Prognostic Nutritional Index, Controlling Nutritional Status (CONUT) Score, and Inflammatory Biomarkers as Predictors of Deep Vein Thrombosis, Acute Pulmonary Embolism, and Mortality in COVID-19 Patients
Abstract
1. Introduction
2. Materials and Methods
2.1. Study Design
2.2. Data Collection
2.3. Nutritional and Inflammatory Markers
2.4. Study Outcomes
2.5. Deep Vein Thrombosis and Acute Pulmonary Embolism Diagnostics
2.6. Statistical Analysis
3. Results
4. Discussion
5. Conclusions
Author Contributions
Funding
Institutional Review Board Statement
Informed Consent Statement
Data Availability Statement
Acknowledgments
Conflicts of Interest
References
- COVID Live—Coronavirus Statistics—Worldometer. Available online: https://www.worldometers.info/coronavirus/ (accessed on 16 October 2022).
- Mureșan, A.V.; Russu, E.; Arbănași, E.M.; Kaller, R.; Hosu, I.; Arbănași, E.M.; Voidăzan, S.T. Negative Impact of the COVID-19 Pandemic on Kidney Disease Management—A Single-Center Experience in Romania. J. Clin. Med. 2022, 11, 2452. [Google Scholar] [CrossRef] [PubMed]
- Emil-Marian, A.; Reka, K.; Adrian, M.V.; Septimiu, V.; Eliza-Mihaela, A.; Eliza, R. Impact of COVID-19 pandemic on Vascular Surgery Unit activity in Central Romania. Front. Surg. 2022, 9. [Google Scholar] [CrossRef] [PubMed]
- Zaim, S.; Chong, J.H.; Sankaranarayanan, V.; Harky, A. COVID-19 and Multiorgan Response. Curr. Probl. Cardiol. 2020, 45, 100618. [Google Scholar] [CrossRef] [PubMed]
- Rodrigues, T.S.; de Sá, K.S.; Ishimoto, A.Y.; Becerra, A.; Oliveira, S.; Almeida, L.; Gonçalves, A.V.; Perucello, D.B.; Andrade, W.A.; Castro, R.; et al. Inflammasomes are activated in response to SARS-CoV-2 infection and are associated with COVID-19 severity in patients. J. Exp. Med. 2020, 218, e20201707. [Google Scholar] [CrossRef] [PubMed]
- Li, J.; Huang, D.Q.; Zou, B.; Yang, H.; Hui, W.Z.; Rui, F.; Yee, N.T.S.; Liu, C.; Nerurkar, S.N.; Kai, J.C.Y.; et al. Epidemiology of COVID-19: A systematic review and meta-analysis of clinical characteristics, risk factors, and outcomes. J. Med. Virol. 2021, 93, 1449–1458. [Google Scholar] [CrossRef]
- Petrilli, C.M.; Jones, S.A.; Yang, J.; Rajagopalan, H.; O’Donnell, L.; Chernyak, Y.; Tobin, K.A.; Cerfolio, R.J.; Francois, F.; Horwitz, L.I. Factors associated with hospital admission and critical illness among 5279 people with coronavirus disease 2019 in New York City: Prospective cohort study. BMJ 2020, 369, m1966. [Google Scholar] [CrossRef]
- Gao, Y.-D.; Ding, M.; Dong, X.; Zhang, J.-J.; Azkur, A.K.; Azkur, D.; Gan, H.; Sun, Y.-L.; Fu, W.; Li, W.; et al. Risk factors for severe and critically ill COVID-19 patients: A review. Allergy 2021, 76, 428–455. [Google Scholar] [CrossRef]
- Guan, W.J.; Ni, Z.Y.; Hu, Y.; Liang, W.H.; Qu, C.Q.; He, J.X.; Liu, L.; Shan, H.; Lei, C.L.; Hui, D.S.C.; et al. Clinical Characteristics of coronavirus disease 2019 in China. N. Engl. J. Med. 2020, 382, 1708–1720. [Google Scholar] [CrossRef]
- Alhazzani, W.; Evans, L.; Alshamsi, F.; Møller, M.H.; Ostermann, M.; Prescott, H.C.; Arabi, Y.M.; Loeb, M.; Gong, M.N.; Fan, E.; et al. Surviving Sepsis Campaign Guidelines on the Management of Adults with Coronavirus Disease 2019 (COVID-19) in the ICU: First Update. Crit. Care Med. 2021, 49, e219–e234. [Google Scholar] [CrossRef]
- López-Collazo, E.; Avendaño-Ortiz, J.; Martín-Quirós, A.; Aguirre, L.A. Immune Response and COVID-19: A mirror image of Sepsis. Int. J. Biol. Sci. 2020, 16, 2479–2489. [Google Scholar] [CrossRef]
- Klok, F.A.; Kruip, M.J.H.A.; van der Meer, N.J.M.; Arbous, M.S.; Gommers, D.A.M.P.J.; Kant, K.M.; Kaptein, F.H.J.; van Paassen, J.; Stals, M.A.M.; Huisman, M.V.; et al. Incidence of thrombotic complications in critically ill ICU patients with COVID-19. Thromb. Res. 2020, 191, 145–147. [Google Scholar] [CrossRef] [PubMed]
- Cui, S.; Chen, S.; Li, X.; Liu, S.; Wang, F. Prevalence of venous thromboembolism in patients with severe novel coronavirus pneumonia. J. Thromb. Haemost. 2020, 18, 1421–1424. [Google Scholar] [CrossRef] [PubMed]
- Jenner, W.J.; Gorog, D.A. Incidence of thrombotic complications in COVID-19. J. Thromb. Thrombolysis 2021, 52, 999–1006. [Google Scholar] [CrossRef] [PubMed]
