Dynamic Changes in Liver Stiffness in Patients with Chronic Hepatitis B Undergoing Antiviral Therapy
Abstract
1. Introduction
2. Materials and Methods
2.1. Study Population
2.2. Transient Elastography (TE)
2.3. Statistical Analysis
3. Results
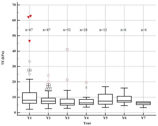
- 87 patients had at least two LSM made during the follow-up, and there was a significant decrease in the mean liver stiffness values from the first measurement vs. the second, 11.7 ± 8.4 kPa vs. 8.5 ± 4.1 kPa, p = 0.001 (Figure 1).
- 52 patients (59.7%) patients had at least three LSM, with a significant decrease in the mean values at the three assessments, 12.1 ± 11.0 kPa vs. 8.5 ± 4.3 kPa vs. 7.7 ± 3.9 kPa, p < 0.0001, but the post hoc tests showed that after the second year the decrease was not significant (p = 0.32).
- 28 patients (32.1%) had at least four LSM made during the follow-up, with a significant decrease in the mean values of the four LSM, 12.5 ± 8.3 kPa vs. 8.5 ± 4.9 kPa vs. 7.8 ± 4.3 kPa vs. 7.6 ± 4.6 kPa, p < 0.0001, but the post hoc tests showed that after the second year the decrease was not significant (second year LSM vs. third year LSM, p = 0.57; third year LSM vs. fourth year LSM, p = 0.86).
- 12 patients (13.7%) underwent at least five LSM throughout the follow-up, with significant variations between the five LSM, 14.8 ± 12.2 kPa vs. 9.1 ± 4.4 kPa vs. 8.4 ± 3.5 kPa vs. 8.7 ± 4.6 kPa vs. 8.0 ± 4.4 kPa, p < 0.0001. Starting with the second year, LSM remained relatively stable, which was demonstrated by the post hoc tests (second year LSM vs. third year LSM, p = 0.67; third year LSM vs. fourth year LSM, p = 0.85; fourth year LSM vs. fifth year LSM, p = 0.70).
- 6 patients (6.9%) had at least six LSM made during the follow-up, with significant differences between the six LSM, 17.0 ± 9.2 kPa vs. 9.5 ± 5.1 kPa vs. 8.5 ± 3.8 kPa vs. 9.3 ± 5.2 kPa vs. 8.8 ± 4.8 kPa vs. 8.6 ± 4.5 kPa, p = 0.01, but post hoc tests showed that after the second year the decrease was not significant (second-year LSM vs. third-year LSM, p = 0.70; third-year LSM vs. fourth-year LSM, p = 0.76; fourth-year LSM vs. fifth-year LSM, p = 86; fifth-year LSM vs. sixth-year LSM, p = 0.94).
- 6 patients (6.9%) had at least seven LSM made during the follow-up, with significant differences between the seven LSM, 7.6 ± 2.3 kPa vs. 6.4 ± 1.1 kPa vs. 6.1 ± 1.0 kPa vs. 6.0 ± 0.8 kPa vs. 5.7 ± 1.3 kPa vs. 5.7 ± 1.2 kPa vs. 5.0 ± 0.7 kPa, p = 0.04, but without any significant decrease after the second year, p = 0.56.
4. Discussion
5. Conclusions
Author Contributions
Funding
Institutional Review Board Statement
Informed Consent Statement
Data Availability Statement
Acknowledgments
Conflicts of Interest
References
- Cristina, S.J.L.; Marta, C.M.; Mercedes, G.S.; Almudena, P.M.; Álvaro, H.M.; Luis, V.S.J.; Tesifón, P.C. Characterization and evaluation of liver fibrosis grade in patients with chronic hepatitis B virus infection and normal transaminases. Clin. Mol. Hepatol. 2018, 24, 384–391. [Google Scholar] [CrossRef] [PubMed]
- Lai, C.L.; Ratziu, V.; Yuen, M.-F.; Poynard, T. Viral hepatitis B. Lancet 2003, 362, 2089–2094. [Google Scholar] [CrossRef]
- de Franchis, R.; Hadengue, A.; Lau, G.; Lavanchy, D.; Lok, A.; McIntyre, N.; Mele, A.; Paumgartner, G.; Pietrangelo, A.; Rodés, J.; et al. EASL International Consensus Conference on Hepatitis B. 13–14 September 2002, Geneva, Switzerland. Consensus statement (long version). J. Hepatol. 2003, 39 (Suppl. 1), S3-25. [Google Scholar] [PubMed]
- Ekiz, F.; Yuksel, İ.; Arikök, A.T.; Yilmaz, B.; Altinbas, A.; Aktas, B.; Deveci, M.; Basar, O.; Coban, S.; Yuksel, O. Will a second biopsy sample affect treatment decisions in patients with chronic hepatitis B? Hepatol. Int. 2016, 10, 602–605. [Google Scholar] [CrossRef] [PubMed]
- Papatheodoridis, G.; Vlachogiannakos, I.; Cholongitas, E.; Wursthorn, K.; Thomadakis, C.; Touloumi, G.; Petersen, J. Discontinuation of oral antivirals in chronic hepatitis B: A systematic review. Hepatology 2016, 63, 1481–1492. [Google Scholar] [CrossRef] [PubMed]
- Dietrich, C.F.; Bamber, J.; Berzigotti, A.; Bota, S.; Cantisani, V.; Castera, L.; Cosgrove, D.; Ferraioli, G.; Friedrich-Rust, M.; Gilja, O.H.; et al. EFSUMB Guidelines and Recommendations on the Clinical Use of Liver Ultrasound Elastography, Update 2017 (Long Version). Ultraschall Med. 2017.
