An Optical Coherence Tomography-Based Measure as an Independent Estimate of Retinal Function in Retinitis Pigmentosa
Abstract
:1. Introduction
2. Materials and Methods
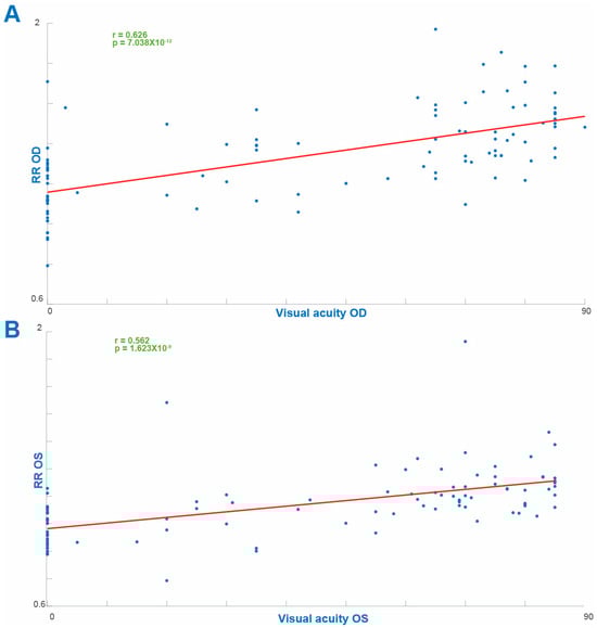
3. Results
Analyses
4. Discussion
Author Contributions
Funding
Institutional Review Board Statement
Informed Consent Statement
Data Availability Statement
Conflicts of Interest
References
- Sahel, J.A.; Marazova, K.; Audo, I. Clinical Characteristics and Current Therapies for Inherited Retinal Degenerations. Cold Spring Harb. Perspect. Med. 2015, 5, a017111. [Google Scholar] [CrossRef]
- Frick, K.D.; Gower, E.W.; Kempen, J.H.; Wolff, J.L. Economic Impact of Visual Impairment and Blindness in the United States. Arch. Ophthalmol. 2007, 125, 544–550. [Google Scholar] [CrossRef]
- Cross, N.; van Steen, C.; Zegaoui, Y.; Satherley, A.; Angelillo, L. Retinitis Pigmentosa: Burden of Disease and Current Unmet Needs. Clin. Ophthalmol. 2022, 16, 1993. [Google Scholar] [CrossRef]
- Duncan, J.L.; Pierce, E.A.; Laster, A.M.; Daiger, S.P.; Birch, D.G.; Ash, J.D.; Iannaccone, A.; Flannery, J.G.; Sahel, J.A.; Zack, D.J.; et al. Inherited Retinal Degenerations: Current Landscape and Knowledge Gaps. Transl. Vis. Sci. Technol. 2018, 7, 6. [Google Scholar] [CrossRef]
- Georgiou, M.; Fujinami, K.; Michaelides, M. Inherited Retinal Diseases: Therapeutics, Clinical Trials and End Points—A Review. Clin. Exp. Ophthalmol. 2021, 49, 270–288. [Google Scholar] [CrossRef]
- Miraldi Utz, V.; Coussa, R.G.; Antaki, F.; Traboulsi, E.I. Gene Therapy for RPE65-Related Retinal Disease. Ophthalmic Genet. 2018, 39, 671–677. [Google Scholar] [CrossRef]
- Ziccardi, L.; Cordeddu, V.; Gaddini, L.; Matteucci, A.; Parravano, M.; Malchiodi-Albedi, F.; Varano, M. Gene Therapy in Retinal Dystrophies. Int. J. Mol. Sci. 2019, 20, 5722. [Google Scholar] [CrossRef]
- Shalabi, O.; Nazzal, Z.; Natsheh, M.; Iriqat, S.; Michaelides, M.; Ghanem, M.; Aslanian, A.; Alswaiti, Y.; AlTalbishi, A. Swept-Source Optical Coherence Tomography Changes and Visual Acuity among Palestinian Retinitis Pigmentosa Patients: A Cross-Sectional Study. BMC Ophthalmol. 2021, 21, 289. [Google Scholar] [CrossRef]
- Yannuzzi, L.; Ober, M.; Slakter, J.; Spaide, R.; Fisher, Y.; Flower, R.; Rosen, R. Ophthalmic Fundus Imaging: Today and Beyond. Am. J. Ophthalmol. 2004, 137, 511–524. [Google Scholar] [CrossRef]
- Fujimoto, J.; Drexler, W. Introduction to Optical Coherence Tomography; Springer: Berlin/Heidelberg, Germany, 2008; pp. 1–45. [Google Scholar] [CrossRef]
- Mrejen, S.; Spaide, R.F. Optical Coherence Tomography: Imaging of the Choroid and Beyond. Surv. Ophthalmol. 2013, 58, 387–429. [Google Scholar] [CrossRef]