- Middeldorp, S.; Coppens, M.; Van Haaps, T.F.; Foppen, M.; Vlaar, A.P.; Müller, M.C.A.; Bouman, C.C.S.; Beenen, L.F.M.; Kootte, R.S.; Heijmans, J.; et al. Incidence of venous thromboembolism in hospitalized patients with COVID-19. J. Thromb. Haemost. 2020, 18, 1995–2002. [Google Scholar] [CrossRef]
- Llitjos, J.-F.; Leclerc, M.; Chochois, C.; Monsallier, J.-M.; Ramakers, M.; Auvray, M.; Merouani, K. High incidence of venous thromboembolic events in anticoagulated severe COVID-19 patients. J. Thromb. Haemost. 2020, 18, 1743–1746. [Google Scholar] [CrossRef]
- Kaptein, F.; Stals, M.; Grootenboers, M.; Braken, S.; Burggraaf, J.; van Bussel, B.; Cannegieter, S.; Cate, H.T.; Endeman, H.; Gommers, D.; et al. Incidence of thrombotic complications and overall survival in hospitalized patients with COVID-19 in the second and first wave. Thromb. Res. 2021, 199, 143–148. [Google Scholar] [CrossRef]
- Stals, M.A.M.; Grootenboers, M.J.J.H.; van Guldener, C.; Kaptein, F.H.J.; Braken, S.J.E.; Chen, Q.; Chu, G.; van Driel, E.M.; Iglesias del Sol, A.I.; de Jonge, E.; et al. Risk of thrombotic complications in influenza versus COVID-19 hospitalized patients. Res. Pract. Thromb. Haemost. 2021, 5, 412–420. [Google Scholar] [CrossRef]
- Al-Samkari, H.; Leaf, R.S.K.; Dzik, W.H.; Carlson, J.C.T.; Fogerty, A.E.; Waheed, A.; Goodarzi, K.; Bendapudi, P.K.; Bornikova, L.; Gupta, S.; et al. COVID-19 and coagulation: Bleeding and thrombotic manifestations of SARS-CoV-2 infection. Blood 2020, 136, 489–500. [Google Scholar] [CrossRef]
- Helms, J.; Tacquard, C.; Severac, F.; Leonard-Lorant, I.; Ohana, M.; Delabranche, X.; Merdji, H.; Clere-Jehl, R.; Schenck, M.; Gandet, F.F.; et al. High risk of thrombosis in patients with severe SARS-CoV-2 infection: A multicenter prospective cohort study. Intensive Care Med. 2020, 46, 1089–1098. [Google Scholar] [CrossRef]
- Jiménez, D.; García-Sanchez, A.; Rali, P.; Muriel, A.; Bikdeli, B.; Ruiz-Artacho, P.; Le Mao, R.; Rodríguez, C.; Hunt, B.J.; Monreal, M. Incidence of VTE and Bleeding Among Hospitalized Patients with Coronavirus Disease 2019: A Systematic Review and Meta-Analysis. Chest 2020, 159, 1182–1196. [Google Scholar] [CrossRef]
- Suh, Y.J.; Hong, H.; Ohana, M.; Bompard, F.; Revel, M.-P.; Valle, C.; Gervaise, A.; Poissy, J.; Susen, S.; Hékimian, G.; et al. Pulmonary Embolism and Deep Vein Thrombosis in COVID-19: A Systematic Review and Meta-Analysis. Radiology 2021, 298, E70–E80. [Google Scholar] [CrossRef] [PubMed]
- Lodigiani, C.; Iapichino, G.; Carenzo, L.; Cecconi, M.; Ferrazzi, P.; Sebastian, T.; Kucher, N.; Studt, J.-D.; Sacco, C.; Bertuzzi, A.; et al. Venous and arterial thromboembolic complications in COVID-19 patients admitted to an academic hospital in Milan, Italy. Thromb. Res. 2020, 191, 9–14. [Google Scholar] [CrossRef] [PubMed]
- Klok, F.A.; Kruip, M.J.H.A.; van der Meer, N.J.M.; Arbous, M.S.; Gommers, D.; Kant, K.M.; Kaptein, F.H.J.; van Paassen, J.; Stals, M.A.M.; Huisman, M.V.; et al. Confirmation of the high cumulative incidence of thrombotic complications in critically ill ICU patients with COVID-19: An updated analysis. Thromb. Res. 2020, 191, 148–150. [Google Scholar] [CrossRef] [PubMed]
- Chocron, R.; Duceau, B.; Gendron, N.; Ezzouhairi, N.; Khider, L.; Trimaille, A.; Goudot, G.; Weizman, O.; Alsac, J.M.; Pommier, T.; et al. D-dimer at hospital admission for COVID-19 are associated with in-hospital mortality, independent of venous thromboembolism: Insights from a French multicenter cohort study. Arch. Cardiovasc. Dis. 2021, 114, 381–393. [Google Scholar] [CrossRef] [PubMed]
- Zhang, L.; Yan, X.; Fan, Q.; Liu, H.; Liu, X.; Liu, Z.; Zhang, Z. D-dimer levels on admission to predict in-hospital mortality in patients with COVID-19. J. Thromb. Haemost. 2020, 18, 1324–1329. [Google Scholar] [CrossRef]
- Zhou, F.; Yu, T.; Du, R.; Fan, G.; Liu, Y.; Liu, Z.; Xiang, J.; Wang, Y.; Song, B.; Gu, X.; et al. Clinical course and risk factors for mortality of adult inpatients with COVID-19 in Wuhan, China: A retrospective cohort study. Lancet 2020, 395, 1054–1062. [Google Scholar] [CrossRef]
- Tang, N.; Li, D.; Wang, X.; Sun, Z. Abnormal Coagulation parameters are associated with poor prognosis in patients with novel coronavirus pneumonia. J. Thromb. Haemost. 2020, 18, 844–847. [Google Scholar] [CrossRef]