- Moga, T.V.; Sporea, I.; Lupușoru, R.; Popescu, A.; Popa, A.; Bota, S.; Șirli, R.; Danilă, M.; Schlesinger, A.; Tzschätzsch, H. Performance of a Noninvasive Time-Harmonic Elastography Technique for Liver Fibrosis Evaluation Using Vibration Controlled Transient Elastography as Reference Method. Diagnostics 2020, 10, 653. [Google Scholar] [CrossRef]
- Popa, A.; Șirli, R.; Popescu, A.; Bâldea, V.; Lupușoru, R.; Bende, F.; Cotrău, R.; Sporea, I. Ultrasound-Based Quantification of Fibrosis and Steatosis with a New Software Considering Transient Elastography as Reference in Patients with Chronic Liver Diseases. Ultrasound Med. Biol. 2021. [Google Scholar] [CrossRef]
- Grgurevic, I.; Bokun, T.; Mustapic, S.; Trkulja, V.; Heinzl, R.; Banic, M.; Puljiz, Ž.; Lukšic, B.; Kujundžic, M. Real-time two-dimensional shear wave ultrasound elastography of the liver is a reliable predictor of clinical outcomes and the presence of esophageal varices in patients with compensated liver cirrhosis. Croat. Med. J. 2015, 56, 470–481. [Google Scholar] [CrossRef]
- Grgurevic, I.; Madir, A.; Trkulja, V.; Bozin, T.; Aralica, G.; Podrug, K.; Mikolaševic, I.; Tsochatzis, E.; O’Beirne, J.; Pinzani, M. Assessment of clinically significant portal hypertension by two-dimensional shear wave elastography. Eur. J. Clin. Invest. 2022, 52, e13750. [Google Scholar] [CrossRef]
- Ferraioli, G.; Wong, V.W.S.; Castera, L.; Berzigotti, A.; Sporea, I.; Dietrich, C.F.; Choi, B.I.; Wilson, S.R.; Kudo, M.; Barr, R.G. Liver Ultrasound Elastography: An Update to the World Federation for Ultrasound in Medicine and Biology Guidelines and Recommendations. Ultrasound Med. Biol. 2018, 44, 2419–2440. [Google Scholar] [CrossRef] [PubMed]
- Ferraioli, G.; Filice, C.; Castera, L.; Choi, B.I.; Sporea, I.; Wilson, S.R.; Cosgrove, D.; Dietrich, C.F.; Amy, D.; Bamber, J.C.; et al. WFUMB guidelines and recommendations for clinical use of ultrasound elastography: Part 3: Liver. Ultrasound Med. Biol. 2015, 41, 1161–1179. [Google Scholar] [CrossRef]
- Castellano, G.; Manzano, M.L. The value of FibroScan® in the follow-up of patients with chronic hepatitis B virus infection without indication for treatment. Gastroenterol. Hepatol. 2014, 37, 15–21. [Google Scholar] [CrossRef]
- EASL 2017 Clinical Practice Guidelines on the management of hepatitis B virus infection. J. Hepatol. 2017, 67, 370–398. [CrossRef]
- Cosgrove, D.; Piscaglia, F.; Bamber, J.; Bojunga, J.; Correas, J.M.; Gilja, O.H.; Klauser, A.S.; Sporea, I.; Calliada, F.; Cantisani, V.; et al. EFSUMB Guidelines and Recommendations on the clinical use of ultrasound elastographypart 2: Clinical applications. Ultraschall Med. 2013, 34, 238–253. [Google Scholar] [CrossRef] [PubMed]
- Sirli, R.; Sporea, I.; Bota, S.; Jurchiş, A. Factors influencing reliability of liver stiffness measurements using transient elastography (M-probe)-monocentric experience. Eur. J. Radiol. 2013, 82, e313-6. [Google Scholar] [CrossRef] [PubMed]
- Chon, Y.E.; Choi, E.H.; Song, K.J.; Park, J.Y.; Kim, D.Y.; Han, K.-H.; Chon, C.Y.; Ahn, S.H.; Kim, S.U. Performance of transient elastography for the staging of liver fibrosis in patients with chronic hepatitis B: A meta-analysis. PLoS ONE 2012, 7, e44930. [Google Scholar] [CrossRef] [PubMed]
