Artery-to-Fistula Diameter Ratio as a Predictor of Early Re-Occlusion of Immature Right Radio-Cephalic Arteriovenous Fistula after Primary PTA
Abstract
:1. Introduction
2. Materials and Methods
2.1. Patients
2.2. Variables and Definitions
2.3. Measurements
2.4. Statistical Analysis
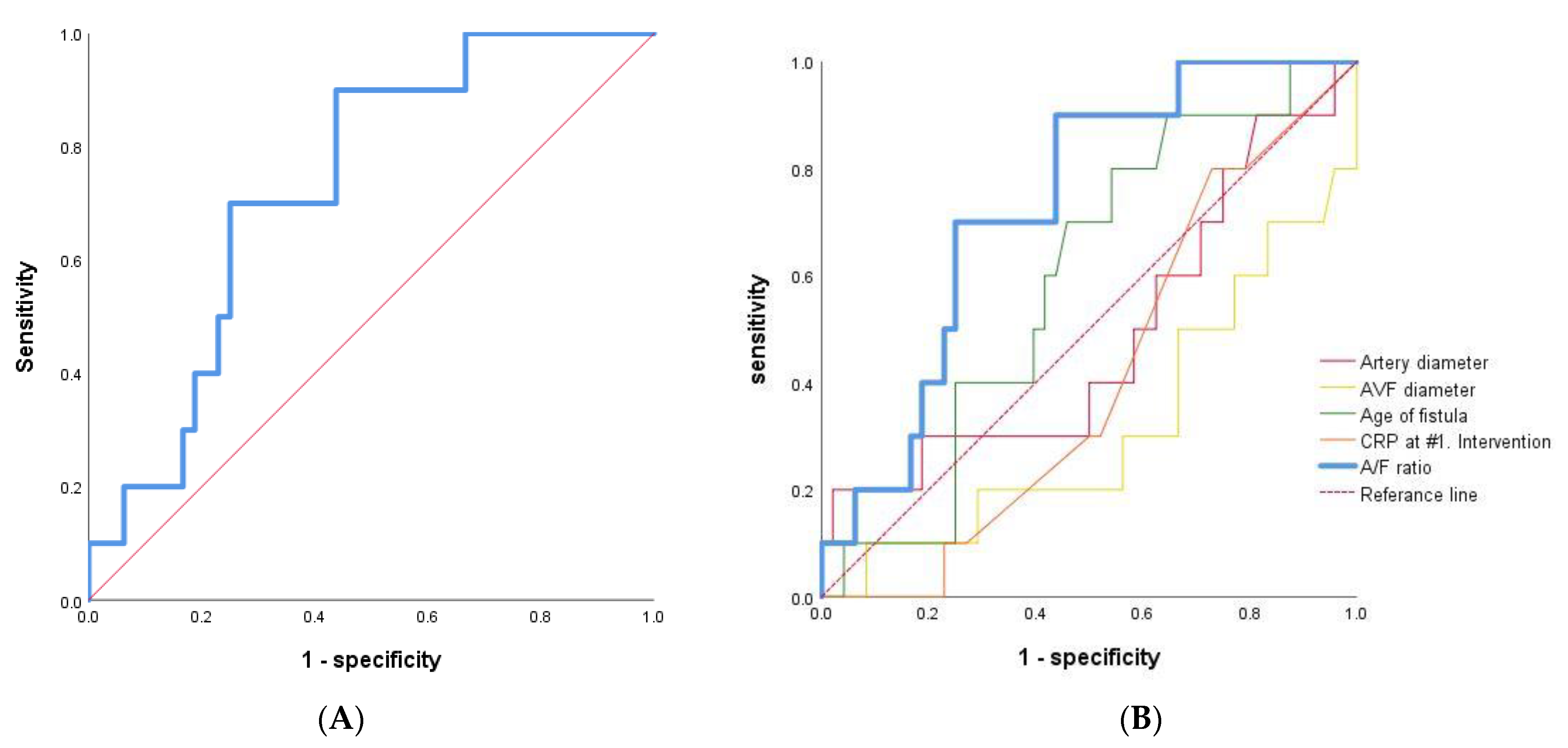
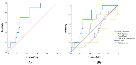
3. Results
4. Discussion
5. Conclusions
Author Contributions
Funding
Institutional Review Board Statement
Informed Consent Statement
Conflicts of Interest
References
- Konner, K.; Nonnast-Daniel, B.; Ritz, E. The arteriovenous fistula. J. Am. Soc. Nephrol. 2003, 14, 1669–1680. [Google Scholar] [CrossRef] [PubMed]
- Vascular Access Work, G. Clinical practice guidelines for vascular access. Am. J. Kidney Dis. 2006, 48 (Suppl. S1), S248–S273. [Google Scholar] [CrossRef]
- Asif, A.; Roy-Chaudhury, P.; Beathard, G.A. Early arteriovenous fistula failure: A logical proposal for when and how to intervene. Clin. J. Am. Soc. Nephrol. 2006, 1, 332–339. [Google Scholar] [CrossRef]
- Rezapour, M.; Taran, S.; Balin Parast, M.; Khavanin Zadeh, M. The impact of vascular diameter ratio on hemodialysis maturation time: Evidence from data mining approaches and thermodynamics law. Med. J. Islam Repub. Iran 2016, 30, 359. [Google Scholar]
- Pietryga, J.A.; Little, M.D.; Robbin, M.L. Sonography of Arteriovenous Fistulas and Grafts. Semin. Dial. 2017, 30, 309–318. [Google Scholar] [CrossRef] [PubMed]
- Fontsere, N.; Mestres, G.; Yugueros, X.; Lopez, T.; Yuguero, A.; Bermudez, P.; Gomez, F.; Riambau, V.; Maduell, F.; Campistol, J.M. Effect of a postoperative exercise program on arteriovenous fistula maturation: A randomized controlled trial. Hemodial. Int. 2016, 20, 306–314. [Google Scholar] [CrossRef]
- Romann, A.; Beaulieu, M.C.; Rheaume, P.; Clement, J.; Sidhu, R.; Kiaii, M. Risk factors associated with arteriovenous fistula failure after first radiologic intervention. J. Vasc. Access 2016, 17, 167–174. [Google Scholar] [CrossRef] [PubMed]
- Lauvao, L.S.; Ihnat, D.M.; Goshima, K.R.; Chavez, L.; Gruessner, A.C.; Mills, J.L., Sr. Vein diameter is the major predictor of fistula maturation. J. Vasc. Surg. 2009, 49, 1499–1504. [Google Scholar] [CrossRef]
