Diagnostic Precision in Lyme borreliosis: Assessing VlsE and C6 Antigens in a Pediatric Cohort
Abstract
1. Introduction
2. Materials and Methods
2.1. Study Design and Setting
2.2. Assays
2.3. Statistical Analysis
2.4. Ethical Considerations
3. Results
3.1. Patient Characteristics
3.2. Evaluating the Diagnostic Efficacy of the Immunetics® C6 Lyme ELISA Assay in Pediatric Lyme Disease Diagnosis
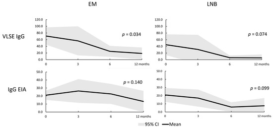
3.3. Assessment of Anti-VlsE IgG Assays in Treatment Monitoring in Pediatric Lyme Disease
4. Discussion
5. Conclusions
Author Contributions
Funding
Institutional Review Board Statement
Informed Consent Statement
Data Availability Statement
Acknowledgments
Conflicts of Interest
References
- Steere, A.C.; Strle, F.; Wormser, G.P.; Hu, L.T.; Branda, J.A.; Hovius, J.W.; Li, X.; Mead, P.S. Lyme Borreliosis. Nat. Rev. Dis. Primers 2016, 2, 16090. [Google Scholar] [CrossRef]
- Aguero-Rosenfeld, M.E.; Wang, G.; Schwartz, I.; Wormser, G.P. Diagnosis of Lyme Borreliosis. Clin. Microbiol. Rev. 2005, 18, 484–509. [Google Scholar] [CrossRef] [PubMed]
- Rudenko, N.; Golovchenko, M.; Grubhoffer, L.; Oliver, J.H. Updates on Borrelia Burgdorferi Sensu Lato Complex with Respect to Public Health. Ticks Tick Borne Dis. 2011, 2, 123–128. [Google Scholar] [CrossRef]
- Lohr, B.; Fingerle, V.; Norris, D.E.; Hunfeld, K.-P. Laboratory Diagnosis of Lyme Borreliosis: Current State of the Art and Future Perspectives. Crit. Rev. Clin. Lab. Sci. 2018, 55, 219–245. [Google Scholar] [CrossRef] [PubMed]
- Cardenas-de la Garza, J.A.; De la Cruz-Valadez, E.; Ocampo-Candiani, J.; Welsh, O. Clinical Spectrum of Lyme Disease. Eur. J. Clin. Microbiol. Infect. Dis. 2019, 38, 201–208. [Google Scholar] [CrossRef]
- Mullegger, R.R. Dermatological Manifestations of Lyme Borreliosis. Eur. J. Dermatol. 2004, 14, 296–309. [Google Scholar]
- Steere, A.C.; Malawista, S.E.; Bartenhagen, N.H.; Spieler, P.N.; Newman, J.H.; Rahn, D.W.; Hutchinson, G.J.; Green, J.E.R.R.Y.; Snydman, D.R.; Taylor, E. The Clinical Spectrum and Treatment of Lyme Disease. Yale J. Biol. Med. 1984, 57, 453. [Google Scholar]
- Berglund, J.; Eitrem, R.; Ornstein, K.; Lindberg, A.; Ringnér, Å.; Elmrud, H.; Carlsson, M.; Runehagen, A.; Svanborg, C.; Norrby, R. An Epidemiologic Study of Lyme Disease in Southern Sweden. N. Engl. J. Med. 1995, 333, 1319–1324. [Google Scholar] [CrossRef]
- Nigrovic, L.E.; Neville, D.N.; Balamuth, F.; Bennett, J.E.; Levas, M.N.; Garro, A.C.; For Pedi Lyme Net. A Minority of Children Diagnosed with Lyme Disease Recall a Preceding Tick Bite. Ticks Tick Borne Dis. 2019, 10, 694–696. [Google Scholar] [CrossRef]
- Södermark, L.; Sigurdsson, V.; Näs, W.; Wall, P.; Trollfors, B. Neuroborreliosis in Swedish Children: A Population-Based Study on Incidence and Clinical Characteristics. Pediatr. Infect. Dis. J. 2017, 36, 1052–1056. [Google Scholar] [CrossRef]
- European Centre for Disease Prevention and Control. A Systematic Literature Review on the Diagnostic Accuracy of Serological Tests for Lyme borreliosis; Publications Office: Luxembourg, 2016.
