Abstract
Background: Colorectal carcinoma (CRC) is a heterogeneous disease, and differences in outcomes have been reported among patients diagnosed with the same disease stage. Prognostic and predictive biomarkers provide information for patient risk stratification and guide treatment selection. Although numerous studies have analyzed the effects of systemic inflammatory factors on CRC outcomes, clinical significance remains to be elucidated. In particular, the treatment strategy of colon cancer patients is different from that of rectal cancer due to outcome and recurrence differences. The identification of patients with a poor prognosis who might benefit from intensive treatment approaches is clinically necessary. Methods: This study aimed to evaluate the value of different blood-based markers and assess the significance of our newly developed inflammatory-nutrition-related biomarker (NCR = BMI × albumin/CRP) in patients with colon cancer. A two-stage design was used with 212 patients with colon cancer (CC) in the discovery cohort (n = 159) and in an external validation cohort (n = 53). Results: A lower preoperative NCR level was significantly correlated with a worse prognosis, sidedness, undifferentiated histology, nodal involvement, and advanced UICC stage. We compared the NCR with other established prognostic indices and showed that the NCR is a more reliable indicator of a poor prognosis for patients with CC. Patients with low NCR levels experienced a significantly shorter Overall Survival (OS) than patients with high levels. Multivariate analysis confirmed preoperative NCR levels as an independent predictor for overall survival with a hazard ratio of 3.3 (95% confidence interval 1.628–6.709, p < 0.001). Finally, we confirmed the predictive value of the NCR in an independent validation cohort and confirmed NCR as an independent prognostic factor for OS. Conclusion: Taken together, we discovered a new prognostic index (NCR) based on BMI, albumin, and CRP levels as an independent prognostic predictor of OS in patients with colon cancer. In all UICC stages, our newly developed NCR marker is able to distinguish patients with better and worse prognoses. We, therefore, propose that NCR may serve as a supplement to the TNM staging system to optimize the risk stratification in CC patients towards personalized oncology. In particular, NCR can be used in clinical trials to stratify patients with UICC II and III tumors and help better select patients who might benefit from adjuvant treatment.
Keywords:
colorectal cancer; colon cancer; biomarker; tumor marker; inflammation; nutrition; sidedness; prognosis 1. Introduction
Colorectal cancer (CRC) is the third most frequently diagnosed cancer and the second most common cause of cancer-related death worldwide [1,2]. Tumor location (right- and left-sided colon cancer, rectal cancer) is widely accepted as a crucial factor determining disease progression and prognosis and influences disease management [3]. While the prognosis of patients with early-stage disease is excellent, ultimately, 40% of patients across all disease stages die from their disease within five years [4]. The prognosis of CRC is principally related to the tumor, node, and metastasis (TNM) stage. Additionally, several clinicopathological factors have been identified as predictive of outcomes. However, the TNM stage system is the gold standard for treatment selection and outcome prediction, with significant limitations. The system lacks the ability to predict patient outcomes individually. Currently, adjuvant chemotherapy is not routinely recommended for patients with UICC stage II CC. It is recommended for patients with high-risk factors, such as T4 tumors, bowel obstruction, perforation, lymphovascular invasion, or poorly differentiated tumors [5,6]. Little evidence is available that patients with high-risk factors benefit from adjuvant chemotherapy compared with patients without these high-risk factors. In the era of precision oncology, predicting survival is essential since more radical treatment approaches might reduce the quality of life. Therefore, the identification of easily accessible, convenient, practical, and preoperatively available biomarkers that help identify patients at higher risk of poor outcomes is necessary.
Carcinoembryonic antigen (CEA) is the most accepted and routinely used colorectal tumor marker for screening, predicting treatment response and survival, and detecting recurrence [7]. Preoperative CEA levels have been reported to be positive in only 40–60% of patients at the initial diagnosis, and the usefulness of CEA monitoring for reducing CRC mortality in postoperative patients or selecting those patients with stage II tumors who would benefit from adjuvant chemotherapy is controversial [8,9]. Obesity is considered to be a risk factor for various types of cancer. The patient’s nutritional status is related to cancer prognosis and survival, such as body mass index (BMI), prognostic nutritional index (PNI, calculated by adding factorized albumin levels and lymphocyte counts), advanced lung cancer inflammation index (ALI, consisting of BMI, serum albumin levels and NLR), the C-reactive protein (CRP)-to-albumin ratio (CAR), and the CONUT score [10,11,12,13,14]. In addition to the patient’s nutritional status, many studies have shown that the host systemic inflammatory response (SIR), measured by inflammation-based scores, such as the lymphocyte-to-C-reactive protein ratio (LCR), neutrophil-to-lymphocyte ratio (NLR), and platelet-to-lymphocyte ratio (PLR), is a key factor in determining outcomes and survival [6,15,16,17].
However, due to the heterogeneity of CRC, the results of these studies are inconsistent. Up to now, colon cancer and rectal cancer patients are commonly considered as a single disease entity in these outcome studies. For this reason, we focused our attention on discerning blood-based markers governing colon cancer only. We further hypothesize that identifying parameters reflecting the host inflammation and nutritional status together with tumor characteristics may be a better approach for predicting patients’ overall survival at baseline. We defined a new marker NCR (Nutritional CRP Ratio) as BMI*albumin/CRP levels, combining nutritional status and the current inflammatory response. We tested the newly developed NCR marker for its association with overall survival in patients with colon cancer (CC) in our discovery cohort and an independent validation cohort. Our newly developed marker may supplement the TNM staging system to tailor treatment strategies and optimize the risk stratification in CC patients toward individualized treatment.
