Corneal Confocal Microscopy Predicts Cardiovascular and Cerebrovascular Events and Demonstrates Greater Peripheral Neuropathy in Patients with Type 1 Diabetes and Foot Ulcers
Abstract
:1. Introduction
2. Materials and Methods
2.1. Study Subjects
2.2. Clinical Assessments
2.3. Assessment of Micro- and Macrovascular Complications
2.4. Assessment of Neuropathy
2.5. Corneal Confocal Microscopy
2.6. Power Calculation
2.7. Statistical Analysis
3. Results
3.1. Demographics, Metabolic and Anthropometric Assessment (Table 1)
| Healthy Volunteers (n = 32) | T1D (n = 25) | DPN (n = 28) | DFU (n = 25) | p Value T1D vs. DPN | p Value DPN vs. DFU | p Value All Groups | |
|---|---|---|---|---|---|---|---|
| Demographics | |||||||
| Age (years) | 41.1 (11.3) | 43.4 (13.2) | 48.3 (7.8) | 49.8 (9.2) | 0.18 | 0.33 | 0.01 |
| Sex (Female) (no.) (%) | 17 (53) | 11 (44) | 14 (50) | 4 (16) | 0.67 | 0.01 | 0.03 |
| Duration of diabetes (years) | 0 (0) | 16.2 (12.3) | 25.5 (11.7) | 26.9 (10.9) | 0.01 | 0.67 | <0.001 |
| BMI (kg/m2) | 24.50 (3.8) | 27.8 (4.9) | 28.9 (5.7) | 28.2 (5.7) | 0.49 | 0.33 | 0.42 |
| Biochemistry | |||||||
| HbA1c (mmol/mol) | 37 (4) | 69 (13) | 78 (16) | 80 (17) | 0.03 | 0.74 | <0.001 |
| Cholesterol (mmol/L) | 4.7 (0.7) | 4.4 (1.0) | 4.8 (1.2) | 4.9 (0.5) | 0.18 | 0.68 | 0.22 |
| HDL (mmol/L) | 1.4 (0.4) | 1.7 (0.4) | 1.7 (0.5) | 1.5 (0.3) | 0.98 | 0.22 | 0.21 |
| LDL (mmol/L) | 2.6 (0.8) | 2.0 (0.8) | 2.4 (0.9) | 2.2 (0.6) | 0.09 | 0.26 | 0.05 |
| Triglycerides (mmol/L) | 1.4 (0.7) | 1.5 (0.8) | 1.7 (1.1) | 1.4 (0.5) | 0.34 | 0.24 | 0.61 |
| eGFR (ml/min/1.73 m2) | 82 (13) | 81 (17) | 74 (20) | 75 (20) | 0.17 | 0.78 | 0.30 |
| UACR (mg/mmol), median (IQR) | 0 (0) | 0.7 (1.4) | 2.4 (12.1) | 23.3 (37.3) | 0.06 | 0.002 | <0.001 |
| Microvascular Complications | |||||||
| Nephropathy (CKD 3–5) (no.) (%) | 0 (0) | 5 (20) | 9 (32) | 11 (44) | 0.32 | 0.37 | <0.001 |
| Retinopathy (R1–R3) (no.) (%) | 0 (0) | 7 (28) | 18 (64) | 18 (72) | 0.01 | 0.49 | <0.001 |
| Maculopathy (M1) (no.) (%) | 0 (0) | 5 (20) | 14 (50) | 16 (64) | 0.02 | 0.31 | <0.001 |
3.2. Neuropathy Assessment (Table 2)
| Healthy Volunteers (n = 32) | T1D (n = 25) | DPN (n = 28) | DFU (n = 25) | p Value T1D vs. DPN | p Value DPN vs. DFU | p Value All Groups | |
|---|---|---|---|---|---|---|---|
