Anti-SARS-CoV-2 Neutralizing Responses in Various Populations: Use of a Rapid Surrogate Lateral Flow Assay and Correlations with Anti-RBD Antibody Levels
Abstract
1. Introduction
2. Materials and Methods
2.1. Study Design and Population
2.2. Serological Assays
2.3. Neutralization Testing
2.4. Cross-Reactivity and Specificity
2.5. Statistical Analysis
3. Results
3.1. Description of the Study Population
3.2. Specificity of the Surrogate Seroneutralization Marker
3.3. Differences in Antibody and Seroneutralization Levels between Groups
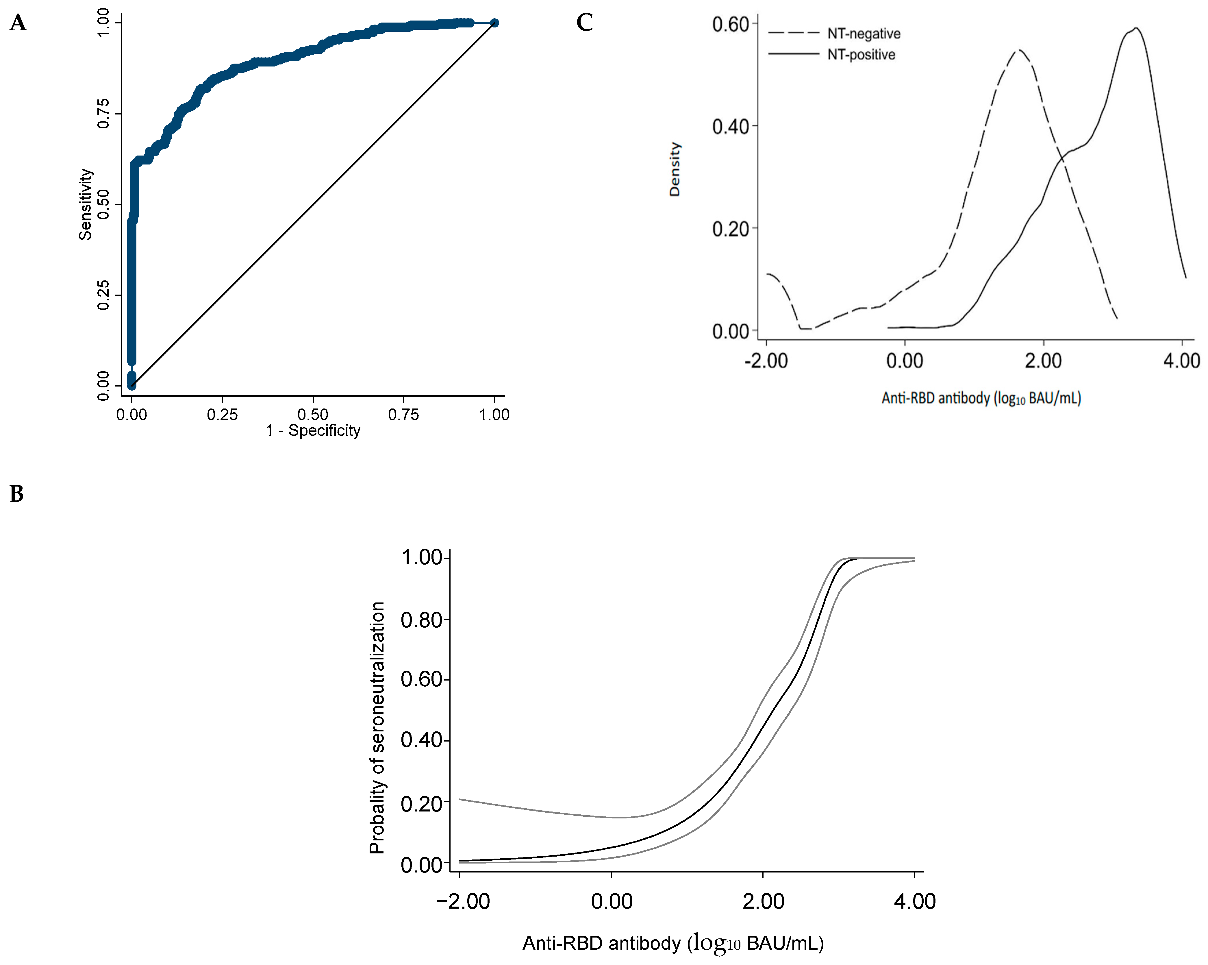
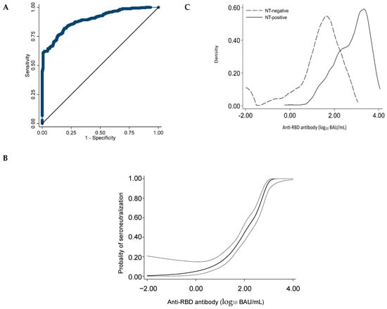
3.4. Relationship between Seroneutralization and Antibody Levels
3.4.1. Seroneutralization Levels as a Function of Antibody Levels
3.4.2. Longitudinal Changes in Antibody and Seroneutralization Levels after Natural Infection
3.5. Antibody Levels Predicting Seroneutralization
4. Discussion
Supplementary Materials
Author Contributions
Funding
Institutional Review Board Statement
Informed Consent Statement
Data Availability Statement
Conflicts of Interest
References
- Goldblatt, D. SARS-CoV-2: From Herd Immunity to Hybrid Immunity. Nat. Rev. Immunol. 2022, 22, 333–334. [Google Scholar] [CrossRef] [PubMed]
- Plebani, M.; Padoan, A.; Negrini, D.; Carpinteri, B.; Sciacovelli, L. Diagnostic Performances and Thresholds: The Key to Harmonization in Serological SARS-CoV-2 Assays? Clin. Chim. Acta 2020, 509, 1–7. [Google Scholar] [CrossRef] [PubMed]
- Zohar, T.; Alter, G. Dissecting Antibody-Mediated Protection against SARS-CoV-2. Nat. Rev. Immunol. 2020, 20, 392–394. [Google Scholar] [CrossRef] [PubMed]
- Piccoli, L.; Park, Y.-J.; Tortorici, M.A.; Czudnochowski, N.; Walls, A.C.; Beltramello, M.; Silacci-Fregni, C.; Pinto, D.; Rosen, L.E.; Bowen, J.E.; et al. Mapping Neutralizing and Immunodominant Sites on the SARS-CoV-2 Spike Receptor-Binding Domain by Structure-Guided High-Resolution Serology. Cell 2020, 183, 1024–1042.e21. [Google Scholar] [CrossRef] [PubMed]
- Criscuolo, E.; Diotti, R.A.; Strollo, M.; Rolla, S.; Ambrosi, A.; Locatelli, M.; Burioni, R.; Mancini, N.; Clementi, M.; Clementi, N. Weak Correlation between Antibody Titers and Neutralizing Activity in Sera from SARS-CoV-2 Infected Subjects. J. Med. Virol. 2021, 93, 2160–2167. [Google Scholar] [CrossRef] [PubMed]