2. Materials and Methods
2.1. Patients
In this study, a two-stage design with discovery and validation cohorts of patients with colon cancer was used, and 212 treatment-naïve patients were enrolled. The discovery cohort consisted of 159 patients with CC who underwent elective surgery at the Department of Surgery in Erlangen, Germany, between 2005 and 2013. Rectal cancer patients and patients who needed emergency surgery were excluded. Data were collected prospectively, and patients were followed until death or January 2017. Routine follow-up was performed at three- and six-month intervals for the initial two years and yearly thereafter for a total of five years. No patients were lost during follow-up. The tumor stage was determined according to the eighth edition of the TNM classification of the Union Internationale Contre le Cancer (UICC). We recruited 53 patients from the University Hospital Zürich, Switzerland, for the independent validation cohort. The study was approved by the respective local ethics committees, and all included patients signed informed consent forms.
2.2. Laboratory Measurements of Inflammatory-Related Blood Indices
Blood samples were collected before surgery (within one week) by peripheral venous puncture during a routine preoperative blood draw. The laboratory data included red and white blood cell counts and neutrophil, lymphocyte, platelet, albumin (g/L), CRP (mg/L), and CEA levels. Our newly developed NCR was calculated as the BMI*albumin to CRP ratio. Based on previous studies on inflammation-based prognostic biomarkers, we focused on five established markers: NLR, which is calculated by dividing the total neutrophil count by the total lymphocyte count; CAR, the CRP to albumin ratio; PLR, the platelet to lymphocyte ratio; LCR, the total lymphocyte count to CRP ratio; PNI, which is calculated as the albumin level + 0.005 × total lymphocyte count; and ALI, BMI*albumin/NLR. BMI scores were calculated as weight (kg)/height (m)2.
2.3. Laboratory Measurements of sICAM Concentrations Using ELISA
We previously evaluated sICAM (soluble intercellular adhesion molecule) [18]. Measurement was drawn from the same routine blood sample in S-Monovette 9 mL, Clotting Activator/Serum (Sarstedt, Nümbrecht, Germany, ref. 02.1063) and was allowed to clot for 30 min. After centrifugation at 2500× g for 10 min at room temperature, the supernatant was collected in aliquots and frozen at −80 °C until analysis. Soluble ICAM-1 levels were measured using the human ICAM-1/CD54 nonallele-specific Quantikine ELISA kit (Cat. no. SCIM00, R&D Systems, Inc., Minneapolis, MN, USA) according to the manufacturer’s instructions. Every blood sample was measured in duplicate.
2.4. Statistical Analysis
Statistical analyses were performed using the SPSS statistical software package version 27 (IBM SPSS Statistics v.27). A receiver operating characteristic (ROC) curve was generated to analyze the area under the ROC curve (AUC), and the Youden index was calculated to identify the optimal cutoff values (maximum sensitivity and specificity for all cutoff points in the ROC curve) for analyzing OS. For estimation of overall survival, we defined death from any cause as an event. Survival analysis was performed using the Kaplan–Meier (KM) method, and the log-rank test was used to compare the differences in survival. Univariate and multivariate Cox regression analyses were performed to calculate corresponding hazard ratios (HRs) and 95% confidence intervals (CIs). A p-value < 0.05 was considered statistically significant.
3. Results
3.1. Patients Characteristics
Among the discovery cohort of 159 patients included in the study, the median age was 66 years (range 27–91 years), with 103 males (64.8%) and 56 females (35.2%). No patients who needed emergency surgery were included. Thirteen patients (8.2%) had UICC I stage disease, 76 patients (47.8%) had UICC II stage tumors, 48 patients (30.2%) had UICC III stage tumors, and 22 patients (13.8%) had UICC stage IV disease. Baseline clinical and pathological characteristics are shown in Table 1. The validation cohort consisted of 53 patients with a median age of 68 years, including 29 males (54.7%) and 24 females (45.3%). No patients were diagnosed with UICC stage I tumors, 19 patients (35.9%) were diagnosed with UICC stage II tumors, 13 patients (24.5%) had UICC stage III disease, and 21 patients (39.6%) had UICC stage IV disease (Table 2).
Table 1.
Clinical characteristics of patients in the discovery cohort.
Table 2.
Characteristics of patients in the validation cohort.
