Evaluation of Optimal Sites for the Insertion of Orthodontic Mini Implants at Mandibular Symphysis Region through Cone-Beam Computed Tomography
Abstract
1. Introduction
2. Materials and Methods
3. Results
3.1. Intra-Observer Reliability
3.2. Differences between Left and Right Sides
3.3. Comparisons of OBT and CBT among Different Facial Types
3.4. The Influences of Sex and Age on Measurements
3.5. Comparisons of OBT and CBT at Different Insertion Locations
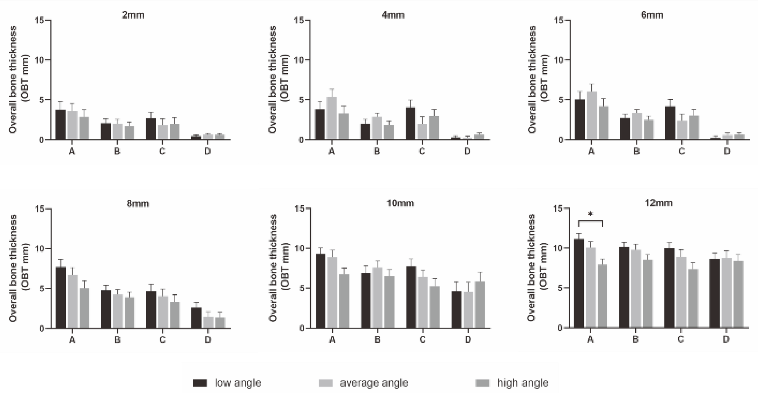
3.6. Comparisons of OBT and CBT among Different Insertion Heights and Insertion Angles
3.7. Recommended and Optimal Insertion Sites
4. Discussion
5. Conclusions
- Mandibular symphysis is suitable for the insertion of orthodontic mini implants, with the best insertion location being between two central incisors.
- A mapping of recommended and optimal insertion sites with recommended insertion heights and insertion angles is suggested.
- The optimal insertion site is 6–10 mm apical to the CEJ between two central incisors, with an insertion angle of 0–60°.
Author Contributions
Funding
Institutional Review Board Statement
Informed Consent Statement
Conflicts of Interest
References
- Chandhoke, T.; Nanda, R.; Uribe, F. Clinical applications of predictable force systems, part 2: Miniscrew anchorage. J. Clin. Orthod. 2015, 49, 229–239. [Google Scholar]
- Jia, X.; Chen, X.; Huang, X. Influence of orthodontic mini-implant penetration of the maxillary sinus in the infrazygomatic crest region. Am. J. Orthod. Dentofac. Orthop. 2018, 153, 656–661. [Google Scholar] [CrossRef]
- Monnerat, C.; Restle, L.; Mucha, J.N. Tomographic mapping of mandibular interradicular spaces for placement of orthodontic mini-implants. Am. J. Orthod. Dentofac. Orthop. 2009, 135, 428.e1–428.e9; discussion 9. [Google Scholar] [CrossRef]
- Lyu, X.; Guo, J.; Chen, L.; Gao, Y.; Liu, L.; Pu, L.; Lai, W.; Long, H. Assessment of available sites for palatal orthodontic mini-implants through cone-beam computed tomography. Angle Orthod. 2020, 90, 516–523. [Google Scholar] [CrossRef]
- Sosly, R.; Mohammed, H.; Rizk, M.Z.; Jamous, E.; Qaisi, A.G.; Bearn, D.R. Effectiveness of miniscrew-supported maxillary incisor intrusion in deep-bite correction: A systematic review and meta-analysis. Angle Orthod. 2020, 90, 291–304. [Google Scholar] [CrossRef]
- Purmal, K.; Alam, M.; Pohchi, A.; Abdul Razak, N. 3D mapping of safe and danger zones in the maxilla and mandible for the placement of intermaxillary fixation screws. PLoS ONE 2013, 8, e84202. [Google Scholar] [CrossRef]
- Tepedino, M.; Cattaneo, P.M.; Masedu, F.; Chimenti, C. Average interradicular sites for miniscrew insertion: Should dental crowding be considered? Dental. Press J. Orthod. 2017, 22, 90–97. [Google Scholar] [CrossRef][Green Version]
- Chang, C.C.H.; Lin, J.S.Y.; Yeh, H.Y. Extra-Alveolar Bone Screws for Conservative Correction of Severe Malocclusion without Extractions or Orthognathic Surgery. Curr. Osteoporos. Rep. 2018, 16, 387–394. [Google Scholar] [CrossRef]
- Lee, E.; Popowics, T.; Herring, S.W. Histological Development of the Fused Mandibular Symphysis in the Pig. Anat. Rec. 2019, 302, 1372–1388. [Google Scholar] [CrossRef]
- Coquerelle, M.; Bookstein, F.L.; Braga, J.; Halazonetis, D.J.; Weber, G.W. Fetal and infant growth patterns of the mandibular symphysis in modern humans and chimpanzees (Pan troglodytes). J. Anat. 2010, 217, 507–520. [Google Scholar] [CrossRef] [PubMed]
