Prevalence of Malnutrition among Syrian Refugee Children from Lebanon
Abstract
1. Introduction
2. Materials and Methods
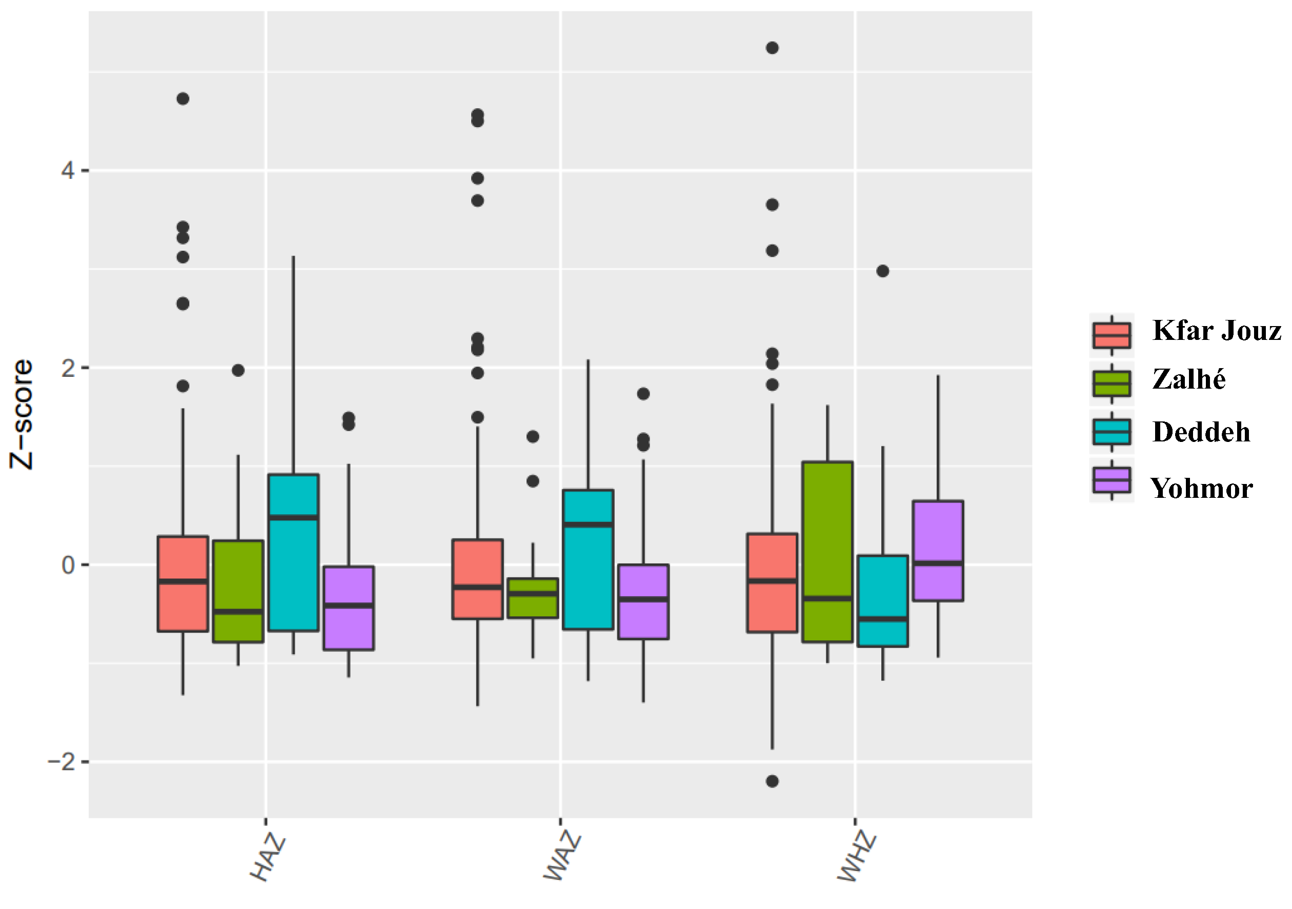
3. Results
4. Discussion
5. Study Limitations
6. Conclusions
Author Contributions
Funding
Institutional Review Board Statement
Informed Consent Statement
Data Availability Statement
Acknowledgments
Conflicts of Interest
References
- El-Khatib, Z.; Scales, D.; Vearey, J.; Forsberg, B.C. Syrian refugees, between rocky crisis in Syria and hard inaccessibility to healthcare services in Lebanon and Jordan. Confl. Health 2013, 7, 18. [Google Scholar] [CrossRef]
- United Nations High Commissioner for Refugees (UNHCR). Situation Syria Regional Refugee Response. Available online: https://data2.unhcr.org/en/situations/syria/location/71 (accessed on 20 January 2023).
