Hepatic Hilum Variations and Their Clinical Considerations in the Liver: A Systematic Review and Meta-Analysis
Abstract
1. Introduction
2. Methodology
2.1. Protocol and Registration
2.2. Electronic Search
2.3. Eligibility Criteria
2.4. Selection of Studies
2.5. Data Collection Process
2.6. Assessment of the Methodological Quality of the Included Studies
2.7. Publication Bias
2.8. Statistical Methods
3. Results
3.1. Anatomy of Variants
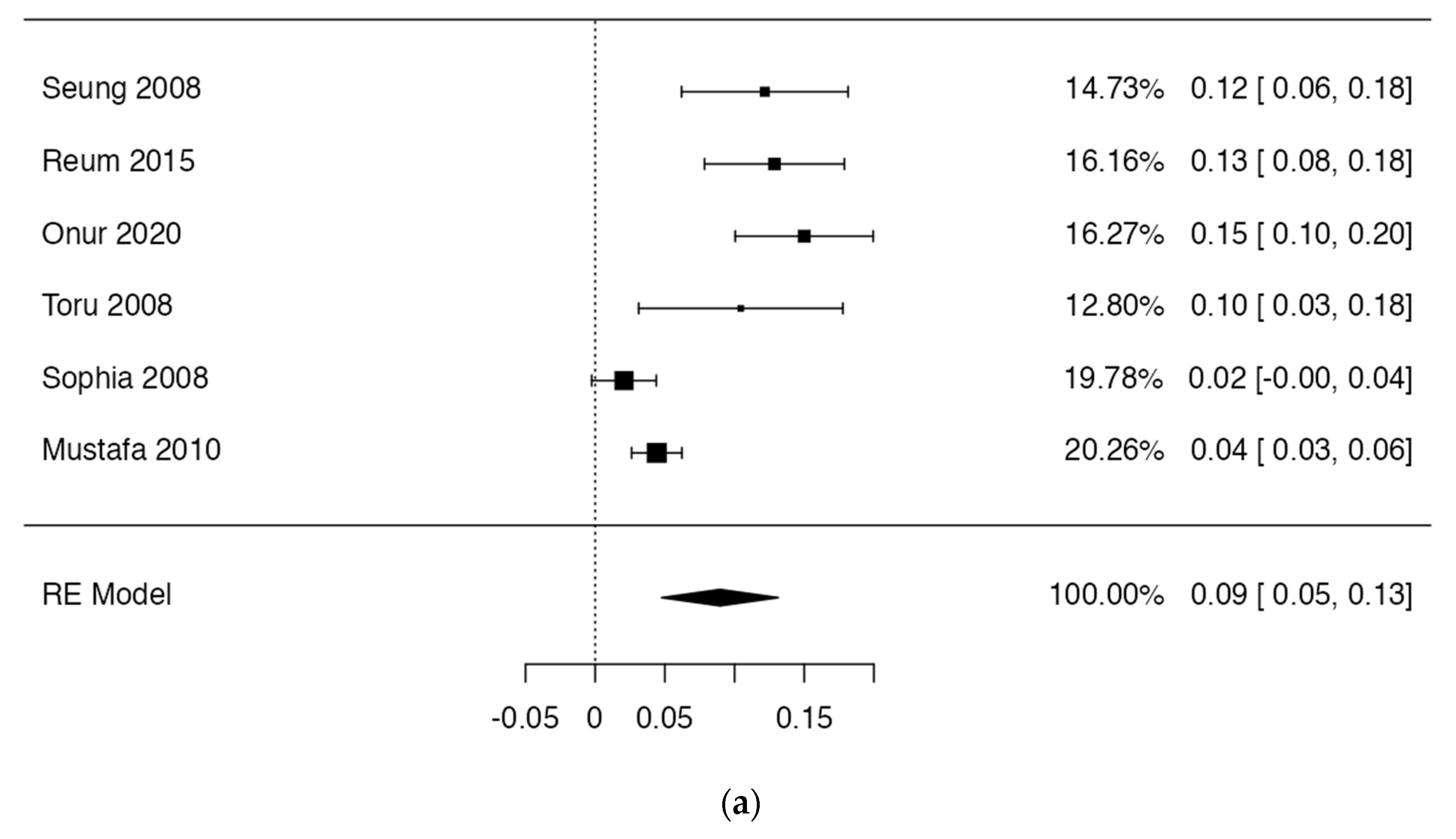
3.2. Prevalence and Risk of Bias
3.3. Clinical Considerations
4. Discussion
5. Limitations
6. Conclusions
Supplementary Materials
Author Contributions
Funding
Institutional Review Board Statement
Informed Consent Statement
Data Availability Statement
Conflicts of Interest
Abbreviations
| MRI | Magnetic resonance imaging |
| B4 | Medial segment |
| RLDRH | Robotic living donor right hemihepatectomy |
| LLDRH | Laparoscopic living donor right hemihepatectomy |
| RPSD | Right posterior segmental posterior duct |
| TH | Trans-hilar division technique |
| TU | Trans-umbilical division technique |
| LDLT | Living donor liver transplantation |
| MHA | Middle hepatic artery |
| RHA | Right hepatic artery |
| CIR | Resection with curative intent |
| A2 | Hilar trifurcation type |
| A | Aorta |
| CRT | Refused chemoradiotherapy |
| BC | Bismuth-Corlette |
| MDCT | Multi-detector computed tomography |
| PV | Portal vein |
| PST | Posterior sectoral trunk |
| LST | Lateral sectoral trunk |
| RSRL | Right-sided round ligament |
| IVC | Vena cava inferior |
References
- Maslarski, I. Anatomical variant of the liver blood supply. Clujul Med. 2015, 88, 420–423. [Google Scholar] [CrossRef] [PubMed] [PubMed Central]
- Kirimker, E.O.; Kologlu, M.; Celik, S.U.; Ustuner, E.; Kul, M.; Oz, D.K.; Karayalcin, M.K.; Balci, D. Variaciones anatómicas hilares del donante vivo de hígado e impacto de la anatomía variante en los resultados del trasplante. Medicina 2022, 101, e30412. [Google Scholar] [CrossRef] [PubMed] [PubMed Central]
- Cheng, Y.F.; Huang, T.L.; Lee, T.Y.; Chen, T.Y.; Chen, C.L. Variation of the intrahepatic portal vein; angiographic demonstration and application in living-related hepatic transplantation. Transplant. Proc. 1996, 28, 1667–1668. [Google Scholar] [PubMed]
- Michels, N.A. Newer anatomy of the liver and its variant blood supply and collateral circulation. Am. J. Surg. 1966, 112, 337–347. [Google Scholar] [CrossRef] [PubMed]
- Kawarada, Y.; Das, B.C.; Taoka, H. Anatomy of the hepatic hilar area: The plate system. J. Hepato-Biliary-Pancreat. Surg. 2000, 7, 580–586. [Google Scholar] [CrossRef] [PubMed]
- Lee, S.E.; Jang, J.Y.; Lee, J.M.; Kim, S.W. Selection of appropriate liver resection in left hepatolithiasis based on anatomic and clinical study. World J. Surg. 2008, 32, 413–418. [Google Scholar] [CrossRef] [PubMed]
- Ozsoy, M.; Zeytunlu, M.; Kilic, M.; Alper, M.; Sozbilen, M. The results of vascular and biliary variations in turks liver donors: Comparison with others. ISRN Surg. 2011, 2011, 367083. [Google Scholar] [CrossRef] [PubMed] [PubMed Central]
- Mariolis-Sapsakos, T.; Kalles, V.; Papatheodorou, K.; Goutas, N.; Papapanagiotou, I.; Flessas, I.; Kaklamanos, I.; Arvanitis, D.L.; Konstantinou, E.; Sgantzos, M.N. Anatomic variations of the right hepatic duct: Results and surgical implications from a cadaveric study. Anat. Res. Int. 2012, 2012, 838179. [Google Scholar] [CrossRef] [PubMed] [PubMed Central]
