and allostatic mechanisms of cardiovascular risk and disease. Can. J. Cardiol. 2022, 38, 1812–1827. [Google Scholar] [CrossRef] [PubMed]
- Zuther, P.; Gorbey, S.; Lemmer, B. Chronos-Fit 1.06. 2009. Available online: http://chronos-fit.sharewarejunction.com (accessed on 6 January 2009).
- Lemmer, B.; Oster, H. The role of circadian rhythms in the hypertension of diabetes mellitus and the metabolic syndrome. Curr. Hypertens. Rep. 2018, 20, 43. [Google Scholar] [CrossRef] [PubMed]
- Yetkin, E.; Topbaş, U.; Yanik, A.; Yetkin, G. Does systolic and diastolic blood pressure follow Golden Ratio? Int. J. Cardiol. 2014, 176, 1457–1459. [Google Scholar] [CrossRef]
- Yalta, K.; Ozturk, S.; Yetkin, E. Golden ratio and the heart: A review of divine aesthetics. Int. J. Cardiol. 2016, 214, 107–112. [Google Scholar] [CrossRef]
- Ozturk, S.; Yalta, K.; Yetkin, E. Golden ratio: A subtle regulator in our body and cardiovascular system? Int. J. Cardiol. 2016, 223, 143–145. [Google Scholar] [CrossRef]
- Papaioannou, T.G.; Vavuranakis, M.; Gialafos, E.J.; Karamanou, M.; Tsoucalas, G.; Vrachatis, D.A.; Soulis, D.; Manolesou, D.; Stefanadis, C.; Tousoulis, D. Blood pressure deviation from the golden ratio φ and all-cause mortality: A Pythagorean view of the arterial pulse. Int. J. Appl. Basic Med. Res. 2019, 9, 55–57. [Google Scholar] [CrossRef]
- Atmaca, H.; Cuglan, B.; Yalta, K.; Yetkin, E. Systolic blood pressure to diastolic blood pressure ratios in diabetic and non-diabetic patients: Deviation from golden ratio. High Blood Press. Cardiovasc. Prev. 2022, 29, 401–404. [Google Scholar] [CrossRef]
- Arango-Lievano, M.; Lambert, W.M.; Jeanneteau, F. Molecular biology of glucocorticoid signaling. Adv. Exp. Med. Biol. 2015, 872, 33–57. [Google Scholar] [CrossRef]
- Koob, G.F.; Colrain, I.M. Alcohol use disorder and sleep disturbances: A feed-forward allostatic framework. Neuropsychopharmacology 2020, 45, 141–165. [Google Scholar] [CrossRef]
- Schulkin, J.; Sterling, P. Allostasis: A brain-centered, predictive mode of physiological regulation. Trends Neurosci. 2019, 42, 740–752. [Google Scholar] [CrossRef] [PubMed]
- Ambatiello, L.G. Stress-induced arterial hypertension. Ter. Arkh. 2022, 94, 908–913. [Google Scholar] [CrossRef] [PubMed]
- McEwen, B.S. Biomarkers for assessing population and individual health and disease related to stress and adaptation. Metabolism 2015, 64 (Suppl. S1), S2–S10. [Google Scholar] [CrossRef] [PubMed]
- Peters, A.; McEwen, B.S. Introduction for the allostatic load special issue. Physiol. Behav. 2012, 106, 1–4. [Google Scholar] [CrossRef]
- Juster, R.P.; McEwen, B.S.; Lupien, S.J. Allostatic load biomarkers of chronic stress and impact on health and cognition. Neurosci. Biobehav. Rev. 2010, 35, 2–16. [Google Scholar] [CrossRef] [PubMed]
- Imbert, I. Biomarkers and aging. Biomark. Med. 2014, 8, 621–623. [Google Scholar] [CrossRef] [PubMed]
- Picard, M.; Juster, R.P.; Sloan, R.P.; McEwen, B.S. Mitochondrial nexus to allostatic load biomarkers. Psychosom. Med. 2017, 79, 114–117. [Google Scholar] [CrossRef]
- Matzer, F.; Fazekas, C.; Vajda, C.; Pilz, S.; Schwetz, V.; Trummer, C.; Pandis, M.; Tomaschitz, A.; Petsch, I.; Obermayer-Pietsch, B.; et al. Association of allostatic load with health-related quality of life in patients with arterial hypertension: A cross-sectional analysis. Swiss Med. Wkly. 2018, 148, w14689. [Google Scholar] [CrossRef]
