Heart Rate Variability and Salivary Biomarkers Differences between Fibromyalgia and Healthy Participants after an Exercise Fatigue Protocol: An Experimental Study
Abstract
:1. Introduction
2. Materials and Methods
2.1. Participants
2.2. Procedure
2.3. Instruments, Processing and Outcomes
2.3.1. Heart Rate Variability
2.3.2. Salivary Biomarkers
2.3.3. Borg Scale
2.4. Statistical Analysis
3. Results
3.1. Differences between People with Fibromyalgia and Healthy Controls at Baseline
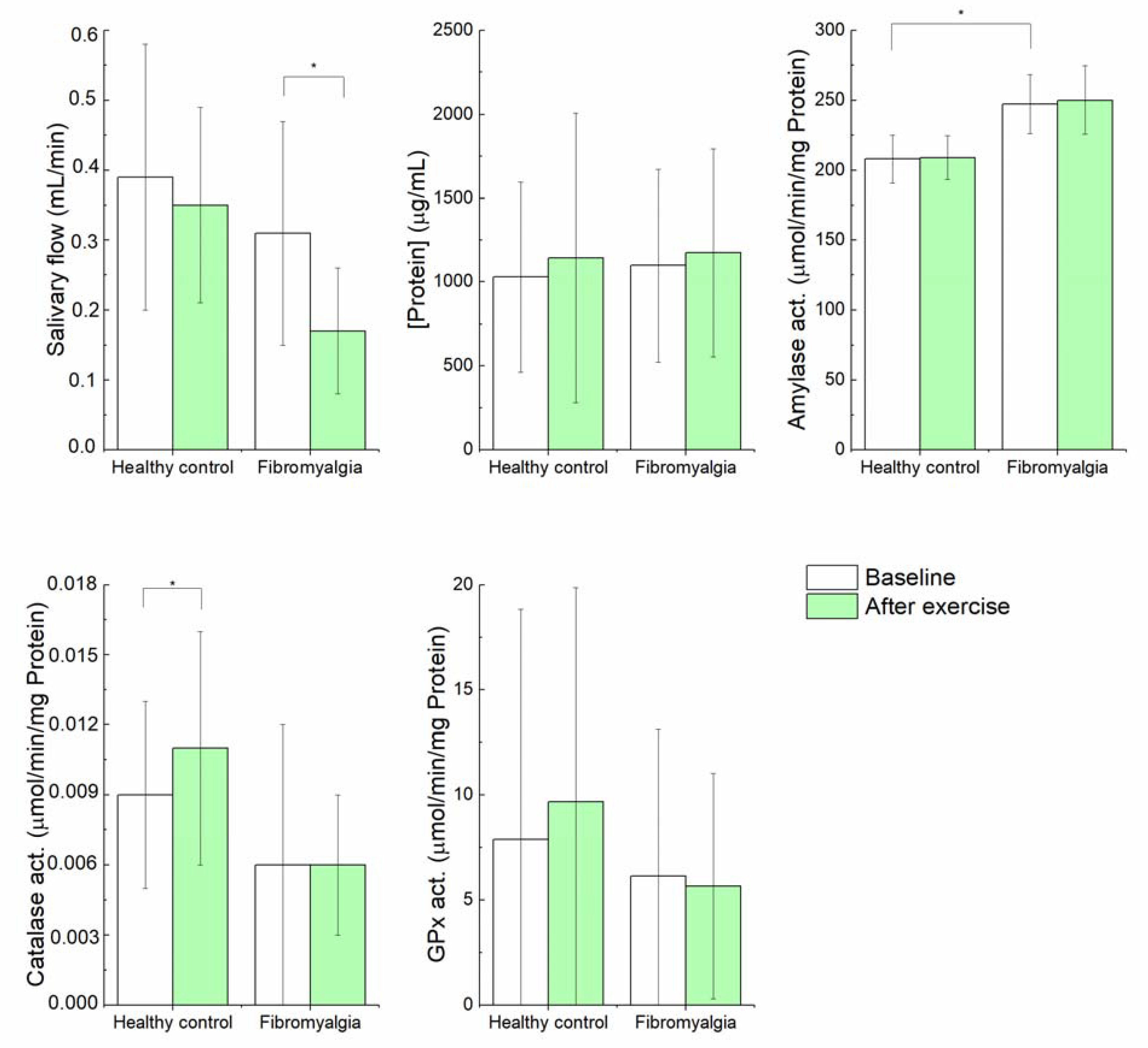
3.2. Differences between Pre and Post Physical Exercise in Fibromyalgia and Healthy Controls Groups
3.3. Acute Effects of Exercise on HRV and Salivary Biomarkers
3.4. RPE after Exercise Protocol
4. Discussion
5. Conclusions
Supplementary Materials
Author Contributions
Funding
Institutional Review Board Statement
Informed Consent Statement
Data Availability Statement
Conflicts of Interest
References
- Wolfe, F.; Clauw, D.J.; Fitzcharles, M.A.; Goldenberg, D.L.; Katz, R.S.; Mease, P.; Russell, A.S.; Russell, I.J.; Winfield, J.B.; Yunus, M.B. The American College of Rheumatology Preliminary Diagnostic Criteria for Fibromyalgia and Measurement of Symptom Severity. Arthrit. Care Res. 2010, 62, 600–610. [Google Scholar] [CrossRef] [PubMed]
- Núñez-Fuentes, D.; Obrero-Gaitán, E.; Zagalaz-Anula, N.; Ibáñez-Vera, A.J.; Achalandabaso-Ochoa, A.; López-Ruiz, M.D.C.; Rodríguez-Almagro, D.; Lomas-Vega, R. Alteration of Postural Balance in Patients with Fibromyalgia Syndrome-A Systematic Review and Meta-Analysis. Diagnostics 2021, 11, 127. [Google Scholar] [CrossRef] [PubMed]
- Hendrix, J.; Nijs, J.; Ickmans, K.; Godderis, L.; Ghosh, M.; Polli, A. The interplay between oxidative stress, exercise, and pain in health and disease: Potential role of autonomic regulation and epigenetic mechanisms. Antioxidants 2020, 9, 1166. [Google Scholar] [CrossRef] [PubMed]
- Martínez-Lavín, M. Fibromyalgia in women: Somatisation or stress-evoked, sex-dimorphic neuropathic pain? Clin. Exp. Rheumatol. 2021, 39, 422–425. [Google Scholar] [CrossRef]
- Siracusa, R.; Paola, R.D.; Cuzzocrea, S.; Impellizzeri, D. Fibromyalgia: Pathogenesis, Mechanisms, Diagnosis and Treatment Options Update. Int. J. Mol. Sci. 2021, 22, 3891. [Google Scholar] [CrossRef]
- Mezhov, V.; Guymer, E.; Littlejohn, G. Central sensitivity and fibromyalgia. Intern. Med. J. 2021, 51, 1990–1998. [Google Scholar] [CrossRef]
- Illescas-Montes, R.; Costela-Ruiz, V.J.; Melguizo-Rodríguez, L.; De Luna-Bertos, E.; Ruiz, C.; Ramos-Torrecillas, J. Application of Salivary Biomarkers in the Diagnosis of Fibromyalgia. Diagnostics 2021, 11, 63. [Google Scholar] [CrossRef]
- Raj, S.R.; Brouillard, D.; Simpson, C.S.; Hopman, W.M.; Abdollah, H. Dysautonomia among patients with fibromyalgia: A noninvasive assessment. J. Rheumatol. 2000, 27, 2660–2665. [Google Scholar]