- Carollo, V.; di Francesco, F.; Ricotta, C.; Bonsignore, P.; Miraglia, R.; de Ville de Goyet, J. Bile duct anatomical variations: Relevance for liver division and preparing left split liver grafts for pediatric transplantation: Cohort study. Int. J. Surg. 2021, 90, 105979. [Google Scholar] [CrossRef] [PubMed]
- Radtke, A.; Sgourakis, G.; Sotiropoulos, G.C.; Molmenti, E.P.; Nadalin, S.; Schroeder, T.; Saner, F.; Schenk, A.; Cincinnati, V.R.; Broelsch, C.E.; et al. Vascular and biliary anatomy of the right hilar window: Its impact on recipient morbidity and mortality for right graft live donor liver transplantation. World J. Surg. 2009, 33, 1941–1951. [Google Scholar] [CrossRef] [PubMed]
- Guler, N.; Dayangac, M.; Yaprak, O.; Akyildiz, M.; Gunay, Y.; Taskesen, F.; Tabandeh, B.; Bulutcu, F.; Yuzer, Y.; Tokat, Y. Anatomical variations of donor portal vein in right lobe living donor liver transplantation: The safe use of variant portal veins. Transpl. Int. 2013, 26, 1191–1197. [Google Scholar] [CrossRef] [PubMed]
- Yaprak, O.; Demirbas, T.; Duran, C.; Dayangac, M.; Akyildiz, M.; Tokat, Y.; Yuzer, Y. Living donor liver hilar variations: Surgical approaches and implications. Hepatobiliary Pancreat. Dis. Int. 2011, 10, 474–479. [Google Scholar] [CrossRef] [PubMed]
- Ji, G.W.; Zhu, F.P.; Wang, K.; Jiao, C.Y.; Shao, Z.C.; Li, X.C. Clinical Implications of Biliary Confluence Pattern for Bismuth-Corlette Type IV Hilar Cholangiocarcinoma Applied to Hemihepatectomy. J. Gastrointest. Surg. 2017, 21, 666–675. [Google Scholar] [CrossRef] [PubMed]
- Wang, S.; He, X.; Li, Z.; Peng, Z.; Tam, N.L.; Sun, C.; Hu, A.; Huang, J. Characterization of the middle hepatic artery and its relevance to living donor liver transplantation. Liver Transplant. 2010, 16, 736–741. [Google Scholar] [CrossRef] [PubMed]
- Choi, J.W.; Kim, T.K.; Kim, K.W.; Kim, A.Y.; Kim, P.N.; Ha, H.K.; Lee, M.G. Anatomic variation in intrahepatic bile ducts: An analysis of intraoperative cholangiograms in 300 consecutive donors for living donor liver transplantation. Korean J. Radiol. 2003, 4, 85–90. [Google Scholar] [CrossRef] [PubMed] [PubMed Central]
- Yu, H.C.; Jin, Z.W.; Jin, G.Y.; You, H.; Moon, J.I.; Chung, J.W.; Hwang, S.; Cho, B.H. Identification of the anterior sectoral trunk with particular reference to the hepatic hilar plate and its clinical importance. Surgery 2011, 149, 291–296. [Google Scholar] [CrossRef] [PubMed]
- Han, I.W.; Jang, J.Y.; Kang, M.J.; Kwon, W.; Park, J.W.; Chang, Y.R.; Kim, S.W. Role of resection for Bismuth type IV hilar cholangiocarcinoma and analysis of determining factors for curative resection. Ann. Surg. Treat. Res. 2014, 87, 87–93. [Google Scholar] [CrossRef] [PubMed] [PubMed Central]
- Lim, J.S.; Kim, M.J.; Kim, J.H.; Kim, S.I.; Choi, J.S.; Park, M.S.; Oh, Y.T.; Yoo, H.S.; Lee, J.T.; Kim, K.W. Preoperative MRI of potential living-donor-related liver transplantation using a single dose of gadobenate dimeglumine. AJR Am. J. Roentgenol. 2005, 185, 424–431. [Google Scholar] [CrossRef] [PubMed]
- Ikegami, T.; Soejima, Y.; Taketomi, A.; Yoshizumi, T.; Harada, N.; Kayashima, H.; Itoh, S.; Yamashita, Y.; Maehara, Y. Hilar anatomical variations in living-donor liver transplantation using right-lobe grafts. Dig. Surg. 2008, 25, 117–123. [Google Scholar] [CrossRef] [PubMed]
