High EZH2 Protein Expression Is a Poor Prognostic Predictor in IDH1 R132H-Negative Gliomas
Abstract
1. Introduction
2. Materials and Methods
2.1. Study Design and Recruitment of Study Populations
2.2. Immunohistochemistry Analysis with EZH2 and IDH1 R132H
2.3. IDH1 R132H Immunohistochemistry Evaluation
2.4. EZH2 Immunohistochemistry Evaluation
2.5. Clinical Outcome Assessment
2.6. Statistical Analysis
3. Results
3.1. Clinicopathological Characteristics of the Enrolled Study Population
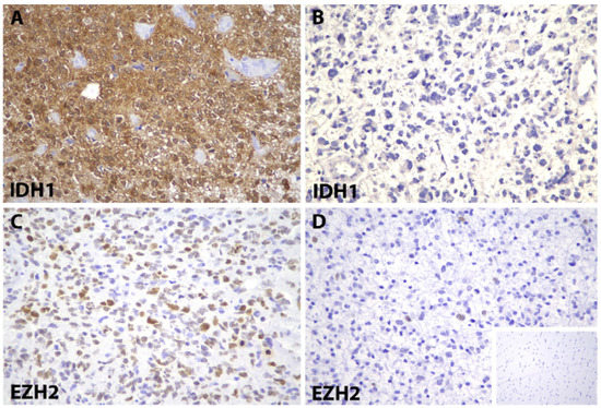
3.2. EZH2 and IDH1 R132H Mutant Protein Immunoreactivity in Human Gliomas
3.3. Correlations between EZH2 Protein Expression and Clinicopathological Parameters
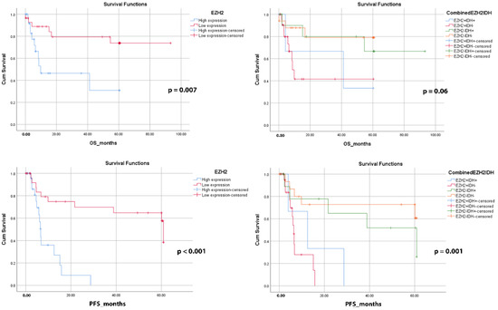
3.4. Prognostic Value of EZH2 in Human Gliomas
4. Discussion
5. Conclusions
Author Contributions
Funding
Institutional Review Board Statement
Informed Consent Statement
Data Availability Statement
Acknowledgments
Conflicts of Interest
References
- Ostrom, Q.T.; Gittleman, H.; Stetson, L.; Virk, S.M.; Barnholtz-Sloan, J.S. Epidemiology of gliomas. Cancer Treat. Res. 2015, 163, 1–14. [Google Scholar]
- Ostrom, Q.T.; Bauchet, L.; Davis, F.G.; Deltour, I.; Fisher, J.L.; Langer, C.E.; Pekmezci, M.; Schwartzbaum, J.A.; Turner, M.C.; Walsh, K.M.; et al. The epidemiology of glioma in adults: A “state of the science” review. Neuro-Oncology 2014, 16, 896–913. [Google Scholar] [CrossRef]
- Siegel, R.L.; Miller, K.D.; Fuchs, H.E.; Jemal, A. Cancer statistics, 2021. CA Cancer J. Clin. 2021, 71, 7–33. [Google Scholar] [CrossRef]
- Hadziahmetovic, M.; Shirai, K.; Chakravarti, A. Recent advancements in multimodality treatment of gliomas. Future Oncol. 2011, 7, 1169–1183. [Google Scholar] [CrossRef] [PubMed]
- Ang, P.P.; Tan, G.C.; Karim, N.; Wong, Y.P. Diagnostic value of the EZH2 immunomarker in malignant effusion cytology. Acta Cytol. 2020, 64, 248–255. [Google Scholar] [CrossRef]
- Bian, E.B.; Li, J.; He, X.-J.; Zong, G.; Jiang, T.; Li, J.; Zhao, B. Epigenetic modification in gliomas: Role of the histone methyltransferase EZH2. Expert Opin. Ther. Targets 2014, 18, 1197–1206. [Google Scholar] [CrossRef]
- Gan, L.; Yang, Y.; Li, Q.; Feng, Y.; Liu, T.; Guo, W. Epigenetic regulation of cancer progression by EZH2: From biological insights to therapeutic potential. Biomark. Res. 2018, 6, 10. [Google Scholar] [CrossRef]
- Liu, H.; Sun, Y.; Qi, X.; Gordon, R.E.; O’Brien, J.A.; Yuan, H.; Zhang, J.; Wang, Z.; Zhang, M.; Song, Y.; et al. EZH2 phosphorylation promotes self-renewal of glioma stem-like cells through NF-κB methylation. Front. Oncol. 2019, 9, 641. [Google Scholar] [CrossRef] [PubMed]