- Lim, L.S.; Cheung, G.; Lee, S.Y. Comparison of Spectral Domain and Swept-Source Optical Coherence Tomography in Pathological Myopia. Eye 2014, 28, 488–491. [Google Scholar] [CrossRef]
- Berger, A.; Cavallero, S.; Dominguez, E.; Barbe, P.; Simonutti, M.; Sahel, J.A.; Sennlaub, F.; Raoul, W.; Paques, M.; Bemelmans, A.P. Spectral-Domain Optical Coherence Tomography of the Rodent Eye: Highlighting Layers of the Outer Retina Using Signal Averaging and Comparison with Histology. PLoS ONE 2014, 9, e96494. [Google Scholar] [CrossRef]
- Spaide, R.F.; Fujimoto, J.G.; Waheed, N.K.; Sadda, S.R.; Staurenghi, G. Optical Coherence Tomography Angiography. Prog. Retin. Eye Res. 2018, 64, 1–55. [Google Scholar] [CrossRef]
- Cooper, R.F.; Brainard, D.H.; Morgan, J.I.W. Optoretinography of Individual Human Cone Photoreceptors. Opt. Express 2020, 28, 39326. [Google Scholar] [CrossRef]
- Cabral, D.; Coscas, F.; Pereira, T.; Français, C.; Geraldes, C.; Laiginhas, R.; Rodrigues, C.; Kashi, A.K.; Nogueira, V.; Falcão, M.; et al. Quantitative Optical Coherence Tomography Angiography Biomarkers in a Treat-and-Extend Dosing Regimen in Neovascular Age-Related Macular Degeneration. Transl. Vis. Sci. Technol. 2020, 9, 18. [Google Scholar] [CrossRef]
- Iida, T.; Yannuzzi, L.A.; Spaide, R.F.; Borodoker, N.; Carvalho, C.A.; Negrao, S. Cystoid Macular Degeneration in Chronic Central Serous Chorioretinopathy. Retina 2003, 23, 1–7. [Google Scholar] [CrossRef]
- Spaide, R.F.; Donsoff, I.; Lam, D.L.; Yannuzzi, L.A.; Jampol, L.M.; Slakter, J.; Sorenson, J.; Freund, K.B. Treatment of Polypoidal Choroidal Vasculopathy with Photodynamic Therapy. Retina 2002, 22, 529–535. [Google Scholar] [CrossRef]
- Spaide, R.F.; Lee, J.K.; Klancnik, J.M.; Gross, N.E. Optical Coherence Tomography of Branch Retinal Vein Occlusion. Retina 2003, 23, 343–347. [Google Scholar] [CrossRef]
- Galiero, R.; Pafundi, P.C.; Nevola, R.; Rinaldi, L.; Acierno, C.; Caturano, A.; Salvatore, T.; Adinolfi, L.E.; Costagliola, C.; Sasso, F.C. The Importance of Telemedicine during COVID-19 Pandemic: A Focus on Diabetic Retinopathy. J. Diabetes Res. 2020, 2020, 9036847. [Google Scholar] [CrossRef]
- Schlegl, T.; Waldstein, S.; Bogunovic, H.; Endstraßer, F.; Sadeghipour, A.; Philip, A.; Podkowinski, D.; Gerendas, B.; Langs, G.; Schmidt-Erfurth, U. Fully Automated Detection and Quantification of Macular Fluid in OCT Using Deep Learning. Ophthalmology 2018, 125, 549–558. [Google Scholar] [CrossRef]
- Vaz-Pereira, S.; Monteiro-Grillo, M.; Engelbert, M. Near-Infrared Reflectance Imaging of Neovascularization in Proliferative Diabetic Retinopathy. Int. J. Retin. Vitr. 2020, 6, 59. [Google Scholar] [CrossRef] [PubMed]
- Mukai, R.; Sato, T.; Kishi, S. A Hyporeflective Space between Hyperreflective Materials in Pigment Epithelial Detachment and Bruch’s Membrane in Neovascular Age-Related Macular Degeneration. BMC Ophthalmol. 2014, 14, 159. [Google Scholar] [CrossRef] [PubMed]