- Page, M.J.; McKenzie, J.E.; Bossuyt, P.M.; Boutron, I.; Hoffmann, T.C.; Mulrow, C.D.; Shamseer, L.; Tetzlaff, J.M.; Akl, E.A.; Brennan, S.E.; et al. The PRISMA 2020 statement: An updated guideline for reporting systematic reviews. BMJ 2021, 372, n71. [Google Scholar] [CrossRef] [PubMed] [PubMed Central]
- Tomaszewski, K.A.; Henry, B.M.; Kumar Ramakrishnan, P.; Roy, J.; Vikse, J.; Loukas, M.; Tubbs, R.S.; Walocha, J.A. Development of the Anatomical Quality Assurance (AQUA) checklist: Guidelines for reporting original anatomical studies. Clin. Anat. 2017, 30, 14–20. [Google Scholar] [CrossRef] [PubMed]
- Kim, N.R.; Han, D.H.; Choi, G.H.; Lee, J.G.; Joo, D.J.; Kim, M.S.; Choi, J.S. Comparison of surgical outcomes and learning curve for robotic versus laparoscopic living donor hepatectomy: A retrospective cohort study. Int. J. Surg. 2022, 108, 107000. [Google Scholar] [CrossRef] [PubMed]
- Hai, S.; Hatano, E.; Hirano, T.; Asano, Y.; Suzumura, K.; Sueoka, H.; Fujimoto, J. Hepatectomy for Hilar Cholangiocarcinoma with Right-Sided Ligamentum Teres Using a Hepatectomy Simulation System. Case Rep. Gastroenterol. 2017, 11, 576–583. [Google Scholar] [CrossRef] [PubMed] [PubMed Central]
- Lapisatepun, W.; Junrungsee, S.; Lapisatepun, W. Pure Laparoscopic Donor Right Hepatectomy for Rare Non-Bifurcation Portal Vein Variation Donor and Reconstruction Technique. J. Gastrointest. Surg. 2023, 27, 2011–2013. [Google Scholar] [CrossRef] [PubMed]
- Gaignard, E.; Bergeat, D.; Stock, N.; Robin, F.; Boudjema, K.; Sulpice, L.; Rayar, M.; Meunier, B. Portal vein leiomyosarcoma: A rare case of hepatic hilar tumor with review of the literature. Indian J. Cancer 2019, 56, 83–85. [Google Scholar] [CrossRef] [PubMed]
- Hevelke, P.; Paluszkiewicz, R.; Zieniewicz, K.; Remiszewski, P.; Kaminski, A.; Kaliciński, P.; Krawczyk, M. Bile duct variations in partial liver transplantations from living-related donors. Transplant. Proc. 2003, 35, 2248–2249. [Google Scholar] [CrossRef] [PubMed]
- Ávila, R.; Stelt, G.V.; Navia, A.; Altamirano, A.; Guerra, J.F.; Martínez, J.; Jarufe, N. Arteria hepática izquierda de arteria gastroduodenal: Un desafío técnico durante cirugía de Whipple. Caso clínico [Left hepatic artery (LHA) emerging from the gastroduodenal artery: Report of one case]. Rev. Medica Chile 2015, 143, 673–676. (In Spanish) [Google Scholar] [CrossRef] [PubMed]
- Yoshida, H.; Katayose, Y.; Rikiyama, T.; Motoi, F.; Onogawa, T.; Egawa, S.; Unno, M. Segmentectomía del hígado. J. Cienc. Páncreas Hepatobiliar Enero 2012, 19, 67–71. [Google Scholar] [CrossRef] [PubMed]
- Prado Neto, E.V.; Petroianu, A. Anatomical variations of portal venous system: Importance in surgical clinic. Arq. Bras. Cir. Dig. 2022, 35, e1666. [Google Scholar] [CrossRef] [PubMed] [PubMed Central]
- Stefura, T.; Kacprzyk, A.; Droś, J.; Pędziwiatr, M.; Major, P.; Hołda, M.K. The venous trunk of henle (gastrocolic trunk): A systematic review and meta-analysis of its prevalence, dimensions, and tributary variations. Clin. Anat. 2018, 31, 1109–1121. [Google Scholar] [CrossRef] [PubMed]
- Zhang, C.; Zhang, B.; Huang, H.; Hu, Q.; Jin, Y.; Yu, Q.; Wang, J.; Zhang, X.; Zhang, Y. Situs inversus totalis with local metastasis of gallbladder carcinoma and variation of the common hepatic artery. BMC Gastroenterol. 2022, 22, 357. [Google Scholar] [CrossRef] [PubMed] [PubMed Central]