- Wu, Z.; Wang, Q.; Wang, L.; Li, G.; Liu, H.; Fan, F.; Li, Z.; Li, Y.; Tu, Y. Combined aberrant expression of Bmi1 and EZH2 is predictive of poor prognosis in glioma patients. J. Neurol. Sci. 2013, 335, 191–196. [Google Scholar] [CrossRef]
- Ailon, T.; Dunham, C.; Carret, A.S.; Tabori, U.; McNeely, P.D.; Zelcer, S.; Wilson, B.; Lafay-Cousin, L.; Johnston, D.; Eisenstat, D.D.; et al. The role of resection alone in select children with intracranial ependymoma: The Canadian Pediatric Brain Tumour Consortium experience. Child’s Nerv. Syst. 2015, 31, 57–65. [Google Scholar] [CrossRef] [PubMed]
- Ahmed, S.; Rashed, H.; Hegazy, A.; Mohamed, A.M.; Elmesallamy, W. Prognostic value of ALDH1, EZH2 and Ki-67 in astrocytic gliomas. Turk Patoloji Dergisi 2016, 32, 70–81. [Google Scholar] [CrossRef][Green Version]
- Han, S.; Liu, Y.; Cai, S.J.; Qian, M.Y.; Ding, J.Y.; Larion, M.; Gilbert, M.R.; Yang, C.Z. IDH mutation in glioma: Molecular mechanisms and potential therapeutic targets. Br. J. Cancer 2020, 122, 1580–1589. [Google Scholar] [CrossRef]
- Cohen, A.L.; Holmen, S.L.; Colman, H. IDH1 and IDH2 mutations in gliomas. Curr. Neurol. Neurosci. Rep. 2013, 13, 345. [Google Scholar] [CrossRef] [PubMed]
- Zhang, L.; Liu, Y.; Wang, M.; Wu, Z.; Li, N.; Zhang, J.; Yang, C. EZH2-, CHD4-, and IDH-linked epigenetic perturbation and its association with survival in glioma patients. J. Mol. Cell Biol. 2017, 9, 477–488. [Google Scholar] [CrossRef] [PubMed]
- Cheng, T.; Xu, Y. Effects of enhancer of zeste homolog 2 (EZH2) expression on brain glioma cell proliferation and tumorigenesis. Med. Sci. Monit. 2018, 24, 7249–7255. [Google Scholar] [CrossRef] [PubMed]
- Zhang, J.; Chen, L.; Han, L.; Shi, Z.; Zhang, J.; Pu, P.; Kang, C. EZH2 is a negative prognostic factor and exhibits pro-oncogenic activity in glioblastoma. Cancer Lett. 2015, 356, 929–936. [Google Scholar] [CrossRef]
- Komori, T. Grading of adult diffuse gliomas according to the 2021 WHO Classification of Tumors of the Central Nervous System. Lab. Investig. 2022, 102, 126–133. [Google Scholar] [CrossRef]
- Takano, S.; Ishikawa, E.; Sakamoto, N.; Matsuda, M.; Akutsu, H.; Noguchi, M.; Yamamoto, T.; Matsumura, A. Immunohistochemistry on IDH 1/2, ATRX, p53 and Ki-67 substitute molecular genetic testing and predict patient prognosis in grade III adult diffuse gliomas. Brain Tumor Pathol. 2016, 33, 107–116. [Google Scholar] [CrossRef]
- Md Dzali, N.B.; Zahary, M.N.; Abu Bakar, N.H.; Jaafar, H.; Wan Taib, W.R. Distribution pattern of brain tumour in a tertiary hospital in East Coast, Malaysia. Malays. J. Public Health Med. 2017, 2, 41–48. [Google Scholar]
