Outstanding Characteristics of Birt–Hogg–Dube Syndrome in Korea
Abstract
1. Introduction
2. Methods
2.1. Ethics Approval and Patient Consent
2.2. Patient and Public Involvement
2.3. Patients
2.4. CT Protocol and Analysis
2.5. NGS
2.6. Other Tests
2.7. Systematic Review to Recruit BHD Subjects in Korea
2.8. Statistical Analysis
3. Results
3.1. Clinical and Radiological Characteristics
3.2. Comparison of BHD between Korea and the Rest of the World
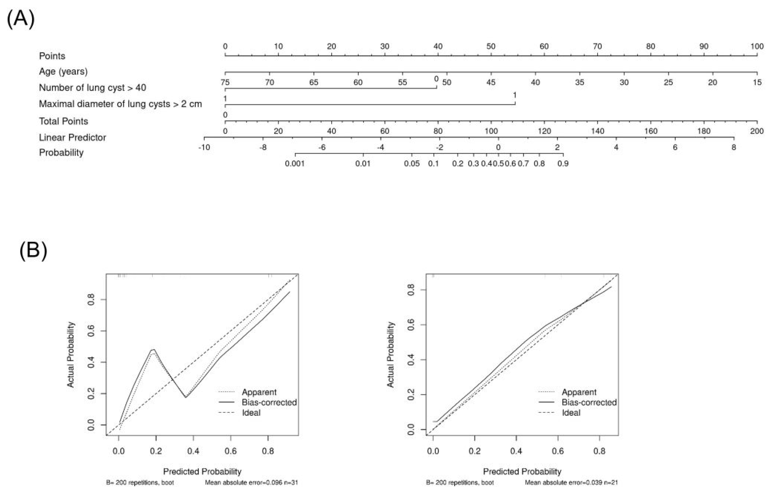
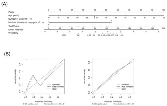
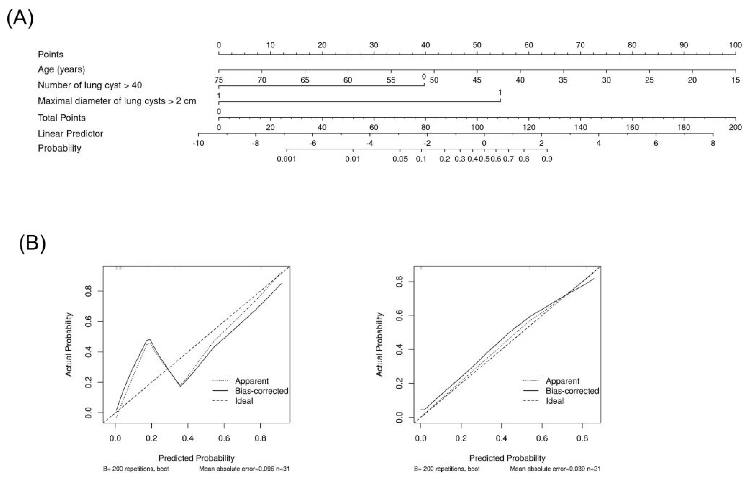
3.3. Prediction Model
3.4. NGS Results of the Study Subjects
4. Discussion
5. Conclusions
Author Contributions
Funding
Institutional Review Board Statement
Informed Consent Statement
Data Availability Statement
Conflicts of Interest
Abbreviations
| AUC | area under the curve |
| BHD | Birt–Hogg–Dube syndrome |
| CI | confidence interval |
| CT | computed tomography |
| FLCN | folliculin gene |
| NGS | next-generation sequencing |
| PCR | polymerase chain reaction |
| PRISMA | Preferred Reporting Items for Systematic Reviews and Meta-Analyses |
| ROC | receiver operating characteristic |
Appendix A. Genelists for NGS
| Gene Name | OMIM | Location | Reference cDNA | OMIM | Inheritence |
| FLCN | 607273 | 17p11.2 | NM_144997.5 | Birt–Hogg–Dube syndrome | AD |
| TSC1 | 605284 | 9q34.13 | NM_000368.4 | Lymphangioleiomyomatosis | AD |
| TSC2 | 191092 | 16p13.3 | NM_000548.3 | Lymphangioleiomyomatosis, somatic | AD |
| CFTR | 602421 | 7q31.2 | NM_000492.3 | Congenital bilateral absence of vas deferens | AR |
| EFEMP2 | 604633 | 11q13.1 | NM_016938.4 | Cutis laxa, autosomal recessive, type IB | AR |
| ELN | 130160 | 7q11.23 | NM_001278939.1 | Cutis laxa, AD | AD |
| FBLN5 | 604580 | 14q32.12 | NM_006329.3 | Cutis laxa, autosomal dominant 2 | AR/AD |
| LTBP4 | 604710 | 19q13.2 | NM_003573.2 | Cutis laxa, autosomal recessive, type IC | AR |
| SERPINA1 | 107400 | 14q32.13 | NM_000295.4 | Emphysema due to AAT deficiency | AR |
References
- Menko, F.H.; van Steensel, M.A.; Giraud, S.; Friis-Hansen, L.; Richard, S.; Ungari, S.; Nordenskjold, M.; Hansen, T.V.; Solly, J.; Maher, E.R.; et al. Birt-hogg-dube syndrome: Diagnosis and management. Lancet Oncol. 2009, 10, 1199–1206. [Google Scholar] [CrossRef]
- Kunogi, M.; Kurihara, M.; Ikegami, T.S.; Kobayashi, T.; Shindo, N.; Kumasaka, T.; Gunji, Y.; Kikkawa, M.; Iwakami, S.; Hino, O.; et al. Clinical and genetic spectrum of birt-hogg-dube syndrome patients in whom pneumothorax and/or multiple lung cysts are the presenting feature. J. Med. Genet 2010, 47, 281–287. [Google Scholar] [CrossRef] [PubMed]