- Steere, A.C.; McHugh, G.; Damle, N.; Sikand, V.K. Prospective Study of Serologic Tests for Lyme Disease. Clin. Infect. Dis. 2008, 47, 188–195. [Google Scholar] [CrossRef]
- Moore, A.; Nelson, C.; Molins, C.; Mead, P.; Schriefer, M. Current Guidelines, Common Clinical Pitfalls, and Future Directions for Laboratory Diagnosis of Lyme Disease, United States. Emerg. Infect. Dis. 2016, 22, 1169–1177. [Google Scholar] [CrossRef] [PubMed]
- Halperin, J.J.; Baker, P.; Wormser, G.P. Common Misconceptions about Lyme Disease. Am. J. Med. 2013, 126, 264.e1–264.e7. [Google Scholar] [CrossRef] [PubMed]
- Centers for Disease Control and Prevention. Recommendations for Test Performance and Interpretation from the Second National Conference on Serologic Diagnosis of Lyme Disease. JAMA 1995, 274, 937. [Google Scholar] [CrossRef]
- Feder, H.M.; Gerber, M.A.; Luger, S.W.; Ryan, R.W. Persistence of Serum Antibodies to Borrelia Burgdorferi in Patients Treated for Lyme Disease. Clin. Infect. Dis. 1992, 15, 788–793. [Google Scholar] [CrossRef] [PubMed]
- Branda, J.A.; Linskey, K.; Kim, Y.A.; Steere, A.C.; Ferraro, M.J. Two-Tiered Antibody Testing for Lyme Disease with Use of 2 Enzyme Immunoassays, a Whole-Cell Sonicate Enzyme Immunoassay Followed by a VlsE C6 Peptide Enzyme Immunoassay. Clin. Infect. Dis. 2011, 53, 541–547. [Google Scholar] [CrossRef]
- Lone, A.G.; Bankhead, T. The Borrelia Burgdorferi VlsE Lipoprotein Prevents Antibody Binding to an Arthritis-Related Surface Antigen. Cell Rep. 2020, 30, 3663–3670.e5. [Google Scholar] [CrossRef] [PubMed]
- Davis, I.R.C.; McNeil, S.A.; Allen, W.; MacKinnon-Cameron, D.; Lindsay, L.R.; Bernat, K.; Dibernardo, A.; LeBlanc, J.J.; Hatchette, T.F. Performance of a Modified Two-Tiered Testing Enzyme Immunoassay Algorithm for Serologic Diagnosis of Lyme Disease in Nova Scotia. J. Clin. Microbiol. 2020, 58, e01841-19. [Google Scholar] [CrossRef]
- Commissioner, O. Of the FDA Clears New Indications for Existing Lyme Disease Tests that May Help Streamline Diagnoses. Available online: https://www.fda.gov/news-events/press-announcements/fda-clears-new-indications-existing-lyme-disease-tests-may-help-streamline-diagnoses (accessed on 24 October 2023).
- Bankhead, T. Role of the VlsE Lipoprotein in Immune Avoidance by the Lyme Disease Spirochete Borrelia Burgdorferi. Immunopathol. Dis. Ther. 2016, 7, 191–204. [Google Scholar] [CrossRef]
- Norris, S.J. Vls Antigenic Variation Systems of Lyme Disease Borrelia: Eluding Host Immunity through Both Random, Segmental Gene Conversion and Framework Heterogeneity. Microbiol. Spectr. 2014, 2, 471–489. [Google Scholar] [CrossRef]
- Bubeck-Martinez, S. Immune Evasion of the Lyme Disease Spirochetes. Front. Biosci. 2005, 10, 873–878. [Google Scholar] [CrossRef] [PubMed][Green Version]
- Embers, M.E.; Jacobs, M.B.; Johnson, B.J.B.; Philipp, M.T. Dominant Epitopes of the C6 Diagnostic Peptide of Borrelia Burgdorferi Are Largely Inaccessible to Antibody on the Parent VlsE Molecule. Clin. Vaccine Immunol. 2007, 14, 931–936. [Google Scholar] [CrossRef] [PubMed][Green Version]
- Peltomaa, M.; McHugh, G.; Steere, A.C. The VlsE (IR6) Peptide ELISA in the Serodiagnosis of Lyme Facial Paralysis. Otol. Neurotol. 2004, 25, 838–841. [Google Scholar] [CrossRef]
