Sign in to use this feature.

Years

Between: -

Subjects

remove_circle_outline
remove_circle_outline
remove_circle_outline
remove_circle_outline
remove_circle_outline
remove_circle_outline
remove_circle_outline

Journals

Article Types

Countries / Regions

Search Results (265)

Search Parameters:
Keywords = transient elastography

Order results
Result details
Results per page
Select all
Export citation of selected articles as:
17 pages, 695 KB  
Article
Abdominal Obesity, Hepatic Steatosis, Oxidative Stress and Diastolic Dysfunction in Patients with Metabolic Dysfunction-Associated Steatotic Liver Disease
by Luca Colangeli, Ilaria Milani, Maria Eugenia Parrotta, Susanna Longo, Alessandro Nucera, Massimo Federici, Simonetta Palleschi, Barbara Rossi, Alessandro Mantovani, Saverio Muscoli, Frida Leonetti, Danila Capoccia, Paolo Sbraccia and Valeria Guglielmi
Int. J. Mol. Sci. 2026, 27(4), 1968; https://doi.org/10.3390/ijms27041968 - 18 Feb 2026
Viewed by 193
Abstract
Metabolic dysfunction-associated steatotic liver disease (MASLD) is increasingly recognized as a key contributor to the development of heart failure with preserved ejection fraction in individuals with obesity. This study aimed to investigate whether MASLD and diastolic dysfunction are independently associated with abdominal obesity [...] Read more.
Metabolic dysfunction-associated steatotic liver disease (MASLD) is increasingly recognized as a key contributor to the development of heart failure with preserved ejection fraction in individuals with obesity. This study aimed to investigate whether MASLD and diastolic dysfunction are independently associated with abdominal obesity through shared metabolic and oxidative mechanisms. We conducted a cross-sectional study in a tertiary university hospital including patients aged ≥ 50 years with obesity and MASLD. Clinical, anthropometric, biochemical, and oxidative stress parameters were collected, and hepatic steatosis and fibrosis were assessed using vibration-controlled transient elastography (FibroScan®). Patients were stratified according to the presence or absence of echocardiographic diastolic dysfunction. A total of 73 patients was included in the analysis and 27.4% had diastolic dysfunction. Patients with diastolic dysfunction were older and had higher body weight, body mass index (BMI) and waist circumference. Markers of hepatic steatosis, including fatty liver index (FLI) and controlled attenuation parameter (CAP), were higher in patients with diastolic dysfunction, whereas fibrosis measures were not. CAP was independently associated with diastolic dysfunction after adjustment for age and sex, but this association was lost after further adjustment for waist circumference, suggesting a mediating role of central adiposity. Plasma glutathione was inversely associated with FLI, but oxidative stress markers were not associated with diastolic dysfunction or steatosis severity. In conclusion, in patients ≥ 50 years with MASLD and obesity, diastolic dysfunction was common and closely related to abdominal obesity, highlighting MASLD as a multisystem condition with early cardiac involvement. Full article
Show Figures

Figure 1

16 pages, 735 KB  
Article
Analysis of Visfatin Concentration and Other Potential Biomarkers Associated with MASLD Development in Saliva and Serum of Patients with Obesity—A Pilot Study
by Beata Zyśk, Joanna Smarkusz-Zarzecka, Urszula Cwalina, Agnieszka Gornowicz, Karolina Orywal, Anna Bielawska, Barbara Mroczko and Lucyna Ostrowska
Nutrients 2026, 18(4), 652; https://doi.org/10.3390/nu18040652 - 16 Feb 2026
Viewed by 181
Abstract
Background/Objectives: Adipokines and cytokines, secreted by adipocytes and immune cells, play key roles in metabolic and inflammatory processes. This study aimed to assess the association between salivary visfatin levels and metabolic dysfunction-associated steatotic liver disease (MASLD), determine a salivary visfatin cutoff associated [...] Read more.
Background/Objectives: Adipokines and cytokines, secreted by adipocytes and immune cells, play key roles in metabolic and inflammatory processes. This study aimed to assess the association between salivary visfatin levels and metabolic dysfunction-associated steatotic liver disease (MASLD), determine a salivary visfatin cutoff associated with increased risk of this disease, and examine correlations among selected adipokines, cytokines, and gelatinases in serum and saliva of obese patients. Methods: The study included 65 participants (40 women and 25 men) with a body mass index (BMI) ranging from 30.0 to 39.9 kg/m2, who were divided into groups based on whether the salivary visfatin concentration exceeded the quantification limit (1.229 ng/mL). Body composition analysis was performed using the bioelectrical impedance method, quantitative assessment of hepatic steatosis was carried out using transient elastography, and the concentrations of selected adipokines, cytokines, and gelatinases were determined in serum and saliva. Results: A relationship was observed between lower BMI and salivary visfatin concentrations below the quantification limit (p = 0.017), and between the absence of MASLD and visfatin levels below the quantification threshold in saliva (p = 0.05). Higher concentrations of interleukin-1β (p = 0.003) and matrix metalloproteinase-2 (p = 0.019) in saliva, as well as interleukin-6 (p = 0.002) in serum, were observed in the group with salivary visfatin levels above the quantification limit. Correlations were found between salivary and serum IL-6 concentrations (r = 0.30; p = 0.016) and between serum resistin and salivary IL-6 levels (r = 0.24; p = 0.056), as well as between serum IL-6 and salivary MMP-2 concentrations (r = 0.24; p = 0.059). Conclusions: In this pilot study, salivary visfatin levels were found to differ between obese individuals with and without MASLD and to be associated with selected anthropometric parameters and inflammatory markers, but the observed associations are exploratory and require confirmation. Full article
Show Figures