- Farber, A.; Imrey, P.B.; Huber, T.S.; Kaufman, J.M.; Kraiss, L.W.; Larive, B.; Li, L.; Feldman, H.I.; Group, H.F.M.S. Multiple preoperative and intraoperative factors predict early fistula thrombosis in the Hemodialysis Fistula Maturation Study. J. Vasc. Surg. 2016, 63, 163–170.e166. [Google Scholar] [CrossRef]
- Feldman, H.I.; Joffe, M.; Rosas, S.E.; Burns, J.E.; Knauss, J.; Brayman, K. Predictors of successful arteriovenous fistula maturation. Am. J. Kidney Dis. 2003, 42, 1000–1012. [Google Scholar] [CrossRef]
- Fila, B.; Magas, S.; Pavic, P.; Ivanac, R.; Ajduk, M.; Malovrh, M. The importance of success prediction in angioaccess surgery. Int. Urol. Nephrol. 2016, 48, 1469–1475. [Google Scholar] [CrossRef] [PubMed]
- Dember, L.M.; Beck, G.J.; Allon, M.; Delmez, J.A.; Dixon, B.S.; Greenberg, A.; Himmelfarb, J.; Vazquez, M.A.; Gassman, J.J.; Greene, T.; et al. Effect of clopidogrel on early failure of arteriovenous fistulas for hemodialysis: A randomized controlled trial. JAMA 2008, 299, 2164–2171. [Google Scholar] [CrossRef] [PubMed]
- Besarab, A.; Dinwiddie, L. Changes noted to KDOQI guidelines for vascular access. Nephrol. News Issues 2006, 20, 36. [Google Scholar] [PubMed]
- Gilmore, J. KDOQI clinical practice guidelines and clinical practice recommendations—2006 updates. Nephrol. Nurs J. 2006, 33, 487–488. [Google Scholar]
- Malovrh, M. Native arteriovenous fistula: Preoperative evaluation. Am. J. Kidney Dis. 2002, 39, 1218–1225. [Google Scholar] [CrossRef]
- Silva, M.B., Jr.; Hobson, R.W., 2nd; Pappas, P.J.; Jamil, Z.; Araki, C.T.; Goldberg, M.C.; Gwertzman, G.; Padberg, F.T., Jr. A strategy for increasing use of autogenous hemodialysis access procedures: Impact of preoperative noninvasive evaluation. J. Vasc. Surg. 1998, 27, 302–307; discussion 307–308. [Google Scholar] [CrossRef]
- Wong, V.; Ward, R.; Taylor, J.; Selvakumar, S.; How, T.V.; Bakran, A. Factors associated with early failure of arteriovenous fistulae for haemodialysis access. Eur. J. Vasc. Endovasc. Surg. 1996, 12, 207–213. [Google Scholar] [CrossRef]
- Ferring, M.; Henderson, J.; Wilmink, A.; Smith, S. Vascular ultrasound for the pre-operative evaluation prior to arteriovenous fistula formation for haemodialysis: Review of the evidence. Nephrol. Dial. Transplant. 2008, 23, 1809–1815. [Google Scholar] [CrossRef]