| VAS | 0 (0) | 0.6 (1.2) | 5.3 (3.0) | 5.8 (2.6) | <0.001 | 0.452 | <0.001 |
| NSP | 0 (0) | 2.1 (2.6) | 11.9 (7.2) | 18.2 (5.1) | <0.001 | <0.001 | <0.001 |
| NDS | 0 (0) | 0.6 (0.8) | 5.2 (2.6) | 7.8 (2.3) | <0.001 | <0.001 | <0.001 |
| VPT (Volt) | 6.7 (2.8) | 9.4 (2.6) | 17.2 (4.3) | 24.9 (6.7) | <0.001 | <0.001 | <0.001 |
| SNCV (m/s) | 55.5 (2.3) | 50.8 (4.5) | 35.4 (3.9) | 30.7 (2.6) | <0.001 | <0.001 | <0.001 |
| SNAP (μV) | 13.6 (1.6) | 7.5 (3.5) | 3.0 (2.0) | 2.2 (1.0) | <0.001 | 0.062 | <0.001 |
| CT (°C) | 27.6 (2.8) | 26.6 (1.9) | 17.1 (5.2) | 12.8 (2.8) | <0.001 | 0.001 | <0.001 |
| WT (°C) | 33.7 (1.3) | 37.6 (2.1) | 41.2 (1.4) | 46.3 (3.5) | <0.001 | <0.001 | <0.001 |
| CIP (°C) | 15.4 (2.7) | 16.0 (4.2) | 9.3 (4.6) | 3.2 (2.8) | <0.001 | <0.001 | <0.001 |
| WIP (°C) | 38.3 (1.1) | 41.1 (1.6) | 44.1 (1.8) | 48.4 (2.0) | <0.001 | <0.001 | <0.001 |
| CNFL (mm/mm2) | 21.08 (2.77) | 20.35 (2.46) | 9.78 (4.58) | 5.17 (1.82) | <0.001 | <0.001 | <0.001 |
| CNFD (no./mm2) | 25.02 (4.27) | 23.06 (6.21) | 11.50 (5.08) | 6.00 (2.59) | <0.001 | <0.001 | <0.001 |
| CNBD (no./mm2) | 26.94 (7.28) | 21.53 (7.27) | 11.51 (6.84) | 5.71 (3.43) | <0.001 | <0.001 | <0.001 |
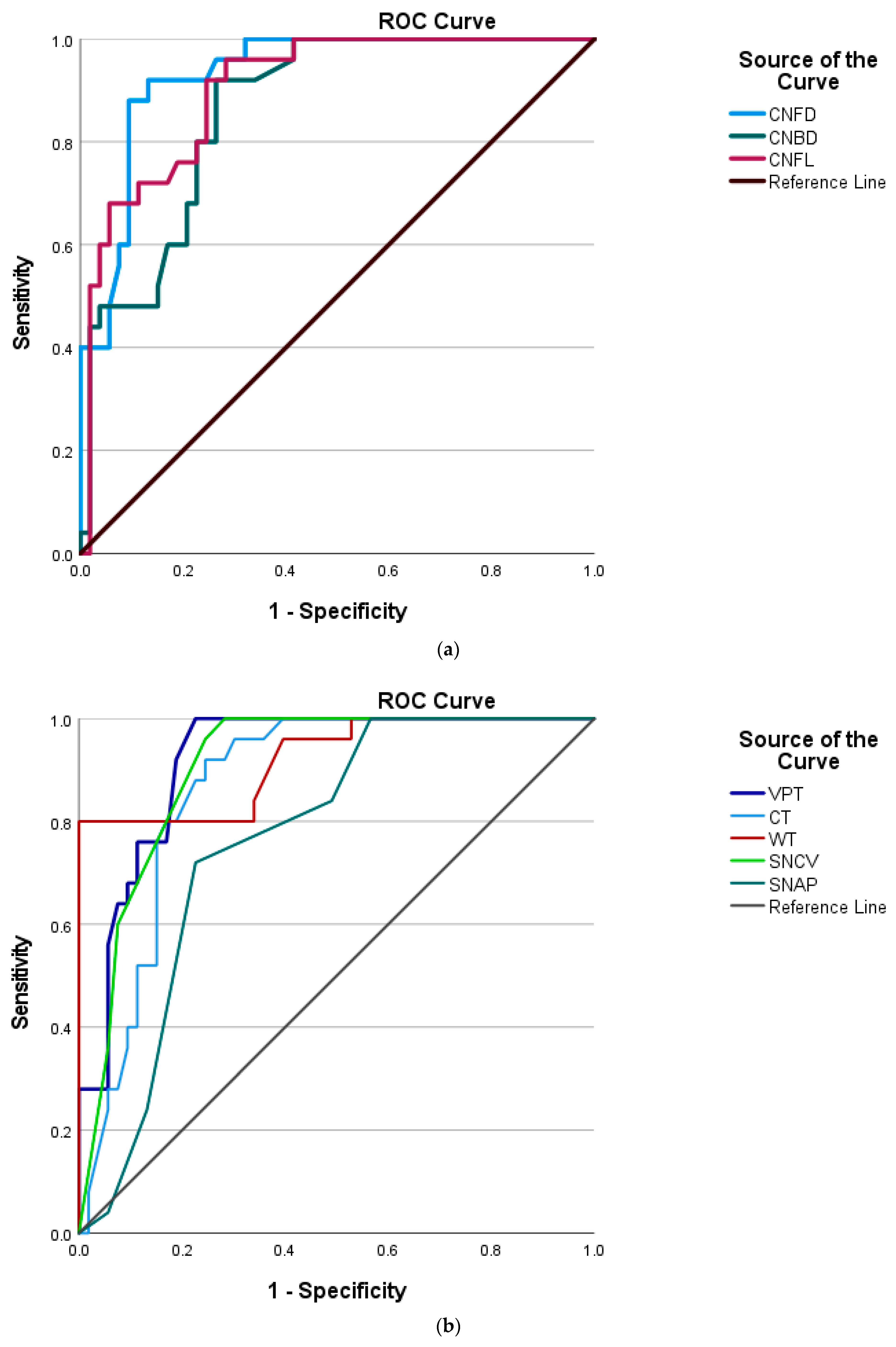
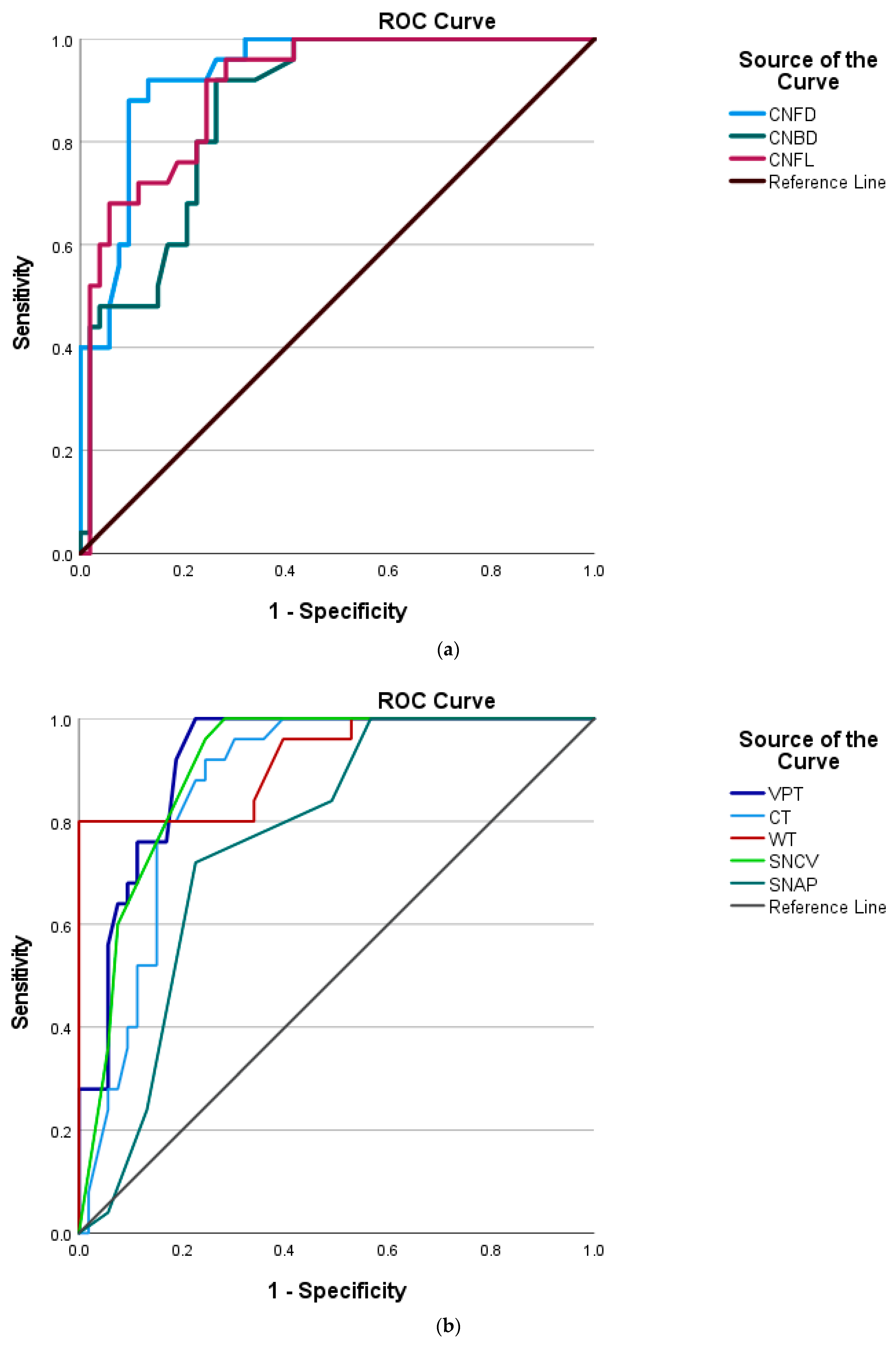
3.3. Receiver-Operating Characteristic (ROC) Analysis to Establish Diagnostic Utility of QST, NCV and CCM Parameters for DFU and DPN
3.4. Predictors of Cardiovascular and Cerebrovascular Events in Patients with T1D
4. Discussion
Supplementary Materials
Author Contributions
Funding
Institutional Review Board Statement
Informed Consent Statement
Data Availability Statement
Conflicts of Interest
Abbreviations
| AUC | Area under the curve |
| BMI | Body mass index |
| CCM | Corneal confocal microscopy |
| CIP | Cold-induced pain |
| CNBD | Corneal nerve branch density |
| CNFD | Corneal nerve fibre density |
| CNFL | Corneal nerve fibre length |
| CT | Cold threshold |
| CV | Cardiovascular events |
| CVA | Cerebrovascular accidents |
| DPN | Diabetic peripheral neuropathy |
| DFU | Diabetic foot ulcer |
| eGFR | Estimated glomerular filtration rate |
| HbA1c | Glycated haemoglobin |
| HDL | High-density lipoprotein |
| IQR | Interquartile range |
| LDL | Low-density lipoprotein |