- Venkatesh, R.; Pereira, A.; Sangai, S.; Yadav, N. Hyporeflective Micro-Elevations and Irregularity of the Ellipsoid Layer: Novel Optical Coherence Tomography Features in Commotio Retinae. Can. J. Ophthalmol. 2020, 55, 492–499. [Google Scholar] [CrossRef] [PubMed]
- Furashova, O.; Matthé, E. Foveal Crack Sign as a Predictive Biomarker for Development of Macular Hole in Fellow Eyes of Patients with Full-Thickness Macular Holes. Sci. Rep. 2020, 10, 19932. [Google Scholar] [CrossRef]
- Ishibashi, T.; Iwama, Y.; Nakashima, H.; Ikeda, T.; Emi, K. Foveal Crack Sign: An OCT Sign Preceding Macular Hole After Vitrectomy for Rhegmatogenous Retinal Detachment. Am. J. Ophthalmol. 2020, 218, 192–198. [Google Scholar] [CrossRef] [PubMed]
- Liu, S.; Wang, D.; Chen, F.; Zhang, X. Hyperreflective Foci in OCT Image as a Biomarker of Poor Prognosis in Diabetic Macular Edema Patients Treating with Conbercept in China. BMC Ophthalmol. 2019, 19, 157. [Google Scholar] [CrossRef]
- Risseeuw, S.; Bennink, E.; Poirot, M.; de Jong, P.; Spiering, W.; Imhof, S.; van Leeuwen, R.; Ossewaarde-van Norel, J. A Reflectivity Measure to Quantify Bruch’s Membrane Calcification in Patients with Pseudoxanthoma Elasticum Using Optical Coherence Tomography. Transl. Vis. Sci. Technol. 2020, 9, 34. [Google Scholar] [CrossRef]
- Huang, H.; Zhu, L.; Zhu, W.; Lin, T.; Los, L.I.; Yao, C.; Chen, X.; Chen, H. Algorithm for Detection and Quantification of Hyperreflective Dots on Optical Coherence Tomography in Diabetic Macular Edema. Front. Med. 2021, 8, 688986. [Google Scholar] [CrossRef]
- Sahel, J.A.; Boulanger-Scemama, E.; Pagot, C.; Arleo, A.; Galluppi, F.; Martel, J.N.; Esposti, S.D.; Delaux, A.; de Saint Aubert, J.B.; de Montleau, C.; et al. Partial Recovery of Visual Function in a Blind Patient after Optogenetic Therapy. Nat. Med. 2021, 27, 1223–1229. [Google Scholar] [CrossRef]
- Palanker, D.; Le Mer, Y.; Mohand-Said, S.; Sahel, J.A. Simultaneous Perception of Prosthetic and Natural Vision in AMD Patients. Nat. Commun. 2022, 13, 513. [Google Scholar] [CrossRef]
- Ge, G.R.; Rolland, J.P.; Parker, K.J. Speckle Statistics of Biological Tissues in Optical Coherence Tomography. Biomed. Opt. Express 2021, 12, 4179. [Google Scholar] [CrossRef] [PubMed]
- Tah, V.; Keane, P.; Esposti, S.; Allimuthu, J.; Chen, F.; Cruz, L.; Tufail, A.; Patel, P. Repeatability of Retinal Thickness and Volume Metrics in Neovascular Age-Related Macular Degeneration Using the Topcon 3doct-1000. Indian J. Ophthalmol. 2014, 62, 941–948. [Google Scholar] [CrossRef] [PubMed]
