Analytical Validation of GFRNMR: A Blood-Based Multiple Biomarker Assay for Accurate Estimation of Glomerular Filtration Rate
Abstract
1. Introduction
2. Materials and Methods
2.1. Blood Serum
2.2. Serum Cystatin C Measurements
2.3. NMR Sample Preparation
2.4. NMR Analysis and Biomarker Quantification
2.5. Detection Capability (LoB, LoD, LoQ)
2.6. Linearity
2.7. Precision
2.7.1. Single-Site Precision
2.7.2. Multi-Site Precision
2.8. Method Comparison (Trueness)
2.8.1. Creatinine
2.8.2. Valine
2.8.3. Myo-Inositol
2.9. Sample Stability
2.9.1. Human Serum Specimen Storage Study (2–10 °C)
2.9.2. NMR Sample Storage Study (on Board)
2.10. Interfering Substances
2.11. Statistical Methods
2.11.1. Detection Capability
2.11.2. Linearity
2.11.3. Single-Site Precision
2.11.4. Multi-Site Precision
2.11.5. Method Comparison (Trueness)
2.11.6. Sample Stability
2.11.7. Interference
3. Results
4. Discussion
5. Conclusions
6. Patents
Supplementary Materials
Author Contributions
Funding
Institutional Review Board Statement
Informed Consent Statement
Data Availability Statement
Acknowledgments
Conflicts of Interest
References
- Lv, J.-C.; Zhang, L.-X. Prevalence and Disease Burden of Chronic Kidney Disease. Adv. Exp. Med. Biol. 2019, 1165, 3–15. [Google Scholar] [CrossRef] [PubMed]
- National Kidney Foundation. K/DOQI clinical practice guidelines for chronic kidney disease: Evaluation, classification, and stratification. Am. J. Kidney Dis. Off. J. Natl. Kidney Found. 2002, 39, S1–S266. [Google Scholar]
- Glassock, R.J.; Warnock, D.G.; Delanaye, P. The global burden of chronic kidney disease: Estimates, variability and pitfalls. Nat. Rev. Nephrol. 2017, 13, 104–114. [Google Scholar] [CrossRef] [PubMed]
- CKD Evaluation and Management—KDIGO. Available online: https://kdigo.org/guidelines/ckd-evaluation-and-management/ (accessed on 12 January 2022).
- KDIGO 2012 Clinical Practice Guideline for the Evaluation and Management of Chronic Kidney Disease. Kidney Int. Suppl. 2013, 3, 1–150.
- Smith, W.H. Measurement of the filtration rate. In The Kidney—Structure and Function in Health and Disease; Oxford University Press: Oxford, NY, USA, 1951; pp. 39–62. [Google Scholar]
- Soveri, I.; Berg, U.B.; Björk, J.; Elinder, C.-G.; Grubb, A.; Mejare, I.; Sterner, G.; Bäck, S.-E. SBU GFR Review Group Measuring GFR: A systematic review. Am. J. Kidney Dis. Off. J. Natl. Kidney Found. 2014, 64, 411–424. [Google Scholar] [CrossRef]
- Seegmiller, J.C.; Eckfeldt, J.H.; Lieske, J.C. Challenges in Measuring Glomerular Filtration Rate: A Clinical Laboratory Perspective. Adv. Chronic Kidney Dis. 2018, 25, 84–92. [Google Scholar] [CrossRef]
- Hsu, C.; Bansal, N. Measured GFR as “Gold Standard”—All that Glitters Is Not Gold? Clin. J. Am. Soc. Nephrol. 2011, 6, 1813–1814. [Google Scholar] [CrossRef]
- Topf, J.M.; Inker, L.A. Chapter 3—Measurement of glomerular filtration rate. In Nephrology Secrets, 4th ed.; Lerma, E.V., Sparks, M.A., Topf, J., Eds.; Elsevier: Amsterdam, The Netherlands, 2019; pp. 22–29. ISBN 978-0-323-47871-7. [Google Scholar]