| NDS | Neuropathy Disability Score |
| NSP | Neuropathy symptom profile |
| ROC | Receiver operating characteristic |
| SNAP | Sural nerve amplitude |
| SNCV | Sural nerve conduction velocity |
| Sn | Sensitivity |
| Sp | Specificity |
| T1D | Type 1 diabetes |
| T1D-DPN | Type 1 diabetes with diabetic peripheral neuropathy |
| T1D-DFU | Type 1 diabetes with diabetic foot ulcer |
| UACR | Urine albumin creatinine ratio |
| VAS | McGill Visual Analogue Score for pain |
| VPT | Vibration perception threshold |
| WT | Warm threshold |
| WIP | Warm-induced pain |
References
- Sun, H.; Saeedi, P.; Karuranga, S.; Pinkepank, M.; Ogurtsova, K.; Duncan, B.B.; Stein, C.; Basit, A.; Chan, J.C.N.; Mbanya, J.C.; et al. IDF Diabetes Atlas: Global, regional and country-level diabetes prevalence estimates for 2021 and projections for 2045. Diabetes Res. Clin. Pract. 2022, 183, 109119. [Google Scholar] [CrossRef]
- Edmonds, M.; Manu, C.; Vas, P. The current burden of diabetic foot disease. J. Clin. Orthop. Trauma 2021, 17, 88–93. [Google Scholar] [CrossRef]
- Armstrong, D.G.; Boulton, A.J.M.; Bus, S.A. Diabetic Foot Ulcers and Their Recurrence. N. Engl. J. Med. 2017, 376, 2367–2375. [Google Scholar] [CrossRef]
- Burgess, J.; Frank, B.; Marshall, A.; Khalil, R.S.; Ponirakis, G.; Petropoulos, I.N.; Cuthbertson, D.J.; Malik, R.A.; Alam, U. Early Detection of Diabetic Peripheral Neuropathy: A Focus on Small Nerve Fibres. Diagnostics 2021, 11, 165. [Google Scholar] [CrossRef]
- Richard, J.L.; Reilhes, L.; Buvry, S.; Goletto, M.; Faillie, J.L. Screening patients at risk for diabetic foot ulceration: A comparison between measurement of vibration perception threshold and 10-g monofilament test. Int. Wound J. 2014, 11, 147–151. [Google Scholar] [CrossRef]
- Chen, X.; Graham, J.; Dabbah, M.A.; Petropoulos, I.N.; Ponirakis, G.; Asghar, O.; Alam, U.; Marshall, A.; Fadavi, H.; Ferdousi, M.; et al. Small nerve fiber quantification in the diagnosis of diabetic sensorimotor polyneuropathy: Comparing corneal confocal microscopy with intraepidermal nerve fiber density. Diabetes Care 2015, 38, 1138–1144. [Google Scholar] [CrossRef]
- Meng, Y.; Preston, F.G.; Ferdousi, M.; Azmi, S.; Petropoulos, I.N.; Kaye, S.; Malik, R.A.; Alam, U.; Zheng, Y. Artificial Intelligence Based Analysis of Corneal Confocal Microscopy Images for Diagnosing Peripheral Neuropathy: A Binary Classification Model. J. Clin. Med. 2023, 12, 1284. [Google Scholar] [CrossRef]