- McEwen, B.S. Allostasis and allostatic load: Implications for neuropsychopharmacology. Neuropsychopharmacology 2000, 22, 108–124. [Google Scholar] [CrossRef]
- McEwen, B.S.; Stellar, E. Stress and the individual. Mechanisms leading to disease. Arch. Intern. Med. 1993, 153, 2093–2101. [Google Scholar] [CrossRef]
- McEwen, B.S. Stress, adaptation, and disease. Allostasis and allostatic load. Ann. N. Y. Acad. Sci. 1998, 840, 33–44. [Google Scholar] [CrossRef]
- Sterling, P. Allostasis: A model of predictive regulation. Physiol. Behav. 2012, 106, 5–15. [Google Scholar] [CrossRef] [PubMed]
- Fischer, J.E. Work, stress and cardiovascular diseases. Ther. Umsch. 2003, 60, 689–696. (In German) [Google Scholar] [CrossRef] [PubMed]
- James, G.D. Ambulatory blood pressure variation: Allostasis and adaptation. Auton. Neurosci. 2013, 177, 87–94. [Google Scholar] [CrossRef] [PubMed]
- Picard, M.; McEwen, B.S. Psychological stress and mitochondria: A conceptual framework. Psychosom. Med. 2018, 80, 126–140. [Google Scholar] [CrossRef] [PubMed]
- Gorokhova, S.G.; Pfaf, V.F.; Muraseyeva, E.V.; Akhsanova, E.R.; Prigorovskaya, T.S.; At’kov, O.Y. Structure of allostatic load in railway workers. Med. Tr. Prom. Ekol. 2016, 4, 5–9. [Google Scholar]
- Touyz, R.M.; Yao, G. Inhibitors of Na+/Mg2+ exchange activity attenuate the development of hypertension in angiotensin II-induced hypertensive rats. J. Hypertens. 2003, 21, 337–344. [Google Scholar] [CrossRef]
- Blagonravov, M.L.; Medvedeva, E.V.; Bryk, A.A.; Goryachev, V.A.; Rabinovich, A.E.; Letoshneva, A.S.; Demurov, E.A. 24-hour profile of blood pressure, heart rate, excretion of electrolytes, and locomotor activity in Wistar-Kyoto and SHR rats under conditions of free-run rhythm. Bull. Exp. Biol. Med. 2018, 166, 192–196. [Google Scholar] [CrossRef]
- Proctor, G. Diurnal rhythm and salivary electrolyte. Arch. Oral Biol. 2018, 93, 1–2. [Google Scholar] [CrossRef]
- Zhang, D.; Pollock, D.M. Diurnal regulation of renal electrolyte excretion: The role of paracrine factors. Annu. Rev. Physiol. 2020, 82, 343–363. [Google Scholar] [CrossRef]
- Carvalho, M.J.; van Den Meiracker, A.H.; Boomsma, F.; Lima, M.; Freitas, J.; Veld, A.J.; Falcao De Freitas, A. Diurnal blood pressure variation in progressive autonomic failure. Hypertension 2000, 35, 892–897. [Google Scholar] [CrossRef] [PubMed]
- Mourad, J.J.; Laville, M. Is hypertension a tissue perfusion disorder? Implications for renal and myocardial perfusion. J. Hypertens. Suppl. 2006, 24, S10–S16. [Google Scholar] [CrossRef] [PubMed]
- Gąsecki, D.; Kwarciany, M.; Kowalczyk, K.; Narkiewicz, K.; Karaszewski, B. Blood pressure management in acute ischemic stroke. Curr. Hypertens. Rep. 2020, 23, 3. [Google Scholar] [CrossRef] [PubMed]
- Humphrey, J.D. Mechanisms of vascular remodeling in hypertension. Am. J. Hypertens. 2021, 34, 432–441. [Google Scholar] [CrossRef] [PubMed]
- Picard, M.; Juster, R.P.; McEwen, B.S. Mitochondrial allostatic load puts the ‘gluc’ back in glucocorticoids. Nat. Rev. Endocrinol. 2014, 10, 303–310. [Google Scholar] [CrossRef] [PubMed]
- Stefano, G.B.; Bjenning, C.; Wang, F.; Wang, N.; Kream, R.M. Mitochondrial heteroplasmy. Adv. Exp. Med. Biol. 2017, 982, 577–594. [Google Scholar] [CrossRef] [PubMed]