3.2. Preoperative NCR Predicts Oncological Outcomes of Patients with Colon Cancer with Higher Accuracy Than Other Inflammation-Related Factors
The ROC curve analysis and Youden index indicated optimal cutoff values (Table 3, Figure 1, Supplementary Figure S1): NCR cutoff value was >255.13 at the highest Youden index of 0.48, with a sensitivity of 61.32% and specificity of 86.79% (AUC 0.737; 95% CI 0.661–0.803; p < 0.001). The CAR cutoff value was ≤0.11 at the highest Youden index of 0.44, with a sensitivity of 59.43% and a specificity of 84.91% (AUC 0.722; 95% CI 0.645 to 0.790; p < 0.001). The LCR cutoff value was >0.24 at the highest Youden index of 0.43, with a sensitivity of 66.04% and specificity of 77.36% (AUC 0.707; 95% CI 0.629–0.776; p < 0.001). The ALI cutoff value was >252.19 at the highest Youden index of 0.31, with a sensitivity of 83.96% and specificity of 47.17% (AUC 0.679; 95% CI 0.6–0.75; p < 0.001). The sICAM cutoff value was ≤229.1 ng/mL at the highest Youden index of 0.27, with a sensitivity of 46.23% and specificity of 81.13% (AUC 0.643; 95% CI 0.564–0.718; p < 0.002). The PNI cutoff value was >42.6 at the highest Youden index of 0.33, with a sensitivity of 65.09% and specificity of 67.92% (AUC 0.674; 95% CI 0.595–0.746; p < 0.001). The NLR cutoff value was ≤3.54 at the highest Youden index of 0.2925, with a sensitivity of 70.75% and specificity of 58.49% (AUC 0.641; 95% CI 0.561–0.716; p < 0.004) (Table 3). Accordingly, the patients were divided into a high NCR group (NCR > 255.13) and a low NCR group (NCR ≤ 255.13); high CAR group (CAR > 0.11) and low CAR group (CAR ≤ 0.11); high LCR group (LCR > 0.24) and low LCR group (LCR ≤ 0.24); high ALI group (ALI < 252.19) and low ALI group (ALI ≤ 252.19); high sICAM group (sICAM > 229.1 ng/mL) and low sICAM group (sICAM ≤ 229.1 ng/mL); high PNI group (PNI > 42.6) and low PNI group (PNI ≤ 42.6); and high NLR group (NLR > 3.54) and low NLR group (NLR ≤ 3.54). Although almost all of the evaluated markers significantly predicted shorter overall survival of patients with colon cancer, our newly developed marker, the preoperative NCR, predicted a shorter OS with the highest degree of accuracy. Based on these findings, we decided to focus this study on the NCR. Next, we evaluated the correlation between the NCR and clinicopathological findings.
Table 3.
Receiver operating characteristic (ROC) curve analysis to evaluate the predictive value of inflammatory biomarkers for OS in the discovery cohort.
Figure 1.
Side-to-side comparison of AUCs for different parameters predicting the OS of the discovery cohort.
3.3. Association between NCR and Clinicopathological Characteristics in the Discovery Cohort of Patients with Colon Cancer: A Decreased Preoperative NCR Correlated Significantly with Sidedness and the UICC Stage
We observed that low NCR levels were significantly associated with advanced tumors (Table 4), including undifferentiated histology (p < 0.043), lymph node metastasis (p < 0.041), distant metastasis (p < 0.006), and advanced UICC stage (p < 0.028) (Table 4, Figure 2). In addition, patients with elevated CEA concentrations presented with significantly decreased ratios of NCR compared with patients with normal CEA concentrations (p < 0.001, Table 4). Sex and patient age had no significant effects (Table 4). Moreover, right-sided tumors had a significantly lower NCR than left-sided tumors (p < 0.005, Figure 2).
Table 4.
The relationship between clinicopathological variables and NCR in patients with colon cancer in the discovery cohort. (ECOG PS: Eastern Cooperative Oncology Group performance status).
Figure 2.
Clinical significance of the preoperative NCR in patients with colon cancer from the discovery cohort according to (a) the UICC classification: NCR levels were significantly decreased in a staged dependent manner; and (b) sidedness: significantly decreased NCR levels were observed in patients with right-sided colonic cancer.
3.4. Low Levels of NCR Were Associated with Poor Oncological Outcomes for Patients with Colon Cancer: Univariate and Multivariate Cox Regression Analysis of OS in the Discovery Cohort
In order to compare several established predictive parameters (NCR, CAR, LCR, ALI, sICAM, PNI, CEA, and NLR), hazard ratios were estimated in the discovery cohort for Overall Survival using Cox regression analysis (Table 5). NCR showed the highest hazard ratio of 4.33 (95% CI 2.34–8.00) compared to the other parameters, as well as the highest AUC in the ROC analysis (Figure 1, Table 3).
Table 5.
Hazard Ratios for various predictive parameters (Cox regression analysis of the OS of patients with colon cancer in the discovery cohort).
Multivariate analysis confirmed that age, sex, BMI, ASA, UICC and NCR were independent prognostic factors for poor OS (Table 6).
Table 6.
Multivariate analysis of clinicopathological variables for OS in patients with CC in the discovery cohort. (ECOG PS: Eastern Cooperative Oncology Group performance status).