- Bacon, R.M.; Biggerstaff, B.J.; Schriefer, M.E.; Gilmore, R.D.; Philipp, M.T.; Steere, A.C.; Wormser, G.P.; Marques, A.R.; Johnson, B.J.B. Serodiagnosis of Lyme Disease by Kinetic Enzyme-Linked Immunosorbent Assay Using Recombinant VlsE1 or Peptide Antigens of Borrelia Burgdorferi Compared with 2-Tiered Testing Using Whole-Cell Lysates. J. Infect. Dis. 2003, 187, 1187–1199. [Google Scholar] [CrossRef] [PubMed]
- Lahdenne, P.; Panelius, J.; Saxen, H.; Heikkilä, T.; Sillanpää, H.; Peltomaa, M.; Arnez, M.; Huppertz, H.-I.; Seppälä, I.J.T. Improved Serodiagnosis of Erythema Migrans Using Novel Recombinant Borrelial BBK32 Antigens. J. Med. Microbiol. 2003, 52, 563–567. [Google Scholar] [CrossRef][Green Version]
- Strobino, B.; Steinhagen, K.; Meyer, W.; Scheper, T.; Saschenbrecker, S.; Schlumberger, W.; Stöcker, W.; Gaito, A.; Fallon, B.A. A Community Study of Borrelia Burgdorferi Antibodies among Individuals with Prior Lyme Disease in Endemic Areas. Healthcare 2018, 6, 69. [Google Scholar] [CrossRef]
- Philipp, M.T.; Bowers, L.C.; Fawcett, P.T.; Jacobs, M.B.; Liang, F.T.; Marques, A.R.; Mitchell, P.D.; Purcell, J.E.; Ratterree, M.S.; Straubinger, R.K. Antibody Response to IR6, a Conserved Immunodominant Region of the VlsE Lipoprotein, Wanes Rapidly after Antibiotic Treatment of Borrelia Burgdorferi Infection in Experimental Animals and in Humans. J. Infect. Dis. 2001, 184, 870–878. [Google Scholar] [CrossRef]
- Philipp, M.T.; Wormser, G.P.; Marques, A.R.; Bittker, S.; Martin, D.S.; Nowakowski, J.; Dally, L.G. A Decline in C6 Antibody Titer Occurs in Successfully Treated Patients with Culture-Confirmed Early Localized or Early Disseminated Lyme Borreliosis. Clin. Diagn. Lab. Immunol. 2005, 12, 1069–1074. [Google Scholar] [CrossRef]
- Lipsett, S.C.; Branda, J.A.; Nigrovic, L.E. Evaluation of the Modified Two-Tiered Testing Method for Diagnosis of Lyme Disease in Children. J. Clin. Microbiol. 2019, 57, e00547-19. [Google Scholar] [CrossRef]
- Mygland, A.; Ljøstad, U.; Fingerle, V.; Rupprecht, T.; Schmutzhard, E.; Steiner, I. European Federation of Neurological Societies EFNS Guidelines on the Diagnosis and Management of European Lyme Neuroborreliosis. Eur. J. Neurol. 2010, 17, 8.e1–16.e4. [Google Scholar] [CrossRef]
- Lantos, P.M.; Rumbaugh, J.; Bockenstedt, L.K.; Falck-Ytter, Y.T.; Aguero-Rosenfeld, M.E.; Auwaerter, P.G.; Baldwin, K.; Bannuru, R.R.; Belani, K.K.; Bowie, W.R.; et al. Clinical Practice Guidelines by the Infectious Diseases Society of America (IDSA), American Academy of Neurology (AAN), and American College of Rheumatology (ACR): 2020 Guidelines for the Prevention, Diagnosis, and Treatment of Lyme Disease. Arthritis Rheumatol. 2021, 73, 12–20. [Google Scholar] [CrossRef]
- Lyme Disease Updates and New Educational Tools for Clinicians, Centers for Disease Control and Prevention Center for Preparedness and Response. Available online: https://emergency.cdc.gov/coca/calls/2021/callinfo_052021.asp (accessed on 19 February 2023).
- Pancewicz, S.; Moniuszko-Malinowska, A.; Garlicki, A.; Grygorczuk, S.; Czupryna, P.; Dunaj, J. Diagnosis and Treatment of Lyme Borreliosis. Standards of the Polish Association of Epidemiologists and Infectiologists. Available online: http://www.pteilchz.org.pl/wp-content/uploads/2018/11/borelioza_z_lyme_2018.pdf (accessed on 19 February 2023).