- Levey, A.S.; Stevens, L.A.; Schmid, C.H.; Zhang, Y.L.; Castro, A.F.; Feldman, H.I.; Kusek, J.W.; Eggers, P.; Van Lente, F.; Greene, T.; et al. A new equation to estimate glomerular filtration rate. Ann. Intern. Med. 2009, 150, 604–612. [Google Scholar] [CrossRef]
- Levey, A.S.; Tighiouart, H.; Inker, L.A. Improving Glomerular Filtration Rate Estimation-Across the Age and Diversity Spectrum. Ann. Intern. Med. 2021, 174, 265–267. [Google Scholar] [CrossRef]
- Inker, L.A.; Schmid, C.H.; Tighiouart, H.; Eckfeldt, J.H.; Feldman, H.I.; Greene, T.; Kusek, J.W.; Manzi, J.; Van Lente, F.; Zhang, Y.L.; et al. Estimating glomerular filtration rate from serum creatinine and cystatin C. N. Engl. J. Med. 2012, 367, 20–29. [Google Scholar] [CrossRef]
- Pottel, H.; Björk, J.; Courbebaisse, M.; Couzi, L.; Ebert, N.; Eriksen, B.O.; Dalton, R.N.; Dubourg, L.; Gaillard, F.; Garrouste, C.; et al. Development and Validation of a Modified Full Age Spectrum Creatinine-Based Equation to Estimate Glomerular Filtration Rate: A Cross-sectional Analysis of Pooled Data. Ann. Intern. Med. 2021, 174, 183–191. [Google Scholar] [CrossRef]
- Stämmler, F.; Grassi, M.; Meeusen, J.W.; Lieske, J.C.; Dasari, S.; Dubourg, L.; Lemoine, S.; Ehrich, J.; Schiffer, E. Estimating Glomerular Filtration Rate from Serum Myo-Inositol, Valine, Creatinine and Cystatin C. Diagnostics 2021, 11, 2291. [Google Scholar] [CrossRef] [PubMed]
- Steubl, D.; Inker, L.A. How best to estimate glomerular filtration rate? Novel filtration markers and their application. Curr. Opin. Nephrol. Hypertens. 2018, 27, 398–405. [Google Scholar] [CrossRef] [PubMed]
- Porrini, E.; Ruggenenti, P.; Luis-Lima, S.; Carrara, F.; Jiménez, A.; de Vries, A.P.J.; Torres, A.; Gaspari, F.; Remuzzi, G. Estimated GFR: Time for a critical appraisal. Nat. Rev. Nephrol. 2019, 15, 177–190. [Google Scholar] [CrossRef]
- Delanaye, P.; Cavalier, E.; Cristol, J.-P.; Delanghe, J.R. Calibration and precision of serum creatinine and plasma cystatin C measurement: Impact on the estimation of glomerular filtration rate. J. Nephrol. 2014, 27, 467–475. [Google Scholar] [CrossRef] [PubMed]
- Kuster, N.; Cristol, J.-P.; Cavalier, E.; Bargnoux, A.-S.; Halimi, J.-M.; Froissart, M.; Piéroni, L.; Delanaye, P. Société Française de Biologie Clinique (SFBC) Enzymatic creatinine assays allow estimation of glomerular filtration rate in stages 1 and 2 chronic kidney disease using CKD-EPI equation. Clin. Chim. Acta Int. J. Clin. Chem. 2014, 428, 89–95. [Google Scholar] [CrossRef]
- Delanaye, P.; Pieroni, L.; Abshoff, C.; Lutteri, L.; Chapelle, J.-P.; Krzesinski, J.-M.; Hainque, B.; Cavalier, E. Analytical study of three cystatin C assays and their impact on cystatin C-based GFR-prediction equations. Clin. Chim. Acta Int. J. Clin. Chem. 2008, 398, 118–124. [Google Scholar] [CrossRef]
- Coresh, J.; Astor, B.C.; McQuillan, G.; Kusek, J.; Greene, T.; Van Lente, F.; Levey, A.S. Calibration and random variation of the serum creatinine assay as critical elements of using equations to estimate glomerular filtration rate. Am. J. Kidney Dis. Off. J. Natl. Kidney Found. 2002, 39, 920–929. [Google Scholar] [CrossRef]