- Birt, A.R.; Hogg, G.R.; Dube, W.J. Hereditary multiple fibrofolliculomas with trichodiscomas and acrochordons. Arch. Dermatol. 1977, 113, 1674–1677. [Google Scholar] [CrossRef] [PubMed]
- Ramirez Reyes, J.M.J.; Cuesta, R.; Pause, A. Folliculin: A regulator of transcription through ampk and mtor signaling pathways. Front. Cell Dev. Biol. 2021, 9, 667311. [Google Scholar] [CrossRef] [PubMed]
- Park, H.J.; Park, C.H.; Lee, S.E.; Lee, G.D.; Byun, M.K.; Lee, S.; Lee, K.A.; Kim, T.H.; Kim, S.H.; Yang, S.Y.; et al. Birt-hogg-dube syndrome prospectively detected by review of chest computed tomography scans. PLoS ONE 2017, 12, e0170713. [Google Scholar] [CrossRef] [PubMed]
- Park, H.J.; Kim, Y.J.; Kim, M.J.; Kim, H.C. Epidemiology and clinical features of birt-hogg-dube syndrome: A nationwide population-based study in south korea. PLoS ONE 2022, 17, e0269358. [Google Scholar] [CrossRef]
- Lee, J.H.; Jeon, M.J.; Song, J.S.; Chae, E.J.; Choi, J.H.; Kim, G.H.; Song, J.W. Birt-hogg-dube syndrome in korean: Clinicoradiologic features and long term follow-up. Korean J. Intern. Med. 2019, 34, 830–840. [Google Scholar] [CrossRef]
- Guo, T.; Shen, Q.; Ouyang, R.; Song, M.; Zong, D.; Shi, Z.; Long, Y.; Chen, P.; Peng, H. The clinical characteristics of east asian patients with birt-hogg-dube syndrome. Ann. Transl. Med. 2020, 8, 1436. [Google Scholar] [CrossRef]
- Choi, Y.J.; Park, C.H.; Park, H.J.; Shin, J.M.; Kim, T.H.; Lee, K.-A.; Moon, D.H.; Lee, S.; Lee, S.E.; Byun, M.K. Characteristic chest computed tomography findings for birt–hogg–dube syndrome indicating requirement for genetic evaluation. Diagnostics 2023, 13, 198. [Google Scholar] [CrossRef]
- Richards, S.; Aziz, N.; Bale, S.; Bick, D.; Das, S.; Gastier-Foster, J.; Grody, W.W.; Hegde, M.; Lyon, E.; Spector, E.; et al. Standards and guidelines for the interpretation of sequence variants: A joint consensus recommendation of the American College of Medical Genetics and Genomics and the Association for Molecular Pathology. Genet Med. 2015, 17, 405–424. [Google Scholar] [CrossRef]
- Miller, M.R.; Hankinson, J.; Brusasco, V.; Burgos, F.; Casaburi, R.; Coates, A.; Crapo, R.; Enright, P.; van der Grinten, C.P.; Gustafsson, P.; et al. Standardisation of spirometry. Eur. Respir. J. 2005, 26, 319–338. [Google Scholar] [CrossRef] [PubMed]
- Park, H.J.; Rhee, C.K.; Yoo, K.H.; Park, Y.B. Reliability of portable spirometry performed in the korea national health and nutrition examination survey compared to conventional spirometry. Tuberc. Respir. Dis. 2021, 84, 274–281. [Google Scholar] [CrossRef] [PubMed]
- Moher, D.; Liberati, A.; Tetzlaff, J.; Altman, D.G.; Group, P. Preferred reporting items for systematic reviews and meta-analyses: The prisma statement. PLoS Med. 2009, 6, e1000097. [Google Scholar] [CrossRef] [PubMed]
