Dual-Energy Computed Tomography for Evaluation of Breast Cancer Follow-Ups: Comparison of Virtual Monoenergetic Images and Iodine-Map
Abstract
:1. Introduction
2. Materials and Methods
2.1. Patients
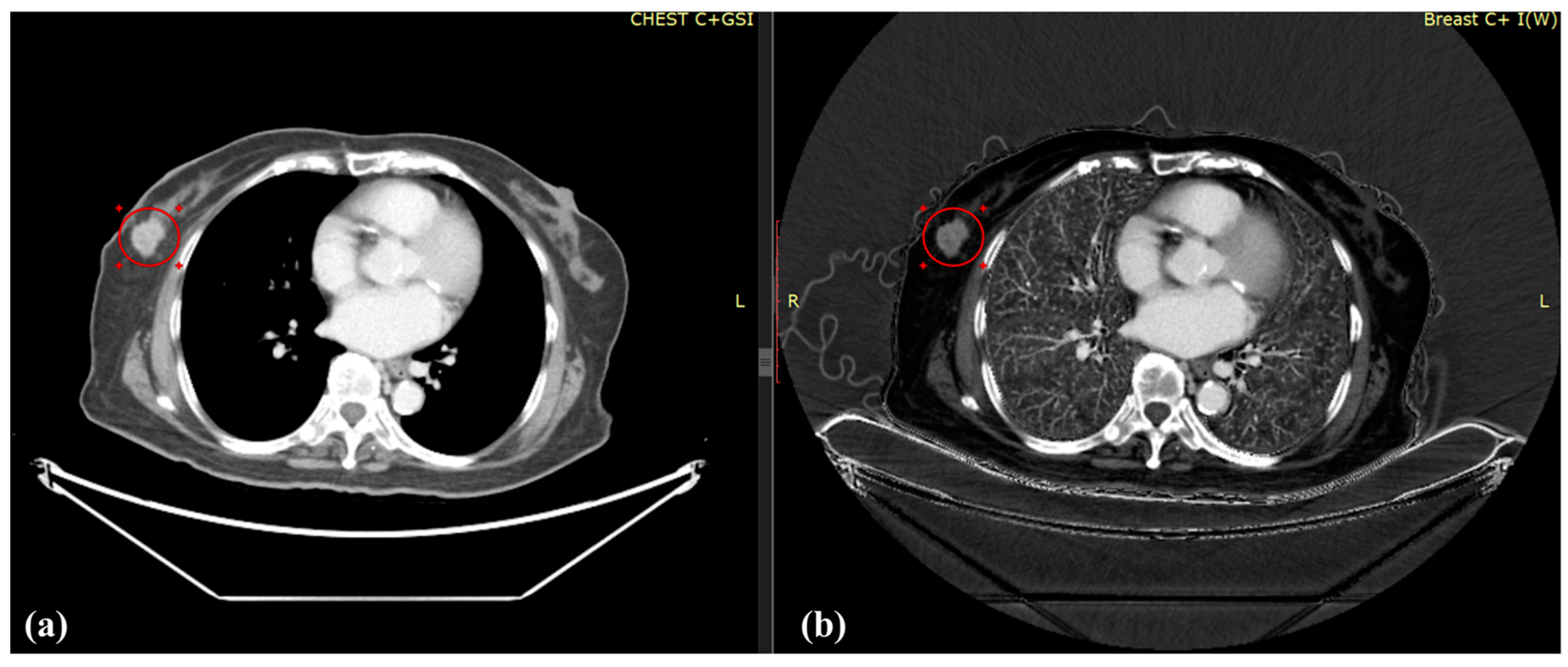
2.2. Image Acquisition
2.3. Image Reconstruction and Analysis
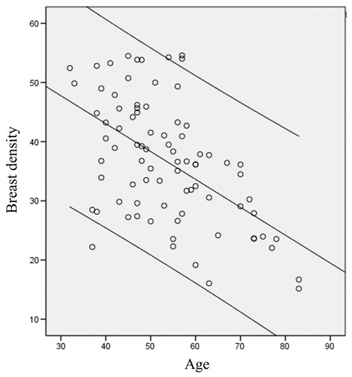
2.4. Breast Density Measurement
3. Results
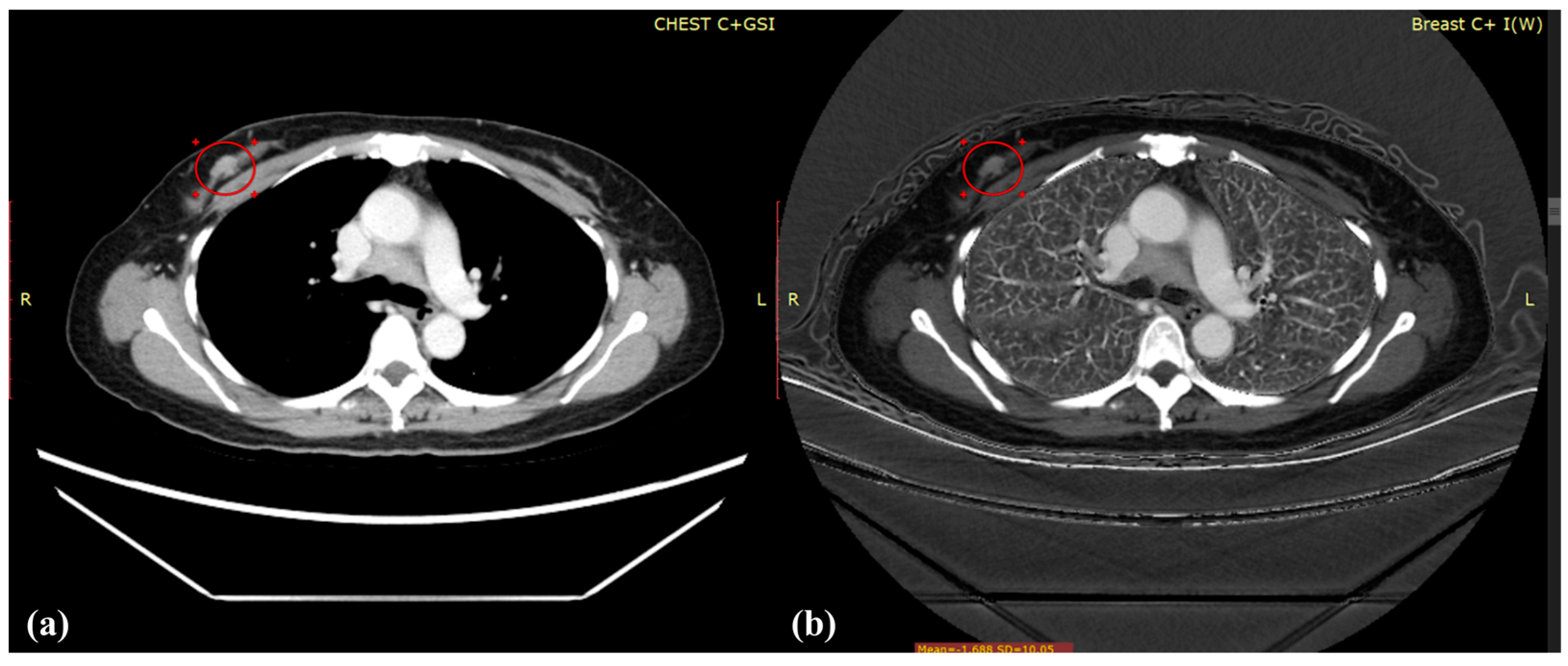
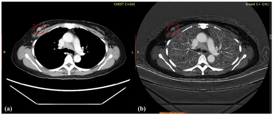
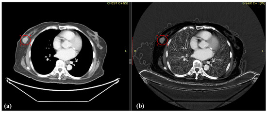
3.1. Experiment 1
3.2. Experiment 2
4. Discussion
5. Conclusions
Author Contributions
Funding
Institutional Review Board Statement
Informed Consent Statement
Data Availability Statement
Conflicts of Interest
References
- Kara, L.B.; Jack, C.; Kelly, A.P. Key steps for effective breast cancer prevention. Nat. Rev. Cancer 2020, 20, 417–436. [Google Scholar] [CrossRef]
- Okada, K.; Matsuda, M.; Tsuda, T.; Kido, T.; Murata, A.; Nishiyama, H.; Nishiyama, K.; Yamasawa, H.; Kamei, Y.; Kurata, M.; et al. Dual-energy computed tomography for evaluation of breast cancer: Value of virtual monoenergetic images reconstructed with a noise-reduced monoenergetic reconstruction algorithm. Jpn. J. Radiol. 2020, 3, 154–164. [Google Scholar] [CrossRef] [PubMed]
- Torre, L.A.; Bray, F.; Siegel, R.L.; Ferlay, J.; Lortet-Tieulent, J.; Jemal, A. Global cancer statistics, 2012. CA Cancer J. Clin. 2015, 65, 87–108. [Google Scholar] [CrossRef] [PubMed] [Green Version]
- Ecanow, J.S.; Abe, H.; Newstead, G.M.; Ecanow, D.B.; Jeske, J.M. Axillary staging of breast cancer: What the radiologist should know. Radiographics 2013, 33, 1589–1612. [Google Scholar] [CrossRef]
- Montemurro, F.; Maggiorotto, F.; Valabrega, G.; Kubatzki, F.; Rossi, V.; Magistris, A.; Marocco, F.; Gatti, M.; Sarotto, I.; Aglietta, M.; et al. Omission of axillary dissection after a positive sentinel node dissection may influence adjuvant chemotherapy indications in operable breast cancer patients. Ann. Surg. Oncol. 2012, 19, 3755–3761. [Google Scholar] [CrossRef]
- Andersson, Y.; Frisell, J.; Sylvan, M.; de Boniface, J.; Bergkvist, L. Breast cancer survival in relation to the metastatic tumor burden in axillary lymph nodes. J. Clin. Oncol. 2010, 28, 2868–2873. [Google Scholar] [CrossRef]