- Kwee, R.M.; Adams, H.J.A.; Kwee, T.C. Pulmonary embolism in patients with COVID-19 and value of D-dimer assessment: A meta-analysis. Eur. Radiol. 2021, 31, 8168–8186. [Google Scholar] [CrossRef]
- Ranucci, M.; Ballotta, A.; Di Dedda, U.; Baryshnikova, E.; Poli, M.D.; Resta, M.; Falco, M.; Albano, G.; Menicanti, L. The procoagulant pattern of patients with COVID-19 acute respiratory distress syndrome. J. Thromb. Haemost. 2020, 18, 1747–1751. [Google Scholar] [CrossRef]
- Cipolloni, L.; Sessa, F.; Bertozzi, G.; Baldari, B.; Cantatore, S.; Testi, R.; D’Errico, S.; Di Mizio, G.; Asmundo, A.; Castorina, S.; et al. Preliminary Post-Mortem COVID-19 Evidence of Endothelial Injury and Factor VIII Hyperexpression. Diagnostics 2020, 10, 575. [Google Scholar] [CrossRef]
- Pasqui, E.; de Donato, G.; Lazzeri, E.; Molino, C.; Galzerano, G.; Giubbolini, M.; Palasciano, G. High Neutrophil-to-Lymphocyte and Platelet-to-Lymphocyte Ratios Are Associated with a Higher Risk of Hemodialysis Vascular Access Failure. Biomedicines 2022, 10, 2218. [Google Scholar] [CrossRef] [PubMed]
- Kaller, R.; Arbănași, E.M.; Mureșan, A.V.; Voidăzan, S.; Arbănași, E.M.; Horváth, E.; Suciu, B.A.; Hosu, I.; Halmaciu, I.; Brinzaniuc, K.; et al. The Predictive Value of Systemic Inflammatory Markers, the Prognostic Nutritional Index, and Measured Vessels’ Diameters in Arteriovenous Fistula Maturation Failure. Life 2022, 12, 1447. [Google Scholar] [CrossRef] [PubMed]
- Mureșan, A.V.; Russu, E.; Arbănași, E.M.; Kaller, R.; Hosu, I.; Arbănași, E.M.; Voidăzan, S.T. The Predictive Value of NLR, MLR, and PLR in the Outcome of End-Stage Kidney Disease Patients. Biomedicines 2022, 10, 1272. [Google Scholar] [CrossRef] [PubMed]
- Arbănași, E.M.; Mureșan, A.V.; Coșarcă, C.M.; Kaller, R.; Bud, T.I.; Hosu, I.; Voidăzan, S.T.; Arbănași, E.M.; Russu, E. Neutrophil-to-Lymphocyte Ratio and Platelet-to-Lymphocyte Ratio Impact on Predicting Outcomes in Patients with Acute Limb Ischemia. Life 2022, 12, 822. [Google Scholar] [CrossRef] [PubMed]
- Taurino, M.; Aloisi, F.; Del Porto, F.; Nespola, M.; Dezi, T.; Pranteda, C.; Rizzo, L.; Sirignano, P. Neutrophil-to-Lymphocyte Ratio Could Predict Outcome in Patients Presenting with Acute Limb Ischemia. J. Clin. Med. 2021, 10, 4343. [Google Scholar] [CrossRef] [PubMed]
- Drugescu, A.; Roca, M.; Zota, I.M.; Costache, A.-D.; Gavril, O.I.; Gavril, R.S.; Vasilcu, T.F.; Mitu, O.; Esanu, I.M.; Roca, I.-C.; et al. Value of the Neutrophil to Lymphocyte Ratio and Platelet to Lymphocyte Ratio in Predicting CPET Performance in Patients with Stable CAD and Recent Elective PCI. Med. Kaunas Lith. 2022, 58, 814. [Google Scholar] [CrossRef]
- Efros, O.; Halevi, T.B.; Meisel, E.; Soffer, S.; Barda, N.; Cohen, O.; Kenet, G.; Lubetsky, A. The Prognostic Role of Neutrophil-to-Lymphocyte Ratio in Patients Hospitalized with Acute Pulmonary Embolism. J. Clin. Med. 2021, 10, 4058. [Google Scholar] [CrossRef]
- Strazzulla, A.; Ben Halima, S.A.; Chouchane, I.; Rezek, M.; Stiebler, M.P.; Hamrouni, S.; Maalaoui, M.; Ghriss, N.; Guedec-Ghelfi, R.; Moini, C.; et al. The Predictive Value of Cell Blood Count Parameters to Diagnose Pulmonary Embolism in Patients with SARS-CoV-2 Infection: A Case Control Study. Antibiotics 2022, 11, 60. [Google Scholar] [CrossRef]
- Arbănași, E.M.; Mureșan, A.V.; Arbănași, E.M.; Kaller, R.; Cojocaru, I.I.; Coșarcă, C.M.; Russu, E. The Neutrophil-to-Lymphocyte Ratio’s Predictive Utility in Acute Pulmonary Embolism: Systematic Review. J. Cardiovasc. Emergencies 2022, 8, 25–30. [Google Scholar] [CrossRef]
- Tomioka-Inagawa, R.; Nakane, K.; Enomoto, T.; Tomioka, M.; Taniguchi, T.; Ishida, T.; Ozawa, K.; Takagi, K.; Ito, H.; Takeuchi, S.; et al. The Impact of Neutrophil-to-Lymphocyte Ratio after Two Courses of Pembrolizumab for Oncological Outcomes in Patients with Metastatic Urothelial Carcinoma. Biomedicines 2022, 10, 1609. [Google Scholar] [CrossRef]
- Ginesu, G.C.; Paliogiannis, P.; Feo, C.F.; Cossu, M.L.; Scanu, A.M.; Fancellu, A.; Fois, A.G.; Zinellu, A.; Perra, T.; Veneroni, S.; et al. Inflammatory Indexes as Predictive Biomarkers of Postoperative Complications in Oncological Thoracic Surgery. Curr. Oncol. Tor. Ont. 2022, 29, 3425–3432. [Google Scholar] [CrossRef] [PubMed]