- Preston, F.G.; Meng, Y.; Burgess, J.; Ferdousi, M.; Azmi, S.; Petropoulos, I.N.; Kaye, S.; Malik, R.A.; Zheng, Y.; Alam, U. Artificial intelligence utilising corneal confocal microscopy for the diagnosis of peripheral neuropathy in diabetes mellitus and prediabetes. Diabetologia 2022, 65, 457–466. [Google Scholar] [CrossRef]
- Gad, H.; Petropoulos, I.N.; Khan, A.; Ponirakis, G.; MacDonald, R.; Alam, U.; Malik, R.A. Corneal confocal microscopy for the diagnosis of diabetic peripheral neuropathy: A systematic review and meta-analysis. J. Diabetes Investig. 2022, 13, 134–147. [Google Scholar] [CrossRef]
- Alam, U.; Ponirakis, G.; Asghar, O.; Petropoulos, I.N.; Azmi, S.; Jeziorska, M.; Marshall, A.; Boulton, A.J.M.; Efron, N.; Malik, R.A. Corneal Confocal Microscopy Identifies People with Type 1 Diabetes with More Rapid Corneal Nerve Fibre Loss and Progression of Neuropathy. J. Clin. Med. 2022, 11, 2249. [Google Scholar] [CrossRef]
- Dehghani, C.; Russell, A.W.; Perkins, B.A.; Malik, R.A.; Pritchard, N.; Edwards, K.; Shahidi, A.M.; Srinivasan, S.; Efron, N. A rapid decline in corneal small fibers and occurrence of foot ulceration and Charcot foot. J. Diabetes Its Complicat. 2016, 30, 1437–1439. [Google Scholar] [CrossRef] [PubMed]
- Diabetes Control and Complications Trial (DCCT)/Epidemiology of Diabetes Interventions and Complications (EDIC) Study Research Group. Intensive Diabetes Treatment and Cardiovascular Outcomes in Type 1 Diabetes: The DCCT/EDIC Study 30-Year Follow-up. Diabetes Care 2016, 39, 686–693. [Google Scholar] [CrossRef]
- Brownrigg, J.R.; Davey, J.; Holt, P.J.; Davis, W.A.; Thompson, M.M.; Ray, K.K.; Hinchliffe, R.J. The association of ulceration of the foot with cardiovascular and all-cause mortality in patients with diabetes: A meta-analysis. Diabetologia 2012, 55, 2906–2912. [Google Scholar] [CrossRef] [PubMed]
- Tesfaye, S.; Boulton, A.J.; Dyck, P.J.; Freeman, R.; Horowitz, M.; Kempler, P.; Lauria, G.; Malik, R.A.; Spallone, V.; Vinik, A.; et al. Diabetic neuropathies: Update on definitions, diagnostic criteria, estimation of severity, and treatments. Diabetes Care 2010, 33, 2285–2293. [Google Scholar] [CrossRef]