- Piéroni, L.; Delanaye, P.; Boutten, A.; Bargnoux, A.-S.; Rozet, E.; Delatour, V.; Carlier, M.-C.; Hanser, A.-M.; Cavalier, E.; Froissart, M.; et al. A multicentric evaluation of IDMS-traceable creatinine enzymatic assays. Clin. Chim. Acta Int. J. Clin. Chem. 2011, 412, 2070–2075. [Google Scholar] [CrossRef]
- Greenberg, N.; Roberts, W.L.; Bachmann, L.M.; Wright, E.C.; Dalton, R.N.; Zakowski, J.J.; Miller, W.G. Specificity characteristics of 7 commercial creatinine measurement procedures by enzymatic and Jaffe method principles. Clin. Chem. 2012, 58, 391–401. [Google Scholar] [CrossRef]
- Freed, T.A.; Coresh, J.; Inker, L.A.; Toal, D.R.; Perichon, R.; Chen, J.; Goodman, K.D.; Zhang, Q.; Conner, J.K.; Hauser, D.M.; et al. Validation of a Metabolite Panel for a More Accurate Estimation of Glomerular Filtration Rate Using Quantitative LC-MS/MS. Clin. Chem. 2019, 65, 406–418. [Google Scholar] [CrossRef] [PubMed]
- Tan, G.D.; Lewis, A.V.; James, T.J.; Altmann, P.; Taylor, R.P.; Levy, J.C. Clinical usefulness of cystatin C for the estimation of glomerular filtration rate in type 1 diabetes: Reproducibility and accuracy compared with standard measures and iohexol clearance. Diabetes Care 2002, 25, 2004–2009. [Google Scholar] [CrossRef] [PubMed]
- Murthy, K.; Stevens, L.A.; Stark, P.C.; Levey, A.S. Variation in the serum creatinine assay calibration: A practical application to glomerular filtration rate estimation. Kidney Int. 2005, 68, 1884–1887. [Google Scholar] [CrossRef][Green Version]
- Kyhse-Andersen, J.; Schmidt, C.; Nordin, G.; Andersson, B.; Nilsson-Ehle, P.; Lindström, V.; Grubb, A. Serum cystatin C, determined by a rapid, automated particle-enhanced turbidimetric method, is a better marker than serum creatinine for glomerular filtration rate. Clin. Chem. 1994, 40, 1921–1926. [Google Scholar] [CrossRef] [PubMed]
- Newman, D.J.; Thakkar, H.; Edwards, R.G.; Wilkie, M.; White, T.; Grubb, A.O.; Price, C.P. Serum cystatin C measured by automated immunoassay: A more sensitive marker of changes in GFR than serum creatinine. Kidney Int. 1995, 47, 312–318. [Google Scholar] [CrossRef] [PubMed]
- Grubb, A.; Blirup-Jensen, S.; Lindström, V.; Schmidt, C.; Althaus, H.; Zegers, I. IFCC Working Group on Standardisation of Cystatin C (WG-SCC). First certified reference material for cystatin C in human serum ERM-DA471/IFCC. Clin. Chem. Lab. Med. 2010, 48, 1619–1621. [Google Scholar] [CrossRef] [PubMed]
- Ehrich, J.; Dubourg, L.; Hansson, S.; Pape, L.; Steinle, T.; Fruth, J.; Höckner, S.; Schiffer, E. Serum Myo-Inositol, Dimethyl Sulfone, and Valine in Combination with Creatinine Allow Accurate Assessment of Renal Insufficiency-A Proof of Concept. Diagnostics 2021, 11, 234. [Google Scholar] [CrossRef] [PubMed]
- Teipel, J.C.; Hausler, T.; Sommerfeld, K.; Scharinger, A.; Walch, S.G.; Lachenmeier, D.W.; Kuballa, T. Application of 1H Nuclear Magnetic Resonance Spectroscopy as Spirit Drinks Screener for Quality and Authenticity Control. Foods 2020, 9, 1355. [Google Scholar] [CrossRef]
- Clinical & Laboratory Standards Institute EP17-A2: Evaluation of Detection Capability for Clinical Laboratory Measurement Procedures; Approved Guideline—Second Edition. Available online: https://clsi.org/standards/products/method-evaluation/documents/ep17/ (accessed on 26 January 2022).