- Ostrom, Q.T.; Patil, N.; Cioffi, G.; Waite, K.; Kruchko, C.; Barnholtz-Sloan, J.S. CBTRUS statistical report: Primary brain and other central nervous system tumors diagnosed in the United States in 2013–2017. Neuro-Oncology 2020, 22, iv1–iv96. [Google Scholar] [CrossRef] [PubMed]
- Pyo, J.S.; Kang, D.W. Prognostic role of EZH2 in gliomas: A meta-analysis. Int. J. Biol. Markers 2018, 33, 62–67. [Google Scholar] [CrossRef]
- Purkait, S.; Sharma, V.; Jha, P.; Sharma, M.C.; Suri, V.; Suri, A.; Sharma, B.S.; Sarkar, C. EZH2 expression in gliomas: Correlation with CDKN2A gene deletion/ p16 loss and MIB-1 proliferation index. Neuropathology 2015, 35, 421–431. [Google Scholar] [CrossRef] [PubMed]
- Gao, B.; Liu, X.; Li, Z.; Zhao, L.; Pan, Y. Overexpression of EZH2/NSD2 histone methyltransferase axis predicts poor prognosis and accelerates tumor progression in triple-negative breast cancer. Front. Oncol. 2021, 10, 600514. [Google Scholar] [CrossRef] [PubMed]
- Melling, N.; Thomsen, E.; Tsourlakis, M.C.; Kluth, M.; Hube-Magg, C.; Minner, S.; Koop, C.; Graefen, M.; Heinzer, H.; Wittmer, C.; et al. Overexpression of enhancer of zeste homolog 2 (EZH2) characterizes an aggressive subset of prostate cancers and predicts patient prognosis independently from pre- and postoperatively assessed clinicopathological parameters. Carcinogenesis 2015, 36, 1333–1340. [Google Scholar] [CrossRef] [PubMed]
- Bae, A.N.; Jung, S.J.; Lee, J.H.; Lee, H.; Park, S.G. Clinical value of EZH2 in hepatocellular carcinoma and its potential for target therapy. Medicina 2022, 58, 155. [Google Scholar] [CrossRef] [PubMed]
- Chen, Y.N.; Hou, S.Q.; Jiang, R.; Sun, J.L.; Cheng, C.D.; Qian, Z.R. EZH2 is a potential prognostic predictor of glioma. J. Cell. Mol. Med. 2021, 25, 925–936. [Google Scholar] [CrossRef]
- Zhang, Y.; Yu, X.; Chen, L.; Zhang, Z.; Feng, S. EZH2 overexpression is associated with poor prognosis in patients with glioma. Oncotarget 2017, 8, 565–573. [Google Scholar] [CrossRef]
- Zhang, L.; Liu, Z.; Li, J.; Huang, T.; Wang, Y.; Chang, L.; Zheng, W.; Ma, Y.; Chen, F.; Gong, X.; et al. Genomic analysis of primary and recurrent gliomas reveals clinical outcome related molecular features. Sci. Rep. 2019, 9, 16058. [Google Scholar] [CrossRef]
- Mu, L.; Long, Y.; Yang, C.; Jin, L.; Tao, H.; Ge, H.; Chang, Y.E.; Karachi, A.; Kubilis, P.S.; Leon, G.D.; et al. The IDH1 mutation-induced oncometabolite, 2-hydroxyglutarate, may affect DNA methylation and expression of PD-L1 in gliomas. Front. Mol. Neurosci. 2018, 11, 82. [Google Scholar] [CrossRef]
- The Cancer Genome Atlas Research Network. Comprehensive, integrative genomic analysis of diffuse lower-grade gliomas. N. Engl. J. Med. 2015, 372, 2481–2498. [Google Scholar] [CrossRef]