3.5. Survival Analysis
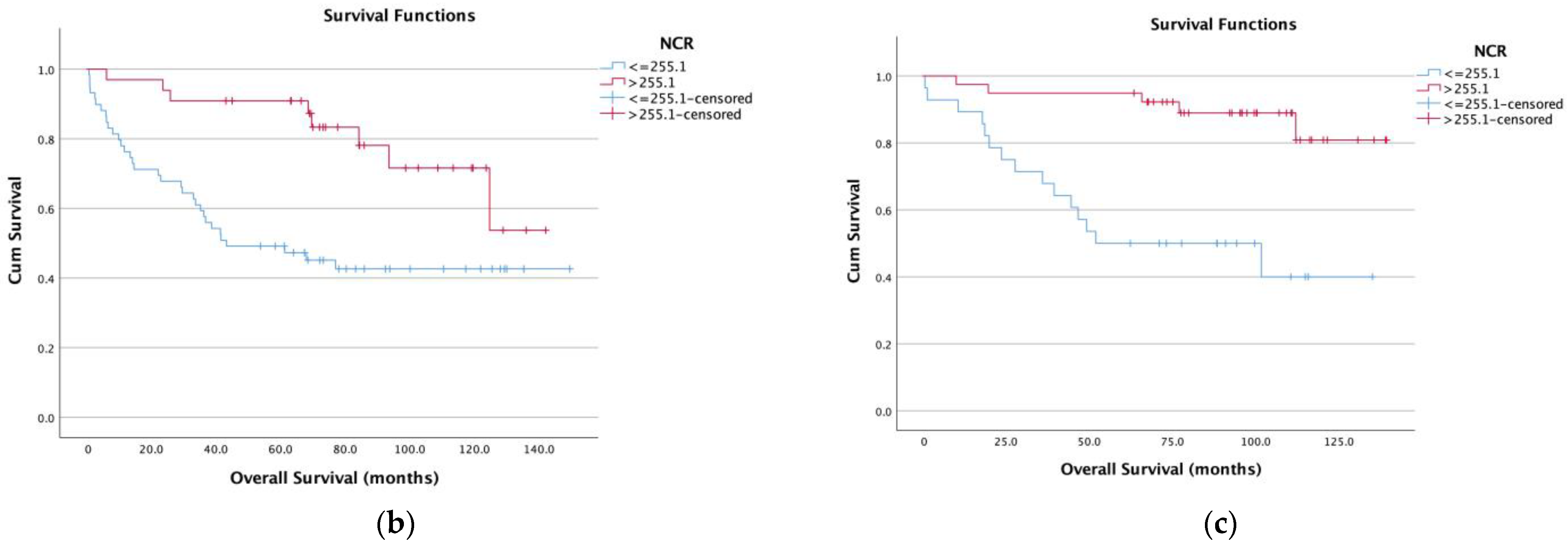
We performed a time-to-event analysis to evaluate the potential of NCR as a prognostic biomarker. Therefore, we generated Kaplan–Meier survival curves for OS split by NCR based on the optimal cutoff value using a ROC curve analysis with the Youden index in the discovery cohort (Figure 3a). Patients with low NCR levels had a significantly shorter OS (log-rank test, p < 0.001) than patients with high NCR levels (79.9 months ± 4.7 vs. 123.1 months ± 6.8). An analysis of all patients in the discovery cohort according to the UICC stage revealed a low NCR to be associated in every UICC stage with significantly shorter OS (Figure 4a–d). Low NCR was associated with a significantly shorter OS compared to high NCR in all UICC stages- UICC I: 41.5 months ± 16.5 versus 96.8 months ± 11.6 (p = 0.023); UICC II: 99.8 months ± 10 versus 124.2 months ± 6.2 (p = 0.017); UICC III: 79.3 months ± 10.2 versus 116.2 months ± 8 (p = 0.036); UICC IV: p = 0.006).
Figure 3.
Prognostic effect of the NCR status on the OS of patients with colon cancer in the discovery cohort (a) and the validation cohort (b).

Figure 4.
Prognostic effect of the NCR status on the OS of patients with colon cancer stratified according to UICC classification (a) Kaplan–Meier curves for OS based on UICC stage 1; (b) UICC stage II (c) UICC stage III and (d) UICC stage IV patients in the discovery cohort.
We confirmed these results by conducting a time-to-event analysis to evaluate the potential of the preoperative NCR using the same cutoff value as a prognostic biomarker in an external validation cohort (Figure 3b). Patients with lower NCR levels experienced a significantly shorter OS (log-rank test, p < 0.018) with a mean OS of 52.12 (±2.6) months for an NCR > 255.1 compared with 34.6 months (±3.7) for an NCR ≤ 255.1 in this external validation cohort. Furthermore, the multivariate Cox regression analysis also indicated that the NCR was an independent factor for predicting OS (HR 8.42, 95% CI 1.047–67.87, p = 0.045).
Right- and left-sided CC patients with low levels of NCR had a significantly shorter OS (right 77.7 and left 78 months) compared to high levels of NCR (right-sided 116 and left-sided 126.7 months) (Figure 5). Patients with left-sided CC presenting with low NCR levels fared considerably worse than patients with right-sided CC.

Figure 5.
Kaplan–Meier curves for OS based on sidedness: right-sided and left-sided CC (a); Kaplan–Meier curves for OS based on NCR for right-sided colon cancer patients (b) and Kaplan–Meier curves for OS based on NCR for left-sided colon cancer patients in the discovery cohort (c).
4. Discussion
Predicting survival is essential since more radical treatment approaches might reduce the quality of life, which, on the other hand, is shortened by undertreatment. Despite the description of several new prognostic markers and multimodal treatment strategies, CRC still represents the third most common cause of cancer-related death. CRC prognosis is traditionally based on the TNM classification, the status of the resection margin, and specific histological and molecular features [5,19]. However, differences in outcomes and treatment response have been reported among patients within the same disease stage. Today, only patients with stage III CC are routinely offered adjuvant chemotherapeutic treatment. Fluorouracil monotherapy after surgical resection reduces the risk of death by 10–15% in patients with UICC stage III CC and by 20% when fluoropyrimidine-oxaliplatin therapy is applied [14,20,21]. Therefore, the portion of patients who actually benefit from adjuvant chemotherapy is approximately 20%, exposing up to 80% of patients to unnecessary toxicity. On the other hand, even with chemotherapy, the reported disease relapse rate is up to 30–50% [22]. When taken together, the therapeutic strategy currently used results in frequent undertreatment of patients with stage II disease (approximately 20% disease relapse [23,24,25]) and overtreatment of patients with stage III tumors. Thus, in the era of precision oncology, novel tools are needed for adequate prognostic staging, prediction of survival outcomes, and guiding multimodal therapy. With the emergence of immunological treatment options, the status of the immune system and inflammation severity have become the subjects of increasing focus of many studies [26]. The TNM staging system is limited in this regard. To the best of our knowledge, we are the first to report that the pretreatment combination of BMI and albumin levels along with CRP levels, which we defined as the NCR in the present study, is an independent indicator of a poor prognosis for patients with primary untreated colon cancer. The NCR reflects both the nutritional status, as represented by BMI and the serum albumin level, and the systemic inflammatory response, as represented by the CRP level. We confirmed our results in an independent external validation cohort.