- Iinuma, K.; Enomoto, T.; Kawada, K.; Fujimoto, S.; Ishida, T.; Takagi, K.; Nagai, S.; Ito, H.; Kawase, M.; Nakai, C.; et al. Utility of Neutrophil-to-Lymphocyte Ratio, Platelet-to-Lymphocyte Ratio, and Systemic Immune Inflammation Index as Prognostic, Predictive Biomarkers in Patients with Metastatic Renal Cell Carcinoma Treated with Nivolumab and Ipilimumab. J. Clin. Med. 2021, 10, 5325. [Google Scholar] [CrossRef] [PubMed]
- Gawiński, C.; Michalski, W.; Mróz, A.; Wyrwicz, L. Correlation between Lymphocyte-to-Monocyte Ratio (LMR), Neutrophil-to-Lymphocyte Ratio (NLR), Platelet-to-Lymphocyte Ratio (PLR) and Tumor-Infiltrating Lymphocytes (TILs) in Left-Sided Colorectal Cancer Patients. Biology 2022, 11, 385. [Google Scholar] [CrossRef] [PubMed]
- Halmaciu, I.; Arbănași, E.M.; Kaller, R.; Mureșan, A.V.; Arbănași, E.M.; Bacalbasa, N.; Suciu, B.A.; Cojocaru, I.I.; Runcan, A.I.; Grosu, F.; et al. Chest CT Severity Score and Systemic Inflammatory Biomarkers as Predictors of the Need for Invasive Mechanical Ventilation and of COVID-19 Patients’ Mortality. Diagnostics 2022, 12, 2089. [Google Scholar] [CrossRef] [PubMed]
- Arbănași, E.M.; Halmaciu, I.; Kaller, R.; Mureșan, A.V.; Arbănași, E.M.; Suciu, B.A.; Coșarcă, C.M.; Cojocaru, I.I.; Melinte, R.M.; Russu, E. Systemic Inflammatory Biomarkers and Chest CT Findings as Predictors of Acute Limb Ischemia Risk, Intensive Care Unit Admission, and Mortality in COVID-19 Patients. Diagnostics 2022, 12, 2379. [Google Scholar] [CrossRef]
- Parthasarathi, A.; Padukudru, S.; Arunachal, S.; Basavaraj, C.K.; Krishna, M.T.; Ganguly, K.; Upadhyay, S.; Anand, M.P. The Role of Neutrophil-to-Lymphocyte Ratio in Risk Stratification and Prognostication of COVID-19: A Systematic Review and Meta-Analysis. Vaccines 2022, 10, 1233. [Google Scholar] [CrossRef]
- Citu, C.; Gorun, O.M.; Motoc, A.; Citu, I.M.; Gorun, F.; Malita, D. Correlation of Lung Damage on CT Scan with Laboratory Inflammatory Markers in COVID-19 Patients: A Single-Center Study from Romania. J. Clin. Med. 2022, 11, 4299. [Google Scholar] [CrossRef]
- Cocoş, R.; Mahler, B.; Turcu-Stiolica, A.; Stoichiță, A.; Ghinet, A.; Shelby, E.-S.; Bohîlțea, L.C. Risk of Death in Comorbidity Subgroups of Hospitalized COVID-19 Patients Inferred by Routine Laboratory Markers of Systemic Inflammation on Admission: A Retrospective Study. Viruses 2022, 14, 1201. [Google Scholar] [CrossRef]
- Regolo, M.; Vaccaro, M.; Sorce, A.; Stancanelli, B.; Colaci, M.; Natoli, G.; Russo, M.; Alessandria, I.; Motta, M.; Santangelo, N.; et al. Neutrophil-to-Lymphocyte Ratio (NLR) Is a Promising Predictor of Mortality and Admission to Intensive Care Unit of COVID-19 Patients. J. Clin. Med. 2022, 11, 2235. [Google Scholar] [CrossRef]
- Kudlinski, B.; Zgoła, D.; Stolińska, M.; Murkos, M.; Kania, J.; Nowak, P.; Noga, A.; Wojciech, M.; Zaborniak, G.; Zembron-Lacny, A. Systemic Inflammatory Predictors of In-Hospital Mortality in COVID-19 Patients: A Retrospective Study. Diagnostics 2022, 12, 859. [Google Scholar] [CrossRef]
- Hung, K.-C.; Ko, C.-C.; Wang, L.-K.; Liu, P.-H.; Chen, I.-W.; Huang, Y.-T.; Sun, C.-K. Association of Prognostic Nutritional Index with Severity and Mortality of Hospitalized Patients with COVID-19: A Systematic Review and Meta-Analysis. Diagnostics 2022, 12, 1515. [Google Scholar] [CrossRef] [PubMed]
- Bodolea, C.; Nemes, A.; Avram, L.; Craciun, R.; Coman, M.; Ene-Cocis, M.; Ciobanu, C.; Crisan, D. Nutritional Risk Assessment Scores Effectively Predict Mortality in Critically Ill Patients with Severe COVID-19. Nutrients 2022, 14, 2105. [Google Scholar] [CrossRef] [PubMed]
- Hernandez-Garcia, E.; Chrysikou, E.; Kalea, A.Z. The Interplay between Housing Environmental Attributes and Design Exposures and Psychoneuroimmunology Profile—An Exploratory Review and Analysis Paper in the Cancer Survivors’ Mental Health Morbidity Context. Int. J. Environ. Res. Public Health 2021, 18, 10891. [Google Scholar] [CrossRef] [PubMed]
- Ali, A.M.; Kunugi, H. Approaches to Nutritional Screening in Patients with Coronavirus Disease 2019 (COVID-19). Int. J. Environ. Res. Public Health 2021, 18, 2772. [Google Scholar] [CrossRef] [PubMed]