- Handelman, C. The anterior alveolus: Its importance in limiting orthodontic treatment and its influence on the occurrence of iatrogenic sequelae. Angle Orthod. 1996, 66, 95–109; discussion 10. [Google Scholar]
- Sadek, M.; Sabet, N.; Hassan, I. Three-dimensional mapping of cortical bone thickness in subjects with different vertical facial dimensions. Prog. Orthod. 2016, 17, 32. [Google Scholar] [CrossRef]
- Hoang, N.; Nelson, G.; Hatcher, D.; Oberoi, S. Evaluation of mandibular anterior alveolus in different skeletal patterns. Prog Orthod. 2016, 17, 22. [Google Scholar] [CrossRef]
- Cassetta, M.; Sofan, A.A.; Altieri, F.; Barbato, E. Evaluation of alveolar cortical bone thickness and density for orthodontic mini-implant placement. J. Clin. Exp. Dent. 2013, 5, e245–e252. [Google Scholar] [CrossRef]
- Nimigean, V.R.; Nimigean, V.; Bencze, M.A.; Dimcevici-Poesina, N.; Cergan, R.; Moraru, S. Alveolar bone dehiscences and fenestrations: An anatomical study and review. Rom. J. Morphol. Embryol. 2009, 50, 391–397. [Google Scholar]
- Enhos, S.; Uysal, T.; Yagci, A.; Veli, I.; Ucar, F.I.; Ozer, T. Dehiscence and fenestration in patients with different vertical growth patterns assessed with cone-beam computed tomography. Angle Orthod. 2012, 82, 868–874. [Google Scholar] [CrossRef]
- Villela, H.M.; Vedovello Filho, M.; Valdrighi, H.C.; Santamaria-Jr, M.; Menezes, C.C.; Vedovello, S.A.S. Evaluation of miniscrew angulation in the posterior maxilla using cone-beam computed tomographic image. Dental Press J. Orthod. 2018, 23, 46–55. [Google Scholar] [CrossRef][Green Version]
- Fayed, M.M.; Pazera, P.; Katsaros, C. Optimal sites for orthodontic mini-implant placement assessed by cone beam computed tomography. Angle Orthod. 2010, 80, 939–951. [Google Scholar] [CrossRef] [PubMed]
- Hwang, Y.C.; Hwang, H.S. Surgical repair of root perforation caused by an orthodontic miniscrew implant. Am. J. Orthod. Dentofac. Orthop. 2011, 139, 407–411. [Google Scholar] [CrossRef]
- Afrashtehfar, K.I. Patient and miniscrew implant factors influence the success of orthodontic miniscrew implants. Evid. Based Dent. 2016, 17, 109–110. [Google Scholar] [CrossRef] [PubMed]
- Pickard, M.B.; Dechow, P.; Rossouw, P.E.; Buschang, P.H. Effects of miniscrew orientation on implant stability and resistance to failure. Am. J. Orthod. Dentofac. Orthop. 2010, 137, 91–99. [Google Scholar] [CrossRef]
- Min, K.; Kim, S.; Kang, K.; Cho, J.; Lee, E.; Chang, N.; Chae, J.-M. Root proximity and cortical bone thickness effects on the success rate of orthodontic micro-implants using cone beam computed tomography. Angle Orthod. 2012, 82, 1014–1021. [Google Scholar] [CrossRef] [PubMed]
- Pan, C.Y.; Liu, P.H.; Tseng, Y.C.; Chou, S.T.; Wu, C.Y.; Chang, H.P. Effects of cortical bone thickness and trabecular bone density on primary stability of orthodontic mini-implants. J. Dent. Sci. 2019, 14, 383–388. [Google Scholar] [CrossRef]
- Vilani, G.N.; Ruellas, A.C.; Mattos, C.T.; Fernandes, D.J.; Elias, C.N. Influence of cortical thickness on the stability of mini-implants with microthreads. Braz. Oral Res. 2015, 29, 1–7. [Google Scholar] [CrossRef] [PubMed]