- GeurtsvanKessel, C.H.; Okba, N.M.A.; Igloi, Z.; Bogers, S.; Embregts, C.W.E.; Laksono, B.M.; Leijten, L.; Rokx, C.; Rijnders, B.; Rahamat-Langendoen, J.; et al. An Evaluation of COVID-19 Serological Assays Informs Future Diagnostics and Exposure Assessment. Nat. Commun. 2020, 11, 3436. [Google Scholar] [CrossRef] [PubMed]
- Luchsinger, L.L.; Ransegnola, B.P.; Jin, D.K.; Muecksch, F.; Weisblum, Y.; Bao, W.; George, P.J.; Rodriguez, M.; Tricoche, N.; Schmidt, F.; et al. Serological Assays Estimate Highly Variable SARS-CoV-2 Neutralizing Antibody Activity in Recovered COVID-19 Patients. J. Clin. Microbiol. 2020, 58, e02005-20. [Google Scholar] [CrossRef] [PubMed]
- Fulford, T.S.; Van, H.; Gherardin, N.A.; Zheng, S.; Ciula, M.; Drummer, H.E.; Redmond, S.; Tan, H.-X.; Boo, I.; Center, R.J.; et al. A Point-of-Care Lateral Flow Assay for Neutralising Antibodies against SARS-CoV-2. eBioMedicine 2021, 74, 103729. [Google Scholar] [CrossRef]
- Lake, D.F.; Roeder, A.J.; Kaleta, E.; Jasbi, P.; Pfeffer, K.; Koelbela, C.; Periasamy, S.; Kuzmina, N.; Bukreyev, A.; Grys, T.E.; et al. Development of a Rapid Point-of-Care Test That Measures Neutralizing Antibodies to SARS-CoV-2. J. Clin. Virol. 2021, 145, 105024. [Google Scholar] [CrossRef]
- Valdivia, A.; Torres, I.; Latorre, V.; Francés-Gómez, C.; Ferrer, J.; Forqué, L.; Costa, R.; De La Asunción, C.S.; Huntley, D.; Gozalbo-Rovira, R.; et al. Suitability of Two Rapid Lateral Flow Immunochromatographic Assays for Predicting SARS-CoV-2 Neutralizing Activity of Sera. J. Med. Virol. 2021, 93, 2301–2306. [Google Scholar] [CrossRef]
- Wang, J.J.; Zhang, N.; Richardson, S.A.; Wu, J.V. Rapid Lateral Flow Tests for the Detection of SARS-CoV-2 Neutralizing Antibodies. Expert. Rev. Mol. Diagn. 2021, 21, 363–370. [Google Scholar] [CrossRef] [PubMed]
- Hirabidian, M.; Bocket, L.; Demaret, J.; Vuotto, F.; Rabat, A.; Faure, K.; Labalette, M.; Hober, D.; Lefevre, G.; Alidjinou, E.K. Evaluation of a Rapid Semiquantitative Lateral Flow Assay for the Prediction of Serum Neutralizing Activity against SARS-CoV-2 Variants. J. Clin. Virol. 2022, 155, 105268. [Google Scholar] [CrossRef] [PubMed]
