Medical Image Despeckling Using the Invertible Sparse Fuzzy Wavelet Transform with Nature-Inspired Minibatch Water Wave Swarm Optimization
Abstract
:1. Introduction
- Implementation of the sparse fuzzy wavelet transform for obtaining the noisy threshold for analyzing the noisy areas in the image;
- Then, in order to accurately remove the speckle noise in the input image, the determined threshold was applied to NIMWVSO.
2. Related Work
3. Problem Statement
4. Proposed Work
4.1. Data Source
4.2. System Model
4.3. ISFWT-Based Pixel Coefficient Analysis
4.4. NIMWVSO-Based Noise Removal
5. Performance Analysis
Image Quality Evaluation Metrics
- Signal-to-noise ratio (SNR): A common method for determining how well coherent imaging suppresses noise when that noise is multiplicative. This is achieved by comparing the intensity of the desired signal to that of the surrounding noise.
- Root mean square error (RMSE): This is calculated by squaring the intensity value difference between the original and denoised images and then dividing that number by the image’s size to obtain the root average.
- Peak signal-to-noise ratio (PSNR): This provides the image quality as a ratio of the original signal power to the signal power after denoising. A higher PSNR number indicates a better quality image.
- Pratt’s figure of merit (FOM) (Pratt 2007): In particular, this assesses how effectively an image retains its borders. The method used to generate a binary edge map has a significant impact on the FOM; higher PSNR values suggest better image quality. The Canny edge detector, which optimizes the FOM, is used for all of the speckle-reduction methods so that the results may be fairly compared. The FOM may take on any value between 0 and 1, with 1 representing optimal edge preservation.
- Normalized cross-correlation (NK): Its value (as a correlation-based measure of picture quality) is 1 for pairs of identical images.
- Average difference (AD): The average noise reduction is determined by comparing the original and denoised versions of a single pixel.
- Maximum difference (MD): Image denoising to the greatest possible degree.
- Normalized absolute error (NAE): This is a measurement of how effectively an image can predict its own mistakes.
- Coefficient of correlation (CoC): illustrates the linear relationship between the original and denoised photos and the direction in which that relationship runs.
- Quality index based on local variance (QILV) (Aja-Fernandez 2006): This theory relies on the observation that the local variance distribution of a picture encodes a great deal of the image’s structural information.
- Universal quality index (UQI) (Wang 2002): This is built on the idea that every distorted picture has three parts: a lack of correlation, distorted brightness, and distorted contrast.
- Laplacian mean square error (LMSE): Local contrast is an essential aspect of picture quality. Laplacian mean square error is the standard method for assessing picture local contrast.
- Mean structural similarity index map (MSSIM): We may use MSSIM to compare the lighting, contrast, and structure of two photos to see how closely they are alike (Wang, 2004). It may be used to discover comparable images for comparative purposes.
- Speckle Reduction Score (SRS): Several experiments have shown the usefulness of the MSSIM index, although there may be cases when the resulting quality measure does not agree with a subjective assessment based on visual data. A novel metric, the Speckle Reduction Score (SRS), is proposed and its computation is decomposed into two stages. The first stage is to determine the local similarity map, and the second is to combine the results from each map into a single value.