- de Lédinghen, V.; Vergniol, J.; Barthe, C.; Foucher, J.; Chermak, F.; Le Bail, B.; Merrouche, W.; Bernard, P.-H. Non-invasive tests for fibrosis and liver stiffness predict 5-year survival of patients chronically infected with hepatitis B virus. Aliment. Pharmacol. Ther. 2013, 37, 979–988. [Google Scholar] [CrossRef]
- Sarin, S.K.; Kumar, M.; Lau, G.K.; Abbas, Z.; Chan, H.L.Y.; Chen, C.J.; Chen, D.S.; Chen, H.L.; Chen, P.J.; Chien, R.N.; et al. Asian-Pacific clinical practice guidelines on the management of hepatitis B: A 2015 update. Hepatol. Int. 2016, 10, 1–98. [Google Scholar] [CrossRef]
- Chang, T.-T.; Liaw, Y.-F.; Wu, S.-S.; Schiff, E.; Han, K.-H.; Lai, C.-L.; Safadi, R.; Lee, S.S.; Halota, W.; Goodman, Z.; et al. Long-term entecavir therapy results in the reversal of fibrosis/cirrhosis and continued histological improvement in patients with chronic hepatitis B. Hepatology 2010, 52, 886–893. [Google Scholar] [CrossRef]
- Schiff, E.R.; Lee, S.S.; Chao, Y.-C.; Kew Yoon, S.; Bessone, F.; Wu, S.-S.; Kryczka, W.; Lurie, Y.; Gadano, A.; Kitis, G.; et al. Long-term treatment with entecavir induces reversal of advanced fibrosis or cirrhosis in patients with chronic hepatitis B. Clin. Gastroenterol. Hepatol. Off. Clin. Pract. J. Am. Gastroenterol. Assoc. 2011, 9, 274–276. [Google Scholar] [CrossRef] [PubMed]
- Marcellin, P.; Gane, E.; Buti, M.; Afdhal, N.; Sievert, W.; Jacobson, I.M.; Washington, M.K.; Germanidis, G.; Flaherty, J.F.; Aguilar Schall, R.; et al. Regression of cirrhosis during treatment with tenofovir disoproxil fumarate for chronic hepatitis B: A 5-year open-label follow-up study. Lancet 2013, 381, 468–475. [Google Scholar] [CrossRef]
- Calvaruso, V.; Craxì, A. Regression of fibrosis after HBV antiviral therapy. Is cirrhosis reversible? Liver Int. 2014, 34, 85–90. [Google Scholar] [CrossRef] [PubMed]
- Jang, W.; Yu, S.I.; Sinn, D.H.; Park, S.H.; Park, H.; Park, J.Y.; Jeon, T.J.; Oh, T.H.; Shin, W.C.; Choi, W.-C. Longitudinal change of liver stiffness by transient elestography in chronic hepatitis B patients treated with nucleos(t)ide analogue. Clin. Res. Hepatol. Gastroenterol. 2014, 38, 195–200. [Google Scholar] [CrossRef]
- Kuo, Y.-H.; Lu, S.-N.; Chen, C.-H.; Chang, K.-C.; Hung, C.-H.; Tai, W.-C.; Tsai, M.-C.; Tseng, P.-L.; Hu, T.-H.; Wang, J.-H. The changes of liver stiffness and its associated factors for chronic hepatitis B patients with entecavir therapy. PLoS ONE 2014, 9, e93160. [Google Scholar] [CrossRef]
- Ogawa, E.; Furusyo, N.; Murata, M.; Ohnishi, H.; Toyoda, K.; Taniai, H.; Ihara, T.; Ikezaki, H.; Hayashi, T.; Kainuma, M.; et al. Longitudinal assessment of liver stiffness by transient elastography for chronic hepatitis B patients treated with nucleoside analog. Hepatol. Res. 2011, 41, 1178–1188. [Google Scholar] [CrossRef]
- Enomoto, M.; Mori, M.; Ogawa, T.; Fujii, H.; Kobayashi, S.; Iwai, S.; Morikawa, H.; Tamori, A.; Sakaguchi, H.; Sawada, A.; et al. Usefulness of transient elastography for assessment of liver fibrosis in chronic hepatitis B: Regression of liver stiffness during entecavir therapy. Hepatol. Res. 2010, 40, 853–861. [Google Scholar] [CrossRef]