- Marot, S.; Bocar Fofana, D.; Flandre, P.; Malet, I.; Zafilaza, K.; Leducq, V.; Vivien, D.; Mrabet, S.; Poignon, C.; Calvez, V.; et al. SARS-CoV-2 Neutralizing Responses in Various Populations, at the Time of SARS-CoV-2 Variant Virus Emergence: Evaluation of Two Surrogate Neutralization Assays in Front of Whole Virus Neutralization Test. Life 2022, 12, 2064. [Google Scholar] [CrossRef] [PubMed]
- Bland, J.M.; Altman, D.G. Statistics Notes: Calculating Correlation Coefficients with Repeated Observations: Part 1--Correlation within Subjects. BMJ 1995, 310, 446. [Google Scholar] [CrossRef] [PubMed]
- Bakdash, J.Z.; Marusich, L.R. Repeated Measures Correlation. Front. Psychol. 2017, 8, 456. [Google Scholar] [CrossRef] [PubMed]
- Khoury, D.S.; Cromer, D.; Reynaldi, A.; Schlub, T.E.; Wheatley, A.K.; Juno, J.A.; Subbarao, K.; Kent, S.J.; Triccas, J.A.; Davenport, M.P. Neutralizing Antibody Levels Are Highly Predictive of Immune Protection from Symptomatic SARS-CoV-2 Infection. Nat. Med. 2021, 27, 1205–1211. [Google Scholar] [CrossRef] [PubMed]
- Dan, J.M.; Mateus, J.; Kato, Y.; Hastie, K.M.; Yu, E.D.; Faliti, C.E.; Grifoni, A.; Ramirez, S.I.; Haupt, S.; Frazier, A.; et al. Immunological Memory to SARS-CoV-2 Assessed for up to 8 Months after Infection. Science 2021, 371, eabf4063. [Google Scholar] [CrossRef] [PubMed]
- Chia, W.N.; Zhu, F.; Ong, S.W.X.; Young, B.E.; Fong, S.-W.; Le Bert, N.; Tan, C.W.; Tiu, C.; Zhang, J.; Tan, S.Y.; et al. Dynamics of SARS-CoV-2 Neutralising Antibody Responses and Duration of Immunity: A Longitudinal Study. Lancet Microbe 2021, 2, e240–e249. [Google Scholar] [CrossRef]
- García-Cruces-Méndez, J.F.; Corral-Gudino, L.; Del-Amo-Merino, M.P.; Eiros-Bouza, J.M.; Domínguez-Gil González, M. SARS-CoV-2 Antibody Response Eight Months after Vaccination with mRNA Vaccines. Influence of Prior SARS-CoV-2 Exposure. Eur. J. Intern. Med. 2022, 97, 113–115. [Google Scholar] [CrossRef]
- Levin, E.G.; Lustig, Y.; Cohen, C.; Fluss, R.; Indenbaum, V.; Amit, S.; Doolman, R.; Asraf, K.; Mendelson, E.; Ziv, A.; et al. Waning Immune Humoral Response to BNT162b2 Covid-19 Vaccine over 6 Months. N. Engl. J. Med. 2021, 385. [Google Scholar] [CrossRef]
- Planas, D.; Bruel, T.; Grzelak, L.; Guivel-Benhassine, F.; Staropoli, I.; Porrot, F.; Planchais, C.; Buchrieser, J.; Rajah, M.M.; Bishop, E.; et al. Sensitivity of Infectious SARS-CoV-2 B.1.1.7 and B.1.351 Variants to Neutralizing Antibodies. Nat. Med. 2021, 27, 917–924. [Google Scholar] [CrossRef] [PubMed]