- Kim, E.H.; Jeong, S.Y.; Kim, H.J.; Kim, Y.C. A case of birt-hogg-dube syndrome. J. Korean Med. Sci. 2008, 23, 332–335. [Google Scholar] [CrossRef]
- Shin, W.W.; Baek, Y.S.; Oh, T.S.; Heo, Y.S.; Son, S.B.; Oh, C.H.; Song, H.J. Birt-hogg-dube syndrome, a rare case in korea confirmed by genetic analysis. Ann. Dermatol. 2011, 23, S193–S196. [Google Scholar] [CrossRef] [PubMed]
- Park, G.; Kim, H.R.; Na, C.H.; Choi, K.C.; Shin, B.S. Genetic study in a case of birt-hogg-dube syndrome. Ann. Dermatol. 2011, 23, S188–S192. [Google Scholar] [CrossRef]
- Kim, J.; Yoo, J.H.; Kang, D.Y.; Cho, N.J.; Lee, K.A. Novel in-frame deletion mutation in flcn gene in a korean family with recurrent primary spontaneous pneumothorax. Gene 2012, 499, 339–342. [Google Scholar] [CrossRef]
- Kim, K.S.; Choi, H.J.; Jang, W.; Chae, H.; Kim, M.; Moon, S.W. Birt-hogg-dube syndrome manifesting as spontaneous pneumothorax: A novel mutation of the folliculin gene. Korean J. Thorac. Cardiovasc. Surg. 2017, 50, 386–390. [Google Scholar] [CrossRef]
- Ko, E.J.; Cui, S.; Shin, Y.J.; Lim, S.W.; Lee, K.I.; Lee, J.Y.; Yang, C.W.; Kim, M.; Chung, B.H. Generation of the human induced pluripotent stem cell lines (cmci009-a) from a patient with birt-hogg-dube syndrome (bhd) with heterozygous frameshift deletion mutation c.1285delc of the flcn gene. Stem. Cell Res. 2021, 51, 102215. [Google Scholar] [CrossRef]
- Matsumoto, K.; Lim, D.; Pharoah, P.D.; Maher, E.R.; Marciniak, S.J. A systematic review assessing the existence of pneumothorax-only variants of flcn. Implications for lifelong surveillance of renal tumours. Eur. J. Hum. Genet. 2021, 29, 1595–1600. [Google Scholar] [CrossRef]
- Johannesma, P.C.; van de Beek, I.; van der Wel, T.; Reinhard, R.; Rozendaal, L.; Starink, T.M.; van Waesberghe, J.; Horenblas, S.; Gille, H.; Jonker, M.A.; et al. Renal imaging in 199 dutch patients with birt-hogg-dube syndrome: Screening compliance and outcome. PLoS ONE 2019, 14, e0212952. [Google Scholar] [CrossRef] [PubMed]
- Houweling, A.C.; Gijezen, L.M.; Jonker, M.A.; van Doorn, M.B.; Oldenburg, R.A.; van Spaendonck-Zwarts, K.Y.; Leter, E.M.; van Os, T.A.; van Grieken, N.C.; Jaspars, E.H.; et al. Renal cancer and pneumothorax risk in birt-hogg-dube syndrome; an analysis of 115 flcn mutation carriers from 35 bhd families. Br. J. Cancer 2011, 105, 1912–1919. [Google Scholar] [CrossRef]
- Toro, J.R.; Wei, M.H.; Glenn, G.M.; Weinreich, M.; Toure, O.; Vocke, C.; Turner, M.; Choyke, P.; Merino, M.J.; Pinto, P.A.; et al. Bhd mutations, clinical and molecular genetic investigations of birt-hogg-dube syndrome: A new series of 50 families and a review of published reports. J. Med. Genet. 2008, 45, 321–331. [Google Scholar] [CrossRef] [PubMed]