- dos Santos, D.M.C.; Liu, L.; Gerisch, M.; Hellmuth, J.C.; von Bergwelt-Baildon, M.; Kunz, W.G.; Theurich, S. Risk Stratification Based on a Pattern of Immunometabolic Host Factors Is Superior to Body Mass Index—Based Prediction of COVID-19-Associated Respiratory Failure. Nutrients 2022, 14, 4280. [Google Scholar] [CrossRef]
- Gregoriano, C.; Voelkle, M.; Koch, D.; Hauser, S.I.; Kutz, A.; Mueller, B.; Schuetz, P. Association of Different Malnutrition Parameters and Clinical Outcomes among COVID-19 Patients: An Observational Study. Nutrients 2022, 14, 3449. [Google Scholar] [CrossRef]
- Rose, J.; Suter, F.; Furrer, E.; Sendoel, A.; Stüssi-Helbling, M.; Huber, L.C. Neutrophile-to-Lymphocyte Ratio (NLR) Identifies Patients with Coronavirus Infectious Disease 2019 (COVID-19) at High Risk for Deterioration and Mortality—A Retrospective, Monocentric Cohort Study. Diagnostics 2022, 12, 1109. [Google Scholar] [CrossRef]
- la Rosa, N.L.-D.; Cervantes-Alvarez, E.; Méndez-Guerrero, O.; Gutierrez-Gallardo, M.A.; Kershenobich, D.; Navarro-Alvarez, N. Time-Dependent Changes of Laboratory Parameters as Independent Predictors of All-Cause Mortality in COVID-19 Patients. Biology 2022, 11, 580. [Google Scholar] [CrossRef]
- Vuillaume, L.A.; Le Borgne, P.; Alamé, K.; Lefebvre, F.; Bérard, L.; Delmas, N.; Cipolat, L.; Gennai, S.; Bilbault, P.; Lavoignet, C.-E.; et al. Neutrophil-to-Lymphocyte Ratio and Early Variation of NLR to Predict In-Hospital Mortality and Severity in ED Patients with SARS-CoV-2 Infection. J. Clin. Med. 2021, 10, 2563. [Google Scholar] [CrossRef]
- Fois, A.G.; Paliogiannis, P.; Scano, V.; Cau, S.; Babudieri, S.; Perra, R.; Ruzzittu, G.; Zinellu, E.; Pirina, P.; Carru, C.; et al. The Systemic Inflammation Index on Admission Predicts In-Hospital Mortality in COVID-19 Patients. Molecules 2020, 25, 5725. [Google Scholar] [CrossRef]
- Simon, P.; Le Borgne, P.; Lefevbre, F.; Cipolat, L.; Remillon, A.; Dib, C.; Hoffmann, M.; Gardeur, I.; Sabah, J.; Kepka, S.; et al. Platelet-to-Lymphocyte Ratio (PLR) Is Not a Predicting Marker of Severity but of Mortality in COVID-19 Patients Admitted to the Emergency Department: A Retrospective Multicenter Study. J. Clin. Med. 2022, 11, 4903. [Google Scholar] [CrossRef] [PubMed]
- Yıldırım, B.; Karakaya, Z.; Acar, E.; Demir, A.; Gökçek, K.; Gökçek, A.; Doğan, V.; Biteker, M. Controlling Nutritional Status (CONUT) score predicts in-hospital mortality in acute pulmonary embolism. Med. Princ. Pract. 2022, 31, 1–6. [Google Scholar] [CrossRef] [PubMed]
- Hayıroğlu, M.; Keskin, M.; Keskin, T.; Uzun, A.O.; Altay, S.; Kaya, A.; Öz, A.; Çinier, G.; Güvenç, T.S.; Kozan. A Novel Independent Survival Predictor in Pulmonary Embolism: Prognostic Nutritional Index. Clin. Appl. Thromb. 2018, 24, 633–639. [Google Scholar] [CrossRef]
- Kaya, Y.; Yiner, Z.; Kaya, M.; Kuncan, F. A new approach to COVID-19 detection from x-ray images using angle transformation with GoogleNet and LSTM. Meas. Sci. Technol. 2022, 33, 124011. [Google Scholar] [CrossRef]
- Eken, S. A topic-based hierarchical publish/subscribe messaging middleware for COVID-19 detection in X-ray image and its metadata. Soft Comput. 2020, 1–11. [Google Scholar] [CrossRef] [PubMed]
- Ayadi, M.; Ksibi, A.; Al-Rasheed, A.; Soufiene, B.O. COVID-AleXception: A Deep Learning Model Based on a Deep Feature Concatenation Approach for the Detection of COVID-19 from Chest X-ray Images. Healthcare 2022, 10, 2072. [Google Scholar] [CrossRef]
- Wu, C.; Khishe, M.; Mohammadi, M.; Karim, S.H.T.; Rashid, T.A. Evolving deep convolutional neutral network by hybrid sine–cosine and extreme learning machine for real-time COVID19 diagnosis from X-ray images. Soft Comput. 2021, 1–20. [Google Scholar] [CrossRef]
- Nair, R.; Alhudhaif, A.; Koundal, D.; Doewes, R.I.; Sharma, P. Deep learning-based COVID-19 detection system using pulmonary CT scans. Turk. J. Electr. Eng. Comput. Sci. 2021, 29, 2716–2727. [Google Scholar] [CrossRef]
- Yilmaz, A. Diagnosing COVID-19 from X-Ray images with using multi-channel CNN architecture. J. Fac. Eng. Archit. Gazi Univ. 2021, 36, 1761–1773. [Google Scholar]



| Inflammatory Markers | ||||
| Monocyte-Lymphocyte ratio (MLR) | ||||
| Neutrophil-Lymphocyte ratio (NLR) | ||||
| Platelets-Lymphocyte ratio (PLR) | ||||
| Systemic Inflammatory Index (SII) | ||||