- Khan, A.; Kamran, S.; Akhtar, N.; Ponirakis, G.; Al-Muhannadi, H.; Petropoulos, I.N.; Al-Fahdawi, S.; Qahwaji, R.; Sartaj, F.; Babu, B.; et al. Corneal Confocal Microscopy detects a Reduction in Corneal Endothelial Cells and Nerve Fibres in Patients with Acute Ischemic Stroke. Sci. Rep. 2018, 8, 17333. [Google Scholar] [CrossRef] [PubMed]
- Lovblom, L.E.; Halpern, E.M.; Wu, T.; Kelly, D.; Ahmed, A.; Boulet, G.; Orszag, A.; Ng, E.; Ngo, M.; Bril, V.; et al. In vivo corneal confocal microscopy and prediction of future-incident neuropathy in type 1 diabetes: A preliminary longitudinal analysis. Can. J. Diabetes 2015, 39, 390–397. [Google Scholar] [CrossRef]
- Carrington, A.L.; Shaw, J.E.; Van Schie, C.H.; Abbott, C.A.; Vileikyte, L.; Boulton, A.J. Can motor nerve conduction velocity predict foot problems in diabetic subjects over a 6-year outcome period? Diabetes Care 2002, 25, 2010–2015. [Google Scholar] [CrossRef]
- Azmi, S.; Ferdousi, M.; Kalteniece, A.; Al-Muhannadi, H.; Al-Mohamedi, A.; Hadid, N.H.; Mahmoud, S.; Bhat, H.A.; Gad, H.Y.A.; Khan, A.; et al. Diagnosing and managing diabetic somatic and autonomic neuropathy. Ther. Adv. Endocrinol. Metab. 2019, 10, 2042018819826890. [Google Scholar] [CrossRef] [PubMed]
- Balasubramanian, G.; Vas, P.; Chockalingam, N.; Naemi, R. A Synoptic Overview of Neurovascular Interactions in the Foot. Front. Endocrinol. 2020, 11, 308. [Google Scholar] [CrossRef]
- Boulton, A.J. The pathway to foot ulceration in diabetes. Med. Clin. N. Am. 2013, 97, 775–790. [Google Scholar] [CrossRef]
- Zhang, L.; Fu, G.; Deng, Y.; Nong, Y.; Huang, J.; Huang, X.; Wei, F.; Yu, Y.; Huang, L.; Zhang, W.; et al. Risk factors for foot ulcer recurrence in patients with comorbid diabetic foot osteomyelitis and diabetic nephropathy: A 3-year follow-up study. Int. Wound J. 2023, 20, 173–182. [Google Scholar] [CrossRef] [PubMed]
- Balasubramanian, G.V.; Chockalingam, N.; Naemi, R. The Role of Cutaneous Microcirculatory Responses in Tissue Injury, Inflammation and Repair at the Foot in Diabetes. Front. Bioeng. Biotechnol. 2021, 9, 732753. [Google Scholar] [CrossRef] [PubMed]
- Pop-Busui, R.; Ang, L.; Holmes, C.; Gallagher, K.; Feldman, E.L. Inflammation as a Therapeutic Target for Diabetic Neuropathies. Curr. Diabetes Rep. 2016, 16, 29. [Google Scholar] [CrossRef]