- Copley, S.J.; Wells, A.U.; Hawtin, K.E.; Gibson, D.J.; Hodson, J.M.; Jacques, A.E.; Hansell, D.M. Lung morphology in the elderly: Comparative ct study of subjects over 75 years old versus those under 55 years old. Radiology 2009, 251, 566–573. [Google Scholar] [CrossRef] [PubMed]
- Araki, T.; Nishino, M.; Gao, W.; Dupuis, J.; Putman, R.K.; Washko, G.R.; Hunninghake, G.M.; O’Connor, G.T.; Hatabu, H. Pulmonary cysts identified on chest ct: Are they part of aging change or of clinical significance? Thorax 2015, 70, 1156–1162. [Google Scholar] [CrossRef] [PubMed]
- Goncharova, E.A.; Goncharov, D.A.; James, M.L.; Atochina-Vasserman, E.N.; Stepanova, V.; Hong, S.B.; Li, H.; Gonzales, L.; Baba, M.; Linehan, W.M.; et al. Folliculin controls lung alveolar enlargement and epithelial cell survival through e-cadherin, lkb1, and ampk. Cell Rep. 2014, 7, 412–423. [Google Scholar] [CrossRef] [PubMed]
- Tobino, K.; Gunji, Y.; Kurihara, M.; Kunogi, M.; Koike, K.; Tomiyama, N.; Johkoh, T.; Kodama, Y.; Iwakami, S.; Kikkawa, M.; et al. Characteristics of pulmonary cysts in birt-hogg-dube syndrome: Thin-section ct findings of the chest in 12 patients. Eur. J. Radiol. 2011, 77, 403–409. [Google Scholar] [CrossRef]
- Lee, J.E.; Cha, Y.K.; Kim, J.S.; Choi, J.H. Birt-hogg-dube syndrome: Characteristic ct findings differentiating it from other diffuse cystic lung diseases. Diagn. Interv. Radiol. 2017, 23, 354–359. [Google Scholar] [CrossRef]
- Zhang, X.; Ma, D.; Zou, W.; Ding, Y.; Zhu, C.; Min, H.; Zhang, B.; Wang, W.; Chen, B.; Ye, M.; et al. A rapid ngs strategy for comprehensive molecular diagnosis of birt-hogg-dube syndrome in patients with primary spontaneous pneumothorax. Respir. Res. 2016, 17, 64. [Google Scholar] [CrossRef]
- Zong, D.; Li, J.; Liu, X.; Guo, T.; Ouyang, R. Identification of a novel pathogenic folliculin variant in a chinese family with birt-hogg-dube syndrome (hornstein-knickenberg syndrome). Front. Genet. 2020, 11, 565566. [Google Scholar] [CrossRef]
- Welsch, M.J.; Krunic, A.; Medenica, M.M. Birt-hogg-dube syndrome. Int. J. Dermatol. 2005, 44, 668–673. [Google Scholar] [CrossRef] [PubMed]
- Leter, E.M.; Koopmans, A.K.; Gille, J.J.; van Os, T.A.; Vittoz, G.G.; David, E.F.; Jaspars, E.H.; Postmus, P.E.; van Moorselaar, R.J.; Craanen, M.E.; et al. Birt-hogg-dube syndrome: Clinical and genetic studies of 20 families. J. Investig. Dermatol. 2008, 128, 45–49. [Google Scholar] [CrossRef] [PubMed]



| Total | Non-BHD | BHD | Difference (95% CI) † | p-Value | |
|---|---|---|---|---|---|
| Clinical features | (N = 31) | (N = 20) | (N = 11) | ||
| Age (year) | 48.8 ± 13.5 | 52.5 ± 12.9 | 42.2 ± 12.6 | 10.3 (0.9–19.7) | 0.040 |
| BMI (kg/m2) | 23.0 ± 3.7 | 22.7 ± 3.7 | 23.4 ± 3.9 | −0.7 (−3.5–2.1) | 0.640 |