- Clinical & Laboratory Standards Institute. EP6-A: Evaluation of the Linearity of Quantitative Measurement Procedures—A Statistical Approach; Approved Guideline. Available online: https://clsi.org/standards/products/method-evaluation/documents/ep06/ (accessed on 26 January 2022).
- Clinical & Laboratory Standards Institute. EP05-A3: Evaluation of Precision of Quantitative Measurement Procedures; Approved Guideline—Third Edition. Available online: https://clsi.org/standards/products/method-evaluation/documents/ep05/ (accessed on 26 January 2022).
- Clinical & Laboratory Standards Institute. EP09-A3: Measurement Procedure Comparison and Bias Estimation Using patient Samples; Approved Guideline—Third Edition. Available online: https://clsi.org/standards/products/method-evaluation/documents/ep09/ (accessed on 28 January 2022).
- Clinical & Laboratory Standards Institute. EP15-A3: User Verification of Precision and Estimation of Bias; Approved Guideline—Third Edition. Available online: https://clsi.org/standards/products/method-evaluation/documents/ep15/ (accessed on 28 January 2022).
- Clinical & Laboratory Standards Institute. EP25-A: Evaluation of Stability of In Vitro Diagnostic Reagents; Approved Guideline. Available online: https://clsi.org/standards/products/method-evaluation/documents/ep25/ (accessed on 26 January 2022).
- Clinical & Laboratory Standards Institute. EP07: Interference Testing in Clinical Chemistry—Third Edition. Available online: https://clsi.org/standards/products/method-evaluation/documents/ep07/ (accessed on 26 January 2022).
- R Core Team. R: The R Project for Statistical Computing, R Package Version 4.0.2. 2020. Available online: https://www.r-project.org/ (accessed on 26 January 2022).
- Dowle, M.; Srinivasan, A.; Gorecki, J.; Chirico, M.; Stetsenko, P.; Short, T.; Lianoglou, S.; Antonyan, E.; Bonsch, M.; Parsonage, H.; et al. Data.table: Extension of “Data.frame”; R Package Version 1.13.2. 2020. Available online: https://CRAN.R-project.org/package=data.table (accessed on 26 January 2022).
- Sarkar, D. Lattice: Multivariate Data Visualization with R; Springer Science & Business Media: Berlin/Heidelberg, Germany, 2008; ISBN 978-0-387-75969-2. [Google Scholar]
- Wickham, H. ggplot2: Elegant Graphics for Data Analysis, 2nd ed.; Springer International Publishing: Berlin/Heidelberg, Germany, 2016; ISBN 978-3-319-24275-0. [Google Scholar]
- Cochran, W.G. The Distribution of the Largest of a Set of Estimated Variances as a Fraction of Their Total. Ann. Eugen. 1941, 11, 47–52. [Google Scholar] [CrossRef]
- Freedman, D.; Pisani, R.; Purves, R. Pearson Correlation. In Statistics, 4th Edition International Student Edition; Wiley: Hoboken, NJ, USA, 2007; pp. 37–40. [Google Scholar]
- Passing, H.; Bablok, null A new biometrical procedure for testing the equality of measurements from two different analytical methods. Application of linear regression procedures for method comparison studies in clinical chemistry, Part I. J. Clin. Chem. Clin. Biochem. Z. Klin. Chem. Klin. Biochem. 1983, 21, 709–720. [Google Scholar] [CrossRef]
- Passing, H.; Bablok, W. Comparison of several regression procedures for method comparison studies and determination of sample sizes. Application of linear regression procedures for method comparison studies in Clinical Chemistry, Part II. J. Clin. Chem. Clin. Biochem. Z. Klin. Chem. Klin. Biochem. 1984, 22, 431–445. [Google Scholar] [CrossRef] [PubMed]
- Shimada, M.; Dass, B.; Ejaz, A.A.; Assessment of Elevated Creatinine—Differential Diagnosis of Symptoms. BMJ Best Practice. Available online: https://bestpractice.bmj.com/topics/en-gb/935 (accessed on 31 March 2022).
