IL-6, IL-1RA and Resistin as Predictors of Left Ventricular Remodelling and Major Adverse Cardiac Events in Patients with Acute ST Elevation Myocardial Infarction
Abstract
1. Introduction
1.1. Interleukin 6 (IL-6)
1.2. Interleukin 1 Receptor Antagonist (IL-1RA)
1.3. Resistin
2. Materials and Methods
2.1. Study Subjects
2.2. Blood Sample Collection and Storage
2.3. Pro-Inflammatory Cytokines Assay
2.4. Echocardiography
2.5. Coronary Angiography
- (1)
- LV remodelling—defined as an increase of LVEDV by more than 20% at 6-month follow-up compared with baseline values;
- (2)
- MACE—defined as death, hospitalization for recurrent ischemia/reinfarction or hospitalization for HF that occurred during the 6 months of follow up. For accurate results, we asked our subjects to provide the hospital discharge papers at the 6 months follow up if hospital admission (in case of MACE) was required during the follow-up period.
2.6. Statistical Analysis
3. Results
3.1. Baseline Characteristics
3.2. Echocardiographic Parameters
3.3. Left Ventricular Remodelling
3.4. Cytokines Expression and LVR
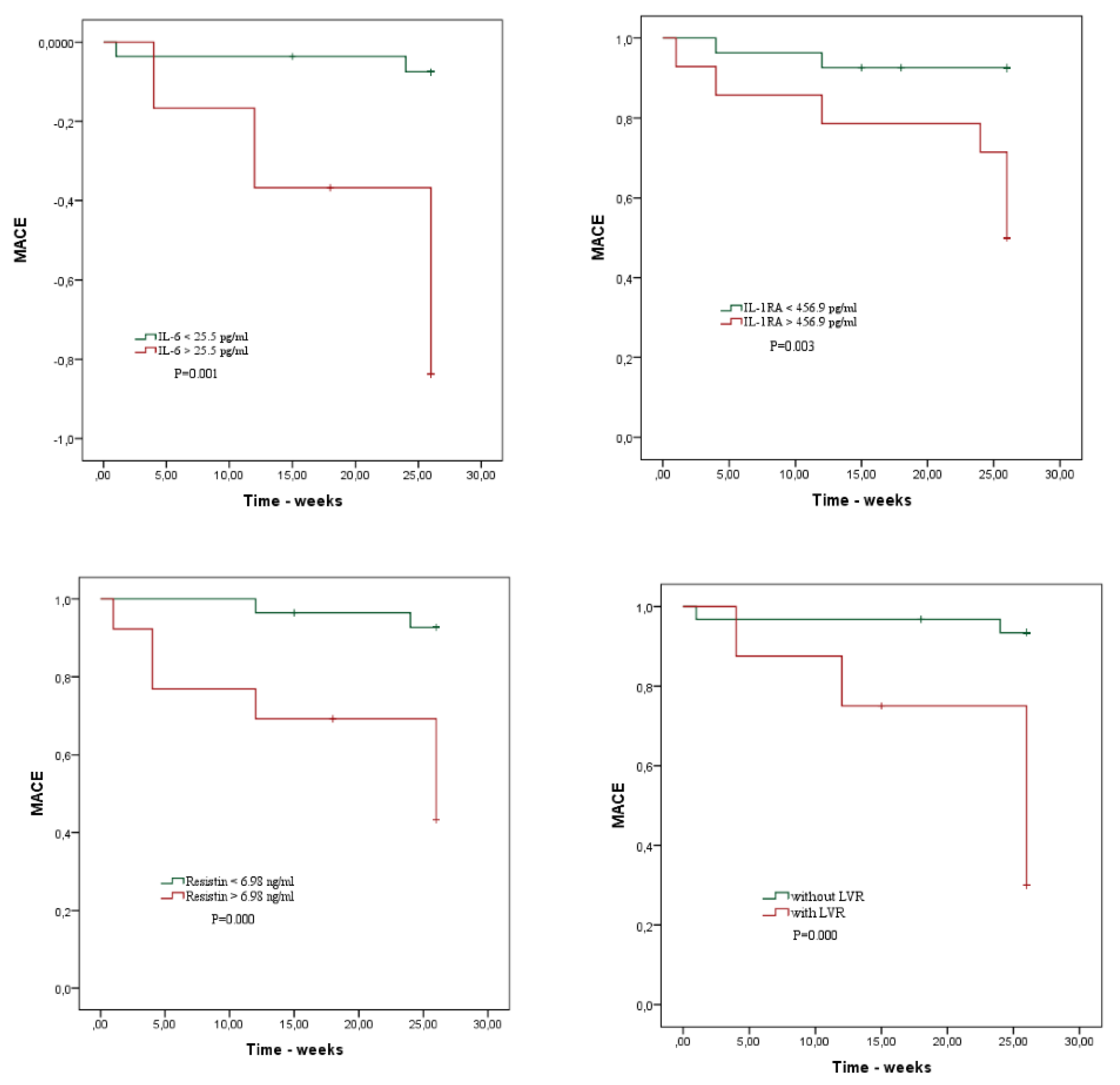
3.5. Clinical End Points—MACE
4. Discussion
4.1. IL-6
4.2. IL-1RA
4.3. Resistin
4.4. Cytokines as a Group
4.5. Limitations
5. Conclusions
Supplementary Materials
Author Contributions
Funding
Institutional Review Board Statement
Informed Consent Statement
Data Availability Statement
Conflicts of Interest
Abbreviations
| ACS | acute coronary syndrome |
| AMI | acute myocardial infarction |
| AUC | area under the curve |
| CAD | coronary artery disease |
| CI | confidence interval |
| CK-MB | Creatine kinase-MB |
| CMR | cardiac magnetic resonance |
| CRP | C reactive protein |
| EDTA | Ethylenediaminetetraacetic acid |
| ELISA | enzyme-linked immunosorbent assays |
| ERK/MAPK pathway | Extracellular signal-regulated kinase/mitogen-activated protein kinase |
| GDF-15 | Growth/Differentiation Factor 15 |
| GLS | global longitudinal strain |
| HF | heart failure |
| IL-10 | Interleukin 10 |
| IL-1RA | Interleukin 1 receptor antagonist |
| IL-1β | interleukin 1β |
| IL-6 | interleukin 6 |
| LAD | left anterior descending artery |
| LCX | left circumflex artery |
| LV | left ventricle |
| LVEDV | left ventricular end-diastolic volume |
| LVEF | left ventricular ejection fraction |
| LVESV | left ventricular end-systolic volume |
| LVR | left ventricular remodelling |
| MACE | major adverse cardiac events |
| NF-KB signalling | Nuclear Factor kappa B signalling |
| NSTEMI | non-ST elevation myocardial infarction |
| OR | odds ratio |
| PCI | percutaneous coronary intervention |
| RCA | right coronary artery |
| ROC | Receiver operating characteristic |
| Sen | Sensitivity |
| Sp | Specificity |
| STEMI | ST elevation myocardial infarction |
| TNFα | Tumour Necrosis Factor alpha |
| TRAIL-R2 | Tumour necrosis factor-related Apoptosis-Inducing Ligand receptor 2 |
| WBC | white blood count |
References
- Galli, A.; Lombardi, F. Postinfarct Left Ventricular Remodelling: A Prevailing Cause of Heart Failure. Cardiol. Res. Pract. 2016, 2016, 2579832. [Google Scholar] [CrossRef] [PubMed]