- Khavanin Zadeh, M.; Gholipour, F.; Naderpour, Z.; Porfakharan, M. Relationship between Vessel Diameter and Time to Maturation of Arteriovenous Fistula for Hemodialysis Access. Int. J. Nephrol. 2012, 2012, 942950. [Google Scholar] [CrossRef]
- Lee, J.Y.; Kim, Y.O. Pre-existing arterial pathologic changes affecting arteriovenous fistula patency and cardiovascular mortality in hemodialysis patients. Korean J. Intern. Med. 2017, 32, 790–797. [Google Scholar] [CrossRef]
- Rana, A.; Westein, E.; Niego, B.; Hagemeyer, C.E. Shear-Dependent Platelet Aggregation: Mechanisms and Therapeutic Opportunities. Front. Cardiovasc. Med. 2019, 6, 141. [Google Scholar] [CrossRef] [PubMed]
- Yin, W.; Shanmugavelayudam, S.K.; Rubenstein, D.A. The effect of physiologically relevant dynamic shear stress on platelet and endothelial cell activation. Thromb Res. 2011, 127, 235–241. [Google Scholar] [CrossRef] [PubMed]
- Kim, H.K.; Han, A.; Ahn, S.; Ko, H.; Chung, C.T.Y.; Choi, K.W.; Min, S.; Ha, J.; Min, S.K. Better Efficacy of Balloon Assisted Maturation in Radial-Cephalic Arteriovenous Fistula for Hemodialysis. Vasc. Spec. Int. 2021, 37, 29–36. [Google Scholar] [CrossRef] [PubMed]





| Category | N (%) | |
|---|---|---|
| Degree of stenosis | ||
| Stenosis | 90–100% | 35 (43.7) |
| 75–89% | 19 (23.8) | |
| 50–74% | 26 (32.5) | |
| Number of lesions | 1 site | 42 (52.5) |
| 2 sites | 28 (35.0) | |
| ≥3 sites | 10 (12.5) | |
| Location of lesions | Native artery | 11 (13.8) |
| Arteriovenous anastomosis | 15 (18.8) | |
| Juxta-anastomotic vein | 53 (66.3) | |
| Venous outflow | 32 (40.0) | |
| Distal outflow | 17 (21.3) | |
| Central venous system | 2 (2.5) |
| Characteristics | Total (N = 80) | RC AVF (N = 58) | BC AVF (N = 22) | p Value |
|---|---|---|---|---|
| Age (years) | 64 [38–87] | 61 [38–85] | 68 [48–87] | 0.100 |
| Gender, n (%) | ||||
| Female | 29 (36.3) | 19 (32.8) | 10 (46) | 0.213 |
| Comorbidity, n (%) | ||||
| Diabetes (%) | 56 (70.0) | 42 (72.4) | 14 (63.6) | 0.307 |
| Hypertension (%) | 60 (75.0) | 43 (74.1) | 17 (77.2) | 0.509 |
| CAOD (%) | 24 (30.0) | 13 (22.4) | 11 (50.0) | 0.018 |