6. Conclusions
Author Contributions
Funding
Institutional Review Board Statement
Informed Consent Statement
Data Availability Statement
Acknowledgments
Conflicts of Interest
References
- Shabana Sulthana, S.L.; Sucharitha, M. Kinetic Gas Molecule Optimization (KGMO)-Based Speckle Noise Reduction in Ultrasound Images. Soft Comput. Signal Process. 2022, 10, 447–455. [Google Scholar]
- Karaoğlu, O.; Bilge, H.Ş.; Uluer, İ. Removal of speckle noises from ultrasound images using five different deep learning networks. EST 2022, 29, 101030. [Google Scholar] [CrossRef]
- Shereena, V.B.; Raju, G. Modified non-local means model for speckle noise reduction in ultrasound images. Congr. Intell. Syst. 2022, 10, 691–707. [Google Scholar]
- Jayasingh, R.; RJS, J.K.; Telagathoti, D.B.; Sagayam, K.M.; Pramanik, S.; Jena, O.P.; Bandyopadhyay, S.K. Speckle noise removal by SORAMA segmentation in Digital Image Processing to facilitate precise robotic surgery. Int. J. Reliab. Qual. E-Healthc. 2022, 11, 1–19. [Google Scholar]
- Zeng, L.; Huang, M.; Li, Y.; Chen, Q.; Dai, H.N. Progressive Feature Fusion Attention Dense Network for Speckle Noise Removal in OCT Images. IEEE/ACM Trans. Comput. Biol. Bioinform. 2022, 10, 447–455. [Google Scholar] [CrossRef] [PubMed]
- Bhonsle, D.; Rizvi, T.; Mishra, S.; Sinha, G.R.; Kumar, A.; Jain, V.K. Reduction of Ultrasound Images using Combined Bilateral Filter & Median Modified Wiener Filter. In Proceedings of the 2022 Second International Conference on Advances in Electrical, Computing, Communication and Sustainable Technologies, Bhilai, India, 21–22 April 2022; pp. 1–5. [Google Scholar]
- Tătăranu, E.L.E.N.A.; Diaconescu, S.; Ivănescu, C.G.; Sarbu, I.; Stamatin, M. Clinical, immunological and pathological profile of infants suffering from cow’s milk protein allergy. Rom. J. Morphol. Embryol. Rev. Roum. Morphol. Embryol. 2016, 57, 1031–1035. [Google Scholar]
- Lather, M.; Singh, P. Contrast Enhancement and Noise Removal from Medical Images Using a Hybrid Technique. In New Approaches for Multidimensional Signal Processing: Proceedings of International Workshop, NAMSP 2021; Springer: Berlin/Heidelberg, Germany, 2022; Volume 10, pp. 223–232. [Google Scholar]
- Pradeep, S.; Nirmaladevi, P. A review on speckle noise reduction techniques in ultrasound medical images based on spatial domain, transform domain and CNN methods. In IOP Conference Series: Materials Science and Engineering; IOP Publishing: Bristol, UK, 2021; Volume 10, p. 012116. [Google Scholar]
- Joshi, K.; Memoria, M.; Singh, L.; Verma, P.; Barthwal, A. Multi-Modality Medical Image Fusion Using SWT & Speckle Noise Reduction with Bidirectional Exact Pattern Matching Algorithm. In Disruptive Technologies for Society 5.0; CRC Press: Boca Raton, FL, USA, 2021; Volume 10, pp. 339–359. [Google Scholar]
- Nadeem, M.; Hussain, A.; Munir, A. Fuzzy logic based computational model for speckle noise removal in ultrasound images. Multimed. Tools Appl. 2019, 78, 18531–18548. [Google Scholar] [CrossRef]
- Hermawati, F.A.; Tjandrasa, H.; Suciati, N. Hybrid Speckle Noise Reduction Method for Abdominal Circumference Segmentation of Fetal Ultrasound Images. Int. J. Electr. Comput. Eng. 2018, 8, 2088–8708. [Google Scholar]
- Ciongradi, C.I.; Sârbu, I.; Iliescu Halițchi, C.O.; Benchia, D.; Sârbu, K. Fertility of Cryptorchid Testis—An Unsolved Mistery. Genes 2021, 12, 1894. [Google Scholar] [CrossRef]
- Ciongradi, C.I.; Filip, F.; Sârbu, I.; Iliescu Halițchi, C.O.; Munteanu, V.; Candussi, I.L. The Impact of Water and Other Fluids on Pediatric Nephrolithiasis. Nutrients 2022, 14, 4161. [Google Scholar] [CrossRef]