- Frangogiannis, N.G. Inflammation in cardiac injury, repair and regeneration. Curr. Opin. Cardiol. 2015, 30, 240–245. [Google Scholar] [CrossRef]
- Ong, S.-B.; Hernández-Reséndiz, S.; Crespo-Avilan, G.E.; Mukhametshina, R.T.; Kwek, X.-Y.; Cabrera-Fuentes, H.A.; Hausenloy, D.J. Inflammation following acute myocardial infarction: Multiple players, dynamic roles, and novel therapeutic opportunities. Pharmacol. Ther. 2018, 186, 73–87. [Google Scholar] [CrossRef] [PubMed]
- Park, Y.; Koh, J.S.; Lee, J.-H.; Park, J.-H.; Shin, E.-S.; Oh, J.H.; Chun, W.; Lee, S.Y.; Bae, J.-W.; Kim, J.S.; et al. Effect of Ticagrelor on Left Ventricular Remodeling in Patients With ST-Segment Elevation Myocardial Infarction (HEALING-AMI). JACC Cardiovasc. Interv. 2020, 13, 2220–2234. [Google Scholar] [CrossRef] [PubMed]
- Park, Y.; Tantry, U.S.; Koh, J.-S.; Ahn, J.-H.; Kang, M.G.; Kim, K.H.; Jang, J.Y.; Park, H.W.; Park, J.-R.; Hwang, S.-J.; et al. Novel role of platelet reactivity in adverse left ventricular remodelling after ST-segment elevation myocardial infarction: The REMODELING Trial. Thromb. Haemost. 2017, 117, 911–922. [Google Scholar] [CrossRef] [PubMed]
- Ørn, S.; Manhenke, C.; Ueland, T.; Damås, J.K.; Mollnes, T.E.; Edvardsen, T.; Aukrust, P.; Dickstein, K. C-reactive protein, infarct size, microvascular obstruction, and left-ventricular remodelling following acute myocardial infarction. Eur. Heart J. 2009, 30, 1180–1186. [Google Scholar] [CrossRef] [PubMed]
- Westman, P.C.; Lipinski, M.J.; Luger, D.; Waksman, R.; Bonow, R.O.; Wu, E.; Epstein, S.E. Inflammation as a Driver of Adverse Left Ventricular Remodeling After Acute Myocardial Infarction. J. Am. Coll. Cardiol. 2016, 67, 2050–2060. [Google Scholar] [CrossRef] [PubMed]
- Bartekova, M.; Radosinska, J.; Jelemensky, M.; Dhalla, N.S. Role of cytokines and inflammation in heart function during health and disease. Heart Fail. Rev. 2018, 23, 733–758. [Google Scholar] [CrossRef] [PubMed]
- Yudkin, J.S.; Kumari, M.; E Humphries, S.; Mohamed-Ali, V. Inflammation, obesity, stress and coronary heart disease: Is interleukin-6 the link? Atherosclerosis 2000, 148, 209–214. [Google Scholar] [CrossRef]
- Debrunner, M.; Schuiki, E.; Minder, E.; Straumann, E.; Naegeli, B.; Mury, R.; Bertel, O.; Frielingsdorf, J. Proinflammatory cytokines in acute myocardial infarction with and without cardiogenic shock. Clin. Res. Cardiol. 2007, 97, 298–305. [Google Scholar] [CrossRef]
- Seropian, I.M.; Sonnino, C.; Van Tassell, B.W.; Biasucci, L.M.; Abbate, A. Inflammatory markers in ST-elevation acute myocardial infarction. Eur. Heart J. Acute Cardiovasc. Care 2015, 5, 382–395. [Google Scholar] [CrossRef]
- Groot, H.E.; Al Ali, L.; Van der Horst, I.C.C.; Schurer, R.A.J.; Van der Werf, H.W.; Lipsic, E.; Van Veldhuisen, D.J.; Karper, J.C.; Van der Harst, P. Plasma interleukin 6 levels are associated with cardiac function after ST-elevation myocardial infarction. Clin. Res. Cardiol. 2019, 108, 612–621. [Google Scholar] [CrossRef] [PubMed]
- Wollert, K.C.; Drexler, H. The Role of Interleukin-6 in the Failing Heart. Heart Fail. Rev. 2001, 27–34. [Google Scholar] [CrossRef]