- Solano, C.; Martinez, A.; Becerril, L.; Vargas, A.; Figueroa, J.; Navarro, C.; Ramos-Remus, C.; Martinez-Lavin, M. Autonomic dysfunction in fibromyalgia assessed by the Composite Autonomic Symptoms Scale (COMPASS). JCR J. Clin. Rheumatol. 2009, 15, 172–176. [Google Scholar] [CrossRef]
- Ulas, U.H.; Unlu, E.; Hamamcioglu, K.; Odabasi, Z.; Cakci, A.; Vural, O. Dysautonomia in fibromyalgia syndrome: Sympathetic skin responses and RR interval analysis. Rheumatol. Int. 2006, 26, 383–387. [Google Scholar] [CrossRef]
- Martinez-Lavin, M. Fibromyalgia as a sympathetically maintained pain syndrome. Curr. Pain Headache Rep. 2004, 8, 385–389. [Google Scholar] [CrossRef] [PubMed]
- Furlan, R.; Colombo, S.; Perego, F.; Atzeni, F.; Diana, A.; Barbic, F.; Porta, A.; Pace, F.; Malliani, A.; Sarzi-Puttini, P. Abnormalities of cardiovascular neural control and reduced orthostatic tolerance in patients with primary fibromyalgia. J. Rheumatol. 2005, 32, 1787–1793. [Google Scholar] [PubMed]
- Martínez-Lavín, M.; Hermosillo, A.G. Autonomic nervous system dysfunction may explain the multisystem features of fibromyalgia. Semin. Arthritis Rheum. 2000, 29, 197–199. [Google Scholar] [CrossRef]
- Freeman, J.V.; Dewey, F.E.; Hadley, D.M.; Myers, J.; Froelicher, V.F. Autonomic nervous system interaction with the cardiovascular system during exercise. Prog. Cardiovasc. Dis. 2006, 48, 342–362. [Google Scholar] [CrossRef] [PubMed]
- Shaffer, F.; Ginsberg, J.P. An overview of heart rate variability metrics and norms. Front. Public Health 2017, 5, 258. [Google Scholar] [CrossRef]
- Dekker, J.M.; Crow, R.S.; Folsom, A.R.; Hannan, P.J.; Liao, D.; Swenne, C.A.; Schouten, E.G. Low heart rate variability in a 2-minute rhythm strip predicts risk of coronary heart disease and mortality from several causes: The ARIC Study. Circulation 2000, 102, 1239–1244. [Google Scholar] [CrossRef]
- Bagis, S.; Tamer, L.; Sahin, G.; Bilgin, R.; Guler, H.; Ercan, B.; Erdogan, C. Free radicals and antioxidants in primary fibromyalgia: An oxidative stress disorder? Rheumatol. Int. 2005, 25, 188–190. [Google Scholar] [CrossRef]
- Bazzichi, L.; Ciregia, F.; Giusti, L.; Baldini, C.; Giannaccini, G.; Giacomelli, C.; Sernissi, F.; Bombardieri, S.; Lucacchini, A. Detection of potential markers of primary fibromyalgia syndrome in human saliva. Proteom.–Clin. Appl. 2009, 3, 1296–1304. [Google Scholar] [CrossRef]
- Bosch, J.A. The use of saliva markers in psychobiology: Mechanisms and methods. Saliva Secret. Funct. 2014, 24, 99–108. [Google Scholar]
- Culp, D.J.; Graham, L.A.; Latchney, L.R.; Hand, A.R. Rat sublingual gland as a model to study glandular mucous cell secretion. Am. J. Physiol.-Cell Physiol. 1991, 260, C1233–C1244. [Google Scholar] [CrossRef]
- Humphrey, S.P.; Williamson, R.T. A review of saliva: Normal composition, flow, and function. J. Prosthet. Dent. 2001, 85, 162–169. [Google Scholar] [CrossRef] [PubMed]