- Alawa, J.; Zarei, P.; Khoshnood, K. Evaluating the provision of health services and barriers to treatment for chronic diseases among Syrian refugees in Turkey: A review of literature and stakeholder interviews. Int. J. Environ. Res. Public Health 2019, 16, 2660. [Google Scholar] [CrossRef]
- Refaat, M.M.; Mohanna, K. Syrian refugees in Lebanon: Facts and solutions. Lancet 2013, 382, 763–764. [Google Scholar] [CrossRef]
- World Health Organization (WHO). Regional Response to the Crisis in the Syrian Arab Republic 2013; World Health Organization: Geneve, Switzerland, 2013.
- Özkeklikçi, A.; Karakuş, M.; Özbel, Y.; Töz, S. The new situation of cutaneous leishmaniasis after Syrian civil war in Gaziantep city, Southeastern region of Turkey. Acta Trop. 2017, 166, 35–38. [Google Scholar] [CrossRef]
- Doganay, M.; Demiraslan, H. Refugees of the Syrian Civil War: Impact on reemerging infections, health services, and biosecurity in Turkey. Health Secur. 2016, 14, 220–225. [Google Scholar] [CrossRef]
- Kampouras, A.; Tzikos, G.; Partsanakis, E.; Roukas, K.; Tsiamitros, S.; Deligeorgakis, D.; Chorafa, E.; Schoina, M.; Iosifidis, E. Child morbidity and disease burden in refugee camps in mainland Greece. Children 2019, 6, 46. [Google Scholar] [CrossRef]
- Friedl, N.K.; Muensterer, O.J. Special Aspects in pediatric surgical inpatient care of refugee children: A comparative cohort study. Children 2019, 6, 62. [Google Scholar] [CrossRef]
- Abou-Rizk, J.; Jeremias, T.; Nasreddine, L.; Jomaa, L.; Hwalla, N.; Tamim, H.; Frank, J.; Scherbaum, V. Anemia and nutritional status of Syrian refugee mothers and their children under five years in greater Beirut, Lebanon. Int. J. Environ. Res. Public Health 2021, 18, 6894. [Google Scholar] [CrossRef]
- Mockenhaupt, F.P.; Barbre, K.A.; Jensenius, M.; Larsen, C.S.; Barnett, E.D.; Stauffer, W.; Rothe, C.; Asgeirsson, H.; Hamer, D.H.; Esposito, D.H.; et al. Profile of illness in Syrian refugees: A GeoSentinel analysis, 2013 to 2015. Eurosurveillance 2016, 21, 30160. [Google Scholar] [CrossRef]
- Diamond, M.; Oberg, C. Gender-related challenges in educational interventions with Syrian refugee parents of trauma-affected children in Turkey. Children 2019, 6, 110. [Google Scholar] [CrossRef]
- Grasser, L.R.; Burghardt, P.; Daugherty, A.M.; Amirsadri, A.; Javanbakht, A. Inflammation and trauma-related psychopathology in Syrian and Iraqi refugees. Behav. Sci. 2020, 10, 75. [Google Scholar] [CrossRef]
- Happle, C.; Dopfer, C.; Ernst, D.; Kleinert, E.; Vakilzadeh, A.; Hellms, S.; Evlampidou, I.; Hillermann, N.; Schmidt, R.E.; Behrens, G.M.N.; et al. Pediatric healthcare utilization in a large cohort of refugee children entering western Europe during the migrant crisis. Int. J. Environ. Res. Public Health 2019, 16, 4415. [Google Scholar] [CrossRef]
- El Harake, M.D.; Kharroubi, S.; Hamadeh, S.K.; Jomaa, L. Impact of a pilot school-based nutrition intervention on dietary knowledge, attitudes, behavior and nutritional status of Syrian refugee children in the Bekaa, Lebanon. Nutrients 2018, 10, 913. [Google Scholar] [CrossRef]
- Kotsiou, O.S.; Kotsios, P.; Srivastava, D.S.; Kotsios, V.; Gourgoulianis, K.I.; Exadaktylos, A.K. Impact of the refugee crisis on the Greek healthcare system: A long road to Ithaca. Int. J. Environ. Res. Public Health 2018, 15, 1790. [Google Scholar] [CrossRef]