- Nowak, N.C.; Menichella, D.M.; Miller, R.; Paller, A.S. Cutaneous innervation in impaired diabetic wound healing. Transl. Res. 2021, 236, 87–108. [Google Scholar] [CrossRef] [PubMed]
- Malik, R.A. Diabetic neuropathy: A focus on small fibres. Diabetes Metab. Res. Rev. 2020, 36 (Suppl. 1), e3255. [Google Scholar] [CrossRef]
- Alam, U.; Jeziorska, M.; Petropoulos, I.N.; Asghar, O.; Fadavi, H.; Ponirakis, G.; Marshall, A.; Tavakoli, M.; Boulton, A.J.M.; Efron, N.; et al. Diagnostic utility of corneal confocal microscopy and intra-epidermal nerve fibre density in diabetic neuropathy. PLoS ONE 2017, 12, e0180175. [Google Scholar] [CrossRef]
- Pritchard, N.; Edwards, K.; Russell, A.W.; Perkins, B.A.; Malik, R.A.; Efron, N. Corneal confocal microscopy predicts 4-year incident peripheral neuropathy in type 1 diabetes. Diabetes Care 2015, 38, 671–675. [Google Scholar] [CrossRef]
- Lewis, E.J.H.; Lovblom, L.E.; Ferdousi, M.; Halpern, E.M.; Jeziorska, M.; Pacaud, D.; Pritchard, N.; Dehghani, C.; Edwards, K.; Srinivasan, S.; et al. Rapid Corneal Nerve Fiber Loss: A Marker of Diabetic Neuropathy Onset and Progression. Diabetes Care 2020, 43, 1829–1835. [Google Scholar] [CrossRef]
- Williams, S.; Raheim, S.A.; Khan, M.I.; Rubab, U.; Kanagala, P.; Zhao, S.S.; Marshall, A.; Brown, E.; Alam, U. Cardiac Autonomic Neuropathy in Type 1 and 2 Diabetes: Epidemiology, Pathophysiology, and Management. Clin. Ther. 2022, 44, 1394–1416. [Google Scholar] [CrossRef]
- Khan, A.; Akhtar, N.; Kamran, S.; Almuhannadi, H.; Ponirakis, G.; Petropoulos, I.N.; Babu, B.; Jose, N.R.; Ibrahim, R.G.; Gad, H.; et al. Corneal confocal microscopy identifies greater corneal nerve damage in patients with a recurrent compared to first ischemic stroke. PLoS ONE 2020, 15, e0231987. [Google Scholar] [CrossRef]
- Lovshin, J.A.; Bjornstad, P.; Lovblom, L.E.; Bai, J.W.; Lytvyn, Y.; Boulet, G.; Farooqi, M.A.; Santiago, S.; Orszag, A.; Scarr, D.; et al. Atherosclerosis and Microvascular Complications: Results from the Canadian Study of Longevity in Type 1 Diabetes. Diabetes Care 2018, 41, 2570–2578. [Google Scholar] [CrossRef] [PubMed]