| Systemic Inflammation Response Index (SIRI) | ||||
| Aggregate Index of Systemic Inflammation (AISI) | ||||
| Nutritional Markers | ||||
| Prognostic Nutritional Index (PNI) | [10 * serum albumin (g/dL)] + [0.005 × total number of lymphocytes/µL)] | |||
| CONUT Score | ||||
| Normal | Mild | Moderate | Severe | |
| Albumin g/dL | ≥3.50 | 3.00–3.49 | 2.50–2.99 | <2.50 |
| Score | 0 | 2 | 4 | 6 |
| Total Lymphocytes count /µL | ≥1600 | 1200–1599 | 800–1199 | <800 |
| Score | 0 | 1 | 2 | 3 |
| Total Cholesterol mg/dL | ≥180 | 140–179 | 100–139 | <100 |
| Score | 0 | 1 | 2 | 3 |
| Total Score | 0–1 | 2–4 | 5–8 | 9–12 |
| Variables | All Patients n = 889 | Survivors n = 746 | Non-Survivors n = 143 | p Value (OR; CI 95%) |
|---|---|---|---|---|
| Age mean ± SD (min-max) | 70.5 ± 12.9 (21–101) | 70.17 ± 12.74 (21–101) | 72.18 ± 13.80 (24–97) | 0.10 |
| Male/Female sex no. (%) | 474 (53.32%) 415 (46.68%) | 397 (53.22%) 349 (46.78%) | 77 (53.85%) 66 (46.15%) | 0.89 (1.02; 0.71–1.46) |
| Comorbidities and Risk Factors | ||||
| AH, no. (%) | 735 (82.67%) | 615 (82.43%) | 120 (83.91%) | 0.66 (1.11; 0.68–1.80) |
| IHD, no. (%) | 513 (57.70%) | 427 (57.23%) | 86 (60.13%) | 0.52 (1.12; 0.78–1.62) |
| AF, no. (%) | 252 (28.34%) | 199 (26.67%) | 53 (37.06%) | 0.01 (1.61; 1.11–2.35) |
| CHF, no. (%) | 215 (24.18%) | 174 (23.32%) | 41 (28.67%) | 0.17 (1.32; 0.88–1.97) |
| MI, no. (%) | 170 (19.12%) | 133 (17.82%) | 37 (25.87%) | 0.02 (1.60; 1.05–2.44) |
| T2D, no. (%) | 268 (30.14%) | 223 (29.89%) | 45 (31.46%) | 0.70 (1.07; 0.73–1.58) |
| CKD, no. (%) | 141 (15.86%) | 108 (14.47%) | 33 (23.07%) | 0.01 (1.77; 1.14–2.74) |
| PAD, no. (%) | 125 (14.06%) | 91 (12.19%) | 34 (23.77%) | 0.0003 (2.24; 1.44–3.49) |
| Malignancy, no. (%) | 74 (8.32%) | 52 (6.97%) | 22 (15.38%) | 0.001 (2.42; 1.42–4.14) |
| Tobacco, no. (%) | 256 (28.79%) | 195 (26.13%) | 61 (42.65%) | 0.0001 (2.10; 1.45–3.04) |
| Obesity, no. (%) | 146 (16.42%) | 112 (15.01%) | 34 (23.77%) | 0.01 (1.76; 1.14–2.72) |
| Dyslipidemia, no. (%) | 172 (19.34%) | 132 (17.69%) | 40 (27.97%) | 0.004 (1.80; 1.19–2.7552) |
| Nutritional Status | ||||
| PNI, median [Q1–Q3] | 42.1 [36.2–47.7] | 43.83 [38.6–48.75] | 32.05 [28.97–35.4] | <0.0001 |
| CONUT Score, median [Q1–Q3] | 3 [2,3,4,5] | 3 [1,2,3,4] | 7 [6,7,8,9] | <0.0001 |
| Normal, no. (%) | 192 (21.59%) | 192 (21.59%) | - | 0.001 |
| Mild, no. (%) | 397 (44.65%) | 386 (51.74%) | 11 (7.69%) | <0.0001 |
| Moderate, no. (%) | 259 (29.13%) | 164 (21.98%) | 95 (66.43%) | <0.0001 |
| Severe, no. (%) | 41 (4.61%) | 4 (0.53%) | 37 (25.87%) | <0.0001 |
| Laboratory Data | ||||
| Hemoglobin g/dL median [Q1–Q3] | 13.1 [11.2–14.4] | 13.2 [11.4–14.49] | 12.4 [10.2–14.15] | 0.001 |
| Hematocrit % median [Q1–Q3] | 39.8 [34.3–43.8] | 40.31 [34.95–43.95] | 36.8 [30.92–42.4] | 0.0002 |
| Glucose mg/dL median [Q1–Q3] | 114.9 [95–144] | 113.8 [94.92–142] | 124.4 [99–154.5] | 0.006 |
| Cholesterol mg/dL median [Q1–Q3] | 177.3 [146–210.9] | 180.1 [149.75–213.1] | 158.5 [135.2–194.85] | <0.0001 |
| Triglyceride mg/dL median [Q1–Q3] | 119.1 [91.7–166.5] | 120.25 [94–167.81] | 117.3 [87.25–150.6] | 0.06 |
| Albumin, median [Q1–Q3] | 3.48 [2.94–3.96] | 3.64 [3.1–4] | 2.8 [2.47–3.13] | <0.0001 |
| GFR (mL/min/1.73 m2) median [Q1–Q3] | 75.39 [56.44–92.24] | 75.63 [56.08–91.84] | 74.38 [58.7–93.35] | 0.43 |
| BUN mg/dL median [Q1–Q3] | 70.2 [39.7–173.7] | 63.84 [38.7–167.8] | 134.2 [52.2–215.1] | <0.0001 |
| Creatinine mg/dL median [Q1–Q3] | 1.52 [0.89–5.91] | 1.30 [0.88–5.78] | 2.98 [1.1–6.9] | <0.0001 |
| Neutrophils × 10³/µL median [Q1–Q3] | 8.1 [5.53–12.43] | 7.58 [5.27–11.28] | 12.2 [8.79–16.27] | <0.0001 |
| Lymphocytes × 10³/µL median [Q1–Q3] | 1.32 [0.9–1.95] | 1.5 [1.06–2.01] | 0.66 [0.41–1.02] | <0.0001 |
| Monocyte × 10³/µL median [Q1–Q3] | 0.73 [0.5–1.09] | 0.73 [0.5–1.06] | 0.72 [0.45–1.14] | 0.47 |
| PLT × 10³/µL median [Q1–Q3] | 237 [185.3–302] | 235.7 [187–294] | 245 [179.5–333.5] | 0.18 |
| Potassium median [Q1–Q3] | 4.29 [3.85–5.16] | 4.3 [3.86–5.05] | 4.27 [3.79–5.59] | 0.34 |
| Sodium median [Q1–Q3] | 139 [135–142] | 139 [135.4–142] | 138.1 [134.9–142] | 0.11 |
| MLR, median [Q1–Q3] | 0.54 [0.32–0.91] | 0.47 [0.31–0.79] | 1.14 [0.66–1.68] | <0.0001 |