| Sex | 0.24 (0.0–2.5) | 0.377 | |||
| Male | 7 (22.6%) | 6 (30.0%) | 1 (9.1%) | 0.372 | |
| Female | 24 (77.4%) | 14 (70.0%) | 10 (90.9%) | ||
| Symptoms | |||||
| Cough | 3 (9.7%) | 1 (5.0%) | 2 (18.2%) | 4.0 (0.2–261.4) | 0.281 |
| Chest pain | 7 (22.6%) | 2 (10.0%) | 5 (45.5%) | 6.9 (0.9–91.4) | 0.067 |
| Hemoptysis | 0 (0.0%) | 0 (0.0%) | 0 (0.0%) | 0.999 | |
| Pneumothorax | 16 (51.6%) | 6 (30.0%) | 10 (90.9%) | 20.8 (2.2–1074.8) | 0.002 |
| Age at first event (yr) | 37.3 ± 13.5 | 40.5 ± 14.4 | 35.4 ± 13.3 | 5.1 (−5.2–15.4) | 0.484 |
| Surgical intervention | 12 (75.0%) | 4 (66.7%) | 8 (80.0%) | 1.91 (0.1–36.4) | 0.604 |
| Familiar history | 3 (9.7%) | 0 (0.0%) | 3 (27.3%) | Inf (0.3–Inf) | 0.250 |
| Renal tumor | 1 (3.2%) | 1 (5.0%) | 0 (0.0%) | 0 (0.0–70.8) | 0.999 |
| Lung function | (N = 16) | (N = 10) | (N = 6) | 0.999 | |
| FVC (liter) | 3.3 ± 1.0 | 3.3 ± 1.1 | 3.2 ± 1.1 | 0.1 (−1–1.2) | 0.900 |
| FVC (%, reference) | 93.7 ± 16.4 | 94.2 ± 17.8 | 92.8 ± 15.3 | 1.4 (−15.8–18.6) | 0.878 |
| FVC (z-score) | −0.3 ± 1.5 | −0.1 ± 1.6 | −0.7 ± 1.2 | 0.6 (−0.9–2.1) | 0.465 |
| FEV1 (liter) | 2.5 ± 0.9 | 2.4 ± 1.0 | 2.6 ± 0.8 | −0.2 (−1.1–0.7) | 0.785 |
| FEV1 (%, reference) | 89.4 ± 17.2 | 87.8 ± 18.7 | 92.0 ± 15.7 | −4.2 (−22.1–13.7) | 0.652 |
| FEV1 (z-score) | −0.8 ± 1.3 | −0.8 ± 1.5 | −0.9 ± 0.9 | 0.1 (−1.2–1.4) | 0.847 |
| FEV1/FVC (%) | 75.5 ± 8.8 | 72.7 ± 9.3 | 80.2 ± 6.0 | −7.5 (−15.9–0.9) | 0.102 |
| FEV1/FVC (z-score) | −1.0 ± 1.3 | −1.3 ± 1.4 | −0.4 ± 1.0 | −0.9 (−2.2–0.4) | 0.210 |
| FEF25–75% (liter/sec) | 2.2 ± 1.4 | 2.1 ± 1.6 | 2.5 ± 0.8 | −0.4 (−1.8–1) | 0.578 |
| FEF25–75% (%, REF) | 72.2 ± 32.7 | 66.8 ± 39.5 | 81.3 ± 15.6 | −14.5 (−47.9–18.9) | 0.408 |
| FEF25–75% (z-score) | −0.7 ± 1.3 | −0.9 ± 1.5 | −0.4 ± 0.8 | −0.5 (−1.8–0.8) | 0.412 |
| DLCO (%, REF) | 85.5 ± 19.7 | 88.9 ± 23.6 | 79.8 ± 10.6 | 9.1 (−11.1–29.3) | 0.491 |
| DLCO/VA (%, REF) | 100.0 ± 14.2 | 98.9 ± 15.6 | 102.0 ± 13.3 | −3.1 (−18.1–11.9) | 0.744 |
| Radiologic features of lung cysts on chest CT | (N = 31) | (N = 20) | (N = 11) | ||
| Number (above 40) | 15 (48.4%) | 13 (65.0%) | 2 (18.2%) | 0.1 (0.0–0.9) | 0.023 |
| Maximal diameter (cm) | 2.4 ± 1.8 | 1.9 ± 1.4 | 3.3 ± 2.0 | −1.4 (−2.6–−0.2) | 0.031 |
| Irregularity of shape | 16 (51.6%) | 7 (35.0%) | 9 (81.8%) | 7.8 (1.2–93.5) | 0.023 |
| Study | Number | History of Pneumothorax | Skin Manifestation | Renal Tumor |
|---|---|---|---|---|
| This study | 11 | 10 (90.9%) | 0 (0.0%) | 0 (0.0%) |
| 6 Cases (2008–2021) [14,15,16,17,18,19] | 6 | 5 (83.3%) | 4 (66.7%) | 0 (0.0%) |
| Park et al. in 2017 [5] | 6 | 3 (50.0%) | 0 (0.0%) | 1 (16.7%) |
| Lee et al. in 2019 [7] | 12 | 8 (66.7%) | 3 (25.0%) | 3 (25.0%) |