| PAOD (%) | 4 (5.0) | 2 (3.4) | 2 (10.0) | 0.303 |
| Medication (%) | ||||
| Aspirin (%) | 30 (37.5) | 21 (36.2) | 9 (40.9) | 0.797 |
| Clopidogrel (%) | 11 (13.8) | 8 (13.8) | 3 (13.6) | 0.999 |
| Warfarin (%) | 1 (1.3) | 1 (1.7) | 0 (0) | 0.999 |
| Cilostazol (%) | 4 (5.0) | 3 (5.2) | 1 (4.5) | 0.999 |
| Fistula characteristics | ||||
| Right side, n (%) | 18 (22.5) | 10 (17.2) | 8 (36.3) | 0.066 |
| Age of fistula | 78 [30–1404] | 86 [30–1404] | 63 [33–295] | 0.018 |
| A/F ratio | 0.69 [0.20–1.34] | 0.62 [0.20–1.22] | 0.91 [0.70–1.34] | 0.000 |
| Degree of stenosis % | 80 [50–100] | 80 [50–100] | 80 [50–100] | 0.544 |
| Multiple stenosis lesion, n (%) | 38 (47.5) | 27 (46.6) | 11 (50.0) | 0.566 |
| Early failure | 14 (17.5) | 10 (17.2) | 4 (18.1) | 0.606 |
| Variable | Total | Group | ||
|---|---|---|---|---|
| Early (<90 Days) | Patent | p Value | ||
| Number of patients | 58 | 10 (17) | 48 (82) | |
| Age (years) | 61.0 [38.0–85.0] | 64.5 [55.0–81.0] | 60.5 [38.0–85.0] | 0.380 |
| Gender, n (%) | ||||
| Female | 19 (32) | 2 (20) | 17 (35) | 0.472 |
| Comorbidities, n (%) | ||||
| Diabetes (%) | 42 (72) | 5 (50) | 37 (77) | 0.119 |
| Hypertension (%) | 43 (74) | 7 (70) | 36 (75) | 0.708 |
| CAOD (%) | 13 (22) | 2 (20) | 11 (22) | 0.999 |
| PAOD (%) | 2 (3) | 0 (0) | 2 (4) | 0.999 |
| Medication (%) | ||||
| Aspirin (%) | 6 (10.3) | 3 (30.0) | 3 (6.3) | 0.057 |
| Clopidogrel (%) | 3 (5.2) | 1 (10.0) | 2 (4.2) | 0.439 |
| Cilostazol (%) | 2 (3.4) | 2 (20.0) | 0 (0) | 0.027 |
| Warfarin (%) | 0 (0) | 0 (0) | 0 (0) | - |
| Fistula characteristics | ||||
| Right side fistula, n (%) | 10 (17) | 2 (20) | 8 (16) | 0.999 |
| Age of fistula | 88.5 [32.0–1404.0] | 96.0 [43.0–729.0] | 83.5 [32.0–1404.0] | 0.965 |
| A/F Ratio | 0.62 [0.20–1.22] | 0.71 [0.54–1.22] | 0.60 [0.20–1.00] | 0.027 |
| Artery diameter | 3.33 [1.00–5.75] | 3.12 [1.5–5.75] | 3.4 [1.0–5.3] | 0.809 |
| AVF diameter | 5.21 [2.10–9.00] | 4.66 [2.10–7.27] | 5.38 [3.07–9.00] | 0.057 |
| Degree of stenosis % | 80.0 [50.0–100.0] | 80.0 [50.0–100.0] | 80.0 [50.0–100.0] | 0.321 |
| Multiple stenosis lesion, n (%) | 27 (46) | 5 (50) | 22 (45) | 0.502 |
| CRP at #1. Intervention | 0.30 [0.10–10.00] | 0.30 [0.10–0.70] | 0.41 [0.10–10.00] | 0.331 |