| NLR, median [Q1–Q3] | 6.63 [3.12–12.75] | 5.38 [2.81–9.62] | 19.74 [11.29–29.61] | <0.0001 |
| PLR, median [Q1–Q3] | 167.89 [114.9–280.2] | 156.22 [110.37–238.16] | 363.16 [244.87–616.93] | <0.0001 |
| SII, median [Q1–Q3] | 1462.5 [675.8–3205.02] | 1235.42 [633.4–2240.9] | 4623 [2319–8087.5] | <0.0001 |
| SIRI, median [Q1–Q3] | 4.65 [1.91–10.31] | 3.58 [1.64–8.40] | 12.07 [7.1–22.08] | <0.0001 |
| AISI, median [Q1–Q3] | 1072.12 [380.4–2603.4] | 798.8 [354.1–2108.1] | 3151.3 [1454.48–5823.5] | <0.0001 |
| Outcomes | ||||
| DVT, no. (%) | 191 (21.48%) | 91 (12.19%) | 100 (69.93%) | <0.0001 (16.73; 11–25.45) |
| APE, no. (%) | 62 (6.97%) | 24 (3.21%) | 38 (26.57%) | <0.0001 (10.88; 6.27–18.88) |
| DVT APE, no. (%) | 38 (4.27%) | 11 (1.47%) | 27 (18.88%) | <0.0001 (15.55; 7.51–32.2) |
| Length of hospital stay, median [Q1–Q3] | 8 [6–11] | 8 [6–12] | 8 [6–12] | 0.26 |
| Variables | Cut-Off | AUC | Std. Error | 95% CI | Sensitivity | Specificity | p Value |
|---|---|---|---|---|---|---|---|
| Deep Vein Thrombosis | |||||||
| MLR | 0.78 | 0.824 | 0.020 | 0.785–0.863 | 77% | 76.2% | <0.0001 |
| NLR | 9.63 | 0.836 | 0.017 | 0.802–0.870 | 77% | 77.8% | <0.0001 |
| PLR | 230.67 | 0.802 | 0.018 | 0.766–0.839 | 72.8% | 76.8% | <0.0001 |
| SII | 1890.45 | 0.805 | 0.019 | 0.768–0.842 | 79.1% | 71.2% | <0.0001 |
| SIRI | 6.91 | 0.811 | 0.019 | 0.775–0.848 | 78% | 72.3% | <0.0001 |
| AISI | 1605.4 | 0.784 | 0.020 | 0.745–0.823 | 71.2% | 71.6% | <0.0001 |
| PNI | 40.12 | 0.803 | 0.017 | 0.769–0.837 | 66.8% | 72.8% | <0.0001 |
| CONUT Score | 5.5 | 0.826 | 0.016 | 0.794–0.858 | 61.3% | 85.8% | <0.0001 |
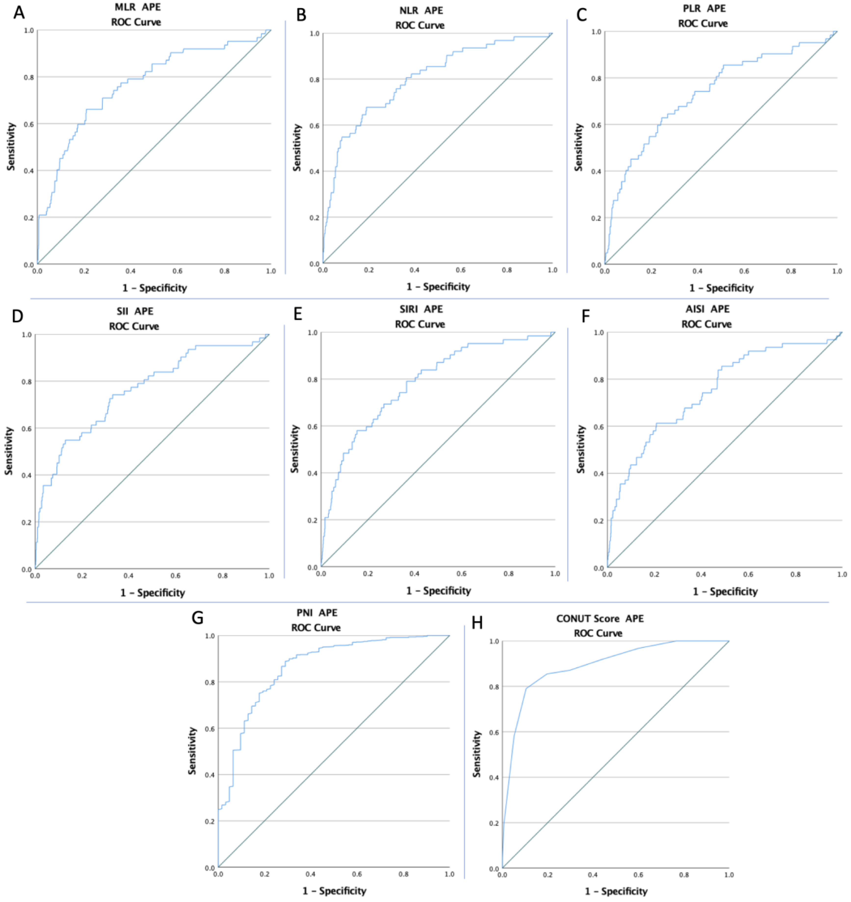
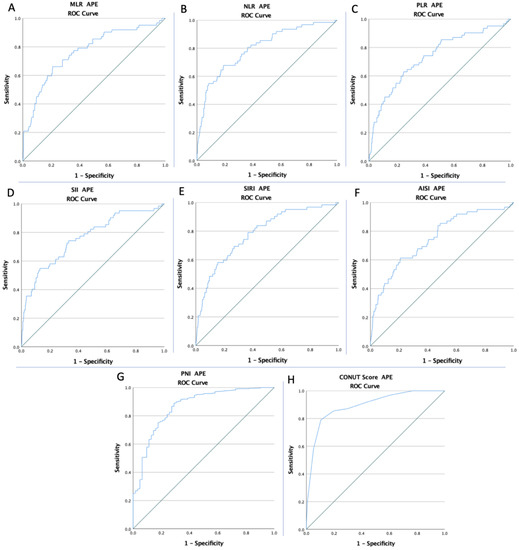
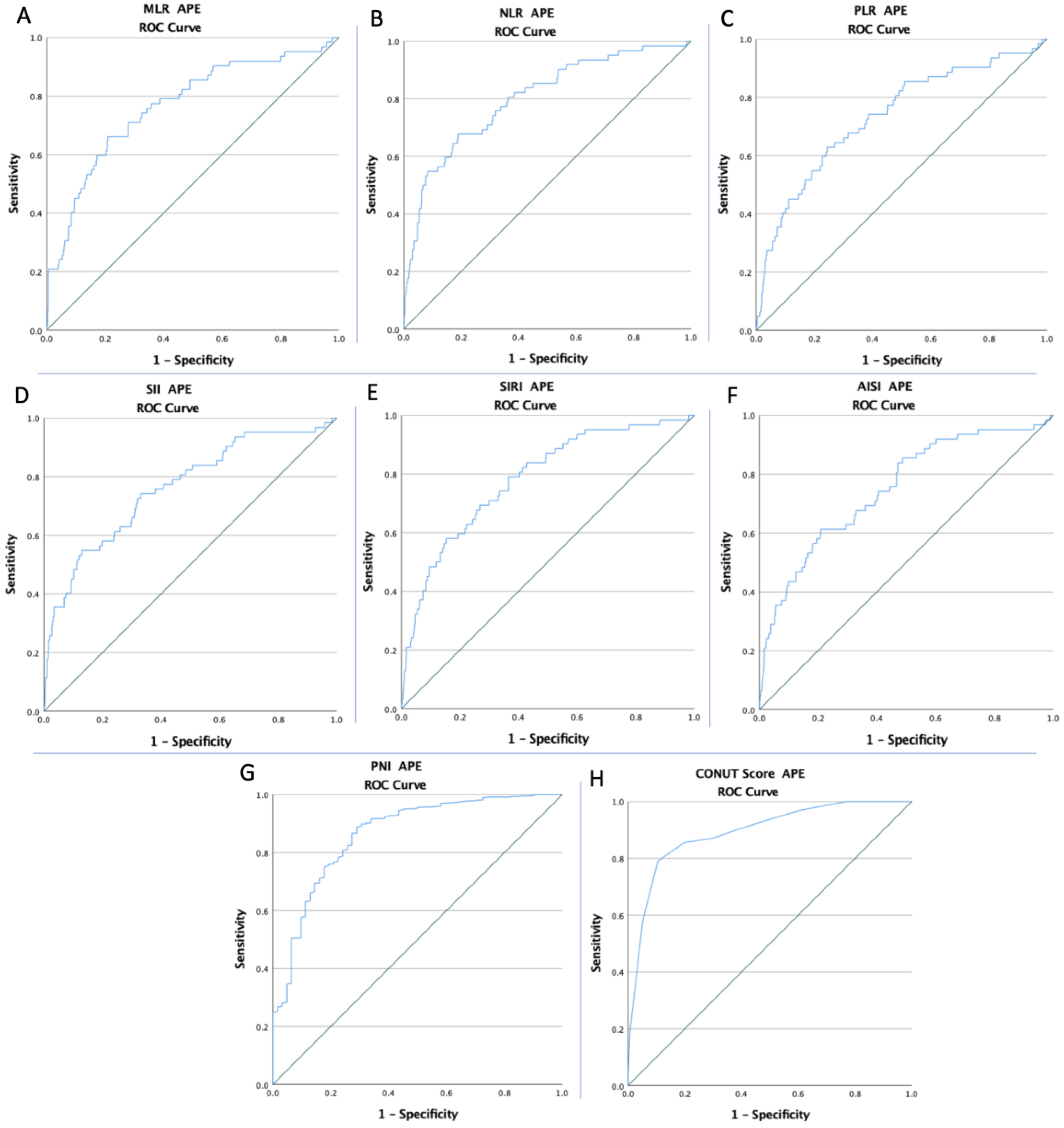
| Acute Pulmonary Embolism | |||||||
| MLR | 0.81 | 0.766 | 0.034 | 0.699–0.832 | 71% | 72.1% | <0.0001 |
| NLR | 13.67 | 0.801 | 0.031 | 0.740–0.861 | 67.7% | 81% | <0.0001 |
| PLR | 207.06 | 0.734 | 0.036 | 0.664–0.804 | 74.2% | 61.3% | <0.0001 |
| SII | 1839.91 | 0.761 | 0.034 | 0.694–0.828 | 75.8% | 61.9% | <0.0001 |
| SIRI | 8.2 | 0.783 | 0.031 | 0.723–0.843 | 71% | 70% | <0.0001 |
| AISI | 2769.85 | 0.750 | 0.034 | 0.684–0.816 | 61.3% | 79.1% | <0.0001 |
| PNI | 35.22 | 0.864 | 0.025 | 0.814–0.914 | 82.6% | 72.6% | <0.0001 |
| CONUT Score | 6.5 | 0.892 | 0.022 | 0.850–0.935 | 79% | 89.5% | <0.0001 |
| Mortality | |||||||
| MLR | 0.78 | 0.794 | 0.021 | 0.753–0.835 | 71.3% | 74% | <0.0001 |
| NLR | 9.4 | 0.868 | 0.015 | 0.838–0.898 | 81.8% | 74.4% | <0.0001 |
| PLR | 266.9 | 0.819 | 0.021 | 0.778–0.860 | 72% | 81.1% | <0.0001 |
| SII | 2208.95 | 0.836 | 0.018 | 0.800–0.871 | 79.7% | 74.4% | <0.0001 |
| SIRI | 7.47 | 0.801 | 0.019 | 0.764–0.839 | 72% | 72.1% | <0.0001 |
| AISI | 1696.18 | 0.780 | 0.021 | 0.740–0.821 | 72% | 70.9% | <0.0001 |
| PNI | 36.57 | 0.903 | 0.014 | 0.874–0.931 | 83.4% | 84.6% | <0.0001 |
| CONUT Score | 4.5 | 0.913 | 0.012 | 0.889–0.937 | 92.3% | 77.5% | <0.0001 |
| DVT | APE | Mortality | |
|---|---|---|---|
| Low-MLR vs. High-MLR | 47/595 (7.9%) vs. 144/294 (48.98%) p < 0.0001 | 18/613 (2.94%) vs. 44/276 (15.94%) p < 0.0001 | 42/595 (7.06%) vs. 101/294 (34.35%) p < 0.0001 |
| Low-NLR vs. High-NLR | 44/587 (7.5%) vs. 147/302 (48.68%) p < 0.0001 | 20/690 (2.9%) vs. 42/199 (21.11%) p < 0.0001 | 26/581 (4.48%) vs. 117/308 (37.99%) p < 0.0001 |
| Low-PLR vs. High-PLR | 52/581 (8.95%) vs. 139/308 (45.13%) p < 0.0001 | 16/523 (3.06%) vs. 46/366 (12.57%) p < 0.0001 | 40/645 (6.20%) vs. 103/244 (42.21%) p < 0.0001 |
| Low-SII vs. High-SII | 40/537 (7.45%) vs. 151/352 (42.9%) p < 0.0001 | 15/527 (2.85%) vs. 47/362 (12.98%) p < 0.0001 | 29/584 (4.97%) vs. 114/305 (37.38%) p < 0.0001 |
| Low-SIRI vs. High-SIRI | 42/547 (7.68%) vs. 149/342 (43.57%) p < 0.0001 | 18/597 (3.02%) vs. 44/292 (15.07%) p < 0.0001 | 40/578 (6.92%) vs. 103/311 (33.12%) p < 0.0001 |
| Low-AISI vs. High-AISI | 55/555 (9.91%) vs. 136/334 (31.44%) p < 0.0001 | 24/678 (3.54%) vs. 38/211 (18.01%) p < 0.0001 | 40/569 (7.03%) vs. 103/320 (32.19%) p < 0.0001 |
| Low-PNI vs. High-PNI | 52/519 (10.02%) vs. 139/370 (37.57%) p < 0.0001 | 17/700 (2.43%) vs. 45/189 (23.81%) p < 0.0001 | 22/644 (3.42%) vs. 121/245 (43.39%) p < 0.0001 |