- Lee, T.H.; Bin Lim, H.; Nam, K.Y.; Kim, K.; Kim, J.Y. Factors Affecting Repeatability of Assessment of the Retinal Microvasculature Using Optical Coherence Tomography Angiography in Healthy Subjects. Sci. Rep. 2019, 9, 16291. [Google Scholar] [CrossRef]
- Prasad, S.; Galetta, S.L. Anatomy and Physiology of the Afferent Visual System; Elsevier: Amsterdam, The Netherlands, 2011. [Google Scholar]
- Fernández, E.; Alfaro, A.; Soto-Sánchez, C.; Gonzalez-Lopez, P.; Lozano, A.M.; Peña, S.; Grima, M.D.; Rodil, A.; Gómez, B.; Chen, X.; et al. Visual Percepts Evoked with an Intracortical 96-Channel Microelectrode Array Inserted in Human Occipital Cortex. J. Clin. Investig. 2021, 131, e151331. [Google Scholar] [CrossRef] [PubMed]
- Aleman, T.S.; Cideciyan, A.V.; Sumaroka, A.; Schwartz, S.B.; Roman, A.J.; Windsor, E.A.M.; Steinberg, J.D.; Branham, K.; Othman, M.; Swaroop, A.; et al. Inner Retinal Abnormalities in X-Linked Retinitis Pigmentosa with RPGR Mutations. Investig. Ophthalmol. Vis. Sci. 2007, 48, 4759. [Google Scholar] [CrossRef]
- Jacobson, S.G.; Cideciyan, A.V.; Roman, A.J.; Sumaroka, A.; Schwartz, S.B.; Heon, E.; Hauswirth, W.W. Improvement and Decline in Vision with Gene Therapy in Childhood Blindness. N. Engl. J. Med. 2015, 372, 1920–1926. [Google Scholar] [CrossRef]
- Hood, D.C.; Lin, C.E.; Lazow, M.A.; Locke, K.G.; Zhang, X.; Birch, D.G. Thickness of Receptor and Post-Receptor Retinal Layers in Patients with Retinitis Pigmentosa Measured with Frequency-Domain Optical Coherence Tomography. Investig. Ophthalmol. Vis. Sci. 2009, 50, 2328. [Google Scholar] [CrossRef]
- Boyden, E.S.; Zhang, F.; Bamberg, E.; Nagel, G.; Deisseroth, K. Millisecond-Timescale, Genetically Targeted Optical Control of Neural Activity. Nat. Neurosci. 2005, 8, 1263–1268. [Google Scholar] [CrossRef]
- Bi, A.; Cui, J.; Ma, Y.P.; Olshevskaya, E.; Pu, M.; Dizhoor, A.M.; Pan, Z.H. Ectopic Expression of a Microbial-Type Rhodopsin Restores Visual Responses in Mice with Photoreceptor Degeneration. Neuron 2006, 50, 23–33. [Google Scholar] [CrossRef]
- Santos, A.; Humayun, M.S.; De Juan, E.; Greenburg, R.J.; Marsh, M.J.; Klock, I.B.; Milam, A.H. Preservation of the Inner Retina in Retinitis Pigmentosa. A Morphometric Analysis. Arch. Ophthalmol. 1997, 115, 511–515. [Google Scholar] [CrossRef]
- Byrne, L.C.; Dalkara, D.; Luna, G.; Fisher, S.K.; Clérin, E.; Sahel, J.A.; Léveillard, T.; Flannery, J.G. Viral-Mediated RdCVF and RdCVFL Expression Protects Cone and Rod Photoreceptors in Retinal Degeneration. J. Clin. Investig. 2015, 125, 105–116. [Google Scholar] [CrossRef] [PubMed]
- Loudin, J.D.; Cogan, S.F.; Mathieson, K.; Sher, A.; Palanker, D.V. Photodiode Circuits for Retinal Prostheses. IEEE Trans. Biomed. Circuits Syst. 2011, 5, 468–480. [Google Scholar] [CrossRef] [PubMed]