Graphical abstract

16 pages, 695 KB  
Article
Vitamin D Sufficiency Revisited: Evidence of a Dose–Response Effect for MASLD in Adults at Risk
by Gediz Dogay Us, Francesco Innocenti, Ozgur Muhammet Koc, Volkan Demirhan Yumuk, Zeynep Banu Gungor and Ger H. Koek
Nutrients 2026, 18(4), 599; https://doi.org/10.3390/nu18040599 - 11 Feb 2026
Viewed by 329
Abstract
Background and Aims: Vitamin D plays a pivotal role in liver health, influencing multiple steps in the development of steatosis, fibrosis, and extrahepatic complications in metabolic dysfunction-associated steatotic liver disease (MASLD). However, serum vitamin D concentrations that confer optimal hepatic protection in MASLD [...] Read more.
Background and Aims: Vitamin D plays a pivotal role in liver health, influencing multiple steps in the development of steatosis, fibrosis, and extrahepatic complications in metabolic dysfunction-associated steatotic liver disease (MASLD). However, serum vitamin D concentrations that confer optimal hepatic protection in MASLD remain unclear. We therefore aimed to investigate the association between vitamin D status and MASLD and to explore whether higher vitamin D concentrations confer incremental protection beyond current sufficiency cut-offs. Method: We conducted a multicenter cross-sectional study of 1039 adults with at least one cardiometabolic risk factor for MASLD diagnosis, recruited between 2022 and 2024. Participants that reported excessive alcohol intake (>30 g/day for men, >20 g/day for women) and other etiologies of liver disease were excluded. Serum vitamin D levels were measured, with ≥20 ng/mL defined as sufficiency. MASLD (controlled attenuation parameter [CAP] ≥ 248 dB/m) and significant fibrosis (liver stiffness measurement [LSM] ≥ 8 kPa) were assessed using vibration-controlled transient elastography. Missing vitamin D values were imputed with multiple imputation. Associations between vitamin D status, MASLD and fibrosis were examined using multivariable logistic regression models adjusted for potential confounders. Results: Participants had a mean age of 52.2 ± 13.0 years; 51.6% were male and mean BMI was 30.1 ± 5.8 kg/m2. Vitamin D sufficiency and obesity were present in 81.2% (95% CI: 78.4–84.9) and 54.7% (95% CI: 51.3–58.0), respectively. Vitamin D sufficiency was associated with lower odds of MASLD (crude OR = 0.47, 95% CI: 0.33–0.67) and significant fibrosis (crude OR = 0.46, 95% CI: 0.28–0.76). After adjusting for potential confounders, the association between Vitamin D sufficiency and MASLD remained clinically relevant but did not reach statistical significance (adjusted OR = 0.60, 95% CI: 0.36–1.03, p = 0.06). In contrast, the association between Vitamin D sufficiency and significant fibrosis was both clinically relevant and statistically significant (adjusted OR = 0.48, 95% CI: 0.246–0.916, p = 0.03). When Vitamin D was categorized into quartiles, participants in the highest quartile (≥44 ng/dL) had 61% lower odds of MASLD in the adjusted model (adjusted OR = 0.39, 95% CI: 0.21–0.71) compared with participants in the lowest quartile (≤22 ng/mL). No significant dose-dependent associations were observed for fibrosis. Conclusions: Vitamin D levels showed a dose-dependent decrease in the odds of MASLD among at-risk adults. While the protective effect on fibrosis was not dose-dependent, these findings collectively suggest vitamin D as a potentially modifiable factor in MASLD prevention and management. Full article
Show Figures

Figure 1

31 pages, 4945 KB  
Review
MASH in Type 2 Diabetes: Pathophysiology, Diagnosis, and Therapeutic Management—A Narrative Review
by Adela Gabriela Ştefan, Adina Mitrea, Diana Clenciu, Ionela Mihaela Vladu, Maria Magdalena Roşu, Diana Cristina Protasiewicz-Timofticiuc, Theodora Claudia Radu-Gheonea, Ion-Cristian Efrem, Anca Maria Amzolini, Beatrice Elena Vladu, Ana-Maria Efrem, Delia-Viola Reurean Pintilei, Eugen Moţa and Maria Moţa
Medicina 2026, 62(2), 325; https://doi.org/10.3390/medicina62020325 - 5 Feb 2026
Viewed by 356
Abstract
Metabolic dysfunction-associated steatotic liver disease (MASLD) has emerged as one of the greatest challenges for the modern public health system and serves as the foundation for the development of advanced stages, such as metabolic dysfunction-associated steatohepatitis (MASH), which may progress to fibrosis, cirrhosis, [...] Read more.
Metabolic dysfunction-associated steatotic liver disease (MASLD) has emerged as one of the greatest challenges for the modern public health system and serves as the foundation for the development of advanced stages, such as metabolic dysfunction-associated steatohepatitis (MASH), which may progress to fibrosis, cirrhosis, and hepatocellular carcinoma (HCC). MASLD and type 2 diabetes mellitus (T2DM) mutually exacerbate one another. MASLD increases the incidence of T2DM and the risk of complications in patients already affected. T2DM accelerates progression to MASH, which has become the second leading cause of liver transplantation and end-stage liver disease, and is associated with hepatic decompensation, cirrhosis, HCC, chronic kidney disease, and cardiovascular disease. MASLD and MASH are strongly linked to T2DM and obesity, pathogenesis including genetic polymorphisms, environmental factors, and multiple metabolic disturbances: insulin resistance (IR), gut dysbiosis, altered adipokine signaling, such as reduced adiponectin alongside increased pro-inflammatory cytokines. Inflammation plays a central role in the development of HCC in MASH, even in the absence of significant fibrosis. The Fibrosis-4 index (FIB-4) should be used as a first-line noninvasive tool to assess fibrosis risk. Additionally, ultrasound-based transient elastography (FibroScan) supports clinicians in assessing steatosis and fibrosis severity. Histologically, MASH is characterized by steatosis, lobular inflammatory changes, and ballooning degeneration of hepatocytes, with or without associated fibrosis. Accurately diagnosing and stratifying MASLD based on fibrosis risk is crucial to identify patients who may benefit from pharmacological treatment or can be managed only with lifestyle interventions. Patients should attain above 10% weight loss through lifestyle modifications. Resmetirom is recommended in F2/F3 fibrosis stages. For treating T2DM, glucagon-like peptide-1 receptor agonists and coagonists, sodium–glucose cotransporter-2 inhibitors, metformin (if glomerular filtration rate exceeds 30 mL/min), and insulin (in decompensated cirrhosis) are preferred. Clinical insights derived from trials are expected to optimize quality of life and long-term outcomes in patients with MASH. Full article
(This article belongs to the Special Issue Advances in the Diagnosis and Treatment of Type 2 Diabetes Mellitus)
Show Figures