- Terrell, A.M.; Crisostomo, P.R.; Wairiuko, G.M.; Wang, M.; Morrell, E.D.; Meldrum, D.R. Jak/STAT/SOCS signaling circuits and associated cytokine-mediated inflammation and hypertrophy in the heart. Shock 2006, 26, 226–234. [Google Scholar] [CrossRef] [PubMed]
- Patti, G.; D’Ambrosio, A.; Mega, S.; Giorgi, G.; Zardi, E.M.; Zardi, D.M.; Dicuonzo, G.; Dobrina, A.; Di Sciascio, G. Early interleukin-1 receptor antagonist elevation in patients with acute myocardial infarction. J. Am. Coll. Cardiol. 2004, 43, 35–38. [Google Scholar] [CrossRef] [PubMed]
- Arend, W.P.; Guthridge, C.J. Biological role of interleukin 1 receptor antagonist isoforms. Ann. Rheum. Dis. 2000, 59, 60–64. [Google Scholar] [CrossRef]
- Schofer, N.; Ludwig, S.; Rübsamen, N.; Schnabel, R.; Lackner, K.J.; Ruprecht, H.J.; Bickel, C.; Landmesser, U.; Blankenberg, S.; Zeller, T. Prognostic impact of Interleukin-1 receptor antagonist in patients with documented coronary artery disease. Int. J. Cardiol. 2018, 257, 24–29. [Google Scholar] [CrossRef]
- Herder, C.; Gala, T.D.; Carstensen-Kirberg, M.; Huth, C.; Zierer, A.; Wahl, S.; Sudduth-Klinger, J.; Kuulasmaa, K.; Peretz, D.; Ligthart, S.; et al. Circulating Levels of Interleukin 1-Receptor Antagonist and Risk of Cardiovascular Disease: Meta-Analysis of Six Population-Based Cohorts. Arter. Thromb. Vasc. Biol. 2017, 37, 1222–1227. [Google Scholar] [CrossRef]
- Orrem, H.L.; Shetelig, C.; Ueland, T.; Limalanathan, S.; Nilsson, P.; Husebye, T.; Aukrust, P.; Seljeflot, I.; Hoffmann, P.; Eritsland, J.; et al. Soluble IL-1 receptor 2 is associated with left ventricular remodelling in patients with ST-elevation myocardial infarction. Int. J. Cardiol. 2018, 268, 187–192. [Google Scholar] [CrossRef]
- Bujak, M.; Frangogiannis, N.G. The role of IL-1 in the pathogenesis of heart disease. Arch. Immunol. et Ther. Exp. 2009, 57, 165–176. [Google Scholar] [CrossRef]
- Patti, G.; Mega, S.; Pasceri, V.; Nusca, A.; Giorgi, G.; Zardi, E.M.; D’Ambrosio, A.; Dobrina, A.; Di Sciascio, G. Interleukin-1 receptor antagonist levels correlate with extent of myocardial loss in patients with acute myocardial infarction. Clin. Cardiol. 2005, 28, 193–196. [Google Scholar] [CrossRef] [PubMed]
- Lubos, E.; Messow, C.-M.; Schnabel, R.; Rupprecht, H.J.; Espinola-Klein, C.; Bickel, C.; Peetz, D.; Post, F.; Lackner, K.J.; Tiret, L.; et al. Resistin, acute coronary syndrome and prognosis results from the AtheroGene study. Atherosclerosis 2007, 193, 121–128. [Google Scholar] [CrossRef] [PubMed]
- Bokarewa, M.; Nagaev, I.; Dahlberg, L.; Smith, U.; Tarkowski, A. Resistin, an Adipokine with Potent Proinflammatory Properties. J. Immunol. 2005, 174, 5789–5795. [Google Scholar] [CrossRef] [PubMed]
- Zhou, L.; Li, J.-Y.; He, P.-P.; Yu, X.-H.; Tang, C.-K. Resistin: Potential biomarker and therapeutic target in atherosclerosis. Clin. Chim. Acta 2020, 512, 84–91. [Google Scholar] [CrossRef] [PubMed]
- Kim, M.; Oh, J.K.; Sakata, S.; Liang, I.; Park, W.; Hajjar, R.J.; Lebeche, D. Role of resistin in cardiac contractility and hypertrophy. J. Mol. Cell. Cardiol. 2008, 45, 270–280. [Google Scholar] [CrossRef]
- Kang, S.; Chemaly, E.R.; Hajjar, R.J.; Lebeche, D. Resistin Promotes Cardiac Hypertrophy via the AMP-activated Protein Kinase/Mammalian Target of Rapamycin (AMPK/mTOR) and c-Jun N-terminal Kinase/Insulin Receptor Substrate 1 (JNK/IRS1) Pathways. J. Biol. Chem. 2011, 286, 18465–18473. [Google Scholar] [CrossRef]