- Sahani, D.; Mehta, A.; Blake, M.; Prasad, S.; Harris, G.; Saini, S. Preoperative hepatic vascular evaluation with CT and MR angiography: Implications for surgery. Radiographics 2004, 24, 1367–1380. [Google Scholar] [CrossRef] [PubMed]
- Deshpande, R.R.; Heaton, N.D.; Rela, M. Surgical anatomy of segmental liver transplantation. Br. J. Surg. 2002, 89, 1078–1088. [Google Scholar] [CrossRef]
- Broering, D.; Sturdevant, M.L.; Zidan, A. Robotic donor hepatectomy: A major breakthrough in living donor liver transplantation. Am. J. Transplant. 2022, 22, 14–23. [Google Scholar] [CrossRef] [PubMed]







| Type | Type 1 | Type 2 | Type 3 | Type 3a | Type 3b | Type 3c | Type 4 |
|---|---|---|---|---|---|---|---|
| Description | Typical | Triple confluence (right anterior segmental duct, right posterior segmental duct, and left hepatic duct). | Right posterior segmental canal drains abnormally. | Drains into the left hepatic duct. | Drains into the common hepatic duct. | Drains into the cystic duct. | Right hepatic duct drains into the cystic duct. |
| Type | Type 1 | Type 2 | Type 3 | Type 4 |
|---|---|---|---|---|
| Description | Single division of the left and right lobes of PV. | Trifurcation of the anteroposterior segments of the right PV with the left PV. | Early segmentation of the right posterior branch of PV. | Anterior sectoral branch of the umbilical portion of the left PV. |
| Type | Type 1 | Type 2 | Type 3 | Type 4 | Type 5 |
| Description | Right, left, and middle hepatic artery. | The right and middle hepatic arteries. Left hepatic artery replaced from left gastric artery. | The left and middle hepatic arteries. The right hepatic artery was replaced from the superior mesenteric artery. | The right hepatic artery was replaced from the superior mesenteric artery. The left hepatic artery replaced the left gastric artery. | The right, middle, and left hepatic arteries. The accessory left hepatic artery from the left gastric artery. |
| Type | Type 6 | Type 7 | Type 8 | Type 9 | Type 10 |
| Description | The right, middle, and left hepatic arteries. An accessory right hepatic artery arising from the superior mesenteric artery. | An accessory right hepatic artery from the superior mesenteric artery and an accessory left hepatic artery from the left gastric artery. | Combined patterns of a replaced right hepatic artery and an accessory left hepatic artery or vice versa. | The entire hepatic trunk derives from the superior mesenteric artery. | The entire hepatic trunk derives from the left gastric artery. |
| Author | Total N and Age | Prevalence | Characteristics of Variants | Geographic Region | Sex | Clinical Consideration | Type of Study | Techniques Used |
|---|---|---|---|---|---|---|---|---|
| Lapisatepun 2023 | 1 example and 45 years | 1 (100%) | Not portal vein bifurcation | Thailand | Female | The explant portal vein bifurcation is a useful vascular graft for the reconstruction technique in this type of variation. | Case studies | Laparoscopic donor right hepatectomy |
| Kawarada 2000 | 141 (68 adult carcasses and 73 liver casts) | Type I: 50 Type II: 77 Mixed: 14 Average distance: Type I: 34 of 56 Type II: 22 of 56 | According to the union of B4: Type I: near the hilar confluence Type II: away from the hilar confluence Mixed: uniting the near and the far Type I (8 mm) distance. Type II (17 mm) distance. | Japan | Not reported | The presence of a type 1 variant of the hepatic hilum was associated with bile duct carcinoma. | Observational | Dissections of cadaveric specimens and biopsy |