First, we systematically investigated the prognostic effects of different established blood cell-based parameters (CAR, LCR, ALI, PNI, and NLR), CEA and other parameters (sICAM) in the discovery cohort. The impact of BMI on the prognosis of CRC, particularly CC, is discussed controversially [13]. We were previously able to document the effect of BMI on the long-term outcomes of 612 patients with rectal cancer and showed that underweight and excess body weight are associated with shorter OS and higher rates of distant metastasis [27]. The serum CRP level is an established inflammatory marker, and ratios incorporating this parameter have been reported as prognostic parameters for CRC [28,29]. However, numerous studies have analyzed the effects of systemic inflammatory or nutritional factors (or a combination of both) on CRC outcomes with inconclusive results [30,31,32]. One potential explanation is that statistical methods for reducing false-positive findings, such as bootstrapping, cross-validation, and consideration of multiple testing, were not conducted rigorously in many studies. Another potential explanation is the advantages and disadvantages of a prospective/retrospective study design. Furthermore, most of these outcome studies considered colon cancer and rectal cancer patients as a single disease entity.
In the present study, NCR was superior to the other prognostic indices and was a more reliable indicator of a poor prognosis for patients with colon cancer. The discriminatory ability of a biomarker is typically evaluated by performing sensitivity, specificity, and receiver operating characteristic curve (ROC) analyses. CEA is the most accepted and routinely used colorectal tumor marker for screening and predicting treatment response and survival. As a single marker, the CEA performance status predicting the outcome ranged from AUC 0.59 to 0.63 [33,34]. The NCR predicts the outcome with an AUC of 0.737 and a specificity of 86.79%. When included in multimarker panels, performance was greater than 0.8. In general, panels of biomarkers performed better than single markers [35]. Nevertheless, we propose that the translation of biomarkers to clinical implementation requires consideration of factors other than discriminatory ability and the combination of numerous markers. The optimal biomarker would be insensitive to variable preanalytical conditions, such as the time of day of sample collection or sample handling, which must be readily available and routinely used in clinical practice. In summary, using BMI, albumin levels, and CRP levels, our results provide a highly reproducible, easily obtainable, inexpensive, reliable, and practical biomarker for predicting the survival of patients with CC.
As mentioned, most studies regard CRC as one disease entity and do not consider the differences between the colon and rectum. We focused our attention on discerning blood-based markers governing colon cancer only. However, several issues must be addressed before integrating the NCR into treatment guidelines. First, our results must be validated in additional non-European cohorts. Second, the effects of microsatellite instability (MSI), mutational status, and NCR on patient prognosis must be investigated. A strength of our study is the prospective data collection and the two-step approach, with both a discovery and an independent validation cohort.
Our study also revealed interesting associations between the NCR and clinicopathological features. Lower preoperative NCR levels significantly correlated with undifferentiated histology, nodal involvement, and advanced UICC stage (Figure 2a). Interestingly, patients with left-sided tumors and low NCR scores performed significantly worse than patients with right-sided CC. In addition to the differentiation between the colon and rectum, tumor location (right-sided versus left-sided colon cancer) is widely accepted as a crucial factor determining disease progression and prognosis and influencing disease management [36,37]. Several publications have reported that older age, advanced T-stage, node-positive stage, and poor differentiation are more common in patients with right-sided colon cancer. Interestingly, right- and left-sided CC patients with low levels of NCR had a significantly shorter OS (right 77.7 and left 78 months) compared to high levels of NCR (right 116 and left 126.7 months). See Figure 5. In particular, left-sided CC patients with low levels of NCR fared considerably worse than right-sided CC patients. However, little is known about the impact of blood-based parameters on the prognosis of CC if sidedness is taken into consideration. Mazaki et al. evaluated the prognostic value of NLR by tumor sidedness and found that OS rates were significantly lower in patients with left-sided CC and high NLR levels [38].
Regarding the subgroup of patients with UICC stage II tumors, up to now, only patients with high-risk factors are candidates for adjuvant chemotherapy. Our data revealed that a low NCR was associated with a significantly shorter OS (Figure 4). Hence, the NCR might help clinicians select patient groups who would benefit from adjuvant treatment in stage II (low levels of NCR) or benefit from a reduced chemotherapy course in stage III (high levels of NCR). Therefore, further investigations of patients with stage II and III tumors are needed.
5. Conclusions
In summary, the therapeutic strategy used currently results in frequent undertreatment of patients with stage II CC and overtreatment of patients with UICC stage III tumors. We established the NCR as a sensitive prognostic marker of disease outcomes in patients with colon cancer. In all UICC stages, our newly developed biomarker is able to distinguish patients with better and worse prognoses. We, therefore, propose that NCR may serve as a supplement to the TNM staging system to optimize the risk stratification in CC patients towards personalized oncology.
Supplementary Materials
The online version contains supplementary material available online: https://www.mdpi.com/article/10.3390/diagnostics13010116/s1. Figure S1: ROC curves for NCR, CAR, ALI, PNI, CEA, sICAM, NLR, and LCR.
Author Contributions
M.L. and A.R.S. contributed equally to this manuscript. Conceptualization, M.L. and S.K.; methodology, M.L., A.R.S. and S.K.; formal analysis, M.L. and S.K.; investigation, M.L., A.R.S., M.M., J.B., V.S., S.M., M.B., C.K., R.G. and S.K.; resources, R.G. and S.K.; writing—original draft preparation, M.L., A.R.S. and S.K.; writing—review and editing, J.B., F.W., V.S., S.M., M.B., C.K., K.W. and R.G.; visualization, M.L. and S.K.; and supervision, S.K. All authors have read and agreed to the published version of the manuscript.