- Flisiak, R.; Pancewicz, S. Polish Society of Epidemiology and Infectious Diseases [Diagnostics and treatment of Lyme borreliosis. Recommendations of Polish Society of Epidemiology and Infectious Diseases]. Przegl. Epidemiol. 2008, 62, 193–199. [Google Scholar]
- Branda, J.A.; Strle, K.; Nigrovic, L.E.; Lantos, P.M.; Lepore, T.J.; Damle, N.S.; Ferraro, M.J.; Steere, A.C. Evaluation of Modified 2-Tiered Serodiagnostic Testing Algorithms for Early Lyme Disease. Clin. Infect. Dis. 2017, 64, 1074–1080. [Google Scholar] [CrossRef]
- Pegalajar-Jurado, A.; Schriefer, M.E.; Welch, R.J.; Couturier, M.R.; MacKenzie, T.; Clark, R.J.; Ashton, L.V.; Delorey, M.J.; Molins, C.R. Evaluation of Modified Two-Tiered Testing Algorithms for Lyme Disease Laboratory Diagnosis Using Well-Characterized Serum Samples. J. Clin. Microbiol. 2018, 56, e01943-17. [Google Scholar] [CrossRef]
- Molins, C.R.; Delorey, M.J.; Sexton, C.; Schriefer, M.E. Lyme Borreliosis Serology: Performance of Several Commonly Used Laboratory Diagnostic Tests and a Large Resource Panel of Well-Characterized Patient Samples. J. Clin. Microbiol. 2016, 54, 2726–2734. [Google Scholar] [CrossRef] [PubMed]
- Baarsma, M.E.; Schellekens, J.; Meijer, B.C.; Brandenburg, A.H.; Souilljee, T.; Hofhuis, A.; Hovius, J.W.; van Dam, A.P. Diagnostic Parameters of Modified Two-Tier Testing in European Patients with Early Lyme Disease. Eur. J. Clin. Microbiol. Infect. Dis. 2020, 39, 2143–2152. [Google Scholar] [CrossRef] [PubMed]
- Hauser, U. Modified Interpretation Criteria Significantly Improve Performance of Commercially Available Confirmatory Assays for the Serodiagnosis of Lyme Borreliosis: A Case-Control Study with Clinically Defined Serum Samples. Eur. J. Clin. Microbiol. Infect. Dis. 2019, 38, 529–539. [Google Scholar] [CrossRef] [PubMed]
- Sillanpää, H.; Lahdenne, P.; Sarvas, H.; Arnez, M.; Steere, A.; Peltomaa, M.; Seppälä, I. Immune Responses to Borrelial VlsE IR6 Peptide Variants. Int. J. Med. Microbiol. 2007, 297, 45–52. [Google Scholar] [CrossRef] [PubMed]
- Tjernberg, I.; Sillanpää, H.; Seppälä, I.; Eliasson, I.; Forsberg, P.; Lahdenne, P. Antibody Responses to Borrelia IR(6) Peptide Variants and the C6 Peptide in Swedish Patients with Erythema Migrans. Int. J. Med. Microbiol. 2009, 299, 439–446. [Google Scholar] [CrossRef]
- Marangoni, A.; Moroni, A.; Accardo, S.; Cevenini, R. Borrelia Burgdorferi VlsE Antigen for the Serological Diagnosis of Lyme Borreliosis. Eur. J. Clin. Microbiol. Infect. Dis. 2008, 27, 349–354. [Google Scholar] [CrossRef]
- Göttner, G.; Schulte-Spechtel, U.; Wilske, B. Heterogeneity of the Immunodominant Surface Protein VlsE among the Three Genospecies of Borrelia Burgdorferi Pathogenic for Humans. Int. J. Med. Microbiol. 2004, 293 (Suppl. S37), 172–173. [Google Scholar] [CrossRef] [PubMed]