| Lee 2008 | MRI scans of 115 people Mean age of 32 ± 9 years (range 18–53 years) | Type I: 101 Type II: 6 Type III: 8 | Type III: B4 (bile duct) joins the left lateral section of the hepatic duct, lateral to the umbilical portion. | Seoul, South Korea | 83 males 32 females | In 7% of cases, B4 was attached laterally to the umbilical portion, a situation in which B4 can be injured during left lateral sectionectomy. | Observational | Diagnostic imaging of donors |
| Kim 2022 | 171 Before 2019 RLDRH 102 age: 30.7 ± 9.4 LLDRH 69 age: 30.4 ± 10.6 After 2019 125 RLDRH age: 32.5 ± 9.6 LLDRH: 30.4 ± 10.6 | Hepatic artery and portal vein variation was always greater in RLDRH than in LLDRH, before and after 2019. | Accessory hepatic artery. And 2 from portal vein, a tribifurcation And the right anterior portal vein from the left portal vein. | South Korea. | RLDRH and LLDRH Males: 80 Females: 91 After 2019: RLDRH and LLDRH Males: 56 Females: 69 | Graft-related complications, such as vascular and biliary complications, were statistically similar in both. | Observational | Laparoscopic donor right hepatectomyr (LLDRH) and robotic donor right hemiheoatectomy (RLDRH) |
| Mariolis 2012 | 73 samples of cadaveric incisions | a. Typical anatomy: 48 (65.75%) b. 11 (15.07%) c. 7 (9.59%) d. 3 (4.11%) e. 2 (2.74%) f. 1 g. 1 | b. Right posterior duct fused with the right or left anterior hepatic duct c. Triple confluence toward the common hepatic duct | Athens, Greece | 35 males 38 females | Liver surgical procedures require extensive knowledge of intrahepatic and extrahepatic anatomical variations, to avoid possible complications and achieve the most effective result. | Observational | Dissections of cadaveric specimen |
| Kirimker 2022 | 203 patients Age: 32.3 ± 8.6 | Biliary anatomy: Type I: 129 Type II: 12 Type IIIa: 38 Type IIIb: 14 Type IIIc: 2 Type IV: 1 Type V: 5 Type VI: 2 Hepatic artery anatomy: 1: 144 2: 16 3: 23 4: 4 5: 6 6: 4 7: 1 8: 2 9: 1 10: 2 | Biliary anatomy: Type IIIa: right posterior segmental duct drains into the left hepatic duct Hepatic artery anatomy: Michels type description | Helsinki, Philandia | 77 females 26 males | Donor anatomical variations are not important risk factors for worse recipient survival or donor morbidity. | Observational | Living donor liver transplantation |
| Michels 1966 | 200 corpses; no information on age range | 1: 110 2: 20 3: 22 4: 2 5: 20 6: 14 7: 2 8: 4 9: 5 10: 1 | 3: Right hepatic artery substituted from the superior mesenteric artery | Philadelphia, Pennsylvania | Not reported | In hepatic lobectomy and partial heparectomy, knowledge of the anatomy is essential to preserve the vital arteries. | Observational | Hepatic lobectomy and partial hepatectomy |
| Choi 2003 | 300 donors Age: 16–60 years Average: 30 years | Types: 1: 188 2: 29 3a: 34 3b: 19 3c: 6 4: 1 5a: 8 5b: 8 6: 4 7: 3 | 3a: drainage of the RPSD into the left hepatic duct | Seoul, Korea | 229 males 71 females | Knowledge of the anatomy of the intrahepatic bile ducts is essential to successfully remove the liver with the least number of postoperative complications. | Observational | Intraoperative cholangiograms |