- Kwong, Y.-T.D.; Stevens, L.A.; Selvin, E.; Zhang, Y.L.; Greene, T.; Van Lente, F.; Levey, A.S.; Coresh, J. Imprecision of urinary iothalamate clearance as a gold-standard measure of GFR decreases the diagnostic accuracy of kidney function estimating equations. Am. J. Kidney Dis. Off. J. Natl. Kidney Found. 2010, 56, 39–49. [Google Scholar] [CrossRef]
- American Diabetes Association Professional Practice Committee 2. Classification and Diagnosis of Diabetes: Standards of Medical Care in Diabetes—2022. Diabetes Care 2021, 45, S17–S38. [Google Scholar] [CrossRef]
- Menke, A.; Knowler, W.C.; Cowie, C.C. Physical and Metabolic Characteristics of Persons with Diabetes and Prediabetes. In Diabetes in America; Cowie, C.C., Casagrande, S.S., Menke, A., Cissell, M.A., Eberhardt, M.S., Meigs, J.B., Gregg, E.W., Knowler, W.C., Barrett-Connor, E., Becker, D.J., et al., Eds.; National Institute of Diabetes and Digestive and Kidney Diseases (USA): Bethesda, MD, USA, 2018. [Google Scholar]
- Sutkowska, E.; Fortuna, P.; Wisniewski, J.; Sutkowska, K.; Hodurek, P.; Gamian, A.; Kaluza, B. Low metformin dose and its therapeutic serum concentration in prediabetes. Sci. Rep. 2021, 11, 11684. [Google Scholar] [CrossRef] [PubMed]
- den Elzen, W.P.J.; Cobbaert, C.M.; Klein Gunnewiek, J.M.T.; Bakkeren, D.L.; van Berkel, M.; Frasa, M.A.M.; Herpers, R.L.J.M.; Kuypers, A.W.H.M.; Ramakers, C.; Roelofsen-de Beer, R.J.A.C.; et al. Glucose and total protein: Unacceptable interference on Jaffe creatinine assays in patients. Clin. Chem. Lab. Med. 2018, 56, e185–e187. [Google Scholar] [CrossRef]
- Taha, M.O.; Dahabiyeh, L.A.; Bustanji, Y.; Zalloum, H.; Saleh, S. Combining ligand-based pharmacophore modeling, quantitative structure-activity relationship analysis and in silico screening for the discovery of new potent hormone sensitive lipase inhibitors. J. Med. Chem. 2008, 51, 6478–6494. [Google Scholar] [CrossRef]
- FDA. 510(k) Summary for Tina-Quant Cystatin C Gen.2 Assay, Roche Diagnostics. 2014. Available online: https://fda.report/PMN/K080811/8/K080811.pdf (accessed on 5 April 2022).