Figure 1

23 pages, 899 KB  
Review
New Treatment Options for MASLD Patients with Type 2 Diabetes
by Andrea Mega, Chiara Turri, Luca Marzi, Marco Dauriz, Rodolfo Sacco, Annarosa Floreani and Cristina Stasi
Life 2026, 16(2), 254; https://doi.org/10.3390/life16020254 - 2 Feb 2026
Viewed by 639
Abstract
Metabolic dysfunction-associated steatotic liver disease (MASLD) is defined by hepatic steatosis in individuals with at least one cardiometabolic risk factor, most commonly type 2 diabetes mellitus (T2DM). People with non-alcoholic fatty liver disease, even without other metabolic factors, have a higher risk of [...] Read more.
Metabolic dysfunction-associated steatotic liver disease (MASLD) is defined by hepatic steatosis in individuals with at least one cardiometabolic risk factor, most commonly type 2 diabetes mellitus (T2DM). People with non-alcoholic fatty liver disease, even without other metabolic factors, have a higher risk of T2DM. MASLD includes isolated liver steatosis, metabolic dysfunction-associated steatohepatitis, fibrosis, cirrhosis, and MASH-related hepatocellular carcinoma. MASLD patients are also at a higher risk of developing T2DM than the general population. International guidelines recommend a stepwise approach for identifying those at high risk of fibrotic progression, using the FIB-4 index for initial screening, followed by transient elastography. The link between MASLD and T2DM is notable due to shared pathophysiological mechanisms, some of which are reversible with treatment used in T2DM. Many new glucose-lowering drugs have also proven effective in improving anthropometric and metabolic parameters, as well as the stage of hepatic steatosis and fibrosis. Recent evidence suggests that GLP-1RAs and SGLT2is have beneficial effects in MASLD patients with T2DM. Specifically, GLP-1RAs improve hepatic insulin signaling, modulate lipid metabolism, reduce inflammation, and decrease hepatocyte oxidative stress. European guidelines recommend resmetirom as a MASH-targeted therapy, if locally approved, for adults with non-cirrhotic MASH and significant liver fibrosis (stage ≥ 2) and GLP-1RAs in MASH, including compensated cirrhosis, but they should be used for their respective indications, such as T2DM and obesity. Given the post-COVID burden of MASLD and its high risk of liver fibrosis progression among T2DM patients, this review specifically provides an overview of the complex relationship between MASLD and T2DM. Additionally, it examines current understanding of liver fibrosis evaluation and the effects of novel treatment options, with a particular focus on glucose-lowering therapies and their effects on necroinflammation, hepatic fat accumulation, and fibrosis progression in patients with MASLD and T2DM. Full article
(This article belongs to the Section Medical Research)
Show Figures