| Clinicopathological Parameters | Total Number of Cases (%) | |
|---|---|---|
| Age, years (mean ± SD) | 41.48 ± 21.69 | |
| Gender | Male | 36 (64.3) |
| Female | 20 (35.7) | |
| Race | Malay | 33 (58.9) |
| Chinese | 16 (28.6) | |
| Indian | 4 (7.1) | |
| Other | 3 (5.4) | |
| Tumour location | Supratentorial | 51 (91.1) |
| Infratentorial | 5 (8.9) | |
| Tumour size, cm (mean ± SD) | 4.55 ± 1.78 | |
| Histological diagnosis | Pilocytic astrocytoma | 5 (8.9) |
| Desmoplastic infantile astrocytoma | 1 (1.8) | |
| Astrocytoma, grade 2 | 8 (14.3) | |
| Astrocytoma, grade 3 | 7 (12.5) | |
| Astrocytoma, grade 4 | 2 (3.6) | |
| Glioblastoma, IDH-wildtype, grade 4 | 24 (42.8) | |
| Ependymoma, grade 2 | 2 (3.6) | |
| Oligodendroglioma, grade 2 | 3 (5.4) | |
| Oligodendroglioma, grade 3 | 4 (7.1) | |
| Tumour grade | Grade 1 | 6 (10.7) |
| Grade 2 | 13 (23.2) | |
| Grade 3 | 11 (19.6) | |
| Grade 4 | 26 (46.4) | |
| IDH1 R132H immunoexpression | Positive | 16 (28.6) |
| Negative | 40 (71.4) | |
| EZH2 immunoexpression | High expression | 27 (48.2) |
| Low expression | 29 (51.8) | |
| Combined EZH2/IDH1 R132H | EZH2H/IDH1+ | 4 (7.1) |
| EZH2H/IDH1− | 23 (41.1) | |
| EZH2L/IDH1+ | 12 (21.4) | |
| EZH2L/IDH1− | 17 (30.4) | |
| Adjuvant therapy | No | 28 (50.0) |
| Radiotherapy only | 11 (19.6) | |
| Combined chemotherapy and radiotherapy | 11 (19.6) | |
| Unknown | 6 (10.8) | |
| Clinicopathological Parameters | EZH2 Immunoexpression | p-Value | |
|---|---|---|---|
| High Expression (n, %) | Low Expression (n, %) | ||
| Age, years (mean ± SD) | 50.3 (±19.3) | 33.3 (±20.8) | 0.003 * |
| Gender | 0.579 | ||
| Male | 16 (44.4) | 20 (55.6) | |
| Female | 11 (55.0) | 9 (45.0) | |
| Race | 0.358 | ||
| Malay | 14 (42.4) | 19 (57.6) | |
| Chinese | 8 (50.0) | 8 (50.0) | |
| Indian | 2 (50.0) | 2 (50.0) | |
| Other | 3 (100.0) | 0 (0.0) | |
| Tumour location | 0.052 | ||
| Supratentorial | 27 (52.9) | 24 (47.1) | |
| Infratentorial | 0 (0.0) | 5 (100.0) | |
| Tumour size, cm (mean ± SD) | 4.54 (±1.51) | 4.57 (±2.03) | 0.953 |
| Tumour focality | 0.497 | ||
| Single | 21 (45.7) | 25 (54.3) | |
| Multifocal | 6 (60.0) | 4 (40.0) | |
| Tumour grade | <0.001 * | ||
| Grade 1 | 0 (0.0) | 6 (100.0) | |
| Grade 2 | 1 (7.7) | 12 (92.3) | |
| Grade 3 | 8 (72.7) | 3 (27.3) | |
| Grade 4 | 18 (69.2) | 8 (30.8) | |
| Histological diagnosis | <0.001 * | ||
| Pilocytic astrocytoma | 0 (0.0) | 5 (100.0) | |
| Desmoplastic infantile astrocytoma | 0 (0.0) | 1 (100.0) | |
| Astrocytoma, grade 2 | 0 (0.0) | 8 (100.0) | |
| Astrocytoma, grade 3 | 7 (100.0) | 0 (0.0) | |
| Astrocytoma, grade 4 | 1 (50.0) | 1 (50.0) | |