- Duarte-Salazar, C.A.; Castro-Ospina, A.E.; Becerra, M.A.; Delgado-Trejos, E. Speckle noise reduction in ultrasound images for improving the metrological evaluation of biomedical applications: An overview. IEEE Access 2020, 8, 15983–15999. [Google Scholar] [CrossRef]
- Sui, X.; Ishikawa, H.; Selesnick, I.W.; Wollstein, G.; Schuman, J.S. Speckle noise reduction in OCT and projection images using hybrid wavelet thresholding. In Proceedings of the 2018 IEEE Signal Processing in Medicine and Biology Symposium, Philadelphia, PA, USA, 1 December 2018; pp. 1–6. [Google Scholar]
- SL, S.S. Bayesian Framework-Based Adaptive Hybrid Filtering for Speckle Noise Reduction in Ultrasound Images Via Lion Plus FireFly Algorithm. J. Digit. Imaging 2021, 34, 1463–1477. [Google Scholar]
- Ciongradi, C.I.; Benchia, D.; Stupu, C.A.; Iliescu Halițchi, C.O.; Sârbu, I. Quality of Life in Pediatric Patients with Continent Urinary Diversion-A Single Center Experience. Int. J. Environ. Res. Public Health 2022, 19, 9628. [Google Scholar] [CrossRef] [PubMed]
- Castaneda, R.; Garcia-Sucerquia, J.; Doblas, A. Speckle noise reduction in coherent imaging systems via hybrid median–mean filter. Opt. Eng. 2021, 60, 123107. [Google Scholar] [CrossRef]
- Choi, H.; Jeong, J. Speckle noise reduction in ultrasound images using SRAD and guided filter. In Proceedings of the 2018 International Workshop on Advanced Image Technology, Chiang Mai, Thailand, 7–9 January 2018; Volume 60, pp. 1–4. [Google Scholar]
- Rosa, R. Performance analysis of speckle ultrasound image filtering. Comput. Methods Biomech. Biomed. Eng. Imaging Vis. 2016, 4, 193–201. [Google Scholar] [CrossRef]
- Ramesh, T.R.; Lilhore, U.K.; Poongodi, M.; Simaiya, S.; Kaur, A.; Hamdi, M. Predictive Analysis of Heart Disease with Machine learning Approaches. Malays. J. Comput. Sci. 2022, 132–148. [Google Scholar] [CrossRef]
- Lilhore, U.K.; Poongodi, M.; Kaur, A.; Simaiya, S.; Algarni, A.D.; Elmannai, H.; Vijayakumar, V.; Tunze, G.B.; Hamdi, M. Hybrid Model for Detection of Cervical Cancer Using Causal Analysis and Machine Learning Techniques. Comput. Math. Methods Med. 2022, 2022, 4688327. [Google Scholar] [CrossRef]
- Popa, Ș.; Apostol, D.; Bîcă, O.; Benchia, D.; Sârbu, I.; Ciongradi, C.I. Prenatally Diagnosed Infantile Myofibroma of Sartorius Muscle-A Differential for Soft Tissue Masses in Early Infancy. Diagnostics 2021, 11, 2389. [Google Scholar] [CrossRef] [PubMed]
- Poongodi, M.; Hamdi, M.; Malviya, M.; Sharma, A.; Dhiman, G.; Vimal, S. Diagnosis and combating COVID-19 using wearable Oura smart ring with deep learning methods. Pers. Ubiquitous Comput. 2022, 26, 25–35. [Google Scholar] [CrossRef]
- Ahila, A.; Poongodi, M.; Hamdi, M.; Bourouis, S.; Rastislav, K.; Mohmed, F. Evaluation of Neuro Images for the Diagnosis of Alzheimer’s Disease Using Deep Learning Neural Network. Front. Public Health 2022, 10, 834032. [Google Scholar] [CrossRef]
- Bourouis, S.; Band, S.S.; Mosavi, A.; Agrawal, S.; Hamdi, M. Meta-heuristic algorithm-tuned neural network for breast cancer diagnosis using ultrasound images. Front. Oncol. 2022, 12, 834028. [Google Scholar]







| Read Noise Levels | Mean of Estimated Noise Level | Mean Estimated Error |
|---|---|---|
| 0.1 | 0.09 | 0.01 |
| 0.2 | 0.18 | 0.02 |
| 0.3 | 0.3 | 0 |
| 0.4 | 0.4 | 0 |
| 0.5 | 0.5 | 0 |
| Method | RMSE | PSNR | MSSIM | Pratt’s FOM |
|---|---|---|---|---|
| Lee Filter [12] | 30 | 21 | 0.783 | 86 |
| Frost Filter [12] | 23 | 24 | 0.88 | 93 |
| Shock Filter [12] | 17 | 27 | 0.877 | 58 |
| Bilateral Filter [12] | 12 | 30 | 0.882 | 53 |
| AD [12] | 13 | 29 | 0.78 | 65 |
| SRAD [12] | 32 | 21 | 0.757 | 82 |
| DWT [12] | 16 | 27 | 0.701 | 37 |