| Low-CONUT Score vs. High-CONUT Score | 74/673 (11%) vs. 117/216 (54.17%) p < 0.0001 | 13/753 (1.73%) vs. 49/136 (36.03%) p < 0.0001 | 11/589 (1.87%) vs. 132/300 (44%) p < 0.0001 |
| Deep Vein Thrombosis | Acute Pulmonary Embolism | Mortality | |||||||
|---|---|---|---|---|---|---|---|---|---|
| OR | 95% CI | p-Value | OR | 95% CI | p-value | OR | 95% CI | p-Value | |
| Age > 70 CHF AF | 1.08 | 0.78–1.50 | 0.62 | 1.26 | 0.74–2.16 | 0.38 | 1.45 | 0.98–2.10 | 0.052 |
| 1.14 | 0.85–1.51 | 0.36 | 0.88 | 0.50–1.56 | 0.67 | 1.14 | 0.84–1.55 | 0.38 | |
| 1.11 | 0.84–1.46 | 0.44 | 1.05 | 0.67–1.64 | 0.82 | 1.23 | 0.92–1.46 | 0.15 | |
| MI | 0.96 | 0.65–1.43 | 0.87 | 0.78 | 0.39–1.52 | 0.47 | 1.35 | 0.89–2.04 | 0.14 |
| CKD | 1.19 | 0.78–1.82 | 0.40 | 1.95 | 1.07–3.55 | 0.02 | 1.77 | 1.14–2.75 | 0.01 |
| PAD | 2.10 | 1.52–2.91 | <0.001 | 2.12 | 1.07–3.56 | 0.005 | 1.92 | 1.34–2.76 | <0.001 |
| Malignancy | 2.70 | 1.65–4.42 | <0.001 | 4.55 | 2.53–8.18 | <0.001 | 2.42 | 1.42–4.14 | 0.001 |
| Tobacco | 2.01 | 1.44–2.81 | <0.001 | 2.32 | 1.37–3.91 | 0.02 | 2.10 | 1.45–3.04 | <0.001 |
| Obesity | 0.66 | 0.44–1.05 | 0.053 | 0.78 | 0.41–1.51 | 0.47 | 0.78 | 0.50–1.22 | 0.28 |
| Dyslipidemia | 1.06 | 0.70–1.59 | 0.38 | 1.42 | 0.77–2.62 | 0.25 | 1.19 | 0.76–1.85 | 0.44 |
| high-MLR | 11.19 | 7.68–16.29 | <0.001 | 8.96 | 5.11–15.69 | <0.001 | 6.89 | 4.64–10.23 | <0.001 |
| high-NLR | 11.70 | 7.99–17.13 | <0.001 | 10.50 | 5.86–18.8 | <0.001 | 13.07 | 8.29–20.62 | <0.001 |
| high-PLR | 8.36 | 5.82–12.02 | <0.001 | 6.26 | 3.54–11.07 | <0.001 | 11.04 | 7.34–16.62 | <0.001 |
| high-SII | 9.33 | 6.35–13.71 | <0.001 | 5.09 | 2.80–9.26 | <0.001 | 11.42 | 7.36–17.72 | <0.001 |
| high-SIRI | 9.28 | 6.34–13.58 | <0.001 | 5.70 | 3.23–10.07 | <0.001 | 6.66 | 4.47–9.92 | <0.001 |
| high-AISI | 6.24 | 4.38–8.89 | <0.001 | 5.98 | 3.49–10.24 | <0.001 | 6.27 | 4.21–9.34 | <0.001 |
| low-PNI | 5.40 | 3.78–7.71 | <0.001 | 12.55 | 6.98–22.56 | <0.001 | 27.58 | 16.84–45.19 | <0.001 |
| high-CONUT Score | 9.56 | 6.67–13.71 | <0.001 | 32.06 | 16.72–61.44 | <0.001 | 41.28 | 21.8–78.19 | <0.001 |
Publisher’s Note: MDPI stays neutral with regard to jurisdictional claims in published maps and institutional affiliations. |
© 2022 by the authors. Licensee MDPI, Basel, Switzerland. This article is an open access article distributed under the terms and conditions of the Creative Commons Attribution (CC BY) license (https://creativecommons.org/licenses/by/4.0/).
Share and Cite
Mureșan, A.V.; Hălmaciu, I.; Arbănași, E.M.; Kaller, R.; Arbănași, E.M.; Budișcă, O.A.; Melinte, R.M.; Vunvulea, V.; Filep, R.C.; Mărginean, L.; et al. Prognostic Nutritional Index, Controlling Nutritional Status (CONUT) Score, and Inflammatory Biomarkers as Predictors of Deep Vein Thrombosis, Acute Pulmonary Embolism, and Mortality in COVID-19 Patients. Diagnostics 2022, 12, 2757. https://doi.org/10.3390/diagnostics12112757
Mureșan AV, Hălmaciu I, Arbănași EM, Kaller R, Arbănași EM, Budișcă OA, Melinte RM, Vunvulea V, Filep RC, Mărginean L, et al. Prognostic Nutritional Index, Controlling Nutritional Status (CONUT) Score, and Inflammatory Biomarkers as Predictors of Deep Vein Thrombosis, Acute Pulmonary Embolism, and Mortality in COVID-19 Patients. Diagnostics. 2022; 12(11):2757. https://doi.org/10.3390/diagnostics12112757
Chicago/Turabian StyleMureșan, Adrian Vasile, Ioana Hălmaciu, Emil Marian Arbănași, Réka Kaller, Eliza Mihaela Arbănași, Ovidiu Aurelian Budișcă, Răzvan Marian Melinte, Vlad Vunvulea, Rareș Cristian Filep, Lucian Mărginean, and et al. 2022. "Prognostic Nutritional Index, Controlling Nutritional Status (CONUT) Score, and Inflammatory Biomarkers as Predictors of Deep Vein Thrombosis, Acute Pulmonary Embolism, and Mortality in COVID-19 Patients" Diagnostics 12, no. 11: 2757. https://doi.org/10.3390/diagnostics12112757
APA StyleMureșan, A. V., Hălmaciu, I., Arbănași, E. M., Kaller, R., Arbănași, E. M., Budișcă, O. A., Melinte, R. M., Vunvulea, V., Filep, R. C., Mărginean, L., Suciu, B. A., Brinzaniuc, K., Niculescu, R., & Russu, E. (2022). Prognostic Nutritional Index, Controlling Nutritional Status (CONUT) Score, and Inflammatory Biomarkers as Predictors of Deep Vein Thrombosis, Acute Pulmonary Embolism, and Mortality in COVID-19 Patients. Diagnostics, 12(11), 2757. https://doi.org/10.3390/diagnostics12112757