| Choi et al. in 2023 [9] | 10 | 7 (70.0%) | 0 (0.0%) | 0 (0.0%) |
| Total in Korea | 45 | 33 (73.3%) | 7 (15.6%) | 4 (8.9%) |
| Park et al. in 2022 (cover total Korea) [6] | 26 | 17 (65.4%) | 4 (16.0%) | 3 (11.5%) |
| Worldwide meta-analysis cohort in 2021 | 1038 | 528/1038 (50.9%) | 474/989 (47.9%) | 209/929 (22.5%) |
| Difference (95% confidence interval) between study in Korea and worldwide meta-analysis (between gray color groups) | 2.66 (1.36–5.20) | 0.20 (0.09–0.45) | 0.34 (0.12–0.95) | |
| p-value for comparison between study in Korea and worldwide meta-analysis (between gray color groups) | 0.003 | <0.001 | 0.027 |
| Univariate Analysis | ||||
|---|---|---|---|---|
| Variables | Coefficients | p-value | AUC of ROC [95% CI] | |
| Age (year) | −0.064 | 0.053 | 0.730 [0.535–0.924] | |
| BMI (kg/m2) | 0.050 | 0.627 | 0.548 [0.323–0.773] | |
| Sex | −1.455 | 0.208 | 0.605 [0.468–0.741] | |
| Cough | 1.440 | 0.264 | 0.566 [0.437–0.695] | |
| Chest pain | 2.015 | 0.036 | 0.677 [0.509–0.846] | |
| History of pneumothorax | 3.150 | 0.006 | 0.805 [0.668–0.941] | |
| Number of lung cyst (above 40) | −2.123 | 0.020 | 0.734 [0.574–0.895] | |
| Maximal diameter of lung cyst (cm) | 0.484 | 0.050 | 0.757 [0.562–0.952] | |
| Irregularity of lung cyst shape | 2.123 | 0.020 | 0.764 [0.599–0.928] | |
| Maximal diameter of lung cysts > 2 cm | 2.367 | 0.007 | 0.734 [0.574–0.895] | |
| Multivariate analysis | ||||
| Coefficients | p-value | AUC of ROC [95% CI] | VIF | |
| Prediction model A (multivariate analysis) | ||||
| Age (year) | −0.151 | 0.029 | 2.134 | |
| Number of lung cyst (above 40) | −3.590 | 0.033 | 0.952 [0.884–1.000] | 1.638 |
| Maximal diameter of lung cysts > 2 cm | 4.923 | 0.012 | 2.355 | |
| Prediction model B (multivariate analysis) | ||||
| History of pneumothorax | 2.818 | 0.043 | 1.056 | |
| Number of lung cyst (above 40) | −3.108 | 0.033 | 0.927 [0.840–1.000] | 1.51 |
| Irregularity of lung cyst shape | 2.719 | 0.060 | 1.446 | |
| No. | Location | Variant (cDNA) | Protein Change | Type of Mutation | Reference of Pathologic Mutation (PMID) | Other Gene Mutations † |
|---|---|---|---|---|---|---|
| 1 | Exon 11 | c.1277dupT | p.His429Profs*27 | Frame shift | 25519458 | |
| 2 | Exon 13 | c.1522_1524del | p.Lys508del | Inframe deletion | 19659657 | |
| 3 | Exon 12 | c.1429C>T | p.Arg477* | Nonsense | 30360018 | |
| 4 | Exon 10 | c.1098G>A | p.Trp366* | Nonsense | Novel mutation | TSC2: missense Met740Thr |
| 5 | Exon 6 | c.469_471del | p.Phe157del | Inframe deletion | 18505456, 21538689 | CFTR: missense Lys411Glu |
| 6 | Exon 4 | c.139G>T | p.Glu47* | Nonsense | Novel mutation | |
| 7 | Exon 6 | c.469_471del | p.Phe157del | Inframe deletion | 18505456, 21538689 | |