- Mocayar Marón, F.J.; Ferder, L.; Saraví, F.D.; Manucha, W. Hypertension linked to allostatic load: From psychosocial stress to inflammation and mitochondrial dysfunction. Stress 2019, 22, 169–181. [Google Scholar] [CrossRef]
- Bobba-Alves, N.; Juster, R.P.; Picard, M. The energetic cost of allostasis and allostatic load. Psychoneuroendocrinology 2022, 146, 105951. [Google Scholar] [CrossRef]
- Sinyov, V.V.; Chicheva, M.M.; Barinova, V.A.; Ryzhkova, A.I.; Zilinyi, R.I.; Karagodin, V.P.; Postnov, A.Y.; Sobenin, I.A.; Orekhov, A.N.; Sazonova, M.A. The heteroplasmy level of some mutations in gene MT-CYB among women with asymptomatic atherosclerosis. Genetika 2016, 52, 951–957. [Google Scholar] [CrossRef]
- Zotova, T.Y.; Blagonravov, M.L.; Lapaev, N.N.; Denisova, A.P. Hemodynamic allostasis of pregnant women against the background of preeclampsia. Bull. Exp. Biol. Med. 2018, 165, 440–444. [Google Scholar] [CrossRef]
- Arnold, A.C.; Gallagher, P.E.; Diz, D.I. Brain renin-angiotensin system in the nexus of hypertension and aging. Hypertens. Res. 2013, 36, 5–13. [Google Scholar] [CrossRef]
- Al Ghorani, H.; Götzinger, F.; Böhm, M.; Mahfoud, F. Arterial hypertension—Clinical trials update 2021. Nutr. Metab. Cardiovasc. Dis. 2022, 32, 21–31. [Google Scholar] [CrossRef]


| Indicator | Normal Range | Group 1 (n = 32) | Group 2 (n = 40) |
|---|---|---|---|
| Age, years | – | 58.25 ± 4.05 | 59.5 ± 3.03 |
| Men, % | – | 50 | 37.5 |
| Women, % | – | 50 | 62.5 |
| BMI, kg/m2 | – | 26.65 ± 0.39 | 26.85 ± 0.4 |
| WC, cm | – | 91.7 ± 1.33 | 91 ± 1.15 |
| Duration of EH, years | – | 12.35 ± 1.2 | 12.3 ± 1.15 |
| HbA1c, % | 4–6.2 | 6.0 | 5.7 |
| Creatinine, mcmol/L | 64–92 | 83.9 ± 3.9 | 82.9 ± 2.11 |
| Urea, mmol/L | 3–9 | 6.25 ± 0.5 | 5.95 ± 0.42 |
| MAU, mg/L (morning average sample) | ˂20 | 0.6 ± 0.01 | 0.5 ± 0.002 |
| IRI, mkEd/mL | 2–25 | 26.65 ± 0.39 | 26.85 ± 0.4 |
| EF, % | 55–70 | 63.7 ± 0.26 | 63.45 ± 0.16 |
| Patients treated with ACE inhibitors or ARBs, % | – | 78.1 | 82.5 |
| Patients treated with β-blockers, % | – | 21.90 | 12.5 |
| Patients treated with diuretics, % | – | 50.00 | 55 |
| Patients treated with Ca2+ antagonists, % | – | 21.9 | 12.5 |
| Indicator | Control (n = 30) | Group 1 (n = 32) | Group 2 (n = 40) |
|---|---|---|---|
| 24 h SBP, mmHg | 120 ± 1.87 | 139.6 ± 2.2 * | 134.0 ± 1.47 |
| 24 h DBP, mmHg | 76.2 ± 1.55 | 79.5 ± 2.19 | 78.15 ± 1.17 |
| 24 h HR, bpm | 76.2 ± 1.80 | 76.08 ± 2.7 | 70.45 ± 1.16 |
| CV for SBP | 0.06 | 0.09 | 0.06 |
| CV for DBP | 0.08 | 0.15 | 0.09 |
| CV for HR | 0.09 | 0.2 | 0.1 |
| Daytime SBP, mmHg | 121.3 ± 1.85 | 141.4 ± 2.5 * | 140.1± 1.4 * |
| Nighttime SBP, mmHg | 104.6 ± 2.05 | 142.1 ± 2.4 * | 119.75 ± 1.9 *• |
| Daytime DBP, mmHg | 76.8 ± 2.01 | 78.1± 2.1 | 78.6 ± 1.81 |
| Nighttime DBP, mmHg | 63.6 ± 1.01 | 76.4 ± 2.5 * | 64.7 ± 1.9 • |
| Daytime HR, bpm | 75.9 ± 1.24 | 73.8 ± 1.82 | 72.5 ± 1.73 |
| Nighttime HR, bpm | 64.3 ± 3.14 | 63.9 ± 1.75 | 60.4 ± 0.9 |
| CI for SBP | 1.18 ± 0.04 | 1.00 ± 0.01 * | 1.2 ± 0.03 • |
| CI for DBP | 1.2 ± 0.02 | 1.02 ± 0.02 * | 1.2 ± 0.02 • |
| CI for HR | 1.18 ± 0.01 | 1.15 ± 0.02 | 1.2 ± 0.02 |
| Time index for SBP, % | 22.9 ± 3.21 | 60.9 ± 5.71 * | 57.8 ± 3.9 * |
| Time index for DBP, % | 18.4 ± 2.7 | 42.7± 5.8 * | 38.4 ± 2.91 * |