| Radtke 2009 | 71 donors Mean age: 37 ± 10.1 years | Incidence of anatomical anomaly: portal vein (11.3%), biliary duct (22.5%), hepatic artery (36.6%). Hepatic artery (36.6%) and in segmental vascular and biliary anatomy: portal vein (38%), biliary duct (46.5%), hepatic artery (25.4%) | Star-shaped branching pattern in portal vein Crossed segmental branching of the hepatic artery | Mainz, Germany | 36 females 35 males | Accurate imaging cannot prevent complications due to unfavorable central hilar branching at the medial border of the right “hilar corridor”, as it is of “inherent origin”. | Observational | Living donor liver transplantation |
| Carollo 2021 | 40 volunteers; no information on age range | 23 single artery and bile duct. In the rest, the number of elements varies. | Biliary drainage anatomy was normal, except in two cases. The left bile duct is a small one that runs vertically from right to left below the REX recess. | Palermo, Italy | Not reported | TH and TU helped to deal with the anatomical biliary problem of the patients and reduce the risk of biliary problems. | Observational | Transection trashiliar (TH) or transumbilical (TU) parenchymal trasnsection |
| Guler 2013 | In total, 386 donors, 52 clinical data for portal vein variations; no information on age range | Portal vein anatomy was classified as follows: Type 2: 20 patients Type 3: 24 patients Type 4: 8 patients | Type 3: Early segmentation of the right posterior branch of the portal vein | Türkiye | Not reported | LDLT is a valuable treatment in the adult population but technically challenging due to high rates of vascular and biliary variations that can result in donor rejection. | Observational | Living donor liver transplantation (LDLT) |
| Hai 2017 | 78-year-old male | A male in the studio | Portal branch of the right lateral sector first diverged only from the main portal vein, and the right umbilical position branched into several portal branches to the left and right. | Japan | 1 male | The vascular and biliary anatomy in patients with the right round ligament is complicated and must be evaluated in a hepatectomy system. | Observational | Diagnostic imaging of donor |
| Wang 2010 | 145 patients Age range 19–65 years | 103 of the patients had MHA (71%). 5 types of MHA: MHA type I accounted for 43.7% (n = 45). MHA type II accounted for 26.2% (n = 27). MHA type III accounted for 12.6% (n = 13). MHA type IV accounted for 10.7% (n = 11). MHA type V accounted for 6.8% (n = 7). | MHA type 1: an MHA that origi- nated from an RHA in patients with a normal hepatic arterial configuration | Shenzhen, China | 92 males 53 females | Type II MHA originating from RHA requires a more complex surgical technique than when MHA is absent. Ligation of MHA can lead to biliary complications in a left lobe allograft. | Observational | Diagnostic imaging of donors |
| Yaprak 2020 | 200 living liver transplant donors Males aged 37.4 (range 18–63) and females aged 50.7 (range 17–72) | Classical anatomy of the hepatic artery (64.5%) Variation of the portal vein (15%) Variation of the portal vein and biliary tract (70%) Variation in the biliary duct (28%) | Type 3; right hepatic artery substituted from the superior mesenteric artery. In the variations of the portal vein (5.5%) had a right anterior sectoral branch originating from the left portal vein. | Istanbul, Türkiye | 118 males 82 females | The success of the transplantation procedure depends carefully on anatomical variations. | Observational | Diagnostic imaging of donors and living donor liver transplantation |