- Boughey, J.C.; Moriarty, J.P.; Degnim, A.C.; Gregg, M.S.; Egginton, J.S.; Long, K.H. Cost modeling of preoperative axillary ultrasound and fine-needle aspiration to guide surgery for invasive breast cancer. Ann. Surg. Oncol. 2010, 17, 953–958. [Google Scholar] [CrossRef]
- Mamounas, E.P.; Kuehn, T.; Rutgers, E.J.; von Minckwitz, G. Current approach of the axilla in patients with early-stage breast cancer. Lancet 2017, S0140-6736, 31451–31454. [Google Scholar] [CrossRef]
- Schijven, M.P.; Vingerhoets, A.J.; Rutten, H.J.; Nieuwenhuijzen, G.A.P.; Roumen, R.M.H.; van Bussel, M.E.; Voogd, A.C. Comparison of morbidity between axillary lymph node dissection and sentinel node biopsy. Eur. J. Surg. Oncol. 2003, 29, 341–350. [Google Scholar] [CrossRef] [Green Version]
- Shaitelman, S.F.; Cromwell, K.D.; Rasmussen, J.C.; Stout, N.L.; Armer, J.M.; Lasinski, B.B.; Cormier, J.N. Recent progress in the treatment and prevention of cancer-related lymphedema. CA Cancer J. Clin. 2015, 65, 55–81. [Google Scholar] [CrossRef]
- Gentilini, O.; Veronesi, U. Staging the axilla in early breast cancer: Will imaging replace surgery? JAMA Oncol. 2015, 1, 1031–1032. [Google Scholar] [CrossRef] [PubMed]
- Uematsu, T.; Sano, M.; Homma, K. In vitro high-resolution helical CT of small axillary lymph nodes in patients with breast cancer: Correlation of CT and histology. Am. J. Roentgenol. 2001, 176, 1069–1074. [Google Scholar] [CrossRef] [PubMed]
- Wang, X.; Liu, D.; Zeng, X.; Jiang, S.; Li, L.; Yu, T.; Zhang, J. Dual-energy CT quantitative parameters for evaluating Immunohistochemical biomarkers of invasive breast cancer. Cancer Imaging 2021, 21, 4. [Google Scholar] [CrossRef] [PubMed]
- Buus, T.W.; Sandahl, M.; Thorup, K.S.; Rasmussen, F.; Redsted, S.; Christiansen, P.; Jensen, A.B.; Pederen, E.M. Breast cancer: Comparison of quantitative dual-layer spectral CT and axillary ultrasonography for preoperative diagnosis of metastatic axillary lymph nodes. Eur. Radiol. Exp. 2021, 5, 16. [Google Scholar] [CrossRef]