- Mohanta, S.K.; Peng, L.; Li, Y.; Lu, S.; Sun, T.; Carnevale, L.; Perrotta, M.; Ma, Z.; Förstera, B.; Stanic, K.; et al. Neuroimmune cardiovascular interfaces control atherosclerosis. Nature 2022, 605, 152–159. [Google Scholar] [CrossRef] [PubMed]
- Nabrdalik, K.; Kwiendacz, H.; Drożdż, K.; Irlik, K.; Hendel, M.; Wijata, A.M.; Nalepa, J.; Correa, E.; Hajzler, W.; Janota, O.; et al. Machine learning predicts cardiovascular events in patients with diabetes: The Silesia Diabetes-Heart Project. Curr. Probl. Cardiol. 2023, 48, 101694. [Google Scholar] [CrossRef] [PubMed]




| Optimal Cut off | Sensitivity | Specificity | AUC (95% CI) | p Value | |
|---|---|---|---|---|---|
| CNFD (no./mm2) | 7.35 | 0.88 | 0.87 | 0.93 (0.88–0.98) | <0.001 |
| CNBD (no./mm2) | 7.57 | 0.84 | 0.74 | 0.86 (0.78–0.94) | <0.001 |
| CNFL (mm/mm2) | 7.01 | 0.76 | 0.77 | 0.90 (0.84–0.97) | <0.001 |
| VPT (Volts) | 18.3 | 0.92 | 0.81 | 0.92 (0.86–0.98) | <0.001 |
| CT (°C) | 15.8 | 0.80 | 0.81 | 0.87 (0.79–0.95) | <0.001 |
| WT (°C) | 42.2 | 0.80 | 0.89 | 0.92 (0.85–0.99) | <0.001 |
| SNCV (m/s) | 35.0 | 0.96 | 0.76 | 0.91 (0.84–0.97) | <0.001 |
| SNAP (μV) | 2.5 | 0.72 | 0.77 | 0.77 (0.66–0.87) | <0.001 |
| T1D (n = 25) | T1D-DPN (n = 28) | T1D-DFU (n = 25) | p Value between All Groups | |
|---|---|---|---|---|
| Duration of follow-up (years), mean (SD) | 3.0 (0.7) | 3.1 (0.6) | 3.1 (0.6) | 0.48 |
| Lower extremity amputation (no. of events) | 0 | 4 | 12 | <0.001 |
| Cardiovascular events (no. of events) | 0 | 5 | 12 | <0.001 |
| Cerebrovascular events (no. of events) | 0 | 5 | 11 | <0.001 |
| Mortality (no. of cases) | 0 | 1 | 3 | 0.25 |
| Parameters | HR (95% CI) | p Value |
|---|---|---|
| Cardiovascular Events | ||
| Model (X2 = 34.8, p < 0.001) | ||
| Age α | 1.07 (0.96–1.19) | 0.22 |
| Gender (Male) | 3.67 (0.76–17.86) | 0.11 |
| Duration of T1D α | 1.07 (0.98–1.16) | 0.13 |
| SNCV α | 1.14 (0.91–1.44) | 0.26 |
| WT α | 1.11 (0.93–1.33) | 0.26 |
| VPT α | 1.04 (0.94–1.15) | 0.45 |
| CNFD β | 1.67 (1.12–2.50) | 0.01 |
| Cerebrovascular Events | ||
| Model (X2 = 30.1, p < 0.001) | ||
| Age α | 1.07 (0.97–1.19) | 0.20 |
| Gender (Male) | 3.95 (0.71–22.22) | 0.12 |
| Duration of T1D α | 1.03 (0.94–1.12) | 0.51 |
| SNCV α | 1.12 (0.89–1.40) | 0.34 |
| WT α | 1.12 (0.93–1.35) | 0.24 |
| VPT α | 1.04 (0.94–1.14) | 0.43 |
| CNFD β | 1.55 (1.06–2.26) | 0.02 |