Figure 1

13 pages, 628 KB  
Review
Metabolic and Anthropometric Alterations in Juvenile Idiopathic Arthritis: A Focus on Cardiometabolic Risk and Non-Invasive Evaluation Methods
by Agnieszka Januś, Justyna Roszkiewicz and Elżbieta Smolewska
Metabolites 2026, 16(2), 90; https://doi.org/10.3390/metabo16020090 - 24 Jan 2026
Viewed by 426
Abstract
Juvenile idiopathic arthritis (JIA) is the most prevalent chronic rheumatologic condition in childhood, with an incidence that continues to rise worldwide. Despite substantial progress in therapeutic strategies over the past two decades, JIA remains a major health concern. Beyond joint inflammation and musculoskeletal [...] Read more.
Juvenile idiopathic arthritis (JIA) is the most prevalent chronic rheumatologic condition in childhood, with an incidence that continues to rise worldwide. Despite substantial progress in therapeutic strategies over the past two decades, JIA remains a major health concern. Beyond joint inflammation and musculoskeletal impairment, accumulating evidence indicates that JIA is associated with metabolic disturbances and altered body composition, which may predispose affected children to an elevated cardiovascular risk in the long term. The objective of this review is to synthesize current knowledge on these metabolic and anthropometric alterations and to evaluate the role of non-invasive diagnostic methods in detecting early cardiovascular changes. A narrative review of the literature was conducted using PubMed and Scopus databases, focusing on studies assessing lipid metabolism, insulin resistance, adiposity, and cardiovascular markers in pediatric patients with JIA. Special attention was given to non-invasive diagnostic approaches, including bioelectrical impedance analysis (BIA), dual-energy X-ray absorptiometry (DXA), skinfold thickness, transient elastography, carotid intima–media thickness (cIMT), as well as selected biochemical markers. Evidence suggests that children with JIA frequently present with dyslipidemia, increased insulin resistance, and abnormal body fat distribution compared with their healthy peers. Non-invasive assessment methods, particularly DXA and cIMT, have demonstrated sensitivity in detecting subclinical metabolic and vascular changes. These alterations resemble early features of metabolic syndrome and are thought to contribute to premature cardiovascular morbidity in this population. Incorporating non-invasive cardiovascular risk assessment into routine rheumatology practice may improve early detection of metabolic and vascular complications in JIA, support timely preventive interventions, and ultimately enhance long-term outcomes for affected children. Most available evidence is derived from cross-sectional studies, highlighting the need for longitudinal investigations to better define long-term cardiometabolic risk in JIA. Full article
(This article belongs to the Special Issue The Metabolic Genesis of Cardiovascular Disease)
Show Figures

Figure 1

14 pages, 967 KB  
Article
Acute Changes in Liver and Spleen Stiffness Following Endoscopic Variceal Ligation in Advanced Liver Disease—A Pilot Study
by Esra Görgülü, Eva Herrmann, Jonel Trebicka, Alexander Queck, Georg Dultz, Vitali Koch, Stefan Zeuzem, Jörg Bojunga, Viola Knop, Florian Alexander Michael and Mireen Friedrich Rust
J. Clin. Med. 2026, 15(2), 816; https://doi.org/10.3390/jcm15020816 - 20 Jan 2026
Viewed by 217
Abstract
Background/Objectives: Endoscopic variceal ligation (EVL) is a common treatment for preventing variceal bleeding in patients with advanced chronic liver disease (ACLD). However, its acute hemodynamic impact is typically assessed using invasive methods, and there is data on short-term spleen stiffness (SS) dynamics are [...] Read more.
Background/Objectives: Endoscopic variceal ligation (EVL) is a common treatment for preventing variceal bleeding in patients with advanced chronic liver disease (ACLD). However, its acute hemodynamic impact is typically assessed using invasive methods, and there is data on short-term spleen stiffness (SS) dynamics are limited. This pilot study aimed to quantify short-interval changes in liver stiffness (LS) and SS following EVL using transient elastography (TE), and to explore their associations with clinical and laboratory parameters. Methods: This prospective observational study enrolled adults with advanced liver disease undergoing esophagogastroduodenoscopy (EGD) with or without EVL at a tertiary center. Liver and spleen TE were performed in a fasted state immediately before endoscopy and repeated within 12 h after EVL. Organ-specific probes and predefined quality criteria were used, and non-parametric methods were applied to assess within-patient changes and correlations. Results: Fifty patients were included in the study: 21 underwent EVL, while the remaining 29 underwent diagnostic endoscopies only. The most common cause was alcohol-related liver disease. Within the EVL subgroup, the median liver stiffness (LSM) increased from 27.6 kPa to 45.1 kPa, and the median spleen stiffness (SSM) increased from 59.9 kPa to 98.3 kPa, both within 12 h. While these increases showed a uniform direction, they did not reach statistical significance. A higher baseline SS predicted a greater LS increase, and stiffness measures correlated with creatinine, disease duration, Child–Pugh class, albumin and ascites. Conclusions: Short-term increases in liver and spleen stiffness following EVL are consistent with acute hemodynamic alterations, such as increased hepatic perfusion and splenic congestion, rather than structural remodeling. These findings, beyond changes in stiffness alone, support the feasibility of integrating TE, particularly the measurement of SS, into early peri-procedural hemodynamic surveillance after EVL. They also justify larger studies with serial time points and direct portal pressure validation. Full article
(This article belongs to the Section Gastroenterology & Hepatopancreatobiliary Medicine)
Show Figures