- Bryant, K.A.; Marshall, G.S. Clinical Manifestations of Tick-Borne Infections in Children. Clin. Diagn. Lab. Immunol. 2000, 7, 523–527. [Google Scholar] [CrossRef] [PubMed][Green Version]
- Jansson, C.; Carlsson, S.-A.; Granlund, H.; Wahlberg, P.; Nyman, D. Analysis of Borrelia Burgdorferi IgG Antibodies with a Combination of IgG ELISA and VlsE C6 Peptide ELISA. Clin. Microbiol. Infect. 2005, 11, 147–150. [Google Scholar] [CrossRef][Green Version]
- Mavin, S.; Watson, E.J.; Evans, R. Laboratory Diagnosis of Lyme Borreliosis in Scottish Patients: A Novel Approach. Br. J. Biomed. Sci. 2014, 71, 51–54. [Google Scholar] [CrossRef] [PubMed]
- Wozińska-Klepadło, M.; Toczylowski, K.; Sulik, A. Challenges and New Methods in the Diagnosis of Lyme Disease in Children. Prz. Epidemiol. 2020, 74, 652–661. [Google Scholar] [CrossRef]
- Wojciechowska-Koszko, I.; Mnichowska-Polanowska, M.; Kwiatkowski, P.; Roszkowska, P.; Sienkiewicz, M.; Dołęgowska, B. Immunoreactivity of Polish Lyme Disease Patient Sera to Specific Borrelia Antigens-Part 1. Diagnostics 2021, 11, 2157. [Google Scholar] [CrossRef] [PubMed]
- Heikkilä, T.; Huppertz, H.-I.; Seppälä, I.; Sillanpää, H.; Saxen, H.; Lahdenne, P. Recombinant or Peptide Antigens in the Serology of Lyme Arthritis in Children. J. Infect. Dis. 2003, 187, 1888–1894. [Google Scholar] [CrossRef]
- Kozak, S.; Kaminiów, K.; Kozak, K.; Paprocka, J. Lyme Neuroborreliosis in Children. Brain Sci. 2021, 11, 758. [Google Scholar] [CrossRef]
- Hansen, K.; Crone, C.; Kristoferitsch, W. Lyme Neuroborreliosis. Handb. Clin. Neurol. 2013, 115, 559–575. [Google Scholar] [CrossRef]
- Broekhuijsen-van Henten, D.M.; Braun, K.P.J.; Wolfs, T.F.W. Clinical Presentation of Childhood Neuroborreliosis; Neurological Examination May Be Normal. Arch. Dis. Child. 2010, 95, 910–914. [Google Scholar] [CrossRef]
- Wickström, R.; Fowler, Å.; Goiny, M.; Millischer, V.; Ygberg, S.; Schwieler, L. The Kynurenine Pathway Is Differentially Activated in Children with Lyme Disease and Tick-Borne Encephalitis. Microorganisms 2021, 9, 322. [Google Scholar] [CrossRef] [PubMed]
- Halperin, J.J.; Shapiro, E.D.; Logigian, E.; Belman, A.L.; Dotevall, L.; Wormser, G.P.; Krupp, L.; Gronseth, G.; Bever, C.T. Quality Standards Subcommittee of the American Academy of Neurology Practice Parameter: Treatment of Nervous System Lyme Disease (an Evidence-Based Review): Report of the Quality Standards Subcommittee of the American Academy of Neurology. Neurology 2007, 69, 91–102. [Google Scholar] [CrossRef] [PubMed]
- Rožič, M.; Lah, L.L.; Ružić-Sabljić, E.; Kastrin, A.; Arnež, M. Lyme Neuroborreliosis in Children: Etiology and Comparison of Clinical Findings of Lyme Neuroborreliosis Caused by Borrelia Garinii and Borrelia Afzelii. Pediatr. Infect. Dis. J. 2019, 38, e279–e284. [Google Scholar] [CrossRef] [PubMed]
- Petridou, C.; Lovett, J.; Ross Russell, A.; Jeppesen, C.; Sheridan, L.; Okyere, S.; Saeed, K.; Lee, M.; Dryden, M. A Retrospective Observational Study of Lyme Neuroborreliosis in the Southwest of England. Clin. Infect. Pract. 2020, 6, 100017. [Google Scholar] [CrossRef]