- Liu, P.; Cheng, G.C.; Ye, Q.H.; Deng, Y.Z.; Wu, L. LKB1/AMPK pathway mediates resistin-induced cardiomyocyte hypertrophy in H9c2 embryonic rat cardiomyocytes. Biomed. Rep. 2016, 4, 387–391. [Google Scholar] [CrossRef]
- Puchałowicz, K.; Kłoda, K.; Dziedziejko, V.; Rać, M.; Wojtarowicz, A.; Chlubek, D.; Safranow, K. Association of Adiponectin, Leptin and Resistin Plasma Concentrations with Echocardiographic Parameters in Patients with Coronary Artery Disease. Diagnostics 2021, 11, 1774. [Google Scholar] [CrossRef]
- Chalikias, G.K.; Tziakas, D.N.; Kaski, J.C.; Kekes, A.; Hatzinikolaou, E.I.; Stakos, D.A.; Tentes, I.K.; Kortsaris, A.X.; Hatseras, D.I. Interleukin-18/interleukin-10 ratio is an independent predictor of recurrent coronary events during a 1-year follow-up in patients with acute coronary syndrome. Int. J. Cardiol. 2007, 117, 333–339. [Google Scholar] [CrossRef]
- Novo, G.; Bellia, C.; Fiore, M.; Bonomo, V.; Pugliesi, M.; Giovino, M.; Sasso, B.L.; Meraviglia, S.; Assennato, P.; Novo, S.; et al. A Risk Score Derived from the Analysis of a Cluster of 27 Serum Inflammatory Cytokines to Predict Long Term Outcome in Patients with Acute Myocardial Infarction: A Pilot Study. Ann. Clin. Lab. Sci. 2015, 45, 382–390. [Google Scholar] [PubMed]
- Kilic, T.; Ural, D.; Ural, E.; Yumuk, Z.; Agacdiken, A.; Sahin, T.; Kahraman, G.; Kozdag, G.; Vural, A.; Komsuoglu, B. Relation between proinflammatory to anti-inflammatory cytokine ratios and long-term prognosis in patients with non-ST elevation acute coronary syndrome. Heart 2006, 92, 1041–1046. [Google Scholar] [CrossRef] [PubMed]
- Kristono, G.A.; Holley, A.S.; Lakshman, P.; Brunton-O’Sullivan, M.M.; Harding, S.A.; Larsen, P.D. Association between inflammatory cytokines and long-term adverse outcomes in acute coronary syndromes: A systematic review. Heliyon 2020, 6, e03704. [Google Scholar] [CrossRef] [PubMed]
- Lang, R.M.; Badano, L.P.; Mor-Avi, V.; Afilalo, J.; Armstrong, A.; Ernande, L.; Flachskampf, F.A.; Foster, E.; Goldstein, S.A.; Kuznetsova, T.; et al. Recommendations for Cardiac Chamber Quantification by Echocardiography in Adults: An Update from the American Society of Echocardiography and the European Association of Cardiovascular Imaging. J. Am. Soc. Echocardiogr. 2015, 28, 1–39. [Google Scholar] [CrossRef]
- Mitchell, C.; Rahko, P.S.; Blauwet, L.A.; Canaday, B.; Finstuen, J.A.; Foster, M.C.; Horton, K.; Ogunyankin, K.O.; Palma, R.A.; Velazquez, E.J. Guidelines for Performing a Comprehensive Transthoracic Echocardiographic Examination in Adults: Recommendations from the American Society of Echocardiography. J. Am. Soc. Echocardiogr. 2019, 32, 1–64. [Google Scholar] [CrossRef]
- Ibanez, B.; James, S.; Agewall, S.; Antunes, M.J.; Bucciarelli-Ducci, C.; Bueno, H.; Caforio, A.L.P.; Crea, F.; Goudevenos, J.A.; Halvorsen, S.; et al. 2017 ESC Guidelines for the management of acute myocardial infarction in patients presenting with ST-segment elevation: The Task Force for the management of acute myocardial infarction in patients presenting with ST-segment elevation of the European Society of Cardiology (ESC). Eur. Heart J. 2018, 39, 119–177. [Google Scholar]