| Han 2014 | 33 patients out of 159 with Bismuth type IV hilar cholangiocarcinoma Age between 24 and 79 years old | In patients with CIR the biliary A2 variants are higher than in patients without CIR. Not found in patients with variations in portal vein and hepatic artery. | Variations of the bile ducts Type A2: hilar trifurcation at the common junction of the right anterior hepatic duct, right posterior hepatic duct, and left | Korea | Not reported | There was a survival gain in patients receiving CRT compared with patients who did not receive it. The long-term survival of patients with hilar cholangiocarcinoma is negative surgical settings, lymph node status, and tumor differentiation degree. | Observational | Major hepato–biliary resection |
| Ikegami 2008 | 67 between 20 and 60 years old | Prevalences were varied, the most typical being as follows: Branch of the portal vein, 60 cases, type P-I. Arterial branching/alteration, Type A-I: 39 Biliary: Type B-I: 53. | Branch of the portal vein, posterior branch (type P-I to P-III). Type A-I to A-III branching pattern of the hepatic artery. Bile duct according to tributaries of the posterior hepatic duct type B-I and B-IV. | Japan. | 26 males 41 females | Hilar anatomic variations in liver transplants in living right lobe patients are not uncommon, and are manageable after detailed preoperative evaluation of the graft and appropriate intraoperative surgical technical decisions. | Observational | Living donor liver transplantation |
| Ji 2017 | 97 patients. No information on age range. | Left hilar system: Type I:69 (69.1%) Right biliary system: Absent right hepatic duct: 22 (22.7%), Right posterior bile duct 13 cases. | Left biliary system associated with the relationship of the hepatic segmental ducts Right biliary system according to the presence or absence of the corresponding hepatic duct Type I: Normal | China | 61 males 36 females | Hemihepatectomy could be selected for resection with curative intent of BC type IV tumors, with the pattern of bile duct confluence considered advantageous. | Observational | Diagnostic imaging of donors |
| Yu 2011 | Adult cadavers (n = 64) Tomographies (MDCT) of human livers (n = 216) No mention of age | Variation of PV: Type 1: 83% Type 2: 8% Type 3: 9% According to the form of ramifications, they were classified into 4 types: Type I: 121 (43.2%) Type Y: 145 (51.8%) Type V: 9 (3.2%) Type U: 5 (1.8%) | Type 1 originates from the PST posterior sectoral trunk. Type 2 originates from the confluence of PST and the lateral sectoral trunk Type 3 originates from the lateral sectoral trunk LST. RSRL the location of the gallbladder in these two cases was on the left side of the round ligament; they considered it as type 3. Branching types (I, Y, V, and U) not described. | Jeonju, Korea | Not reported | To avoid confusion resulting from branching order, they prefered to use horticultural terms such as trunk and branch instead of second and third order branches. | Case studies | Dissections of cadaveric specimens and diagnostic imaging of donors |