Graphical abstract

12 pages, 826 KB  
Article
Physical Activity and Liver Fibrosis: A Stratified Analysis by Obesity and Diabetes Status
by Junghwan Cho, Sunghwan Suh, Ji Min Han, Hye In Kim, Hanaro Park, Hye Rang Bak and Ji Cheol Bae
J. Clin. Med. 2026, 15(2), 757; https://doi.org/10.3390/jcm15020757 - 16 Jan 2026
Viewed by 379
Abstract
Background/Objectives: We investigated the association between leisure-time physical activity (LTPA) and liver fibrosis, and whether this relationship differs by obesity and diabetes status. Methods: We conducted a cross-sectional analysis using data from the National Health and Nutrition Examination Survey (NHANES) 2017–March [...] Read more.
Background/Objectives: We investigated the association between leisure-time physical activity (LTPA) and liver fibrosis, and whether this relationship differs by obesity and diabetes status. Methods: We conducted a cross-sectional analysis using data from the National Health and Nutrition Examination Survey (NHANES) 2017–March 2020 cycle. LTPA was assessed using the Global Physical Activity Questionnaire (GPAQ) and classified as physically active if engaging in ≥600 metabolic equivalent (MET)-minutes per week of moderate-to-vigorous activity, or inactive. Clinically significant liver fibrosis was defined as liver stiffness measurement (LSM) ≥ 8.0 kPa on transient elastography. Multivariable logistic and linear regression models estimated adjusted odds ratios (ORs) for significant liver fibrosis, with additional subgroup analyses according to obesity and diabetes status. Results: In 7662 U.S. adults, physically active participants (n = 2721) had a lower prevalence of significant fibrosis than inactive individuals (5.4% vs. 11.4%, p < 0.001). In multivariable analysis, Participants who were physically active were associated with 42% lower odds of having fibrosis (OR 0.58, 95% confidence interval [CI] 0.41–0.82; p = 0.004). This association remained consistent in subgroup analyses stratified by obesity and diabetes status, even in the non-obese subgroup with body mass index (BMI) < 30 kg/m2 (OR 0.54, 95% CI 0.32–0.91; p = 0.022) and the non-diabetic subgroup (OR 0.59, 95% CI 0.39–0.90; p = 0.016). Conclusions: Regular moderate-to-vigorous LTPA was independently associated with lower likelihood of clinically significant liver fibrosis. This beneficial association was significant regardless of obesity or diabetes status, suggesting that LTPA may play a clinically meaningful role in populations at high risk for progressive liver disease. Full article
(This article belongs to the Section Gastroenterology & Hepatopancreatobiliary Medicine)
Show Figures

Figure 1

16 pages, 2240 KB  
Article
Assessment of Liver Fibrosis Stage and Cirrhosis Regression After Long-Term Follow-Up Following Sustained Virological Response
by Lidia Canillas, Dolores Naranjo, Teresa Broquetas, Juan Sánchez, Anna Pocurull, Esther Garrido, Rosa Fernández, Xavier Forns and José A. Carrión
Diagnostics 2026, 16(2), 279; https://doi.org/10.3390/diagnostics16020279 - 15 Jan 2026
Viewed by 414
Abstract
Background/Objectives: Previous studies have demonstrated that the cessation of liver damage after HCV cure can improve liver function, histological necroinflammation, and portal hypertension. However, scarce data about fibrosis stage or cirrhosis regression have been reported during follow-up. Methods: A prospective study [...] Read more.
Background/Objectives: Previous studies have demonstrated that the cessation of liver damage after HCV cure can improve liver function, histological necroinflammation, and portal hypertension. However, scarce data about fibrosis stage or cirrhosis regression have been reported during follow-up. Methods: A prospective study evaluating hepatic biopsies and liver stiffness measurement by vibration-controlled transient elastography (VCTE-LSM) after the end of treatment (EOT) in patients with compensated advanced chronic liver disease (cACLD). Fibrosis was evaluated according to two semi-quantitative grading systems (METAVIR and Laennec) at 6 years after EOT (LB6) and compared with biopsies at 3 years (LB3). Results: Fifty-four patients with LB6 (34 with paired LB3–LB6) were included. Median (IQR) age was 53.9 (48.5–59.3), 38 (70.4%) were men, and 13 (24.1%) were HIV-coinfected. The VCTE-LSM was >15 kPa in 30 (55.6%). The LB6 (81.4 months after EOT) showed non-advanced fibrosis (F1–F2) in 12 (22.4%) patients, bridging (F3) in 26 (48.2%), and cirrhosis (F4) in 16 (29.6%): F4A in 7 (13.0%), F4B in 4 (7.4%), and F4C in 5 (9.3%). The 1-year post-EOT follow-up VCTE-LSM ≤ 8.6 kPa identifies patients without advanced fibrosis (AUROC = 0.929), with a negative predictive value of 88.9% and a positive predictive value of 95.2%. Paired biopsies showed regression in 9 (47.4%) out of 19 patients with cirrhosis: 8 (61.5%) of 13 with F4A but only 1 (16.7%) of 6 with F4B–F4C. Conclusions: Advanced fibrosis persists in most patients with advanced chronic liver disease after HCV eradication. Regression is possible in mild cirrhosis. However, it is a limited and slow event. Full article
(This article belongs to the Special Issue Advances in Diagnosis and Management of Liver Diseases)
Show Figures