- Bulluck, H.; Go, Y.Y.; Crimi, G.; Ludman, A.J.; Rosmini, S.; Abdel-Gadir, A.; Bhuva, A.N.; Treibel, T.A.; Fontana, M.; Pica, S.; et al. Defining left ventricular remodeling following acute ST-segment elevation myocardial infarction using cardiovascular magnetic resonance. J. Cardiovasc. Magn. Reson. 2017, 19, 26. [Google Scholar] [CrossRef]
- Carrick, D.; Haig, C.; Rauhalammi, S.; Ahmed, N.; Mordi, I.; McEntegart, M.; Petrie, M.C.; Eteiba, H.; Lindsay, M.; Watkins, S.; et al. Pathophysiology of LV Remodeling in Survivors of STEMI: Inflammation, Remote Myocardium, and Prognosis. JACC Cardiovasc. Imaging 2015, 8, 779–789. [Google Scholar] [CrossRef] [PubMed]
- Bellis, A.; Di Gioia, G.; Mauro, C.; Mancusi, C.; Barbato, E.; Izzo, R.; Trimarco, B.; Morisco, C. Reducing Cardiac Injury during ST-Elevation Myocardial Infarction: A Reasoned Approach to a Multitarget Therapeutic Strategy. J. Clin. Med. 2021, 10, 2968. [Google Scholar] [CrossRef]
- Frangogiannis, N.; Smith, C.; Entman, M.L. The inflammatory response in myocardial infarction. Cardiovasc. Res. 2002, 53, 31–47. [Google Scholar] [CrossRef]
- Tiller, C.; Reindl, M.; Holzknecht, M.; Lechner, I.; Schwaiger, J.; Brenner, C.; Mayr, A.; Klug, G.; Bauer, A.; Metzler, B.; et al. Association of plasma interleukin-6 with infarct size, reperfusion injury, and adverse remodelling after ST-elevation myocardial infarction. Eur. Heart J. Acute Cardiovasc. Care 2021, zuab110. [Google Scholar] [CrossRef]
- Tan, J.; Hua, Q.; Gao, J.; Fan, Z.X. Clinical Implications of Elevated Serum Interleukin-6, Soluble CD40 Ligand, Metalloproteinase-9, and Tissue Inhibitor of Metalloproteinase-1 in Patients with Acute ST-segment Elevation Myocardial Infarction. Clin. Cardiol. 2008, 31, 413–418. [Google Scholar] [CrossRef] [PubMed]
- Ritschel, V.N.; Seljeflot, I.; Arnesen, H.; Halvorsen, S.; Weiss, T.; Eritsland, J.; Andersen, G. IL-6 signalling in patients with acute ST-elevation myocardial infarction. Results Immunol. 2013, 4, 8–13. [Google Scholar] [CrossRef] [PubMed]
- Kristono, G.A.; Holley, A.S.; Hally, K.E.; Brunton-O’Sullivan, M.M.; Shi, B.; Harding, S.A.; Larsen, P.D. An IL-6-IL-8 score derived from principal component analysis is predictive of adverse outcome in acute myocardial infarction. Cytokine X 2020, 2, 100037. [Google Scholar] [CrossRef] [PubMed]
- Skau, E.; Henriksen, E.; Wagner, P.; Hedberg, P.; Siegbahn, A.; Leppert, J. GDF-15 and TRAIL-R2 are powerful predictors of long-term mortality in patients with acute myocardial infarction. Eur. J. Prev. Cardiol. 2017, 24, 1576–1583. [Google Scholar] [CrossRef]
- Zhao, L.; Cheng, G.; Jin, R.; Afzal, M.R.; Samanta, A.; Xuan, Y.-T.; Girgis, M.; Elias, H.; Zhu, Y.; Davani, A.; et al. Deletion of Interleukin-6 Attenuates Pressure Overload-Induced Left Ventricular Hypertrophy and Dysfunction. Circ. Res. 2016, 118, 1918–1929. [Google Scholar] [CrossRef] [PubMed]
- Broch, K.; Anstensrud, A.K.; Woxholt, S.; Sharma, K.; Tøllefsen, I.M.; Bendz, B.; Aakhus, S.; Ueland, T.; Amundsen, B.H.; Damås, J.K.; et al. Randomized Trial of Interleukin-6 Receptor Inhibition in Patients with Acute ST-Segment Elevation Myocardial Infarction. J. Am. Coll. Cardiol. 2021, 77, 1845–1855. [Google Scholar] [CrossRef]