Funding
This research received no external funding.
Institutional Review Board Statement
The study was conducted according to the guidelines of the Declaration of Helsinki and approved by the local Ethics Committees of Erlangen (#159_15 B) and Zurich. Informed consent was obtained from all subjects involved in the study.
Informed Consent Statement
Informed consent was obtained from all subjects involved in the study.
Data Availability Statement
Data supporting this research are included in the published article.
Acknowledgments
We thank all authors for their contributions.
Conflicts of Interest
The authors have no conflict of interest to declare.
Abbreviations
NCR: nutritional CRP ratio; CRC: colorectal cancer; CC: colon cancer; CEA: carcinoembryonic antigen; ICAM-1: intercellular adhesion molecule; LFA-1: leukocyte integrin lymphocyte function-associated antigen; LCR: lymphocyte-to-C-reactive Protein ratio; NLR: neutrophil-to-lymphocyte ratio; PLR: platelet-to-lymphocyte ratio; BMI: body mass index; PNI: prognostic nutritional index; ALI: advanced lung cancer inflammation index; CAR: the C-reactive protein to albumin ratio; ROC: receiver operating characteristic; AUC: area under the ROC curve; KM: Kaplan–Meier; HR: hazard ratio; CI: confidence interval; UICC: Union Internationale Contre le Cancer; ECOG PS: Eastern Cooperative Oncology Group performance status; ASA: American Society of Anesthesiologists.
References
- Global Burden of Disease Cancer Collaboration; Fitzmaurice, C.; Abate, D.; Abbasi, N.; Abbastabar, H.; Abd-Allah, F.; Abdel-Rahman, O.; Abdelalim, A.; Abdoli, A.; Abdollahpour, I.; et al. Global, Regional, and National Cancer Incidence, Mortality, Years of Life Lost, Years Lived With Disability, and Disability-Adjusted Life-Years for 29 Cancer Groups, 1990 to 2017: A Systematic Analysis for the Global Burden of Disease Study. JAMA Oncol. 2019, 5, 1749–1768. [Google Scholar] [CrossRef] [PubMed]
- Vuik, F.E.; Nieuwenburg, S.A.; Bardou, M.; Lansdorp-Vogelaar, I.; Dinis-Ribeiro, M.; Bento, M.J.; Zadnik, V.; Pellise, M.; Esteban, L.; Kaminski, M.F.; et al. Increasing incidence of colorectal cancer in young adults in Europe over the last 25 years. Gut 2019, 68, 1820–1826. [Google Scholar] [CrossRef] [PubMed]
- Paschke, S.; Jafarov, S.; Staib, L.; Kreuser, E.D.; Maulbecker-Armstrong, C.; Roitman, M.; Holm, T.; Harris, C.C.; Link, K.H.; Kornmann, M. Are Colon and Rectal Cancer Two Different Tumor Entities? A Proposal to Abandon the Term Colorectal Cancer. Int. J. Mol. Sci. 2018, 19, 2577. [Google Scholar] [CrossRef]
- Brenner, H.; Kloor, M.; Pox, C.P. Colorectal cancer. Lancet 2014, 383, 1490–1502. [Google Scholar] [CrossRef]
- Vogl, T.J.; Pereira, P.L.; Helmberger, T.; Schreyer, A.G.; Schmiegel, W.; Fischer, S.; Herzog, C. Updated S3 Guidelines-Diagnosis and Treatment of Colorectal Carcinoma: Relevance for Radiological Diagnosis and Intervention. Rofo 2019, 191, 298–310. [Google Scholar] [CrossRef] [PubMed]
- Yamamoto, T.; Kawada, K.; Obama, K. Inflammation-Related Biomarkers for the Prediction of Prognosis in Colorectal Cancer Patients. Int. J. Mol. Sci. 2021, 22, 8002. [Google Scholar] [CrossRef]
- Das, V.; Kalita, J.; Pal, M. Predictive and prognostic biomarkers in colorectal cancer: A systematic review of recent advances and challenges. Biomed. Pharmacother. 2017, 87, 8–19. [Google Scholar] [CrossRef]
- Shinkins, B.; Nicholson, B.D.; James, T.; Pathiraja, I.; Pugh, S.; Perera, R.; Primrose, J.; Mant, D. What carcinoembryonic antigen level should trigger further investigation during colorectal cancer follow-up? A systematic review and secondary analysis of a randomised controlled trial. Health Technol. Assess 2017, 21, 1–60. [Google Scholar] [CrossRef]
- Tan, E.; Gouvas, N.; Nicholls, R.J.; Ziprin, P.; Xynos, E.; Tekkis, P.P. Diagnostic precision of carcinoembryonic antigen in the detection of recurrence of colorectal cancer. Surg. Oncol. 2009, 18, 15–24. [Google Scholar] [CrossRef]
- Tan, D.; Fu, Y.; Tong, W.; Li, F. Prognostic significance of lymphocyte to monocyte ratio in colorectal cancer: A meta-analysis. Int. J. Surg. 2018, 55, 128–138. [Google Scholar] [CrossRef]