- Tang, M.S.; Case, J.B.; Franks, C.E.; Chen, R.E.; Anderson, N.W.; Henderson, J.P.; Diamond, M.S.; Gronowski, A.M.; Farnsworth, C.W. Association between SARS-CoV-2 Neutralizing Antibodies and Commercial Serological Assays. Clin. Chem. 2020, 66, 1538–1547. [Google Scholar] [CrossRef] [PubMed]
- Brouwer, P.J.M.; Caniels, T.G.; Van Der Straten, K.; Snitselaar, J.L.; Aldon, Y.; Bangaru, S.; Torres, J.L.; Okba, N.M.A.; Claireaux, M.; Kerster, G.; et al. Potent Neutralizing Antibodies from COVID-19 Patients Define Multiple Targets of Vulnerability. Science 2020, 369, 643–650. [Google Scholar] [CrossRef] [PubMed]
- Girl, P.; Zwirglmaier, K.; Von Buttlar, H.; Wölfel, R.; Müller, K. Evaluation of Two Rapid Lateral Flow Tests and Two Surrogate ELISAs for the Detection of SARS-CoV-2 Specific Neutralizing Antibodies. Front. Med. 2022, 9, 820151. [Google Scholar] [CrossRef] [PubMed]
- Duan, X.; Shi, Y.; Zhang, X.; Ge, X.; Fan, R.; Guo, J.; Li, Y.; Li, G.; Ding, Y.; Osman, R.A.; et al. Dual-Detection Fluorescent Immunochromatographic Assay for Quantitative Detection of SARS-CoV-2 Spike RBD-ACE2 Blocking Neutralizing Antibody. Biosens. Bioelectron. 2022, 199, 113883. [Google Scholar] [CrossRef] [PubMed]
- Seow, J.; Graham, C.; Merrick, B.; Acors, S.; Pickering, S.; Steel, K.J.A.; Hemmings, O.; O’Byrne, A.; Kouphou, N.; Galao, R.P.; et al. Longitudinal Observation and Decline of Neutralizing Antibody Responses in the Three Months Following SARS-CoV-2 Infection in Humans. Nat. Microbiol. 2020, 5, 1598–1607. [Google Scholar] [CrossRef]
- Okba, N.M.A.; Müller, M.A.; Li, W.; Wang, C.; GeurtsvanKessel, C.H.; Corman, V.M.; Lamers, M.M.; Sikkema, R.S.; De Bruin, E.; Chandler, F.D.; et al. Severe Acute Respiratory Syndrome Coronavirus 2−Specific Antibody Responses in Coronavirus Disease Patients. Emerg. Infect. Dis. 2020, 26, 1478–1488. [Google Scholar] [CrossRef] [PubMed]
- Xue, S.; Han, Y.; Wu, F.; Wang, Q. Mutations in the SARS-CoV-2 Spike Receptor Binding Domain and Their Delicate Balance between ACE2 Affinity and Antibody Evasion. Protein Cell 2024, 15, 403–418. [Google Scholar] [CrossRef]
- Santé Publique France. Available online: https://www.santepubliquefrance.fr/dossiers/coronavirus-covid-19/coronavirus-chiffres-cles-et-evolution-de-la-covid-19-en-france-et-dans-le-monde (accessed on 3 June 2024).