- Orn, S.; Ueland, T.; Manhenke, C.; Sandanger, O.; Godang, K.; Yndestad, A.; Mollnes, T.E.; Dickstein, K.; Aukrust, P. Increased interleukin-1beta levels are associated with left ventricular hypertrophy and remodelling following acute ST segment elevation myocardial infarction treated by primary percutaneous coronary intervention. J. Intern. Med. 2012, 272, 267–276. [Google Scholar] [CrossRef]
- Ridker, P.M.; Everett, B.M.; Thuren, T.; MacFadyen, J.G.; Chang, W.H.; Ballantyne, C.; Fonseca, F.; Nicolau, J.; Koenig, W.; Anker, S.D.; et al. Antiinflammatory Therapy with Canakinumab for Atherosclerotic Disease. N. Engl. J. Med. 2017, 377, 1119–1131. [Google Scholar] [CrossRef] [PubMed]
- Chu, S.; Ding, W.; Li, K.; Pang, Y.; Tang, C. Plasma Resistin Associated with Myocardium Injury in Patients with Acute Coronary Syndrome. Circ. J. 2008, 72, 1249–1253. [Google Scholar] [CrossRef][Green Version]
- Jurin, I.; Paić, F.; Bulimbašić, S.; Rudež, I.; Đerek, L.; Jurin, H.; Knežević, A.; Starcevic, B.; Ajduk, M. Association between Circulatory and Plaque Resistin Levels with Carotid Plaque Instability and Ischemic Stroke Events. Heart Surg. Forum 2018, 21, E448–E463. [Google Scholar] [CrossRef]
- Zuniga, M.C.; Raghuraman, G.; Zhou, W. Physiologic levels of resistin induce a shift from proliferation to apoptosis in macrophage and VSMC co-culture. Surgery 2018, 163, 906–911. [Google Scholar] [CrossRef] [PubMed]
- Hung, H.-F.; Wang, B.-W.; Chang, H.; Shyu, K.-G. The molecular regulation of resistin expression in cultured vascular smooth muscle cells under hypoxia. J. Hypertens. 2008, 26, 2349–2360. [Google Scholar] [CrossRef] [PubMed]
- Muse, E.D.; Feldman, D.; Blaha, M.J.; Dardari, Z.A.; Blumenthal, R.S.; Budoff, M.J.; Nasir, K.; Criqui, M.H.; Cushman, M.; McClelland, R.L.; et al. The association of resistin with cardiovascular disease in the Multi-Ethnic Study of Atherosclerosis. Atherosclerosis 2014, 239, 101–108. [Google Scholar] [CrossRef] [PubMed]
- Michalski, B.; Szymczyk, E.; Peczek, L.; Nawrot, B.; Kupczynska, K.; Krzemińska-Pakuła, M.; Peruga, J.Z.; Lipiec, P.; Kasprzak, J.D. The role of selected adipokines and ghrelin in the prognosis after myocardial infarction in a 12-month follow-up in the presence of metabolic syndrome. Arch. Med. Sci. 2017, 13, 785–794. [Google Scholar] [CrossRef]
- Erer, H.B.; Sayar, N.; Guvenc, T.S.; Aksaray, S.; Yilmaz, H.; Altay, S.; Turer, A.; Oz, T.K.; Karadeniz, F.O.; Oz, D.; et al. Prognostic value of serum resistin levels in patients with acute myocardial infarction. Kardiol. Pol. 2014, 72, 181–186. [Google Scholar] [CrossRef]
- Gao, J.; Chua, C.C.; Chen, Z.; Wang, H.; Xu, X.; Hamdy, R.C.; McMullen, J.R.; Shioi, T.; Izumo, S.; Chua, B.H. Resistin, an adipocytokine, offers protection against acute myocardial infarction. J. Mol. Cell. Cardiol. 2007, 43, 601–609. [Google Scholar] [CrossRef]
- Buono, F.; Spinelli, L.; Giallauria, F.; di Panzillo, E.A.; Di Marino, S.; Ferrara, F.; Vigorito, C.; Trimarco, B.; Morisco, C. Usefulness of Satisfactory Control of Low-Density Lipoprotein Cholesterol to Predict Left Ventricular Remodeling After a First ST-Elevation Myocardial Infarction Successfully Reperfused. Am. J. Cardiol. 2011, 107, 1772–1778. [Google Scholar] [CrossRef] [PubMed]