| Variable | Odds Ratio | 95% CI | p Value |
|---|---|---|---|
| Gender | 0.403 | 0.059–2.767 | 0.355 |
| Age (years) | 1.042 | 0.965–1.125 | 0.355 |
| Diabetes | 0.508 | 0.084–3.055 | 0.298 |
| Hypertension | 1.055 | 0.172–6.467 | 0.459 |
| CAOD | 0.768 | 0.073–8.017 | 0.954 |
| PAOD | - | - | - |
| Aspirin | 0.786 | 0.122–5.058 | 0.786 |
| Clopidogrel | 1.165 | 0.077–17.634 | 1.165 |
| Cilostazol | 0.310 | 0.025–3.840 | 0.310 |
| Warfarin | - | - | - |
| A/F ratio | 0.167 | 0.030–0.939 | 0.042 |
Publisher’s Note: MDPI stays neutral with regard to jurisdictional claims in published maps and institutional affiliations. |
© 2022 by the authors. Licensee MDPI, Basel, Switzerland. This article is an open access article distributed under the terms and conditions of the Creative Commons Attribution (CC BY) license (https://creativecommons.org/licenses/by/4.0/).
Share and Cite
Kim, M.-J.; Ko, H.; Han, S.; Lee, E.-J.; Ham, Y.-R.; Lee, K.-W.; Choi, D.-E.; Shin, J.-A.; Na, K.-R. Artery-to-Fistula Diameter Ratio as a Predictor of Early Re-Occlusion of Immature Right Radio-Cephalic Arteriovenous Fistula after Primary PTA. Diagnostics 2022, 12, 2059. https://doi.org/10.3390/diagnostics12092059
Kim M-J, Ko H, Han S, Lee E-J, Ham Y-R, Lee K-W, Choi D-E, Shin J-A, Na K-R. Artery-to-Fistula Diameter Ratio as a Predictor of Early Re-Occlusion of Immature Right Radio-Cephalic Arteriovenous Fistula after Primary PTA. Diagnostics. 2022; 12(9):2059. https://doi.org/10.3390/diagnostics12092059
Chicago/Turabian StyleKim, Moo-Jun, Hojoon Ko, Suyeon Han, Eu-Jin Lee, Young-Rok Ham, Kang-Wook Lee, Dae-Eun Choi, Jin-Ah Shin, and Ki-Ryang Na. 2022. "Artery-to-Fistula Diameter Ratio as a Predictor of Early Re-Occlusion of Immature Right Radio-Cephalic Arteriovenous Fistula after Primary PTA" Diagnostics 12, no. 9: 2059. https://doi.org/10.3390/diagnostics12092059
APA StyleKim, M.-J., Ko, H., Han, S., Lee, E.-J., Ham, Y.-R., Lee, K.-W., Choi, D.-E., Shin, J.-A., & Na, K.-R. (2022). Artery-to-Fistula Diameter Ratio as a Predictor of Early Re-Occlusion of Immature Right Radio-Cephalic Arteriovenous Fistula after Primary PTA. Diagnostics, 12(9), 2059. https://doi.org/10.3390/diagnostics12092059