Figure 1

16 pages, 953 KB  
Article
MASLD or MetALD? Unveiling the Role of Alcohol in Liver Disease Progression in Diabetic Patients
by Ermina Stratina, Carol Stanciu, Robert Nastasa, Sebastian Zenovia, Remus Stafie, Adrian Rotaru, Stefan Chiriac, Irina Girleanu, Cristina Muzica, Horia Minea, Laura Huiban and Anca Trifan
Biomedicines 2026, 14(1), 82; https://doi.org/10.3390/biomedicines14010082 - 31 Dec 2025
Viewed by 497
Abstract
Background: The transition from the term non-alcoholic fatty liver disease (NAFLD) to steatotic liver disease (SLD), an umbrella term for several related conditions, offers benefits, particularly in identifying cardiometabolic risk factors more effectively. However, the impact of alcohol consumption on liver disease [...] Read more.
Background: The transition from the term non-alcoholic fatty liver disease (NAFLD) to steatotic liver disease (SLD), an umbrella term for several related conditions, offers benefits, particularly in identifying cardiometabolic risk factors more effectively. However, the impact of alcohol consumption on liver disease progression remains significant, leading to the recognition of a new entity: MetALD (metabolic dysfunction-associated steatotic liver disease with moderate alcohol intake). Aim: This study aimed to compare characteristics associated with liver disease progression in diabetic patients diagnosed with metabolic dysfunction-associated steatotic liver disease (MASLD) versus those with MetALD. Materials and Methods: In this prospective study, 286 diabetic patients were followed for 12 months. All patients underwent transient elastography (TE) and ultrasound to assess hepatic steatosis. Participants were classified into MASLD and MetALD groups. The performance of fibrosis-4 index (FIB-4), and NAFLD fibrosis score (NFS) were also evaluated. Results: MASLD was diagnosed in 58.2% (167 patients), of whom 4.9% (7 patients) had TE values suggestive for liver cirrhosis. Among those with MetALD, 17.6% (21 patients) had TE values compatible with advanced fibrosis. MASLD subjects presented a slight decrease in liver fibrosis values from 6.58 ± 2.27 kPa to 6.03 ± 1.57 kPa in the 12 months. On the contrary, MetALD subjects had an increase of liver stiffness measurements (LSM) values from 11.83 ± 6.27 kPa to 12.24 ± 8.66 kPa. Conclusions: in diabetic patients, the coexistence of moderate alcohol intake and cardiometabolic risk factors (MetALD) is associated with more advanced liver fibrosis and impaired long-term glycemic control, compared to MASLD alone. Full article
Show Figures

Figure 1

18 pages, 1029 KB  
Article
Associations Between Systemic Inflammatory Markers, Metabolic Dysfunction, and Liver Fibrosis Scores in Patients with MASLD
by Ragaey Ahmad Eid, Ahmed Moheyeldien Hamed, Sara O. Elgendy, Khalid M. Orayj, Ahmed R. N. Ibrahim, Ahmed M. Abdel Hamied, Engy A. Wahsh, Maha Youssif, Hoda Rabea, Yasmin M. Madney, Dina Attia and Shaymaa Nafady
Metabolites 2026, 16(1), 25; https://doi.org/10.3390/metabo16010025 - 25 Dec 2025
Viewed by 860
Abstract
Background: Metabolic dysfunction-associated steatotic liver disease (MASLD) has emerged as a global health challenge due to its complex pathophysiological processes. Systemic inflammation may profoundly affect disease progression, but the correlation between inflammatory markers and disease severity remains inadequately explored. This cross-sectional analysis within [...] Read more.
Background: Metabolic dysfunction-associated steatotic liver disease (MASLD) has emerged as a global health challenge due to its complex pathophysiological processes. Systemic inflammation may profoundly affect disease progression, but the correlation between inflammatory markers and disease severity remains inadequately explored. This cross-sectional analysis within a prospective cohort evaluated associations of inflammatory markers (IL-6, TNF-α, hsCRP) with MASLD severity (five non-invasive scores) and metabolic indices, primarily with early-stage disease (66.7% mild fibrosis by TE). Methods: We recruited 120 patients diagnosed with MASLD. Assessment included anthropometric measurements, laboratory analyses, and non-invasive fibrosis evaluation using five validated scoring systems (APRI, FIB-4, NAFLD fibrosis score, FAST score, and transient elastography). Inflammatory markers were quantified using high-sensitivity ELISA techniques. Medication/comorbidities were recorded (statins 23.3%, diabetes drugs 26.7%), and multivariate regressions and FDR correction were applied. Results: Patients showed remarkably elevated inflammatory markers compared to reference ranges: IL-6 (15.1 ± 9.3 pg/mL), TNF-α (38.8 ± 29.1 pg/mL), and hsCRP (12.3 ± 11.1 mg/L). No correlations were found between inflammatory markers and disease severity across any non-invasive scoring system. However, TNF-α correlated significantly with waist circumference (r = 0.28, p = 0.002) and ALT (r = 0.19, p = 0.03), while showing inverse correlations with total cholesterol (r = −0.27, p = 0.03) and LDL (r = −0.22, p = 0.02). In contrast, hsCRP correlated positively with LDL (r = 0.20, p = 0.02) and WBC count (r = 0.24, p = 0.008). Conclusion: This study reveals a dissociation between systemic inflammatory markers and hepatic fibrosis severity in MASLD. Inflammatory Markers showed stronger metabolic associations than fibrosis, limiting their utility as fibrosis surrogates in early MASLD. These findings support a dual-pathway approach to MASLD management, targeting metabolic and hepatic components independently. The divergent associations of TNF-α and hsCRP with lipid profiles suggest distinct inflammatory mechanisms in MASLD. Full article
(This article belongs to the Special Issue Metabolomics and MASLD: Pathways, Biomarkers, and Clinical Insights)
Show Figures