- Hansson, L.-O.; Grubb, A.; Lidén, A.; Flodin, M.; Berggren, A.; Delanghe, J.; Stove, V.; Luthe, H.; Rhode, K.-H.; Beck, C.; et al. Performance evaluation of a turbidimetric cystatin C assay on different high-throughput platforms. Scand. J. Clin. Lab. Investig. 2010, 70, 347–353. [Google Scholar] [CrossRef]
- Matyus, S.P.; Braun, P.J.; Wolak-Dinsmore, J.; Saenger, A.K.; Jeyarajah, E.J.; Shalaurova, I.; Warner, S.M.; Fischer, T.J.; Connelly, M.A. HDL particle number measured on the Vantera®, the first clinical NMR analyzer. Clin. Biochem. 2015, 48, 148–155. [Google Scholar] [CrossRef]




| Creatinine | Valine | Myo-Inositol | ||||
|---|---|---|---|---|---|---|
| LoB [µmol/L] | 20 | 20 | 39 | |||
| LoD [µmol/L] | 25 | 26 | 39 | |||
| LoQ [µmol/L] | 25 | 30 | 39 | |||
| LoL [µmol/L] | <870 | <1255 | <439 | |||
| Trueness PB; r | y = 1.028x−5.364; 0.990 | y = 1.050x + 0.450; 0.996 | y = 1.002x + 2.269; 0.990 | |||
| Precision 1 | ||||||
| Pool | Mean; SD [µmol/L] | CV% | Mean; SD [µmol/L] | CV% | Mean; SD [µmol/L] | CV% |
| 1 | 42.8; 5.4 | 12.5 | 211.4; 5.2 | 2.2 | 57.3; 4.4 | 14.6 |
| 2 | 62.8; 3.4 | 5.4 | 231.9; 5.4 | 2.1 | 63.4; 4.8 | 16.5 |
| 3 | 69.9; 5.4 | 7.8 | 280.2; 5.4 | 2.1 | 67.7; 5.2 | 14.3 |
| 4 | 76.0; 3.2 | 4.2 | 298.7; 4.6 | 2.0 | 69.1; 3.2 | 15.0 |
| 5 | 78.4; 5.2 | 6.6 | 315.3; 3.2 | 1.9 | 72.0; 3.4 | 15.8 |
| 6 | 85.4; 4.4 | 5.2 | 354.0; 3.4 | 2.1 | 80.4; 5.4 | 13.9 |
| 7 | 107.5; 4.8 | 4.5 | 383.5; 4.4 | 2.0 | 88.6; 4.6 | 11.7 |
| 8 | 123.8; 4.6 | 3.7 | 406.3; 5.9 | 2.2 | 204.6; 5.9 | 6.4 |
| 9 | 173.7; 5.9 | 3.4 | 463.8; 4.8 | 2.2 | 224.0; 5.4 | 5.9 |
| Precision | N | Pool | Mean [mL/min/1.73 m2] | Repeatability [CV%] | Between-Run [CV%] | Between-Day [CV%] | Within-Laboratory [CV%] | Reproduci-bility [CV%] |
|---|---|---|---|---|---|---|---|---|
| Single-site 1 | 480 | P1 | 53.5 | 2.8 | 1.3 | 2.4 | 3.9 | n.a. |
| P2 | 55.4 | 2.9 | 1.8 | 0.0 | 3.4 | n.a. | ||
| P3 | 78.1 | 3.7 | 0.0 | 1.2 | 3.9 | n.a. | ||
| P4 | 82.4 | 3.6 | 2.3 | 1.0 | 4.3 | n.a. | ||
| Multi-site 2 | 360 | P1 | 55.4 | 3.3 | n.a. | 0.3 | 3.3 | 4.3 |
| P2 | 84.5 | 5.1 | n.a. | 2.8 | 5.8 | 5.9 | ||
| P3 | 84.7 | 2.9 | n.a. | 3.3 | 4.4 | 4.4 | ||
| P4 | 86.6 | 2.8 | n.a. | 2.1 | 3.5 | 4.0 |
| Stability | Donor | Mean GFRNMR at t0 [mL/min/1.73 m2] | Slope [mL/min/1.73 m2] | Intercept [mL/min/1.73 m2] | Slope p-Value | Duration [days] 2 |
|---|---|---|---|---|---|---|
| Serum samples (2–10°C) 1 | 1 | 105.6 | −0.14 | 102.65 | 0.874 | 8 |
| 2 | 78.0 | −0.38 | 76.88 | 0.492 | 8 | |
| 3 | 109.8 | −1.08 | 108.36 | 0.164 | 8 | |
| 5 | 106.6 | −0.35 | 103.57 | 0.647 | 8 | |