Disclaimer/Publisher’s Note: The statements, opinions and data contained in all publications are solely those of the individual author(s) and contributor(s) and not of MDPI and/or the editor(s). MDPI and/or the editor(s) disclaim responsibility for any injury to people or property resulting from any ideas, methods, instructions or products referred to in the content. |
© 2023 by the authors. Licensee MDPI, Basel, Switzerland. This article is an open access article distributed under the terms and conditions of the Creative Commons Attribution (CC BY) license (https://creativecommons.org/licenses/by/4.0/).
Share and Cite
Lim, J.Z.M.; Burgess, J.; Ooi, C.; Ferdousi, M.; Azmi, S.; Kalteniece, A.; Anson, M.; Cuthbertson, D.J.; Petropoulos, I.N.; Malik, R.A.; et al. Corneal Confocal Microscopy Predicts Cardiovascular and Cerebrovascular Events and Demonstrates Greater Peripheral Neuropathy in Patients with Type 1 Diabetes and Foot Ulcers. Diagnostics 2023, 13, 2793. https://doi.org/10.3390/diagnostics13172793
Lim JZM, Burgess J, Ooi C, Ferdousi M, Azmi S, Kalteniece A, Anson M, Cuthbertson DJ, Petropoulos IN, Malik RA, et al. Corneal Confocal Microscopy Predicts Cardiovascular and Cerebrovascular Events and Demonstrates Greater Peripheral Neuropathy in Patients with Type 1 Diabetes and Foot Ulcers. Diagnostics. 2023; 13(17):2793. https://doi.org/10.3390/diagnostics13172793
Chicago/Turabian StyleLim, Jonathan Z. M., Jamie Burgess, Cheong Ooi, Maryam Ferdousi, Shazli Azmi, Alise Kalteniece, Matthew Anson, Daniel J. Cuthbertson, Ioannis N. Petropoulos, Rayaz A. Malik, and et al. 2023. "Corneal Confocal Microscopy Predicts Cardiovascular and Cerebrovascular Events and Demonstrates Greater Peripheral Neuropathy in Patients with Type 1 Diabetes and Foot Ulcers" Diagnostics 13, no. 17: 2793. https://doi.org/10.3390/diagnostics13172793
APA StyleLim, J. Z. M., Burgess, J., Ooi, C., Ferdousi, M., Azmi, S., Kalteniece, A., Anson, M., Cuthbertson, D. J., Petropoulos, I. N., Malik, R. A., Wilding, J. P. H., & Alam, U. (2023). Corneal Confocal Microscopy Predicts Cardiovascular and Cerebrovascular Events and Demonstrates Greater Peripheral Neuropathy in Patients with Type 1 Diabetes and Foot Ulcers. Diagnostics, 13(17), 2793. https://doi.org/10.3390/diagnostics13172793