- Lim, S.; Zhang, M.; Chang, T.L. ACE2-Independent Alternative Receptors for SARS-CoV-2. Viruses 2022, 14, 2535. [Google Scholar] [CrossRef]




| Characteristic | Group | p * | ||||
|---|---|---|---|---|---|---|
| Part-VAC | Full-VAC | IC/Full-VAC | Post-COVID/No-VAC | Post-COVID/VAC | ||
| Individual level § | (n = 64) | (n = 67) | (n = 156) | (n = 96) | (n = 43) | |
| Age, years † | 45 (38–56) | 42 (38–56) | 68 a (58–78) | 57 (34–67) | 54 (34–67) | <0.0001 a |
| Male/female (% male) ‡ | 6/20 (23) | 8/34 (19) | 95/61 (61) b | 46/22 (68) b | 4/15 (21) | <0.0001 b |
| Sample level | (n = 65) | (n = 76) | (n = 156) | (n = 277) | (n = 44) | |
| Age, years †† | 43 (35–56) | 42 (38–56) | 68 a (58–78) | 53 (30–67) | 54 (41–62) | <0.0001 a |
| Male/female (% male) ‡‡ | 6/21 (22) | 11/40 (22) | 95 b/61 (61) | 168 b/39 (81) | 4/16 (21) | <0.0001 b |
| Days since start of COVID-19 symptoms ^ | - | - | - | 25 (16–56) c | 327(227–359) c | <0.0001 c |
| Days since last vaccination ¶ | 27 d (23–29) | 18 (8–38) | 18 (15–26) | - | 27 d (20–28) | <0.0001 d |
| Vaccination | Ntp | |||||
| ChAdOx1-nCov19 | 26 | 67 | 0 | - | 15 | |
| BNT162b2 | 39 | 0 | 156 | - | 15 | |
| ChAdOx1-nCov19 and BNT162b2 | 0 | 9 | 0 | - | 0 | |
| Not specified | 0 | 0 | 0 | - | 14 | |
| Anti-RBD Cutoff (BAU/mL) | Seroneutralization | Classification Probabilities | ||||||
|---|---|---|---|---|---|---|---|---|
| Pos | Neg | Se | Sp | PPV | NPV | LR+ | LR− | |
| 93.9 | 47.4 | 69.8 | 85.7 | 1.78 | 0.129 | |||
| ≥1.5 log10 | 323 | 140 | ||||||
| <1.5 log10 | 21 | 126 | ||||||
| 84.0 | 77.4 | 82.8 | 78.9 | 3.72 | 0.206 | |||
| ≥2.0 log10 | 289 | 60 | ||||||
| <2.0 log10 | 55 | 206 | ||||||
| 66.3 | 92.5 | 91.9 | 68.0 | 8.82 | 0.365 | |||
| ≥2.5 log10 | 228 | 20 | ||||||
| <2.5 log10 | 116 | 246 | ||||||
| 48.3 | 99.2 | 98.8 | 59.7 | 64.2 | 0.521 | |||
| ≥3.0 log10 | 166 | 2 | ||||||
| <3.0 log10 | 178 | 264 | ||||||
| 15.4 | 100 | 100 | 47.8 | ∞ | 0.846 | |||
| ≥3.5 log10 | 53 | 0 | ||||||
| <3.5 log10 | 291 | 266 | ||||||
Disclaimer/Publisher’s Note: The statements, opinions and data contained in all publications are solely those of the individual author(s) and contributor(s) and not of MDPI and/or the editor(s). MDPI and/or the editor(s) disclaim responsibility for any injury to people or property resulting from any ideas, methods, instructions or products referred to in the content. |
© 2024 by the authors. Licensee MDPI, Basel, Switzerland. This article is an open access article distributed under the terms and conditions of the Creative Commons Attribution (CC BY) license (https://creativecommons.org/licenses/by/4.0/).
Share and Cite
Gozlan, J.; Baron, A.; Boyd, A.; Salmona, M.; Fofana, D.; Minier, M.; Gabassi, A.; Morand-Joubert, L.; Delaugerre, C.; Maylin, S. Anti-SARS-CoV-2 Neutralizing Responses in Various Populations: Use of a Rapid Surrogate Lateral Flow Assay and Correlations with Anti-RBD Antibody Levels. Life 2024, 14, 791. https://doi.org/10.3390/life14070791
Gozlan J, Baron A, Boyd A, Salmona M, Fofana D, Minier M, Gabassi A, Morand-Joubert L, Delaugerre C, Maylin S. Anti-SARS-CoV-2 Neutralizing Responses in Various Populations: Use of a Rapid Surrogate Lateral Flow Assay and Correlations with Anti-RBD Antibody Levels. Life. 2024; 14(7):791. https://doi.org/10.3390/life14070791
Chicago/Turabian StyleGozlan, Joël, Audrey Baron, Anders Boyd, Maud Salmona, Djeneba Fofana, Marine Minier, Audrey Gabassi, Laurence Morand-Joubert, Constance Delaugerre, and Sarah Maylin. 2024. "Anti-SARS-CoV-2 Neutralizing Responses in Various Populations: Use of a Rapid Surrogate Lateral Flow Assay and Correlations with Anti-RBD Antibody Levels" Life 14, no. 7: 791. https://doi.org/10.3390/life14070791
APA StyleGozlan, J., Baron, A., Boyd, A., Salmona, M., Fofana, D., Minier, M., Gabassi, A., Morand-Joubert, L., Delaugerre, C., & Maylin, S. (2024). Anti-SARS-CoV-2 Neutralizing Responses in Various Populations: Use of a Rapid Surrogate Lateral Flow Assay and Correlations with Anti-RBD Antibody Levels. Life, 14(7), 791. https://doi.org/10.3390/life14070791