- Lv, P.; Lin, X.Z.; Li, J.; Li, W.; Chen, K. Differentiation of small hepatic hemangioma from small hepatocellular carcinoma: Recently introduced spectral CT method. Radiology 2011, 259, 720–729. [Google Scholar] [CrossRef] [Green Version]
- Zhang, X.; Zheng, C.; Yang, Z.; Cheng, Z.; Deng, H.; Chen, M.; Duan, X.; Mao, J.; Shen, J. Axillary sentinel lymph nodes in breast cancer: Quantitative evaluation at dual-energy CT. Radiology 2018, 289, 180544. [Google Scholar] [CrossRef]
- Abhay, K.; Deepti, M. Effective segmentation and classification of tumor on liver MRI and CT images using multi-kernel K-means clustering. Biomed. Tech. (Berl.) 2020, 65, 301–313. [Google Scholar] [CrossRef]
- Khan, A.U.; Khanduri, S.; Tarin, Z.; Abbas, S.Z.; Husain, M.; Singh, A.; Yadav, P.; Jain, S. Differential dual-energy computed tomography lung in patients of pulmonary tuberculosis. J. Clin. Imag. Sci. 2020, 10, 39. [Google Scholar] [CrossRef]
- Gao, L.; Yi, L.; Jin, Y.; Fang, H.; Han, F.; Yao, Z.; Yang, J.; Zhang, J. Differential diagnosis of hepatic cancerous nodules and cirrhosis nodules by spectral CT imaging: A feasibility study. Acta Radiol. 2019, 60, 1602–1608. [Google Scholar] [CrossRef]
- Yu, S.L.; Jia, Y.Z.; Yuan, C.H.; Hon, M.X.; Lee, L.W. Age-specific breast density changes in Taiwanese women: A cross-sectional study. Int. J. Environ. Res. Public Health 2020, 17, 3186. [Google Scholar] [CrossRef]
- Topçuoğlu, O.M.; Sarıkaya, B. Fast kilovoltage-switching dual-energy CT offering lower x-ray dose than single-energy CT for the chest: A quantitative and qualitative comparison study of the two methods of acquisition. Diagn. Interv. Radiol. 2019, 25, 204–209. [Google Scholar] [CrossRef] [PubMed]
- Lau, L.C.M.; Lee, W.Y.W.; Butler, A.P.H.; Chernoglazov, A.I.; Chung, K.Y.; Ho, K.K.W.; Griffith, J.; Butler, P.H.; Yung, P.S.H. Multi-energy spectral photon-counting computed tomography (MARS) for detection of arthroplasty implant failure. Sci. Rep. 2021, 11, 1554. [Google Scholar] [CrossRef] [PubMed]
- Carmi, R.; Naveh, G.; Altman, A. Material separation with dual-layer CT. IEEE Nucl. Sci. Symp. Conf. Rec. 2005, 4, 1876–1878. [Google Scholar] [CrossRef]




| 40 keV | 50 keV | 60 keV | 70 keV | 80 keV | 90 keV | 100 keV | 110 keV | 120 keV | 130 keV | 140 keV | p Value | |