- De Ulibarri, J.I.; Gonzalez-Madrono, A.; de Villar, N.G.; Gonzalez, P.; Gonzalez, B.; Mancha, A.; Rodriguez, F.; Fernandez, G. CONUT: A tool for controlling nutritional status. First validation in a hospital population. Nutr. Hosp. 2005, 20, 38–45. [Google Scholar]
- Gao, Y.; Byrd, D.A.; Prizment, A.; Lazovich, D.; Bostick, R.M. Associations of Novel Lifestyle- and Whole Foods-Based Inflammation Scores with Incident Colorectal Cancer Among Women. Nutr. Cancer 2021, 74, 1356–1369. [Google Scholar] [CrossRef] [PubMed]
- Fuchs, J.; Schellerer, V.S.; Brunner, M.; Geppert, C.I.; Grutzmann, R.; Weber, K.; Merkel, S. The impact of body mass index on prognosis in patients with colon carcinoma. Int. J. Color. Dis. 2022, 37, 1107–1117. [Google Scholar] [CrossRef] [PubMed]
- Andre, T.; Boni, C.; Mounedji-Boudiaf, L.; Navarro, M.; Tabernero, J.; Hickish, T.; Topham, C.; Zaninelli, M.; Clingan, P.; Bridgewater, J.; et al. Oxaliplatin, fluorouracil, and leucovorin as adjuvant treatment for colon cancer. N. Engl. J. Med. 2004, 350, 2343–2351. [Google Scholar] [CrossRef]
- Nasr, R.; Salim Hammoud, M.; Nassar, F.; Mukherji, D.; Shamseddine, A.; Temraz, S. Inflammatory Markers and MicroRNAs: The Backstage Actors Influencing Prognosis in Colorectal Cancer Patients. Int. J. Mol. Sci. 2018, 19, 1867. [Google Scholar] [CrossRef] [PubMed]
- Dolan, R.D.; McSorley, S.T.; Park, J.H.; Watt, D.G.; Roxburgh, C.S.; Horgan, P.G.; McMillan, D.C. The prognostic value of systemic inflammation in patients undergoing surgery for colon cancer: Comparison of composite ratios and cumulative scores. Br. J. Cancer 2018, 119, 40–51. [Google Scholar] [CrossRef] [PubMed]
- Tepus, M.; Yau, T.O. Non-Invasive Colorectal Cancer Screening: An Overview. Gastrointest. Tumors 2020, 7, 62–73. [Google Scholar] [CrossRef] [PubMed]
- Schellerer, V.S.; Langheinrich, M.C.; Zver, V.; Grutzmann, R.; Sturzl, M.; Gefeller, O.; Naschberger, E.; Merkel, S. Soluble intercellular adhesion molecule-1 is a prognostic marker in colorectal carcinoma. Int. J. Color. Dis. 2019, 34, 309–317. [Google Scholar] [CrossRef]
- Sepulveda, A.R.; Hamilton, S.R.; Allegra, C.J.; Grody, W.; Cushman-Vokoun, A.M.; Funkhouser, W.K.; Kopetz, S.E.; Lieu, C.; Lindor, N.M.; Minsky, B.D.; et al. Molecular Biomarkers for the Evaluation of Colorectal Cancer: Guideline From the American Society for Clinical Pathology, College of American Pathologists, Association for Molecular Pathology, and American Society of Clinical Oncology. J. Mol. Diagn. 2017, 19, 187–225. [Google Scholar] [CrossRef]
- Twelves, C.; Wong, A.; Nowacki, M.P.; Abt, M.; Burris, H., 3rd; Carrato, A.; Cassidy, J.; Cervantes, A.; Fagerberg, J.; Georgoulias, V.; et al. Capecitabine as adjuvant treatment for stage III colon cancer. N. Engl. J. Med. 2005, 352, 2696–2704. [Google Scholar] [CrossRef]
- Yothers, G.; O’Connell, M.J.; Allegra, C.J.; Kuebler, J.P.; Colangelo, L.H.; Petrelli, N.J.; Wolmark, N. Oxaliplatin as adjuvant therapy for colon cancer: Updated results of NSABP C-07 trial, including survival and subset analyses. J. Clin. Oncol. 2011, 29, 3768–3774. [Google Scholar] [CrossRef]
- Auclin, E.; Zaanan, A.; Vernerey, D.; Douard, R.; Gallois, C.; Laurent-Puig, P.; Bonnetain, F.; Taieb, J. Subgroups and prognostication in stage III colon cancer: Future perspectives for adjuvant therapy. Ann. Oncol. 2017, 28, 958–968. [Google Scholar] [CrossRef] [PubMed]
- Ju, J.H.; Chang, S.C.; Wang, H.S.; Yang, S.H.; Jiang, J.K.; Chen, W.C.; Lin, T.C.; Hung, H.; Wang, F.M.; Lin, J.K. Changes in disease pattern and treatment outcome of colorectal cancer: A review of 5474 cases in 20 years. Int. J. Color. Dis. 2007, 22, 855–862. [Google Scholar] [CrossRef] [PubMed]
- O’Connell, J.B.; Maggard, M.A.; Ko, C.Y. Colon cancer survival rates with the new American Joint Committee on Cancer sixth edition staging. J. Natl. Cancer Inst. 2004, 96, 1420–1425. [Google Scholar] [CrossRef]
- Wiesmueller, F.; Schuetz, R.; Langheinrich, M.; Brunner, M.; Weber, G.F.; Grutzmann, R.; Merkel, S.; Krautz, C. Defining early recurrence in patients with resected primary colorectal carcinoma and its respective risk factors. Int. J. Color. Dis. 2021, 36, 1181–1191. [Google Scholar] [CrossRef] [PubMed]
- Posch, F.; Silina, K.; Leibl, S.; Mundlein, A.; Moch, H.; Siebenhuner, A.; Samaras, P.; Riedl, J.; Stotz, M.; Szkandera, J.; et al. Maturation of tertiary lymphoid structures and recurrence of stage II and III colorectal cancer. Oncoimmunology 2018, 7, e1378844. [Google Scholar] [CrossRef]