Graphical abstract

13 pages, 870 KB  
Article
Use of FibroScan-AST (FAST) Score and Fibrosis-4 Index to Identify Advanced Liver Fibrosis in Patients with Type 2 Diabetes and Metabolic Dysfunction-Associated Steatotic Liver Disease
by Abir Alsaid, Reem J. Al Argan, Yasir A. Elamin, Nora Alshiekh, Amna Hassan, Abdullah Alotaibi, Ihab Gaarour and Mona H. Ismail
J. Clin. Med. 2026, 15(1), 50; https://doi.org/10.3390/jcm15010050 - 21 Dec 2025
Cited by 1 | Viewed by 710
Abstract
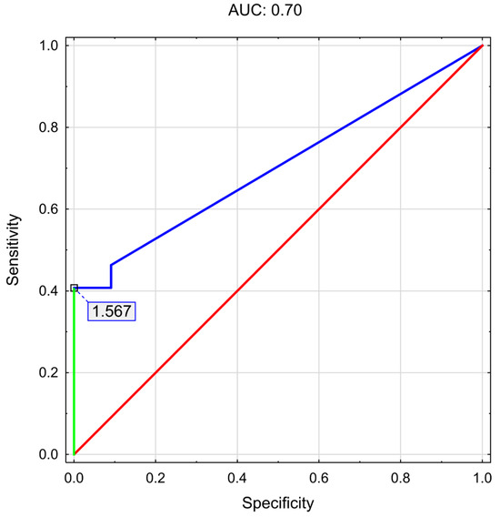
Background: Metabolic dysfunction-associated steatotic liver disease (MASLD) is highly prevalent in patients with type 2 diabetes (T2D), and advanced fibrosis is the strongest predictor of liver-related morbidity and mortality. Therefore, early noninvasive risk stratification is critical. While the Fibrosis-4 (FIB-4) index and vibration-controlled [...] Read more.
Background: Metabolic dysfunction-associated steatotic liver disease (MASLD) is highly prevalent in patients with type 2 diabetes (T2D), and advanced fibrosis is the strongest predictor of liver-related morbidity and mortality. Therefore, early noninvasive risk stratification is critical. While the Fibrosis-4 (FIB-4) index and vibration-controlled transient elastography (VCTE) are widely used, the newer FibroScan-AST (FAST) score has shown promise in detecting at-risk metabolic-associated steatohepatitis (MASH) with significant fibrosis. Evidence comparing the FAST and FIB-4 indices in Middle Eastern T2D populations remains limited. We compared the diagnostic performances of these models for advanced fibrosis in Saudi patients with T2D and MASLD. Methods: We conducted a retrospective analysis of 273 patients diagnosed with T2D and MASLD. All patients underwent VCTE. To identify advanced fibrosis, we used liver stiffness measurement (LSM) as a surrogate marker for liver biopsy. We calculated the FAST and FIB-4 indices for each patient. To assess the diagnostic performance of these scores, we evaluated their sensitivity, specificity, positive predictive value, negative predictive value, and area under the receiver operating characteristic curve (AUROC). Results: In this cohort study, 26.4% of participants had a high-risk FAST score (>0.35; median: 0.13). Patients with high-risk FAST scores (>0.35) were younger, had higher BMIs, elevated liver enzyme levels, and poorer glycemic control than those in the lower-risk groups. High-risk FAST scores were strongly correlated with elevated LSM, FIB-4, and controlled attenuation parameter values (p < 0.001). The FAST score demonstrated better performance than the FIB-4 index in detecting advanced fibrosis. It showed higher accuracy (85.4% vs. 77.3%), sensitivity (82.0% vs. 48.0%), and negative predictive value (95.5% vs. 87.8%) while maintaining a similar specificity. The AUROC values were 0.936 (95% CI: 0.901–0.971) for the FAST score compared to 0.711 (95% CI: 0.625–0.797) for the FIB-4 index. Conclusions: The FAST score demonstrated better diagnostic accuracy than the FIB-4 index and identified patients with poor metabolic control and obesity as being at the highest risk among Saudi patients with T2D and MASLD. These findings support the integration of other elastography-based tests into stepwise fibrosis screening pathways for diabetic populations, potentially improving the early detection of advanced fibrosis and patient outcomes. Full article
(This article belongs to the Section Gastroenterology & Hepatopancreatobiliary Medicine)
Show Figures

Figure 1

11 pages, 407 KB  
Article
Metabolic Syndrome and Methotrexate-Associated Liver Injury: Insights from Elastography and Liver Biopsy Study
by Kaila Fennell, Maya Mahmoud and Kamran Qureshi
Livers 2025, 5(4), 67; https://doi.org/10.3390/livers5040067 - 15 Dec 2025
Viewed by 623
Abstract
Background: Methotrexate (MTX), a widely used therapeutic agent, is associated with hepatotoxicity. While cumulative MTX dosage has historically been linked to liver injury, recent evidence highlights the potential role of metabolic syndrome (MetS) as a key contributor. Objective: We evaluate the association between [...] Read more.
Background: Methotrexate (MTX), a widely used therapeutic agent, is associated with hepatotoxicity. While cumulative MTX dosage has historically been linked to liver injury, recent evidence highlights the potential role of metabolic syndrome (MetS) as a key contributor. Objective: We evaluate the association between MetS and MTX-associated liver injury using vibration-controlled transient elastography (VCTE) and liver biopsy in patients suspected to have MTX-related liver injury. Design: This retrospective study analyzed 59 patients with chronic MTX use who underwent VCTE in hepatology clinics between 2016 and 2024. Patients with alternative causes of liver injury were excluded. MetS was defined per standard criteria as the presence of ≥3 criteria: diabetes, hypertension, BMI ≥ 30 kg/m2, hypertriglyceridemia, or low HDL levels. Measurements: Liver stiffness measurement (LSM) and steatosis (CAP) were measured via VCTE, and liver biopsy data were reviewed for steatohepatitis. ANCOVA was used to assess the effect of MetS on liver disease while controlling for cumulative MTX dosage. Results: Of the 59 patients (mean age: 62 years; mean BMI: 34.3 kg/m2), 36 (61%) met the criteria for MetS. CAP values were significantly higher in patients with MetS (p < 0.001) independent of cumulative MTX dosage. Transformed LSM values also showed a significant association with MetS (p = 0.028). Logistic regression identified MetS as a significant predictor of biopsy-confirmed steatosis and steatohepatitis (p < 0.001) and higher NAFLD activity score (p = 0.002), whereas cumulative MTX dosage was not (p = 0.47). Conclusions: MetS is strongly associated with liver injury in chronic MTX users, independent of cumulative MTX dosage. These findings suggest metabolic factors as key mediators of MTX-induced hepatotoxicity. Prospective, multicenter studies are needed to confirm these findings and improve non-invasive monitoring strategies. Full article
Show Figures