|---|---|---|---|---|---|---|---|---|---|---|---|---|
| T/B | 5.04 (3.23, 12.66) | 4.25 (3.00, 10.21) | 3.70 (2.76, 8.37) | 3.23 (2.54, 7.09) | 2.90 (2.33, 6.13) | 2.75 (2.15, 5.65) | 2.62 (1.97, 5.55) | 2.51 (1.83, 5.45) | 2.43 (1.73, 5.35) | 2.36 (1.66, 5.28) | 2.30 (1.59, 5.28) | 0.03 |
| T/M | 2.30 (1.42, 2.80) | 2.01 (1.28, 2.43) | 1.76 (1.16, 2.14) | 1.54 (1.02, 1.89) | 1.37 (0.93, 1.69) | 1.25 (0.86, 1.56) | 1.18 (0.81, 1.44) | 1.12 (0.77, 1.35) | 1.09 (0.73, 1.29) | 1.05 (0.71, 1.23) | 1.03 (0.69, 1.19) | <0.001 |
| CNRb | 7.39 (4.64, 13.88) | 7.02 (4.42, 13.21) | 6.60 (4.14, 12.69) | 6.11 (3.86, 12.18) | 5.72 (3.56, 11.58) | 5.30 (3.38, 10.60) | 4.85 (3.16, 10.61) | 4.49 (3.07, 10.32) | 4.26 (2.95, 10.28) | 4.08 (2.84, 10.55) | 3.94 (2.92, 10.27) | 0.02 |
| CNRm | 39.20 (19.10, 66.24) | 54.63 (26.49, 89.59) | 69.30 (34.85, 119.00) | 88.89 (43.17, 149.96) | 105.58 (51.04, 169.54) | 119.96 (57.40, 190.95) | 131.03 (62.63, 212.71) | 136.51 (68.01, 225.32) | 150.86 (71.23, 239.46) | 158.40 (74.45, 258.75) | 164.58 (77.09, 262.74) | <0.001 |
| n = 84 | Monochromatic Spectral Image | Iodine Map | p Value |
|---|---|---|---|
| T/B | |||
| Average value | 3.24 ± 2.27 | 5.08 ± 4.96 | 0.002 |
| Maximum value | 4.61 ± 3.67 | 7.72 ± 5.18 | <0.001 |
| T/M | |||
| Average value | 1.21 ± 0.32 | 2.15 ± 1.02 | <0.001 |
| Maximum value | 1.36 ± 0.32 | 2.61 ± 1.05 | <0.001 |
| CNRb | |||
| Average value | 6.90 ± 2.77 | 10.13 ± 5.24 | <0.001 |
| Maximum value | 7.92 ± 3.25 | 11.55 ± 5.69 | <0.001 |
| n = 13 0–24% | Monochromatic Spectral Image | Iodine Map | p Value |
|---|---|---|---|
| T/B | |||
| Average value | 2.53 ± 1.23 | 4.27 ± 1.74 | 0.05 |
| Maximum value | 2.90 ± 1.29 | 5.82 ± 3.89 | 0.03 |
| T/M | |||
| Average value | 1.19 ± 0.23 | 1.83 ± 1.19 | 0.05 |
| Maximum value | 1.33 ± 0.44 | 2.58 ± 1.86 | 0.008 |
| CNRb | |||
| Average value | 6.64 ± 1.95 | 8.65 ± 3.43 | 0.01 |
| Maximum value | 7.32 ± 2.01 | 9.63 ± 3.13 | 0.007 |
| n = 59 25–49% | Monochromatic Spectral Image | Iodine Map | p Value |
|---|---|---|---|
| T/B | |||
| Average value | 3.36 ± 2.52 | 4.59 ± 3.19 | 0.01 |
| Maximum value | 4.63 ± 3.47 | 7.62 ± 3.49 | 0.006 |
| T/M | |||