- Kalb, M.; Langheinrich, M.C.; Merkel, S.; Krautz, C.; Brunner, M.; Benard, A.; Weber, K.; Pilarsky, C.; Grutzmann, R.; Weber, G.F. Influence of Body Mass Index on Long-Term Outcome in Patients with Rectal Cancer-A Single Centre Experience. Cancers 2019, 11, 609. [Google Scholar] [CrossRef]
- Okugawa, Y.; Toiyama, Y.; Yamamoto, A.; Shigemori, T.; Ichikawa, T.; Yin, C.; Suzuki, A.; Fujikawa, H.; Yasuda, H.; Hiro, J.; et al. Lymphocyte-to-C-reactive protein ratio and score are clinically feasible nutrition-inflammation markers of outcome in patients with gastric cancer. Clin. Nutr. 2020, 39, 1209–1217. [Google Scholar] [CrossRef]
- Suzuki, S.; Akiyoshi, T.; Oba, K.; Otsuka, F.; Tominaga, T.; Nagasaki, T.; Fukunaga, Y.; Ueno, M. Comprehensive Comparative Analysis of Prognostic Value of Systemic Inflammatory Biomarkers for Patients with Stage II/III Colon Cancer. Ann. Surg. Oncol. 2020, 27, 844–852. [Google Scholar] [CrossRef]
- Inamoto, S.; Kawada, K.; Okamura, R.; Hida, K.; Sakai, Y. Prognostic impact of the combination of neutrophil-to-lymphocyte ratio and Glasgow prognostic score in colorectal cancer: A retrospective cohort study. Int. J. Color. Dis. 2019, 34, 1303–1315. [Google Scholar] [CrossRef]
- Li, Q.; Dai, W.; Li, Y.; Xu, Y.; Li, X.; Cai, S. Nomograms for predicting the prognostic value of serological tumor biomarkers in colorectal cancer patients after radical resection. Sci. Rep. 2017, 7, 46345. [Google Scholar] [CrossRef]
- Kim, J.H.; Lee, J.Y.; Kim, H.K.; Lee, J.W.; Jung, S.G.; Jung, K.; Kim, S.E.; Moon, W.; Park, M.I.; Park, S.J. Prognostic significance of the neutrophil-to-lymphocyte ratio and platelet-to-lymphocyte ratio in patients with stage III and IV colorectal cancer. World J. Gastroenterol. 2017, 23, 505–515. [Google Scholar] [CrossRef] [PubMed]
- Lim, D.H.; Lee, J.H.; Kim, J.W. Feasibility of CYFRA 21-1 as a serum biomarker for the detection of colorectal adenoma and advanced colorectal adenoma in people over the age of 45. J. Clin. Lab. Anal. 2018, 32, e22163. [Google Scholar] [CrossRef]
- Thomas, D.S.; Fourkala, E.O.; Apostolidou, S.; Gunu, R.; Ryan, A.; Jacobs, I.; Menon, U.; Alderton, W.; Gentry-Maharaj, A.; Timms, J.F. Evaluation of serum CEA, CYFRA21-1 and CA125 for the early detection of colorectal cancer using longitudinal preclinical samples. Br. J. Cancer 2015, 113, 268–274. [Google Scholar] [CrossRef] [PubMed]
- Harlid, S.; Gunter, M.J.; Van Guelpen, B. Risk-Predictive and Diagnostic Biomarkers for Colorectal Cancer; a Systematic Review of Studies Using Pre-Diagnostic Blood Samples Collected in Prospective Cohorts and Screening Settings. Cancers 2021, 13, 4406. [Google Scholar] [CrossRef] [PubMed]
- Baran, B.; Ozupek, N.M.; Tetik, N.Y.; Acar, E.; Bekcioglu, O.; Baskin, Y. Difference Between Left-Sided and Right-Sided Colorectal Cancer: A Focused Review of Literature. Gastroenterol. Res. 2018, 11, 264–273. [Google Scholar] [CrossRef]
- Mege, D.; Manceau, G.; Beyer, L.; Bridoux, V.; Lakkis, Z.; Venara, A.; Voron, T.; de’Angelis, N.; Abdalla, S.; Sielezneff, I.; et al. Right-sided vs. left-sided obstructing colonic cancer: Results of a multicenter study of the French Surgical Association in 2325 patients and literature review. Int. J. Color. Dis. 2019, 34, 1021–1032. [Google Scholar] [CrossRef]
- Mazaki, J.; Katsumata, K.; Kasahara, K.; Tago, T.; Wada, T.; Kuwabara, H.; Enomoto, M.; Ishizaki, T.; Nagakawa, Y.; Tsuchida, A. Neutrophil-to-lymphocyte ratio is a prognostic factor for colon cancer: A propensity score analysis. BMC Cancer 2020, 20, 922. [Google Scholar] [CrossRef]
Disclaimer/Publisher’s Note: The statements, opinions and data contained in all publications are solely those of the individual author(s) and contributor(s) and not of MDPI and/or the editor(s). MDPI and/or the editor(s) disclaim responsibility for any injury to people or property resulting from any ideas, methods, instructions or products referred to in the content. |
© 2022 by the authors. Licensee MDPI, Basel, Switzerland. This article is an open access article distributed under the terms and conditions of the Creative Commons Attribution (CC BY) license (https://creativecommons.org/licenses/by/4.0/).