- Schamne, J.C.; Ressetti, J.C.; Lima-Silva, A.E.; Okuno, N.M. Impaired Cardiac Autonomic Control in Women With Fibromyalgia Is Independent of Their Physical Fitness. J. Clin. Rheumatol. Pract. Rep. Rheum. Musculoskelet. Dis. 2021, 27, S278–S283. [Google Scholar] [CrossRef] [PubMed]
- Kingsley, J.D.; Panton, L.B.; McMillan, V.; Figueroa, A. Cardiovascular autonomic modulation after acute resistance exercise in women with fibromyalgia. Arch. Phys. Med. Rehabil. 2009, 90, 1628–1634. [Google Scholar] [CrossRef] [PubMed]
- Powers, S.K.; Jackson, M.J. Exercise-induced oxidative stress: Cellular mechanisms and impact on muscle force production. Physiol. Rev. 2008, 88, 1243–1276. [Google Scholar] [CrossRef]
- Santos, J.M.; Mendonça, V.A.; Ribeiro, V.G.C.; Tossige-Gomes, R.; Fonseca, S.F.; Prates, A.C.N.; Flor, J.; Oliveira, A.C.C.; Martins, J.B.; Garcia, B.C.C.; et al. Does whole body vibration exercise improve oxidative stress markers in women with fibromyalgia? Braz. J. Med. Biol. Res. 2019, 52, e8688. [Google Scholar] [CrossRef]
- Figueroa, A.; Kingsley, J.D.; McMillan, V.; Panton, L.B. Resistance exercise training improves heart rate variability in women with fibromyalgia. Clin. Physiol. Funct. Imaging 2008, 28, 49–54. [Google Scholar] [CrossRef]
- Tomas-Carus, P.; Ortega-Alonso, A.; Pietilainen, K.H.; Santos, V.; Goncalves, H.; Ramos, J.; Raimundo, A. A randomized controlled trial on the effects of combined aerobic-resistance exercise on muscle strength and fatigue, glycemic control and health-related quality of life of type 2 diabetes patients. J. Sports Med. Phys. Fit. 2016, 56, 572–578. [Google Scholar]
- Clemente-Suárez, V.; Parraca, J.; Silva, V.; Batalha, N.; Costa, A.; Tomas-Carus, P. Differences in peripheral vascular response of a fibromyalgia patient in a physical fatigue situation. A case control report. Perspecticas Online Biológicas Saúde 2021, 11, 1–10. [Google Scholar] [CrossRef]
- Tarvainen, M.P.; Niskanen, J.-P.; Lipponen, J.A.; Ranta-Aho, P.O.; Karjalainen, P.A. Kubios HRV–heart rate variability analysis software. Comput. Methods Programs Biomed. 2014, 113, 210–220. [Google Scholar] [CrossRef]
- Lamy, E.; Simões, C.; Rodrigues, L.; Costa, A.R.; Vitorino, R.; Amado, F.; Antunes, C.; do Carmo, I. Changes in the salivary protein profile of morbidly obese women either previously subjected to bariatric surgery or not. J. Physiol. Biochem. 2015, 71, 691–702. [Google Scholar] [CrossRef]
- Bradford, M.M. A rapid and sensitive method for the quantitation of microgram quantities of protein utilizing the principle of protein-dye binding. Anal. Biochem. 1976, 72, 248–254. [Google Scholar] [CrossRef]
- Rodrigues, L.; Mouta, R.; Costa, A.R.; Pereira, A.; e Silva, F.C.; Amado, F.; Antunes, C.M.; Lamy, E. Effects of high-fat diet on salivary α-amylase, serum parameters and food consumption in rats. Arch. Oral Biol. 2015, 60, 854–862. [Google Scholar] [CrossRef] [PubMed]