| 8 | Exon 11 | c.1285dup | p.His429Profs*27 | Frame shift | 12471204 | |
| 9 | Exon 14 | c.1557del | p.Phe519Leufs*18 | Frame shift | 18437022, 30360018 | |
| 10 | Exon 12 | c.1335del | p.Arg446Valfs*22 | Frame shift | Novel mutation | |
| 11 | Intron 13 | c.1539-2A>G | p.? | Splice | 27652079 | CFTR: missense Glu217Gly |
| 12 | FLCN mutations were not identified. | CFTR: missense Gln1352His | ||||
| 13 | TSC2: c.849-8A>G | |||||
| 14 | ELN: p.Leu571_Gly579del | |||||
| 15 | LTBP4: p.Gly1142= | |||||
| 16 | CFTR: missense Ile125Thr | |||||
| 17 | TSC1: missense Arg692Gln LTBP4: missense Ala496Thr | |||||
| 18 | CFTR: missense Arg31Cys SERPINA1: missense Gly172Arg | |||||
| 19 | LTBP4: missense Leu1306Phe | |||||
| 20 | TSC2:Asp192= | |||||
| 21 to 31 | No mutations were identified in the FLCN, TSC1, TSC2, CFTR, EFEMP2, ELN, FBLN5, LTBP4, and SERPINA1 genes. | |||||
Disclaimer/Publisher’s Note: The statements, opinions and data contained in all publications are solely those of the individual author(s) and contributor(s) and not of MDPI and/or the editor(s). MDPI and/or the editor(s) disclaim responsibility for any injury to people or property resulting from any ideas, methods, instructions or products referred to in the content. |
© 2023 by the authors. Licensee MDPI, Basel, Switzerland. This article is an open access article distributed under the terms and conditions of the Creative Commons Attribution (CC BY) license (https://creativecommons.org/licenses/by/4.0/).
Share and Cite
Park, H.J.; Choi, Y.J.; Park, C.H.; Kim, T.H.; Lee, S.S.; Moon, D.H.; Lee, K.-A.; Lee, S.E.; Park, M.S.; Kim, S.Y.; et al. Outstanding Characteristics of Birt–Hogg–Dube Syndrome in Korea. Diagnostics 2023, 13, 2047. https://doi.org/10.3390/diagnostics13122047
Park HJ, Choi YJ, Park CH, Kim TH, Lee SS, Moon DH, Lee K-A, Lee SE, Park MS, Kim SY, et al. Outstanding Characteristics of Birt–Hogg–Dube Syndrome in Korea. Diagnostics. 2023; 13(12):2047. https://doi.org/10.3390/diagnostics13122047
Chicago/Turabian StylePark, Hye Jung, Yong Jun Choi, Chul Hwan Park, Tae Hoon Kim, Sung Soo Lee, Duk Hwan Moon, Kyung-A Lee, Sang Eun Lee, Moo Suk Park, Song Yee Kim, and et al. 2023. "Outstanding Characteristics of Birt–Hogg–Dube Syndrome in Korea" Diagnostics 13, no. 12: 2047. https://doi.org/10.3390/diagnostics13122047
APA StylePark, H. J., Choi, Y. J., Park, C. H., Kim, T. H., Lee, S. S., Moon, D. H., Lee, K.-A., Lee, S. E., Park, M. S., Kim, S. Y., Chang, Y. S., Lee, S. J., Jung, J. Y., Lee, J.-H., Lee, S. H., Kim, T., Kim, S.-R., Kim, K., & Byun, M. K. (2023). Outstanding Characteristics of Birt–Hogg–Dube Syndrome in Korea. Diagnostics, 13(12), 2047. https://doi.org/10.3390/diagnostics13122047