- Kannian, P.; McHugh, G.; Johnson, B.J.B.; Bacon, R.M.; Glickstein, L.J.; Steere, A.C. Antibody Responses to Borrelia Burgdorferi in Patients with Antibiotic-Refractory, Antibiotic-Responsive, or Non-Antibiotic-Treated Lyme Arthritis. Arthritis Rheum. 2007, 56, 4216–4225. [Google Scholar] [CrossRef]

| Patient Number | Age (Years) | Sex | Treatment | Treatment Duration (Days) | Lyme IgG EIA (BBU/mL) | Lyme IgM EIA (BBU/mL) | VlsE (RU/mL) | C6 Lyme ELISA (LI) |
|---|---|---|---|---|---|---|---|---|
| 1. | 9 | F | AMX | 21 | 13.1 | 16.4 | 20.5 | 16.1 |
| 2. | 5 | F | AMX | 21 | 11.3 | 24.1 | 15.6 | 13.7 |
| 3. | 7 | F | AMX | 14 | 57.9 | 4.1 | 178.0 | 11.8 |
| 4. | 15 | F | DOX | 21 | 1.8 | 21.3 | 4.2 | 1.6 |
| 5. | 5 | M | AMX | 21 | 10.6 | 40.2 | 33.1 | 100.0 |
| 6. | 8 | M | AMX | 21 | 15.6 | 41.4 | 49.1 | 100.0 |
| 7. | 12 | F | AMX | 21 | 14.7 | 8.3 | 74.4 | 13.6 |
| 8. | 8 | F | AMX | 21 | 4.3 | 17.5 | 11.1 | 15.1 |
| 9. | 9 | F | AMX | 21 | 35.0 | 20.7 | 235.0 | 100.0 |
| 10. | 3 | M | AMX | 21 | 19.6 | 2.8 | 49.5 | 5.7 |
| 11. | 7 | F | AMX | 21 | 11.4 | 5.6 | 42.8 | 12.9 |
| 12. | 6 | F | AMX | 21 | 14.7 | 38.6 | 18.6 | 11.4 |
| 13. | 4 | M | AMX | 21 | 54.8 | 54.4 | 250.0 | 100.0 |
| 14. | 4 | F | AMX | 21 | 7.8 | 15.2 | 77.1 | 100.0 |
| 15. | 6 | M | AMX | 21 | 15.7 | 11.4 | 106.3 | 100.0 |
| 16. | 11 | M | AMX | 21 | 6.8 | 23.8 | 4.1 | 10.8 |
| 17. | 17 | F | AMX | 21 | 1.3 | 32.1 | 2.4 | 4.8 |
| 18. | 6 | F | AMX | 21 | 14.3 | 12.8 | 250.0 | 15.7 |
| 19. | 5 | F | AMX | 21 | 4.7 | 14.2 | 11.0 | 17.6 |
| 20. | 17 | F | AMX | 21 | 13.1 | 4.0 | 11.9 | 20.3 |
| 21. | 10 | M | AMX | 21 | 13.6 | 51.4 | 29.5 | 2.4 |
| 22. | 9 | F | AMX | 21 | 57.0 | 1.3 | 5.9 | 3.3 |
| 23. | 7 | M | AMX | 21 | 3.0 | 15.6 | 8.0 | 9.1 |
| 24. | 10 | F | AMX | 21 | 19.9 | 60.6 | 72.6 | 100.0 |
| 25. | 3 | M | AMX | 21 | 31.9 | 18.0 | 204.9 | 100.0 |
| 26. | 8 | F | AMX | 21 | 19.3 | 30.3 | 41.4 | 23.2 |
| 27. | 8 | F | AMX | 21 | 18.7 | 60.1 | 50.0 | 13.9 |
| 28. | 6 | F | AMX | 21 | 12.8 | 18.7 | 5.5 | 4.5 |
| 29. | 3 | M | CFX | 14 | 12.4 | 14.7 | 62.5 | 100.0 |
| 30. | 3 | F | AMX | 21 | 5.2 | 83.1 | 3.9 | 15.4 |
| 31. | 7 | M | AMX | 14 | 19.2 | 16.4 | 15.1 | 20.3 |
| 32. | 17 | F | DOX | 21 | 42.3 | 29.9 | 96.3 | 13.3 |
| 33. | 6 | F | AMX | 28 | 2.9 | 17.3 | 4.6 | 2.2 |
| Patient Number | Age (Years) | Sex | Clinical Presentation | Treatment | Treatment Duration (Days) | Lyme IgG EIA (BBU/mL) | Lyme IgM EIA (BBU/mL) | VlsE (RU/mL) | C6 Lyme ELISA (LI) |
|---|---|---|---|---|---|---|---|---|---|
| 1. | 9 | F | FP | CFX | 21 | 7.3 | 15.4 | 5.4 | 1.6 |
| 2. | 11 | M | FP | CFX | 21 | 2.0 | 15.6 | 5.2 | 0.9 |
| 3. | 11 | F | FP | CFX | 21 | 25.6 | 2.6 | 18.2 | 0.9 |
| 4. | 6 | M | FP | CFX | 21 | 47.5 | 11.2 | 47.4 | 15.1 |