- Aebi, H. Catalase in vitro. In Methods in Enzymology; Elsevier: Amsterdam, The Netherlands, 1984; Volume 105, pp. 121–126. [Google Scholar]
- Fecondo, J.V.; Augusteyn, R.C. Superoxide dismutase, catalase and glutathione peroxidase in the human cataractous lens. Exp. Eye Res. 1983, 36, 15–23. [Google Scholar] [CrossRef]
- Borg, G. Borg’s Perceived Exertion and Pain Scales; Human kinetics: Leeds, UK, 1998. [Google Scholar]
- Fritz, C.O.; Morris, P.E.; Richler, J.J. Effect Size Estimates: Current Use, Calculations, and Interpretation. J. Exp. Psychol.-Gen. 2012, 141, 2–18. [Google Scholar] [CrossRef]
- Coolican, H. Research Methods and Statistics in Psychology; Psychology Press: London, UK, 2017. [Google Scholar]
- Soares-Miranda, L.; Sattelmair, J.; Chaves, P.; Duncan, G.E.; Siscovick, D.S.; Stein, P.K.; Mozaffarian, D. Physical activity and heart rate variability in older adults: The Cardiovascular Health Study. Circulation 2014, 129, 2100–2110. [Google Scholar] [CrossRef]
- Nater, U.M.; Rohleder, N. Salivary alpha-amylase as a non-invasive biomarker for the sympathetic nervous system: Current state of research. Psychoneuroendocrinology 2009, 34, 486–496. [Google Scholar] [CrossRef]
- Bosch, J.A.; Veerman, E.C.I.; de Geus, E.J.; Proctor, G.B. α-Amylase as a reliable and convenient measure of sympathetic activity: Don’t start salivating just yet! Psychoneuroendocrinology 2011, 36, 449–453. [Google Scholar] [CrossRef]
- Speirs, R.L.; Herring, J.; Cooper, W.D.; Hardy, C.C.; Hind, C.R.K. The influence of sympathetic activity and isoprenaline on the secretion of amylase from the human parotid gland. Arch. Oral Biol. 1974, 19, 747–752. [Google Scholar] [CrossRef]
- van Stegeren, A.; Rohleder, N.; Everaerd, W.; Wolf, O.T. Salivary alpha amylase as marker for adrenergic activity during stress: Effect of betablockade. Psychoneuroendocrinology 2006, 31, 137–141. [Google Scholar] [CrossRef]
- Fernández-de-las-Peñas, C.; Peñacoba-Puente, C.; Cigarán-Méndez, M.; Díaz-Rodríguez, L.; Rubio-Ruiz, B.; Arroyo-Morales, M. Has catechol-O-methyltransferase genotype (Val158Met) an influence on endocrine, sympathetic nervous and humoral immune systems in women with fibromyalgia syndrome? Clin. J. Pain 2014, 30, 199–204. [Google Scholar] [CrossRef]
- Fischer, S.; Doerr, J.M.; Strahler, J.; Mewes, R.; Thieme, K.; Nater, U.M. Stress exacerbates pain in the everyday lives of women with fibromyalgia syndrome—The role of cortisol and alpha-amylase. Psychoneuroendocrinology 2016, 63, 68–77. [Google Scholar] [CrossRef]
- Pintor, F.M.; Escolano, A.F.; Rodríguez, J.R.; Ardid, J.M.C.; Gourlot, A.R. Niveles de-Amilasa seriada salival en mujeres con fibromialgia. Cuad. Med. Psicosomática Y Psiquiatr. Enlace 2014, 18–24. Available online: https://dialnet.unirioja.es/servlet/articulo?codigo=4802222 (accessed on 11 September 2022).