| Lim 2005 | 43 potential living liver donors. Age range, 16 to 52 years; mean age, 31.6 years. | There were many variations, but the most typical was the origin of the middle hepatic artery in the left hepatic artery, presented in 9 patients. | Middle hepatic artery: origin from the left hepatic artery Hepatic venous anatomy: accessory hepatic veins | Seoul, South Korea | 13 females 30 males | This article does not establish a relationship between anatomical variants of the hepatic hilum and clinical implications. | Observational | Diagnostic imaging of donors |
| Ozsoy 2011 | 496 liver donors. Ages range between 18 and 64 years. | There were many variations, but the most typical was the left and middle hepatic vein draining into the IVC in a single orifice, in 315 patients. | Portal vein: Type 2: trifurcation. Middle and left hepatic veins drained into the IVC, joining into a single orifice. | Manisa, Türkiye | 253 males 243 females | It is very important to know the possible variants of the hepatic artery and hepatic venous system to avoid damage to the donor during surgery. | Observational | Living donor liver transplantation |
Disclaimer/Publisher’s Note: The statements, opinions and data contained in all publications are solely those of the individual author(s) and contributor(s) and not of MDPI and/or the editor(s). MDPI and/or the editor(s) disclaim responsibility for any injury to people or property resulting from any ideas, methods, instructions or products referred to in the content. |
© 2024 by the authors. Licensee MDPI, Basel, Switzerland. This article is an open access article distributed under the terms and conditions of the Creative Commons Attribution (CC BY) license (https://creativecommons.org/licenses/by/4.0/).
Share and Cite
Valenzuela-Fuenzalida, J.J.; Pena-Santibañez, F.; Vergara Salinas, A.; Meneses Caroca, T.; Rojo-Gonzalez, J.; Orellana-Donoso, M.I.; Nova-Baeza, P.; Suazo-Santibañez, A.; Sanchis-Gimeno, J.; Gutierrez-Espinoza, H. Hepatic Hilum Variations and Their Clinical Considerations in the Liver: A Systematic Review and Meta-Analysis. Life 2024, 14, 1301. https://doi.org/10.3390/life14101301
Valenzuela-Fuenzalida JJ, Pena-Santibañez F, Vergara Salinas A, Meneses Caroca T, Rojo-Gonzalez J, Orellana-Donoso MI, Nova-Baeza P, Suazo-Santibañez A, Sanchis-Gimeno J, Gutierrez-Espinoza H. Hepatic Hilum Variations and Their Clinical Considerations in the Liver: A Systematic Review and Meta-Analysis. Life. 2024; 14(10):1301. https://doi.org/10.3390/life14101301
Chicago/Turabian StyleValenzuela-Fuenzalida, Juan Jose, Fernanda Pena-Santibañez, Ayline Vergara Salinas, Trinidad Meneses Caroca, Javiera Rojo-Gonzalez, Mathias Ignacio Orellana-Donoso, Pablo Nova-Baeza, Alejandra Suazo-Santibañez, Juan Sanchis-Gimeno, and Hector Gutierrez-Espinoza. 2024. "Hepatic Hilum Variations and Their Clinical Considerations in the Liver: A Systematic Review and Meta-Analysis" Life 14, no. 10: 1301. https://doi.org/10.3390/life14101301
APA StyleValenzuela-Fuenzalida, J. J., Pena-Santibañez, F., Vergara Salinas, A., Meneses Caroca, T., Rojo-Gonzalez, J., Orellana-Donoso, M. I., Nova-Baeza, P., Suazo-Santibañez, A., Sanchis-Gimeno, J., & Gutierrez-Espinoza, H. (2024). Hepatic Hilum Variations and Their Clinical Considerations in the Liver: A Systematic Review and Meta-Analysis. Life, 14(10), 1301. https://doi.org/10.3390/life14101301