- Marquezan, M.; Mattos, C.T.; Sant’Anna, E.F.; de Souza, M.M.; Maia, L.C. Does cortical thickness influence the primary stability of miniscrews? A systematic review and meta-analysis. Angle Orthod. 2014, 84, 1093–1103. [Google Scholar] [CrossRef]
- Wilmes, B.; Drescher, D. Impact of insertion depth and predrilling diameter on primary stability of orthodontic mini-implants. Angle Orthod. 2009, 79, 609–614. [Google Scholar] [CrossRef]
- Bourassa, C.; Hosein, Y.; Pollmann, S.; Galil, K.; Bohay, R.; Holdsworth, D.; Tassi, A. In-vitro comparison of different palatal sites for orthodontic miniscrew insertion: Effect of bone quality and quantity on primary stability. Am. J. Orthod. Dentofac. Orthop. 2018, 154, 809–819. [Google Scholar] [CrossRef]
- Watanabe, T.; Miyazawa, K.; Fujiwara, T.; Kawaguchi, M.; Tabuchi, M.; Goto, S. Insertion torque and Periotest values are important factors predicting outcome after orthodontic miniscrew placement. Am. J. Orthod. Dentofacial. Orthop. 2017, 152, 483–488. [Google Scholar] [CrossRef]
- Kalra, S.; Tripathi, T.; Rai, P.; Kanase, A. Evaluation of orthodontic mini-implant placement: A CBCT study. Prog. Orthod. 2014, 15, 61. [Google Scholar] [CrossRef]
- Golshah, A.; Salahshour, M.; Nikkerdar, N. Interradicular distance and alveolar bone thickness for miniscrew insertion: A CBCT study of Persian adults with different sagittal skeletal patterns. BMC Oral Health 2021, 21, 534. [Google Scholar] [CrossRef]








| Gender | p | Age | p | |||
|---|---|---|---|---|---|---|
| Males | Females | Adolescents | Adults | |||
| Mean (mm) ± SD | Mean (mm) ± SD | Mean (mm) ± SD | Mean (mm) ± SD | |||
| CBT | 1.35 ± 1.06 | 1.33 ± 0.90 | 0.271 | 1.31 ± 0.89 | 1.38 ± 1.09 | 0.001 * |
| OBT | 7.65 ± 6.93 | 7.57 ± 6.28 | 0.393 | 7.56 ± 6.76 | 7.67 ± 6.55 | 0.272 |
Publisher’s Note: MDPI stays neutral with regard to jurisdictional claims in published maps and institutional affiliations. |
© 2022 by the authors. Licensee MDPI, Basel, Switzerland. This article is an open access article distributed under the terms and conditions of the Creative Commons Attribution (CC BY) license (https://creativecommons.org/licenses/by/4.0/).
Share and Cite
Zhang, S.; Wei, X.; Wang, L.; Wu, Z.; Liu, L.; Yan, X.; Lai, W.; Long, H. Evaluation of Optimal Sites for the Insertion of Orthodontic Mini Implants at Mandibular Symphysis Region through Cone-Beam Computed Tomography. Diagnostics 2022, 12, 285. https://doi.org/10.3390/diagnostics12020285
Zhang S, Wei X, Wang L, Wu Z, Liu L, Yan X, Lai W, Long H. Evaluation of Optimal Sites for the Insertion of Orthodontic Mini Implants at Mandibular Symphysis Region through Cone-Beam Computed Tomography. Diagnostics. 2022; 12(2):285. https://doi.org/10.3390/diagnostics12020285
Chicago/Turabian StyleZhang, Shizhen, Xiaoyu Wei, Lufei Wang, Zhouqiang Wu, Lu Liu, Xinyu Yan, Wenli Lai, and Hu Long. 2022. "Evaluation of Optimal Sites for the Insertion of Orthodontic Mini Implants at Mandibular Symphysis Region through Cone-Beam Computed Tomography" Diagnostics 12, no. 2: 285. https://doi.org/10.3390/diagnostics12020285
APA StyleZhang, S., Wei, X., Wang, L., Wu, Z., Liu, L., Yan, X., Lai, W., & Long, H. (2022). Evaluation of Optimal Sites for the Insertion of Orthodontic Mini Implants at Mandibular Symphysis Region through Cone-Beam Computed Tomography. Diagnostics, 12(2), 285. https://doi.org/10.3390/diagnostics12020285