- Sánchez, P.; Sánchez Tormo, J.; de Lamo Muñoz, M.; Peiró, G. Psicobioquimica (estrés, ansiedad y depresión) en fibromialgia. Cuad. Monográficos Psicobioquímica 2014, 3, 55–68. [Google Scholar]
- Sarıfakıoğlu, B.; Güzelant, A.Y.; Güzel, E.Ç.; Güzel, S.; Kızıler, A.R. Effects of 12-week combined exercise therapy on oxidative stress in female fibromyalgia patients. Rheumatol. Int. 2014, 34, 1361–1367. [Google Scholar] [CrossRef] [PubMed]
- Shukla, V.; Kumar, D.S.; Ali, M.A.; Agarwal, S.; Khandpur, S. Nitric oxide, lipid peroxidation products, and antioxidants in primary fibromyalgia and correlation with disease severity. J. Med. Biochem. 2020, 39, 165. [Google Scholar] [CrossRef]
- Soliman, A.F.; El-Olemy, G.G.; Hassan, W.A.; Shaker, R.H.M.; Abdullah, O.A. Impact of an intensive dynamic exercise program on oxidative stress and on the outcome in patients with fibromyalgia. Egypt. Rheumatol. Rehabil. 2016, 43, 117–123. [Google Scholar] [CrossRef]
- da Cunha Ribeiro, R.P.; Roschel, H.; Artioli, G.G.; Dassouki, T.; Perandini, L.A.; Calich, A.L.; de Sá Pinto, A.L.; Lima, F.R.; Bonfá, E.; Gualano, B. Cardiac autonomic impairment and chronotropic incompetence in fibromyalgia. Arthritis Res. Ther. 2011, 13, 1–5. [Google Scholar] [CrossRef]
- Villafaina, S.; Biehl-Printes, C.; Parraca, J.A.; de Oliveira Brauner, F.; Tomas-Carus, P. What Mathematical Models Are Accurate for Prescribing Aerobic Exercise in Women with Fibromyalgia? Biology 2022, 11, 704. [Google Scholar] [CrossRef]
- Proctor, G.B.; Carpenter, G.H. Regulation of salivary gland function by autonomic nerves. Auton. Neurosci. 2007, 133, R190. [Google Scholar] [CrossRef]
- Souza, A.V.; Giolo, J.S.; Teixeira, R.R.; Vilela, D.D.; Peixoto, L.G.; Justino, A.B.; Caixeta, D.C.; Puga, G.M.; Espindola, F.S. Salivary and plasmatic antioxidant profile following continuous, resistance, and high-intensity interval exercise: Preliminary study. Oxidative Med. Cell. Longev. 2019, 2019, 1–10. [Google Scholar] [CrossRef]
- Leaf, D.A.; Kleinman, M.T.; Hamilton, M.; Barstow, T.J. The effect of exercise intensity on lipid peroxidation. Med. Sci. Sports Exerc. 1997, 29, 1036–1039. [Google Scholar] [CrossRef] [PubMed]
- Shi, M.; Wang, X.; Yamanaka, T.; Ogita, F.; Nakatani, K.; Takeuchi, T. Effects of anaerobic exercise and aerobic exercise on biomarkers of oxidative stress. Environ. Health Prev. Med. 2007, 12, 202–208. [Google Scholar] [CrossRef] [PubMed]
- Bortolini, M.S.; De Agostini, G.G.; Reis, I.T.; Silva Lamounier, R.P.M.; Blumberg, J.B.; Espindola, F.S. Total protein of whole saliva as a biomarker of anaerobic threshold. Res. Q. Exerc. Sport 2009, 80, 604–610. [Google Scholar] [CrossRef] [PubMed]