| 6 | 99.6 | 0.21 | 97.03 | 0.723 | 8 | |
| On-board NMR samples (6 ± 2 °C) | 1 | 105.6 | −0.16 | 106.23 | 0.310 | 10 |
| 2 | 78.0 | 0.08 | 77.42 | 0.327 | 10 | |
| 3 | 109.8 | 0.21 | 108.28 | 0.196 | 10 | |
| 4 | 118.0 | 0.29 | 117.77 | 0.043 | 10 | |
| 5 | 106.6 | 0.09 | 106.76 | 0.618 | 10 | |
| 6 | 99.6 | 0.03 | 99.26 | 0.865 | 10 |
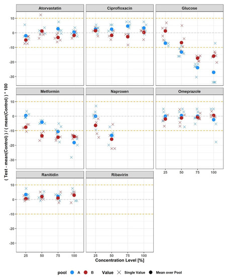
| Substance 1 | Pool 2 | Mean Relative Bias [%] |
|---|---|---|
| Atorvastatin | High | −12.20 |
| Ciprofloxacin | High | +10.81 |
| Low | +11.84 | |
| Glucose | High | −23.34 |
| Low | −26.70 | |
| Metformin | High | −10.48 |
| Naproxen | Low | −17.41 |
| Omeprazole | High | −15.37 |
| Ranitidin | High | −15.10 |
| Ribavirin | High | No result |
| Low | No result |
Publisher’s Note: MDPI stays neutral with regard to jurisdictional claims in published maps and institutional affiliations. |
© 2022 by the authors. Licensee MDPI, Basel, Switzerland. This article is an open access article distributed under the terms and conditions of the Creative Commons Attribution (CC BY) license (https://creativecommons.org/licenses/by/4.0/).
Share and Cite
Fuhrmann, M.; Schwaeble Santamaria, A.; Scott, R.; Meeusen, J.W.; Fernandes, M.; Venz, J.; Rothe, V.; Stämmler, F.; Ehrich, J.; Schiffer, E. Analytical Validation of GFRNMR: A Blood-Based Multiple Biomarker Assay for Accurate Estimation of Glomerular Filtration Rate. Diagnostics 2022, 12, 1120. https://doi.org/10.3390/diagnostics12051120
Fuhrmann M, Schwaeble Santamaria A, Scott R, Meeusen JW, Fernandes M, Venz J, Rothe V, Stämmler F, Ehrich J, Schiffer E. Analytical Validation of GFRNMR: A Blood-Based Multiple Biomarker Assay for Accurate Estimation of Glomerular Filtration Rate. Diagnostics. 2022; 12(5):1120. https://doi.org/10.3390/diagnostics12051120
Chicago/Turabian StyleFuhrmann, Markus, Amauri Schwaeble Santamaria, Renee Scott, Jeffrey W. Meeusen, Marianna Fernandes, John Venz, Victoria Rothe, Frank Stämmler, Jochen Ehrich, and Eric Schiffer. 2022. "Analytical Validation of GFRNMR: A Blood-Based Multiple Biomarker Assay for Accurate Estimation of Glomerular Filtration Rate" Diagnostics 12, no. 5: 1120. https://doi.org/10.3390/diagnostics12051120
APA StyleFuhrmann, M., Schwaeble Santamaria, A., Scott, R., Meeusen, J. W., Fernandes, M., Venz, J., Rothe, V., Stämmler, F., Ehrich, J., & Schiffer, E. (2022). Analytical Validation of GFRNMR: A Blood-Based Multiple Biomarker Assay for Accurate Estimation of Glomerular Filtration Rate. Diagnostics, 12(5), 1120. https://doi.org/10.3390/diagnostics12051120