- Wang, B.Y.; Chen, Z.C.; Bhuckory, M.; Kochnev Goldstein, A.; Palanker, D. Pixel Size Limit of the PRIMA Implants: From Humans to Rodents and Back. J. Neural Eng. 2022, 19, 055003. [Google Scholar] [CrossRef]
- Denlinger, B.; Helft, Z.; Telias, M.; Lorach, H.; Palanker, D.; Kramer, R.H. Local Photoreceptor Degeneration Causes Local Pathophysiological Remodeling of Retinal Neurons. JCI Insight 2020, 5, e132114. [Google Scholar] [CrossRef]
- Al Rashaed, S.; Khan, A.O.; Nowilaty, S.R.; Edward, D.P.; Kozak, I. Spectral-Domain Optical Coherence Tomography Reveals Prelaminar Membranes in Optic Nerve Head Pallor in Eyes with Retinitis Pigmentosa. Graefes Arch. Clin. Exp. Ophthalmol. 2016, 254, 77–81. [Google Scholar] [CrossRef] [PubMed]
- Berendschot, T.; Goldbohm, A.; Klöpping, W.; van de Kraats, J.; van Norel, J.; van Norren, D. Influence of Lutein Supplementation on Macular Pigment, Assessed with Two Objective Techniques. Investig. Ophthalmol. Vis. Sci. 2000, 41, 3322–3326. [Google Scholar]
- Duncan, J.L.; Aleman, T.S.; Gardner, L.M.; De Castro, E.; Marks, D.A.; Emmons, J.M.; Bieber, M.L.; Steinberg, J.D.; Bennett, J.; Stone, E.M.; et al. Macular Pigment and Lutein Supplementation in Choroideremia. Exp. Eye Res. 2002, 74, 371–381. [Google Scholar] [CrossRef]
- Aleman, T.S.; Cideciyan, A.V.; Windsor, E.A.M.; Schwartz, S.B.; Swider, M.; Chico, J.D.; Sumaroka, A.; Pantelyat, A.Y.; Duncan, K.G.; Gardner, L.M.; et al. Macular Pigment and Lutein Supplementation in ABCA4-Associated Retinal Degenerations. Investig. Ophthalmol. Vis. Sci. 2007, 48, 1319–1329. [Google Scholar] [CrossRef]
- Sandberg, M.A.; Johnson, E.J.; Berson, E.L. The Relationship of Macular Pigment Optical Density to Serum Lutein in Retinitis Pigmentosa. Investig. Ophthalmol. Vis. Sci. 2010, 51, 1086. [Google Scholar] [CrossRef]
- Gharbiya, M.; Grandinetti, F.; Scavella, V.; Cecere, M.; Esposito, M.; Segnalini, A.; Gabrieli, C.B. Correlation between Spectral-Domain Optical Coherence Tomography Findings and Visual Outcome after Primary Rhegmatogenous Retinal Detachment Repair. Retina 2012, 32, 43–53. [Google Scholar] [CrossRef]
- Leber, T. Ueber Retinitis Pigmentosa Und Angeborene Amaurose. Arch. Opthalmologie 1869, 15, 1–25. [Google Scholar] [CrossRef]
- Hyon, J.Y.; Yeo, H.E.; Seo, J.M.; Lee, I.B.; Lee, J.H.; Hwang, J.M. Objective Measurement of Distance Visual Acuity Determined by Computerized Optokinetic Nystagmus Test. Investig. Ophthalmol. Vis. Sci. 2010, 51, 752–757. [Google Scholar] [CrossRef] [PubMed]
- Çetinkaya, A.; Oto, S.; Akman, A.; Akova, Y.A. Relationship between Optokinetic Nystagmus Response and Recognition Visual Acuity. Eye 2008, 22, 77–81. [Google Scholar] [CrossRef] [PubMed]
- Prusky, G.T.; Alam, N.M.; Beekman, S.; Douglas, R.M. Rapid Quantification of Adult and Developing Mouse Spatial Vision Using a Virtual Optomotor System. Investig. Ophthalmol. Vis. Sci. 2004, 45, 4611–4616. [Google Scholar] [CrossRef] [PubMed]