- Li, T.L.; Gleeson, M. The effect of single and repeated bouts of prolonged cycling and circadian variation on saliva flow rate, immunoglobulin A and-amylase responses. J. Sports Sci. 2004, 22, 1015–1024. [Google Scholar] [CrossRef] [PubMed]
- Ligtenberg, A.J.M.; Brand, H.S.; van den Keijbus, P.A.M.; Veerman, E.C.I. The effect of physical exercise on salivary secretion of MUC5B, amylase and lysozyme. Arch. Oral Biol. 2015, 60, 1639–1644. [Google Scholar] [CrossRef] [PubMed]
- Walsh, N.P. The effects of high-intensity intermittent exercise on saliva IgA, total protein and alpha-amylase. J. Sports Sci. 1999, 17, 129–134. [Google Scholar] [CrossRef]
- Staud, R. Heart rate variability as a biomarker of fibromyalgia syndrome. Future Rheumatol. 2008, 3, 475–483. [Google Scholar] [CrossRef]
- Altindag, O.; Celik, H. Total antioxidant capacity and the severity of the pain in patients with fibromyalgia. Redox Rep. 2006, 11, 131–135. [Google Scholar] [CrossRef]
- Neyal, M.; Yimenicioglu, F.; Aydeniz, A.; Taskin, A.; Saglam, S.; Cekmen, M.; Neyal, A.; Gursoy, S.; Erel, O.; Balat, A. Plasma nitrite levels, total antioxidant status, total oxidant status, and oxidative stress index in patients with tension-type headache and fibromyalgia. Clin. Neurol. Neurosurg. 2013, 115, 736–740. [Google Scholar] [CrossRef]
- Lange, E.; Mannerkorpi, K.; Cider, A.; Archer, T.; Wentz, K. Physiological adaptation in women presenting fibromyalgia: Comparison with healthy controls. Clin. Exp. Psychol. 2017, 3, 1–8. [Google Scholar] [CrossRef]

| Variable | Fibromyalgia Mean (SD) | Healthy Controls Mean (SD) | p-Value | F | Effect Size |
|---|---|---|---|---|---|
| Maximum HR | 82.29 (12.08) | 87.69 (9.01) | 0.615 | 0.257 | 0.008 |
| mean HR | 74.86 (10.68) | 76.81 (7.88) | 0.950 | 0.004 | <0.001 |
| RR | 818.43 (125.90) | 788.94 (81.10) | 0.831 | 0.046 | 0.001 |
| SDNN | 30.35 (20.63) | 51.67 (30.61) | 0.158 | 2.088 | 0.060 |
| pNN50 | 9.25 (14.07) | 22.18 (17.68) | 0.248 | 1.383 | 0.040 |
| RMSSD | 26.93 (17.64) | 55.12 (35.09) | 0.059 | 3.832 | 0.104 |
| Stress Index | 17.11 (7.13) | 10.85 (4.07) | 0.014 | 6.782 | 0.170 |
| PNS Index | −2.93 (9.22) | −0.06 (1.22) | 0.473 | 0.528 | 0.016 |
| SNS Index | 1.77 (1.60) | 0.86 (0.95) | 0.065 | 3.642 | 0.099 |
| VLF | 11.59 (9.59) | 4.68 (3.15) | 0.234 | 1.473 | 0.043 |
| LF | 60.56 (18.44) | 45.98 (18.98) | 0.047 | 4.274 | 0.115 |
| HF | 27.21 (15.93) | 49.12 (20.38) | 0.010 | 7.375 | 0.183 |
| LF/HF | 4.82 (9.17) | 1.49 (1.54) | 0.181 | 1.869 | 0.054 |
| SD1 | 19.08 (12.52) | 39.06 (24.86) | 0.059 | 3.837 | 0.104 |
| SD2 | 38.08 (27.03) | 60.65 (37.46) | 0.250 | 1.373 | 0.040 |
| SampEn | 1.67 (0.36) | 1.61 (0.39) | 0.737 | 0.115 | 0.003 |
| Variable | Baseline Mean (SD) | Post-Exercise Mean (SD) | p-Value | Z | Effect Size |
|---|---|---|---|---|---|