| Glioblastoma, IDH-wildtype, grade 4 | 17 (70.8) | 7 (29.2) | |
| Ependymoma, grade 2 | 1 (50.0) | 1 (50.0) | |
| Oligodendroglioma, grade 2 | 0 (0.0) | 3 (100.0) | |
| Oligodendroglioma, grade 3 | 1 (25.0) | 3 (75.0) | |
| IDH1 R132H immunoexpression | 0.039 * | ||
| Positive | 4 (25.0) | 12 (75.0) | |
| Negative | 23 (57.5) | 17 (42.5) | |
| Adjuvant therapy | 0.003 * | ||
| No | 7 (25.0) | 21 (75.0) | |
| Radiotherapy only | 9 (81.8) | 2 (18.2) | |
| Combined chemo- and radiotherapy | 7 (63.6) | 4 (36.4) | |
| Unknown | 4 (66.7) | 2 (33.3) | |
| Clinicopathological Parameters | Univariate | Multivariate | ||||
|---|---|---|---|---|---|---|
| HR | 95% CI | p-Value | HR | 95% CI | p-Value | |
| Age | ||||||
| 0–20 | 1.00 | 1.00 | ||||
| 21–40 | 9.995 | 1.262–79.177 | 0.029 * | 4.176 | 0.358–48.740 | 0.254 |
| 41–60 | 12.957 | 1.643–102.182 | 0.015 * | 5.282 | 0.442–63.049 | 0.188 |
| More than 60 | 12.714 | 1.455–111.086 | 0.021 * | 4.062 | 0.218–75.619 | 0.347 |
| Tumour grade | ||||||
| Low grade | 1.00 | 1.00 | ||||
| High grade | 6.876 | 2.479–19.073 | <0.001 * | 7.081 | 0.643–77.985 | 0.110 |
| Location | Not included | |||||
| Infratentorial | 1.00 | |||||
| Supratentorial | 30.175 | 0.414–2200.337 | 0.120 | |||
| Focality | ||||||
| Single | 1.00 | 1.00 | ||||
| Multiple | 4.934 | 1.527–15.944 | 0.008 * | 2.349 | 0.604–9.133 | 0.218 |
| Size | Not included | |||||
| Less than 4 cm | 1.00 | |||||
| More than 4 cm | 1.253 | 0.560–2.801 | 0.583 | |||
| Adjuvant therapy | ||||||
| No | 1.00 | 1.00 | ||||
| Radiotherapy only | 2.263 | 0.733–6.981 | 0.155 | 0.141 | 0.025–0.794 | 0.026 * |
| Both chemotherapy and radiotherapy | 5.178 | 1.918–13.978 | 0.001 * | 0.407 | 0.074–2.249 | 0.303 |
| EZH2 | ||||||
| Low expression | 1.00 | 1.00 | ||||
| High expression | 5.841 | 2.231–15.292 | <0.001 * | 6.784 | 1.465–31.421 | 0.014 * |
| IDH1 R132H | Not included | |||||
| Positive | 1.00 | |||||
| Negative | 1.054 | 0.687–1.616 | 0.811 | |||
| Combined EZH2/IDH1 | ||||||
| EZH2H/IDH1+ | 5.483 | 1.240–24.245 | 0.025 | - | - | |
| EZH2H/IDH1− | 7.753 | 2.321–25.891 | 0.001 * | 2.436 | 0.436–13.607 | 0.310 |
| EZH2L/IDH1+ | 1.509 | 0.428–5.313 | 0.522 | 0.497 | 0.099–2.504 | 0.397 |
| EZH2L/IDH1− | 1.00 | 1.00 |
| Clinicopathological Parameters | Univariate | Multivariate | ||||
|---|---|---|---|---|---|---|
| HR | 95% CI | p-Value | HR | 95% CI | p-Value | |
| Age | Not included | |||||
| 0–20 | ||||||
| 21–40 | 91,576.249 | 0.0–2.649E | 0.932 | |||
| 41–60 | 103,821.439 | 0.0–3.004E | 0.931 | |||
| More than 60 | 185,740.458 | 0.0–5.377E | 0.927 | |||
| Tumour grade | ||||||
| Low grade | 1.00 | 1.00 | ||||
| High grade | 6.100 | 1.671–22.270 | 0.006 * | 24.863 | 3.227–191.544 | 0.002 * |