| MBF [12] | 16 | 27 | 0.861 | 78 |
| Thresholding Technique and the Anisotropic Diffusion Method [12] | 13 | 29 | 0.903 | 93 |
| Proposed Method | 10 | 13 | 0.2 | 30 |
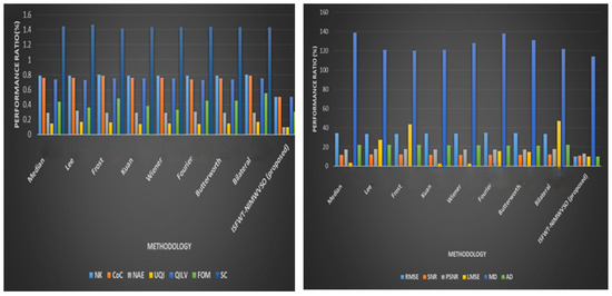
| Metrics | RMSE | SNR | PSNR | LMSE | MD | AD | NK |
|---|---|---|---|---|---|---|---|
| Median [21] | 34.46 | 11.8 | 17.38 | 3.61 | 139 | 22.37 | 0.79 |
| Lee [21] | 33.28 | 12.03 | 17.74 | 27.43 | 121 | 22.31 | 0.79 |
| Frost [21] | 33.37 | 12.03 | 17.66 | 43.32 | 120 | 22.08 | 0.8 |
| Kuan [21] | 34.06 | 11.86 | 17.49 | 2.65 | 121 | 21.82 | 0.79 |
| Wiener [21] | 34.12 | 11.85 | 17.47 | 2.53 | 128 | 21.84 | 0.79 |
| Fourier [21] | 34.96 | 11.65 | 17.26 | 15.57 | 138 | 21.51 | 0.79 |
| Butterworth [21] | 34.29 | 11.8 | 17.43 | 14.76 | 131 | 21.43 | 0.79 |
| Bilateral [21] | 33.42 | 12.02 | 17.65 | 47.2 | 122 | 22.25 | 0.8 |
| ISFWT-NIMWVSO (proposed) | 10 | 11 | 13 | 10 | 114 | 10 | 0.5 |
| Metrics | CoC | NAE | UQI | QILV | FOM | SC | MSSIM | SRS |
|---|---|---|---|---|---|---|---|---|
| Median [21] | 0.76 | 0.29 | 0.15 | 0.74 | 0.44 | 1.45 | 0.47 | 1.68 |
| Lee [21] | 0.76 | 0.32 | 0.17 | 0.73 | 0.36 | 1.47 | 0.53 | 14.54 |
| Frost [21] | 0.79 | 0.29 | 0.16 | 0.75 | 0.48 | 1.42 | 0.53 | 23.09 |
| Kuan [21] | 0.76 | 0.29 | 0.14 | 0.75 | 0.38 | 1.43 | 0.44 | 1.17 |
| Wiener [21] | 0.76 | 0.29 | 0.15 | 0.75 | 0.33 | 1.43 | 0.47 | 1.18 |
| Fourier [21] | 0.74 | 0.3 | 0.14 | 0.73 | 0.45 | 1.44 | 0.42 | 6.47 |
| Butterworth [21] | 0.75 | 0.29 | 0.15 | 0.74 | 0.45 | 1.43 | 0.45 | 6.69 |
| Bilateral [21] | 0.79 | 0.29 | 0.17 | 0.75 | 0.55 | 1.43 | 0.54 | 25.38 |
| ISFWT-NIMWVSO (proposed) | 0.5 | 0.1 | 0.1 | 0.5 | 0.3 | 1.2 | 0.2 | 5 |
Disclaimer/Publisher’s Note: The statements, opinions and data contained in all publications are solely those of the individual author(s) and contributor(s) and not of MDPI and/or the editor(s). MDPI and/or the editor(s) disclaim responsibility for any injury to people or property resulting from any ideas, methods, instructions or products referred to in the content. |
© 2023 by the authors. Licensee MDPI, Basel, Switzerland. This article is an open access article distributed under the terms and conditions of the Creative Commons Attribution (CC BY) license (https://creativecommons.org/licenses/by/4.0/).
Share and Cite
Amarnath, A.; Manoharan, P.; Natarajan, B.; Alroobaea, R.; Alsafyani, M.; Baqasah, A.M.; Keshta, I.; Raahemifar, K. Medical Image Despeckling Using the Invertible Sparse Fuzzy Wavelet Transform with Nature-Inspired Minibatch Water Wave Swarm Optimization. Diagnostics 2023, 13, 2919. https://doi.org/10.3390/diagnostics13182919
Amarnath A, Manoharan P, Natarajan B, Alroobaea R, Alsafyani M, Baqasah AM, Keshta I, Raahemifar K. Medical Image Despeckling Using the Invertible Sparse Fuzzy Wavelet Transform with Nature-Inspired Minibatch Water Wave Swarm Optimization. Diagnostics. 2023; 13(18):2919. https://doi.org/10.3390/diagnostics13182919
Chicago/Turabian StyleAmarnath, Ahila, Poongodi Manoharan, Buvaneswari Natarajan, Roobaea Alroobaea, Majed Alsafyani, Abdullah M. Baqasah, Ismail Keshta, and Kaamran Raahemifar. 2023. "Medical Image Despeckling Using the Invertible Sparse Fuzzy Wavelet Transform with Nature-Inspired Minibatch Water Wave Swarm Optimization" Diagnostics 13, no. 18: 2919. https://doi.org/10.3390/diagnostics13182919
APA StyleAmarnath, A., Manoharan, P., Natarajan, B., Alroobaea, R., Alsafyani, M., Baqasah, A. M., Keshta, I., & Raahemifar, K. (2023). Medical Image Despeckling Using the Invertible Sparse Fuzzy Wavelet Transform with Nature-Inspired Minibatch Water Wave Swarm Optimization. Diagnostics, 13(18), 2919. https://doi.org/10.3390/diagnostics13182919