Figure 1

12 pages, 632 KB  
Article
Malnutrition Is Associated with Increased Liver Stiffness in Type 2 Diabetes: The Mediating Role of Inflammation
by Aurelio Lo Buglio, Francesco Bellanti, Rosanna Villani, Cristiano Capurso, Grazia Pia Magnati, Sara Cioffi, Gabriele Tedesco, Carlo Alberto Torsello, Gianluigi Vendemiale and Gaetano Serviddio
Biomolecules 2025, 15(12), 1735; https://doi.org/10.3390/biom15121735 - 13 Dec 2025
Viewed by 573
Abstract
Background: Malnutrition is a prevalent and under-recognized condition in patients with type 2 diabetes mellitus (T2DM), contributing to various complications, including liver fibrosis. In this study, we aimed to evaluate the association between malnutrition and liver fibrosis in patients with T2DM, and to [...] Read more.
Background: Malnutrition is a prevalent and under-recognized condition in patients with type 2 diabetes mellitus (T2DM), contributing to various complications, including liver fibrosis. In this study, we aimed to evaluate the association between malnutrition and liver fibrosis in patients with T2DM, and to assess whether inflammation mediates this relationship. Methods: In this prospective single-centre study, 87 adult outpatients with T2DM underwent nutritional assessment using the Subjective Global Assessment (SGA) and liver stiffness measurement by transient elastography. Metabolic dysfunction-associated steatotic liver disease (MASLD) was diagnosed according to EASL guidelines. C-reactive protein (CRP) was measured as a marker of systemic inflammation. Multivariable linear regression and mediation analysis were performed, adjusting for age and sex. Results: Malnutrition was present in 50.6% of patients, MASLD in 66.7%, and both conditions coexisted in 36.8%. Malnutrition (B = 2.29, p < 0.001), MASLD (B = 1.54, p = 0.001), smoking (B = 1.06, p = 0.014), and CRP (B = 0.32, p < 0.001) were independently associated with increased liver stiffness. CRP partially mediated the effect of malnutrition on liver stiffness (indirect effect = 0.54; 95% CI 0.20–0.95), accounting for 18% of the total effect. Conclusions: In T2DM, malnutrition is a strong independent predictor of liver fibrosis, with its effect partially mediated by systemic inflammation. Addressing nutritional status and inflammatory burden may help slow fibrotic progression in this high-risk population. Full article
(This article belongs to the Special Issue Liver Damage and Associated Metabolic Disorders)
Show Figures

Figure 1

14 pages, 826 KB  
Article
Gender Differences in Healthy Eating Index as Informed by the Awareness of Diagnosis of Metabolic Dysfunction-Associated Steatotic Liver Disease
by Wei-Ting Lin, Madeline Novack, Suthat Liangpunsakul, Chiung-Kuei Huang, Hui-Yi Lin, Po-Hung Chen, Tung-Sung Tseng and Peng-Sheng Ting
Livers 2025, 5(4), 61; https://doi.org/10.3390/livers5040061 - 28 Nov 2025
Viewed by 806
Abstract
Background/Objectives: Dietary quality is a driver of metabolic dysfunction-associated steatotic liver disease (MASLD). Men and women often have different levels of adherence to medical advice, but the effect of gender on adherence to dietary advice as a function of awareness of MASLD is [...] Read more.
Background/Objectives: Dietary quality is a driver of metabolic dysfunction-associated steatotic liver disease (MASLD). Men and women often have different levels of adherence to medical advice, but the effect of gender on adherence to dietary advice as a function of awareness of MASLD is understudied. We aim to investigate the differences in diet quality between men and women who are aware of their diagnosis of MASLD compared to their undiagnosed counterparts. Methods: We utilized the National Health and Nutrition Examination Survey 2017–2020 to identify a nationally representative sample of subjects with MASLD, 127 of whom reported a diagnosis of MASLD (diagnosed MASLD), and 1703 of whom did not report an existing diagnosis of MASLD but met criteria of the disease based on vibration-controlled transient elastography results and cardiometabolic criteria (undiagnosed MASLD). Results: In a gender-stratified analysis of diet quality as a function of reported MASLD diagnosis, women with diagnosed MASLD were more likely than women with undiagnosed MASLD to consume less added sugar and more total and whole fruits. Women with diagnosed MASLD had a 3.06 higher healthy eating index score than undiagnosed women, after adjusting for confounders such as demographics, comorbidities, lifestyle behaviors, and metabolic risk factors. In men, total diet quality did not differ based on awareness of MASLD diagnosis. Conclusions: Women with diagnosed MASLD have superior diets compared to their undiagnosed counterparts. Gender-specific approaches to counseling and prospective studies that investigate causes of gender-driven differences in dietary behavior in the context of MASLD are needed. Full article
Show Figures

Figure 1

Back to TopTop