| Maximum HR | 82.29 (12.08) | 87.62 (12.18) | 0.002 | −3.114 | 0.864 |
| mean HR | 74.86 (10.68) | 75.77 (9.47) | 0.009 | −2.609 | 0.724 |
| RR | 818.43 (125.90) | 803 (108.45) | 0.006 | −2.726 | 0.756 |
| SDNN | 30.35 (20.63) | 31.15 (10.74) | 0.196 | −1.293 | 0.359 |
| pNN50 | 9.25 (14.07) | 5.41 (5.94) | 0.944 | −0.070 | 0.019 |
| RMSSD | 26.93 (17.64) | 29.31 (16.03) | 0.421 | −0.804 | 0.223 |
| Stress Index | 17.11 (7.13) | 13.68 (4.87) | 0.108 | −1.609 | 0.446 |
| PNS Index | −2.93 (9.22) | −0.87 (0.73) | 0.944 | −0.070 | 0.019 |
| SNS Index | 1.77 (1.60) | 1.30 (1.08) | 0.753 | −0.315 | 0.087 |
| VLF | 11.59 (9.59) | 9.82 (5.46) | 0.055 | −1.922 | 0.533 |
| LF | 60.56 (18.44) | 62.68 (15.32) | 0.028 | −2.201 | 0.610 |
| HF | 27.21 (15.93) | 27.34 (15.70) | 0.249 | −1.153 | 0.320 |
| LF/HF | 4.82 (9.17) | 4.64 (5.33) | 0.075 | −1.782 | 0.494 |
| SD1 | 19.08 (12.52) | 20.75 (11.33) | 0.421 | −0.804 | 0.223 |
| SD2 | 38.08 (27.03) | 38.02 (13.13) | 0.184 | −1.328 | 0.368 |
| SampEn | 1.67 (0.36) | 1.47 (0.42) | 0.006 | −2.760 | 0.765 |
| Variable | Baseline Mean (SD) | Post-Exercise Mean (SD) | p-Value | Z | Effect Size |
|---|---|---|---|---|---|
| Maximun HR | 87.69 (9.01) | 116.69 (20.25) | 0.001 | −3.408 | 0.852 |
| mean HR | 76.81 (7.88) | 87.31 (11.38) | 0.003 | −3.004 | 0.751 |
| RR | 788.94 (81.10) | 696.62 (85.06) | 0.002 | −3.051 | 0.763 |
| SDNN | 51.67 (30.61) | 45.56 (25.42) | 0.352 | −0.931 | 0.233 |
| pNN50 | 22.18 (17.68) | 15.11 (16.41) | 0.352 | −0.931 | 0.233 |
| RMSSD | 55.12 (35.09) | 40.16 (24.54) | 0.109 | −1.603 | 0.401 |
| Stress Index | 10.85 (4.07) | 11.42 (3.82) | 0.485 | −0.698 | 0.175 |
| PNS Index | −0.06 (1.22) | −1.09 (0.99) | 0.004 | −2.844 | 0.711 |
| SNS Index | 0.86 (0.95) | 1.74 (1.25) | 0.010 | −2.585 | 0.646 |
| VLF | 4.68 (3.15) | 5.52 (5.42) | 0.485 | −0.698 | 0.175 |
| LF | 45.98 (18.98) | 63.27 (15.81) | 0.020 | −2.327 | 0.582 |
| HF | 49.12 (20.38) | 31.07 (16.15) | 0.026 | −2.223 | 0.556 |
| LF/HF | 1.49 (1.54) | 3.07 (2.34) | 0.038 | −2.068 | 0.517 |
| SD1 | 39.06 (24.86) | 28.42 (17.38) | 0.109 | −1.603 | 0.401 |
| SD2 | 60.65 (37.46) | 57.61 (31.91) | 0.717 | −0.362 | 0.091 |
| SampEn | 1.61 (0.39) | 1.55 (0.29) | 0.408 | −0.827 | 0.207 |
| Variable | Fibromyalgia | Healthy Controls | p-Value | F | Effect Size |
|---|---|---|---|---|---|
| Heart Rate Variability | |||||
| Maximun HR | 8.15 (5.47) | 29 (19.81) | 0.130 | 2.452 | 0.089 |
| mean HR | 3.69 (4.59) | 10.50 (10.20) | 0.501 | 0.467 | 0.018 |
| RR | −41.15 (46.42) | −92.31 (89.16) | 0.564 | 0.342 | 0.013 |
| SDNN | 5.61 (12.34) | −6.12 (22.67) | 0.261 | 1.320 | 0.050 |
| pNN50 | 0.12 (5.16) | −7.07 (18.21) | 0.381 | 0.795 | 0.031 |
| RMSSD | 5.11 (16.90) | −14.96 (32.86) | 0.277 | 1.233 | 0.047 |
| Stress Index | −3.13 (6.71) | 0.57 (3.48) | 0.184 | 1.863 | 0.069 |