| DP | 89.6 ± 0.27 (moderate) | 99.5 ± 2.40 (low) | 97.0 ± 1.9 (low) |
| SPBP | 0.62 ± 0.002 (100%) | 0.54 ± 0.08 * (87%) | 0.57 ± 0.07 * (92%) |
| Indicator | Control (n = 30) | Group 1 (n = 32) | Group 2 (n = 40) |
|---|---|---|---|
| Mesor | |||
| SBP, mmHg | 114.36 ± 1 | 140.3 ± 0.14 * | 135.2 ± 1.37 *• |
| DBP, mmHg | 71.15 ± 1.52 | 77.9 ± 0.42 * | 78.0 ± 1.73 * |
| HR, bpm | 72.16 ± 1.05 | 75 ± 1.9 | 74.4 ± 1.13 |
| Amplitude | |||
| SBP, mmHg | 18.06 ± 1.6 | 21.5 ± 0.99 | 26.8 ± 0.28 *• |
| DBP, mmHg | 15.5 ± 0.95 | 13.65 ± 0.31 | 20.55 ± 0.6 *• |
| HR, bpm | 16.31 ± 0.9 | 16.03 ± 0.01 | 21.5 ± 0.56 *• |
| Indicator | Control (n = 30) | Group 1 (n = 32) | Group 2 (n = 40) |
|---|---|---|---|
| SBP ≥ 120 mmHg, % of patients | 30 | 100 * | 100 * |
| DBP ≥ 80 mmHg, % of patients | 27 | 37.5 | 40 |
| HR ≥ 80 bpm, % of patients | 30 | 100 * | 100 * |
| CI for 3 indicators ≤ 1, % of patients | 0 | 21.8 * | 0 × |
| Range SBP ≥ 45 mmHg, % of patients | 0 | 10 | 41.5 ×* |
| Range DBP ≥ 33 mmHg, % of patients | 0 | 18.8 | 63.4 ×* |
| Range HR ≥ 32 b/m, % of patients | 0 | 37.5 * | 48.7 * |
| ALI | |||
| 0 | 73.3 * | 3.1 | 5 |
| 1–2 | 26.7 | 87.5 * | 90 * |
| 3–4 | 0 | 9.3 | 5 |
| 5 or above | 0 | 0 | 0 |
Disclaimer/Publisher’s Note: The statements, opinions and data contained in all publications are solely those of the individual author(s) and contributor(s) and not of MDPI and/or the editor(s). MDPI and/or the editor(s) disclaim responsibility for any injury to people or property resulting from any ideas, methods, instructions or products referred to in the content. |
© 2023 by the authors. Licensee MDPI, Basel, Switzerland. This article is an open access article distributed under the terms and conditions of the Creative Commons Attribution (CC BY) license (https://creativecommons.org/licenses/by/4.0/).
Share and Cite
Zotova, T.; Lukanina, A.; Blagonravov, M.; Tyurina, V.; Goryachev, V.; Bryk, A.; Sklifasovskaya, A.; Kurlaeva, A. Features of Allostatic Load in Patients with Essential Hypertension without Metabolic Syndrome Depending on the Nature of Nighttime Decreases in Blood Pressure. Diagnostics 2023, 13, 3553. https://doi.org/10.3390/diagnostics13233553
Zotova T, Lukanina A, Blagonravov M, Tyurina V, Goryachev V, Bryk A, Sklifasovskaya A, Kurlaeva A. Features of Allostatic Load in Patients with Essential Hypertension without Metabolic Syndrome Depending on the Nature of Nighttime Decreases in Blood Pressure. Diagnostics. 2023; 13(23):3553. https://doi.org/10.3390/diagnostics13233553
Chicago/Turabian StyleZotova, Tatyana, Anastasia Lukanina, Mikhail Blagonravov, Veronika Tyurina, Vyacheslav Goryachev, Anna Bryk, Anastasia Sklifasovskaya, and Anastasia Kurlaeva. 2023. "Features of Allostatic Load in Patients with Essential Hypertension without Metabolic Syndrome Depending on the Nature of Nighttime Decreases in Blood Pressure" Diagnostics 13, no. 23: 3553. https://doi.org/10.3390/diagnostics13233553
APA StyleZotova, T., Lukanina, A., Blagonravov, M., Tyurina, V., Goryachev, V., Bryk, A., Sklifasovskaya, A., & Kurlaeva, A. (2023). Features of Allostatic Load in Patients with Essential Hypertension without Metabolic Syndrome Depending on the Nature of Nighttime Decreases in Blood Pressure. Diagnostics, 13(23), 3553. https://doi.org/10.3390/diagnostics13233553