- Sporea, I.; Lupușoru, R.; Mare, R.; Popescu, A.; Gheorghe, L.; Iacob, S.; Șirli, R. Dynamics of liver stiffness values by means of transient elastography in patients with HCV liver cirrhosis undergoing interferon free treatment. J. Gastrointestin. Liver Dis. 2017, 26, 145–150. [Google Scholar] [CrossRef]
- Singh, S.; Facciorusso, A.; Loomba, R.; Falck-Ytter, Y.T. Magnitude and Kinetics of Decrease in Liver Stiffness after Antiviral Therapy in Patients with Chronic Hepatitis C: A Systematic Review and Meta-analysis. Clin. Gastroenterol. Hepatol. Off. Clin. Pract. J. Am. Gastroenterol. Assoc. 2018, 16, 27–38. [Google Scholar] [CrossRef]
- Lim, S.G.; Cho, S.W.; Lee, Y.C.; Jeon, S.J.; Lee, M.H.; Cho, Y.J.; Kim, S.S.; Kim, Y.B.; Seok, J.Y.; Cheong, J.Y.; et al. Changes in liver stiffness measurement during antiviral therapy in patients with chronic hepatitis B. Hepatogastroenterology. 2011, 58, 539–545. [Google Scholar]
- Zeng, J.; Cai, S.; Liu, J.; Xue, X.; Wu, X.; Zheng, C. Dynamic Changes in Liver Stiffness Measured by Transient Elastography Predict Clinical Outcomes among Patients with Chronic Hepatitis B. J. ultrasound Med. Off. J. Am. Inst. Ultrasound Med. 2017, 36, 261–268. [Google Scholar] [CrossRef] [PubMed]


| Parameter | N (%), Median (Range), Mean ± SD |
|---|---|
| Age (years) | 49.9 ± 13.1 |
| Gender | |
| Men | 67 (70.1%) |
| Women | 20 (22.9%) |
| ALT (IU/mL) | 29 (10–210) |
| AST (IU/mL) | 26 (7–225) |
| HbeAg positive | 12 (13.7%) |
| Naïve | 47 (54.0%) |
| Fibrosis stage at inclusion based on LSM by TE | |
| F0–1 | 42 (48.2%) |
| F2 | 11 (12.6%) |
| F3 | 10 (11.5%) |
| F4 | 24 (27.7%) |
Publisher’s Note: MDPI stays neutral with regard to jurisdictional claims in published maps and institutional affiliations. |
© 2022 by the authors. Licensee MDPI, Basel, Switzerland. This article is an open access article distributed under the terms and conditions of the Creative Commons Attribution (CC BY) license (https://creativecommons.org/licenses/by/4.0/).
Share and Cite
Lazar, A.; Sporea, I.; Popa, A.; Lupusoru, R.; Gherhardt, D.; Mare, R.; Apostu, A.; Hnatiuc, M.; Șirli, R. Dynamic Changes in Liver Stiffness in Patients with Chronic Hepatitis B Undergoing Antiviral Therapy. Diagnostics 2022, 12, 2646. https://doi.org/10.3390/diagnostics12112646
Lazar A, Sporea I, Popa A, Lupusoru R, Gherhardt D, Mare R, Apostu A, Hnatiuc M, Șirli R. Dynamic Changes in Liver Stiffness in Patients with Chronic Hepatitis B Undergoing Antiviral Therapy. Diagnostics. 2022; 12(11):2646. https://doi.org/10.3390/diagnostics12112646
Chicago/Turabian StyleLazar, Alin, Ioan Sporea, Alexandru Popa, Raluca Lupusoru, Diana Gherhardt, Ruxandra Mare, Alexandru Apostu, Madalina Hnatiuc, and Roxana Șirli. 2022. "Dynamic Changes in Liver Stiffness in Patients with Chronic Hepatitis B Undergoing Antiviral Therapy" Diagnostics 12, no. 11: 2646. https://doi.org/10.3390/diagnostics12112646
APA StyleLazar, A., Sporea, I., Popa, A., Lupusoru, R., Gherhardt, D., Mare, R., Apostu, A., Hnatiuc, M., & Șirli, R. (2022). Dynamic Changes in Liver Stiffness in Patients with Chronic Hepatitis B Undergoing Antiviral Therapy. Diagnostics, 12(11), 2646. https://doi.org/10.3390/diagnostics12112646