| Average value | 1.21 ± 0.37 | 2.19 ± 0.99 | 0.002 |
| Maximum value | 1.36 ± 0.30 | 2.60 ± 0.69 | <0.001 |
| CNRb | |||
| Average value | 6.69 ± 3.15 | 10.37 ± 5.45 | 0.01 |
| Maximum value | 7.19 ± 3.25 | 11.45 ± 6.70 | 0.01 |
| n = 12 50–74% | Monochromatic Spectral Image | Iodine Map | p Value |
|---|---|---|---|
| T/B | |||
| Average value | 3.67 ± 1.85 | 4.46 ± 3.49 | 0.006 |
| Maximum value | 6.12 ± 5.31 | 9.91 ± 4.14 | 0.04 |
| T/M | |||
| Average value | 1.24 ± 0.32 | 2.22 ± 0.94 | <0.001 |
| Maximum value | 1.43 ± 0.27 | 2.62 ± 0.89 | <0.001 |
| CNRb | |||
| Average value | 7.01 ± 2.88 | 10.54 ± 5.88 | <0.001 |
| Maximum value | 8.11 ± 3.46 | 11.86 ± 5.86 | <0.001 |
Publisher’s Note: MDPI stays neutral with regard to jurisdictional claims in published maps and institutional affiliations. |
© 2022 by the authors. Licensee MDPI, Basel, Switzerland. This article is an open access article distributed under the terms and conditions of the Creative Commons Attribution (CC BY) license (https://creativecommons.org/licenses/by/4.0/).
Share and Cite
Li, J.-X.; Xie, F.-J.; Chen, C.-H.; Chen, K.-M.; Tsai, C.-J. Dual-Energy Computed Tomography for Evaluation of Breast Cancer Follow-Ups: Comparison of Virtual Monoenergetic Images and Iodine-Map. Diagnostics 2022, 12, 946. https://doi.org/10.3390/diagnostics12040946
Li J-X, Xie F-J, Chen C-H, Chen K-M, Tsai C-J. Dual-Energy Computed Tomography for Evaluation of Breast Cancer Follow-Ups: Comparison of Virtual Monoenergetic Images and Iodine-Map. Diagnostics. 2022; 12(4):946. https://doi.org/10.3390/diagnostics12040946
Chicago/Turabian StyleLi, Jun-Xian, Feng-Ji Xie, Chia-Hui Chen, Kuan-Ming Chen, and Chia-Jung Tsai. 2022. "Dual-Energy Computed Tomography for Evaluation of Breast Cancer Follow-Ups: Comparison of Virtual Monoenergetic Images and Iodine-Map" Diagnostics 12, no. 4: 946. https://doi.org/10.3390/diagnostics12040946
APA StyleLi, J.-X., Xie, F.-J., Chen, C.-H., Chen, K.-M., & Tsai, C.-J. (2022). Dual-Energy Computed Tomography for Evaluation of Breast Cancer Follow-Ups: Comparison of Virtual Monoenergetic Images and Iodine-Map. Diagnostics, 12(4), 946. https://doi.org/10.3390/diagnostics12040946