| Location | Not included | |||||
| Infratentorial | 1.00 | |||||
| Supratentorial | 26.549 | 0.078–9083.097 | 0.271 | |||
| Focality | ||||||
| Single | 1.00 | 1.00 | ||||
| Multiple | 3.113 | 0.826–11.728 | 0.093 | 1.670 | 0.385–7.249 | 0.493 |
| Size | Not included | |||||
| Less than 4 cm | 1.00 | |||||
| More than 4 cm | 2.169 | 0.760–6.189 | 0.148 | |||
| Adjuvant therapy | ||||||
| No | 1.00 | 1.00 | ||||
| Radiotherapy only | 0.663 | 0.140–3.144 | 0.605 | 0.049 | 0.008–0.315 | 0.001 * |
| Both chemotherapy and radiotherapy | 2.172 | 0.735–6.419 | 0.161 | 0.241 | 0.057–1.011 | 0.052 |
| EZH2 | ||||||
| Low expression | 1.00 | 1.00 | ||||
| High expression | 3.824 | 1.357–10.779 | 0.011 * | 6.992 | 1.317–37.118 | 0.022 * |
| IDH1 R132H | Not included | |||||
| Positive | 1.00 | |||||
| Negative | 1.227 | 0.427–3.525 | 0.704 | |||
| Combined EZH2/IDH1 | ||||||
| EZH2H/IDH-1+ | 3.795 | 0.632–22.775 | 0.145 | - | - | - |
| EZH2H/IDH-1− | 4.694 | 1.210–18.200 | 0.025 * | 4.281 | 0.568–32.286 | 0.158 |
| EZH2L/IDH-1+ | 1.402 | 0.283–6.957 | 0.679 | 0.488 | 0.089–2.690 | 0.295 |
| EZH2L/IDH-1− | 1.00 | 1.00 |
Publisher’s Note: MDPI stays neutral with regard to jurisdictional claims in published maps and institutional affiliations. |
© 2022 by the authors. Licensee MDPI, Basel, Switzerland. This article is an open access article distributed under the terms and conditions of the Creative Commons Attribution (CC BY) license (https://creativecommons.org/licenses/by/4.0/).
Share and Cite
Wong, Y.P.; Che Abdul Aziz, R.; Noor Aizuddin, A.; Mohd Saleh, M.F.; Mohd Arshad, R.; Tan, G.C. High EZH2 Protein Expression Is a Poor Prognostic Predictor in IDH1 R132H-Negative Gliomas. Diagnostics 2022, 12, 2383. https://doi.org/10.3390/diagnostics12102383
Wong YP, Che Abdul Aziz R, Noor Aizuddin A, Mohd Saleh MF, Mohd Arshad R, Tan GC. High EZH2 Protein Expression Is a Poor Prognostic Predictor in IDH1 R132H-Negative Gliomas. Diagnostics. 2022; 12(10):2383. https://doi.org/10.3390/diagnostics12102383
Chicago/Turabian StyleWong, Yin Ping, Roziasyazni Che Abdul Aziz, Azimatun Noor Aizuddin, Muhamad Fakhri Mohd Saleh, Roslina Mohd Arshad, and Geok Chin Tan. 2022. "High EZH2 Protein Expression Is a Poor Prognostic Predictor in IDH1 R132H-Negative Gliomas" Diagnostics 12, no. 10: 2383. https://doi.org/10.3390/diagnostics12102383
APA StyleWong, Y. P., Che Abdul Aziz, R., Noor Aizuddin, A., Mohd Saleh, M. F., Mohd Arshad, R., & Tan, G. C. (2022). High EZH2 Protein Expression Is a Poor Prognostic Predictor in IDH1 R132H-Negative Gliomas. Diagnostics, 12(10), 2383. https://doi.org/10.3390/diagnostics12102383