| 5. | 14 | F | FP | DOX | 21 | 1.3 | 30.0 | 3.7 | 0.9 |
| 6. | 17 | M | FP + M | DOX | 21 | 66.0 | 6.0 | 15.8 | 4.7 |
| 7. | 10 | M | FP + M | CFX | 21 | 9.0 | 24 | 156.0 | 100.0 |
| 8. | 15 | M | FP + M | CFX | 21 | 7.0 | 98.5 | 7.4 | 16.2 |
| 9. | 16 | F | FP + M | CFX | 21 | 31.0 | 49.9 | 27.6 | 23.5 |
| 10. | 13 | M | M | CFX | 21 | 2.0 | 200.0 | 1.5 | 9.7 |
| 11. | 4 | F | M | CFX | 21 | 9.0 | 61.0 | 3.6 | 7.7 |
| 12. | 17 | F | M | CFX | 21 | 53.4 | 27.2 | 217.0 | 5.6 |
| 13. | 8 | M | M | CFX | 21 | 32.5 | 10.1 | 87.6 | 16.4 |
| 14. | 15 | F | M | CFX | 21 | 3.0 | 23.9 | 46.5 | 100.0 |
| 15. | 7 | F | M | CFX | 21 | 22.6 | 1.4 | 4.6 | 1.2 |
| Results | EM n (%) | LNB n (%) |
|---|---|---|
| Positive anti-VlsE | 25/49 (51%) | 7/21(33%) |
| Equivocal VlsE | 3/49 (6%) | 1/21 (5%) |
| Positive anti-C6 | 33/33 (100%) | 12/15 (80%) |
| Equivocal C6 | 0/33 (0%) | 3/15 (20%) |
| Positive IgG EIA | 30/49 (61%) | 11/21 (52%) |
| Positive IgM EIA | 40/49 (82%) | 14/21 (67%) |
| +IgM EIA and +C6 | 27/33 (82%) | 8/15 (53%) |
| +IgG EIA and +C6 | 23/33 (70%) | 5/15 (33%) |
| −IgM EIA and +C6 | 6/33 (18%) | 7/15 (47%) |
| −IgG EIA and +C6 | 10/33 (30%) | 10/15 (67%) |
Disclaimer/Publisher’s Note: The statements, opinions and data contained in all publications are solely those of the individual author(s) and contributor(s) and not of MDPI and/or the editor(s). MDPI and/or the editor(s) disclaim responsibility for any injury to people or property resulting from any ideas, methods, instructions or products referred to in the content. |
© 2023 by the authors. Licensee MDPI, Basel, Switzerland. This article is an open access article distributed under the terms and conditions of the Creative Commons Attribution (CC BY) license (https://creativecommons.org/licenses/by/4.0/).
Share and Cite
Wozinska, M.; Toczylowski, K.; Lewandowski, D.; Bojkiewicz, E.; Milewski, R.; Sulik, A. Diagnostic Precision in Lyme borreliosis: Assessing VlsE and C6 Antigens in a Pediatric Cohort. Diagnostics 2023, 13, 3547. https://doi.org/10.3390/diagnostics13233547
Wozinska M, Toczylowski K, Lewandowski D, Bojkiewicz E, Milewski R, Sulik A. Diagnostic Precision in Lyme borreliosis: Assessing VlsE and C6 Antigens in a Pediatric Cohort. Diagnostics. 2023; 13(23):3547. https://doi.org/10.3390/diagnostics13233547
Chicago/Turabian StyleWozinska, Marta, Kacper Toczylowski, Dawid Lewandowski, Ewa Bojkiewicz, Robert Milewski, and Artur Sulik. 2023. "Diagnostic Precision in Lyme borreliosis: Assessing VlsE and C6 Antigens in a Pediatric Cohort" Diagnostics 13, no. 23: 3547. https://doi.org/10.3390/diagnostics13233547
APA StyleWozinska, M., Toczylowski, K., Lewandowski, D., Bojkiewicz, E., Milewski, R., & Sulik, A. (2023). Diagnostic Precision in Lyme borreliosis: Assessing VlsE and C6 Antigens in a Pediatric Cohort. Diagnostics, 13(23), 3547. https://doi.org/10.3390/diagnostics13233547