- Xi, Z.; Vats, A.; Sahel, J.A.; Chen, Y.; Byrne, L.C. Gene Augmentation Prevents Retinal Degeneration in a CRISPR/Cas9-Based Mouse Model of PRPF31 Retinitis Pigmentosa. Nat. Commun. 2022, 13, 7695. [Google Scholar] [CrossRef]
- Stelmack, J.A.; Szlyk, J.P.; Stelmack, T.R.; Demers-Turco, P.; Williams, R.T.; Moran, D.; Massof, R.W. Psychometric Properties of the Veterans Affairs Low-Vision Visual Functioning Questionnaire. Investig. Ophthalmol. Vis. Sci. 2004, 45, 3919–3928. [Google Scholar] [CrossRef]
- Stingl, K.; Kempf, M.; Jung, R.; Kortüm, F.; Righetti, G.; Reith, M.; Dimopoulos, S.; Ott, S.; Kohl, S.; Stingl, K. Therapy with Voretigene Neparvovec. How to Measure Success? Prog. Retin. Eye Res. 2023, 92, 101115. [Google Scholar] [CrossRef]




Disclaimer/Publisher’s Note: The statements, opinions and data contained in all publications are solely those of the individual author(s) and contributor(s) and not of MDPI and/or the editor(s). MDPI and/or the editor(s) disclaim responsibility for any injury to people or property resulting from any ideas, methods, instructions or products referred to in the content. |
© 2023 by the authors. Licensee MDPI, Basel, Switzerland. This article is an open access article distributed under the terms and conditions of the Creative Commons Attribution (CC BY) license (https://creativecommons.org/licenses/by/4.0/).
Share and Cite
Paez-Escamilla, M.; Alabek, M.L.; Beale, O.; Prensky, C.J.; Lejoyeux, R.; Friberg, T.R.; Sahel, J.-A.; Rosin, B. An Optical Coherence Tomography-Based Measure as an Independent Estimate of Retinal Function in Retinitis Pigmentosa. Diagnostics 2023, 13, 3521. https://doi.org/10.3390/diagnostics13233521
Paez-Escamilla M, Alabek ML, Beale O, Prensky CJ, Lejoyeux R, Friberg TR, Sahel J-A, Rosin B. An Optical Coherence Tomography-Based Measure as an Independent Estimate of Retinal Function in Retinitis Pigmentosa. Diagnostics. 2023; 13(23):3521. https://doi.org/10.3390/diagnostics13233521
Chicago/Turabian StylePaez-Escamilla, Manuel, Michelle L. Alabek, Oliver Beale, Colin J. Prensky, Raphael Lejoyeux, Thomas R. Friberg, Jose-Alain Sahel, and Boris Rosin. 2023. "An Optical Coherence Tomography-Based Measure as an Independent Estimate of Retinal Function in Retinitis Pigmentosa" Diagnostics 13, no. 23: 3521. https://doi.org/10.3390/diagnostics13233521
APA StylePaez-Escamilla, M., Alabek, M. L., Beale, O., Prensky, C. J., Lejoyeux, R., Friberg, T. R., Sahel, J.-A., & Rosin, B. (2023). An Optical Coherence Tomography-Based Measure as an Independent Estimate of Retinal Function in Retinitis Pigmentosa. Diagnostics, 13(23), 3521. https://doi.org/10.3390/diagnostics13233521