- Niccoli, G.; Scalone, G.; Lerman, A.; Crea, F. Coronary microvascular obstruction in acute myocardial infarction. Eur. Heart J. 2015, 37, 1024–1033. [Google Scholar] [CrossRef] [PubMed]




| Study Population (n = 41) | LVR (n = 9) | Without LVR (n = 30) | p Value | |
|---|---|---|---|---|
| Clinical characteristics | ||||
| Age (years) | 49.1 ± 9.34 | 49.38 ± 11.5 | 49.06 ± 9.14 | 0.936 |
| Cardiovascular risk factors | ||||
| Smoking | 85.4% | 20.6% | 79.4% | 0.976 |
| Obesity | 22% | 22.2% | 77.8% | 0.885 |
| Hypertension | 46.3% | 11.8% | 88.2% | 0.234 |
| Dyslipidaemia | 75.6% | 17.2% | 82.8% | 0.389 |
| Diabetes | 17.1% | 33.3% | 66.7% | 0.398 |
| Metabolic syndrome | 12.2% | 40% | 17.6% | 0.248 |
| Clinical presentation | ||||
| Killip class ≥ 2 | 17% | 100% | 0% | 0.000 |
| Angiographic characteristics | ||||
| LAD | 51.2% | 71.4% | 43.8% | 0.55 |
| RCA | 39% | 28.6% | 43.8% | |
| LCX | 7.3% | 0% | 12.4% | |
| Multivessel CAD | 36.6% | 13.3% | 86.7% | 0.380 |
| Occluded artery | 58.5% | 26.1% | 73.9% | 0.301 |
| PCI over 12 h | 15% | 37.5% | 62.5% | 0.182 |
| Laboratory characteristics | ||||
| WBC count, × 103/mm3 | 11,260 ± 3628 | 15,762.85 ± 3674.59 | 9710.93 ± 2092.57 | 0.002 |
| Haemoglobin, g/dL | 14.06 ± 1.44 | 13 ± 0.97 | 14.49 ± 1.44 | 0.014 |
| Creatinine (mg/dL) | 0.83 ± 0.23 | 0.89 ± 0.38 | 0.8 ± 0.15 | 0.55 |
| Glycemia (mg/dL) | 118.02 ± 38.62 | 153.50 ± 53.58 | 107.66 ± 28.9 | 0.002 |
| Cholesterol (mg/dL) | 217.21 ± 64.36 | 211.00 ± 72.29 | 219.04 ± 65.26 | 0.76 |
| Triglycerides (mg/dL) | 202.37 ± 181.288 | 236.50 ± 300.255 | 199.04 ± 143.85 | 0.62 |
| Peak CK-MB (U/L) | 251.58 ± 211.26 | 403.75 ± 183.77 | 182.77 ± 119.011 | 0.000 |
| Follow up | ||||
| MACE | 22% | 28.6% | 71.4% | 0.002 |
| Ventricular arrhythmias | 7.3% | 100% | 0% | 0.046 |
| Atrial fibrillation | 7.3% | 33.3% | 66.7% | 0.101 |
| Population | LVR (n = 9) | Without LVR (n = 31) | p Value | |
|---|---|---|---|---|
| 2D LVEDV (ml) | 107.29 ± 38.9 | 116.0 ± 32.43 | 103.32 ± 41.24 | 0.426 |
| 2D LVESV (ml) | 66.41 ± 35.45 | 82.25 ± 27.05 | 60.48 ± 36.53 | 0.125 |
| 2D LVEF (%) | 39.85 ± 8.9 | 29.62 ± 4.13 | 43.16 ± 7.03 | 0.000 |
| 3D LVEDV (ml) | 114.63 ± 33.37 | 120.00 ± 31.27 | 112.22 ± 34.49 | 0.571 |
| 3D LVESV (ml) | 70.09 ± 28.34 | 84.37 ± 25.47 | 64.87 ± 27.97 | 0.082 |
| 3D LVEF (%) | 40.02 ± 8.05 | 30.37 ± 3.88 | 43.25 ± 5.97 | 0.000 |
| LV GLS | −12.44 ± 4.17 | −8.02 ± 1.83 | −14.01 ± 3.4 | 0.000 |
| LV mechanical dispersion | 65.94 ± 24.4 | 101.57 ± 20.77 | 53.77 ± 10.21 | 0.000 |
| E/e’ (LV filling pressure) | 9.05 ± 3.04 | 12.61 ± 1.7 | 8.34 ± 2.44 | 0.000 |
| Parameters | OR | p-Value | |
|---|---|---|---|
| Clinical characteristics | Age | 1.006 | 0.888 |
| KILLIP class | 31.011 | 0.007 | |
| Parameters of LV function | 2D LVEF | 0.752 | 0.005 |
| GLS LV | 1.791 | 0.005 | |
| LV mechanical dispersion | 1.068 | 0.005 | |
| 3D LVEF | 0.615 | 0.009 | |
| E/e’ ratio | 2.17 | 0.002 | |
| Biological parameters | CK-MB max | 1.012 | 0.009 |
| Leukocytes | 1.002 | 0.030 | |