| PNS Index | 3.21 (11.79) | −1.03 (1.23) | 0.355 | 0.887 | 0.034 |
| SNS Index | −0.22 (1.30) | 0.88 (1.08) | 0.172 | 1.981 | 0.073 |
| VLF | −5.44 (8.07) | 0.84 (4.04) | 0.148 | 2.227 | 0.082 |
| LF | 11.63 (17.42) | 17.28 (23.49) | 0.996 | <0.001 | <0.001 |
| HF | −5.35 (17.86) | −18.05 (24.67) | 0.575 | 0.323 | 0.013 |
| LF/HF | 2.59 (4.77) | 1.58 (2.61) | 0.188 | 1.836 | 0.068 |
| SD1 | 3.61 (11.95) | −10.64 (23.27) | 0.275 | 1.244 | 0.047 |
| SD2 | 6.55 (14.03) | −3.04 (26.11) | 0.349 | 0.911 | 0.035 |
| SampEn | −0.27 (0.28) | −0.05 (0.33) | 0.241 | 1.440 | 0.054 |
| Salivary Biomarkers | |||||
| Salivary flow (mL/min) | −0.14 (0.14) | −0.04 (0.12) | 0.114 | 2.644 | 0.081 |
| Proteins (µg/mL) | 75.45 (343.87) | 114.99 (387.30) | 0.551 | 0.363 | 0.012 |
| Amylase (µmol/min/mg) | 2.62 (19.50) | 1.07 (24.39) | 0.427 | 0.652 | 0.025 |
| Catalase (µmol/min/mg) | 0.0003 (0.004) | 0.002 (0.004) | 0.941 | 0.006 | <0.001 |
| GPx (µmol/min/mg) | −0.21 (5.55) | 1.80 (6.72) | 0.518 | 0.429 | 0.015 |
Publisher’s Note: MDPI stays neutral with regard to jurisdictional claims in published maps and institutional affiliations. |
© 2022 by the authors. Licensee MDPI, Basel, Switzerland. This article is an open access article distributed under the terms and conditions of the Creative Commons Attribution (CC BY) license (https://creativecommons.org/licenses/by/4.0/).
Share and Cite
Costa, A.R.; Freire, A.; Parraca, J.A.; Silva, V.; Tomas-Carus, P.; Villafaina, S. Heart Rate Variability and Salivary Biomarkers Differences between Fibromyalgia and Healthy Participants after an Exercise Fatigue Protocol: An Experimental Study. Diagnostics 2022, 12, 2220. https://doi.org/10.3390/diagnostics12092220
Costa AR, Freire A, Parraca JA, Silva V, Tomas-Carus P, Villafaina S. Heart Rate Variability and Salivary Biomarkers Differences between Fibromyalgia and Healthy Participants after an Exercise Fatigue Protocol: An Experimental Study. Diagnostics. 2022; 12(9):2220. https://doi.org/10.3390/diagnostics12092220
Chicago/Turabian StyleCosta, Ana Rodrigues, Ana Freire, Jose A. Parraca, Vanda Silva, Pablo Tomas-Carus, and Santos Villafaina. 2022. "Heart Rate Variability and Salivary Biomarkers Differences between Fibromyalgia and Healthy Participants after an Exercise Fatigue Protocol: An Experimental Study" Diagnostics 12, no. 9: 2220. https://doi.org/10.3390/diagnostics12092220
APA StyleCosta, A. R., Freire, A., Parraca, J. A., Silva, V., Tomas-Carus, P., & Villafaina, S. (2022). Heart Rate Variability and Salivary Biomarkers Differences between Fibromyalgia and Healthy Participants after an Exercise Fatigue Protocol: An Experimental Study. Diagnostics, 12(9), 2220. https://doi.org/10.3390/diagnostics12092220