| Haemoglobin | 0.490 | 0.025 | |
| Glycemia | 1.028 | 0.020 |
| Chi-Square | Wald | OR | p-Value | |
|---|---|---|---|---|
| IL-6 | 19.005 | 8.094 | 1.042 | 0.004 |
| IL-1RA | 20.199 | 3.7 | 1.004 | 0.05 |
| Resistin | 11.813 | 7.26 | 1.7 | 0.007 |
| AUC | Cut-off Value | Sensitivity (%) | Specificity (%) | p-Value | |
|---|---|---|---|---|---|
| IL-6 (pg/mL) | 0.940 | 34.8 | 87.5 | 96.8 | 0.000 |
| IL1-RA (pg/mL) | 0.859 | 806.79 | 75 | 96.8 | 0.002 |
| Resistin (ng/mL) | 0.825 | 6.9 | 75 | 80 | 0.005 |
| Combination of cytokines | 0.946 | 0.000 |
| Univariate Regression Analysis | COX Multivariate Regression Analysis | ||||||
|---|---|---|---|---|---|---|---|
| Chi-Square | Wald | OR | p-Value | Wald | p-Value | Chi-Square for Model | |
| IL-6 | 12.142 | 7.87 | 1.027 | 0.005 | 7.304 | 0.007 | 20.289 p value 0.000 |
| IL-1RA | 10.919 | 6.152 | 1.002 | 0.013 | 3.985 | 0.046 | |
| Resistin | 13.551 | 8.39 | 1.704 | 0.004 | 5.366 | 0.021 | |
| Cytokines | AUC | Cut-off Value | Sensitivity (%) | Specificity (%) | p-Value |
|---|---|---|---|---|---|
| IL-6 pg/ml | 0.852 | 25.5 | 87.7 | 81.2 | 0.001 |
| IL1-RA pg/ml | 0.814 | 456.9 | 77.8 | 75% | 0.004 |
| Resistin ng/ml | 0.842 | 6.98 | 77.8 | 80.6% | 0.002 |
| Predicted probability of the combination of cytokines | 0.875 | 0.000 |
Publisher’s Note: MDPI stays neutral with regard to jurisdictional claims in published maps and institutional affiliations. |
© 2022 by the authors. Licensee MDPI, Basel, Switzerland. This article is an open access article distributed under the terms and conditions of the Creative Commons Attribution (CC BY) license (https://creativecommons.org/licenses/by/4.0/).
Share and Cite
Scărlătescu, A.I.; Micheu, M.M.; Popa-Fotea, N.; Pascal, A.M.; Mihail, A.M.; Petre, I.; Deaconu, S.; Vîjîiac, A.; Dorobanțu, M. IL-6, IL-1RA and Resistin as Predictors of Left Ventricular Remodelling and Major Adverse Cardiac Events in Patients with Acute ST Elevation Myocardial Infarction. Diagnostics 2022, 12, 266. https://doi.org/10.3390/diagnostics12020266
Scărlătescu AI, Micheu MM, Popa-Fotea N, Pascal AM, Mihail AM, Petre I, Deaconu S, Vîjîiac A, Dorobanțu M. IL-6, IL-1RA and Resistin as Predictors of Left Ventricular Remodelling and Major Adverse Cardiac Events in Patients with Acute ST Elevation Myocardial Infarction. Diagnostics. 2022; 12(2):266. https://doi.org/10.3390/diagnostics12020266
Chicago/Turabian StyleScărlătescu, Alina Ioana, Miruna Mihaela Micheu, Nicoleta Popa-Fotea, Ana Maria Pascal, Ana Maria Mihail, Ioana Petre, Silvia Deaconu, Aura Vîjîiac, and Maria Dorobanțu. 2022. "IL-6, IL-1RA and Resistin as Predictors of Left Ventricular Remodelling and Major Adverse Cardiac Events in Patients with Acute ST Elevation Myocardial Infarction" Diagnostics 12, no. 2: 266. https://doi.org/10.3390/diagnostics12020266
APA StyleScărlătescu, A. I., Micheu, M. M., Popa-Fotea, N., Pascal, A. M., Mihail, A. M., Petre, I., Deaconu, S., Vîjîiac, A., & Dorobanțu, M. (2022). IL-6, IL-1RA and Resistin as Predictors of Left Ventricular Remodelling and Major Adverse Cardiac Events in Patients with Acute ST Elevation Myocardial Infarction. Diagnostics, 12(2), 266. https://doi.org/10.3390/diagnostics12020266