- Grammatikopoulou, M.G.; Theodoridis, X.; Poulimeneas, D.; Maraki, M.I.; Gkiouras, K.; Tirodimos, I.; Dardavessis, T.; Chourdakis, M. Malnutrition surveillance among refugee children living in reception centres in Greece: A pilot study. Int. Health 2019, 11, 30–35. [Google Scholar] [CrossRef]
- Pernitez-Agan, S.; Wickramage, K.; Yen, C.; Dawson-Hahn, E.; Mitchell, T.; Zenner, D. Nutritional profile of Syrian refugee children before resettlement. Confl. Health 2019, 13, 22. [Google Scholar] [CrossRef]
- Bucak, I.H.; Almis, H.; Samet Benli, M.T. An overview of the health status of Syrian refugee children in a tertiary hospital in Turkey. Avicenna J. Med. 2017, 7, 110. [Google Scholar] [CrossRef]
- Abou-Rizk, J.; Jeremias, T.; Nasreddine, L.; Jomaa, L.; Hwalla, N.; Frank, J.; Scherbaum, V. Infant feeding practices, nutrition, and associated health factors during the first six months of life among Syrian refugees in greater Beirut, Lebanon: A mixed methods study. Nutrients 2022, 14, 4459. [Google Scholar] [CrossRef]
- World Medical Association. WMA Declaration of Helsinki—Ethical Principles for Medical Research Involving Human Subjects. Available online: https://www.wma.net/policies-post/wma-declaration-of-helsinkiethical-principles-for-medical-research-involving-human-subjects (accessed on 20 January 2023).
- U.S. National Bioethics Advisory Commission. Ethical and Policy Issues Research: Clinical Trials in Developing Countries. Available online: http://bioethics.georgetown.edu/nbac/clinical/Vol1.pdf (accessed on 20 January 2023).
- European Commission. EU Directive 2001/20/EC. Off. J. Eur. Communities 2001, 121, 34–44. [Google Scholar]
- World Health Organization. Physical Status: The Use of and Interpretation of Anthropometry, Report of a WHO Expert Committee; World Health Organization: Geneve, Switzerland, 1995.
- World Health Organization. WHO Multicentre Growth Reference Study Group. WHO Child Growth Standards based on length/height, weight and age. Acta Paediatr. Suppl. 2006, 450, 76–85. [Google Scholar]
- Onis, M.D.; Onyango, A.W.; Borghi, E.; Siyam, A.; Nishida, C.; Siekmann, J. Development of a WHO growth reference for school-aged children and adolescents. Bull. World Health Organ. 2007, 85, 660–667. [Google Scholar] [CrossRef] [PubMed]
- World Health Organization. Management of Severe Malnutrition: A Manual for Physicians and Other Senior Health Workers; World Health Organization: Geneva, Switzerland, 1999.
- World Health Organization and United Nations International Children’s Emergency Fund. WHO Child Growth Standards and the Identification of Severe Acute Malnutrition in Infants and Children; WHO: Geneva, Switzerland; UNICEF: New York, NY, USA, 2009.
- Howell, E.; Waidmann, T.; Birdsall, N.; Holla, N.; Jiang, K. The impact of civil conflict on infant and child malnutrition, Nigeria, 2013. Matern. Child Nutr. 2020, 16, e12968. [Google Scholar] [CrossRef] [PubMed]
- Corley, A.G. Linking armed conflict to malnutrition during pregnancy, breastfeeding, and childhood. Glob. Food Sec. 2021, 29, 100531. [Google Scholar] [CrossRef]
- Hossain, S.M.; Leidman, E.; Kingori, J.; Al Harun, A.; Bilukha, O.O. Nutritional situation among Syrian refugees hosted in Iraq, Jordan, and Lebanon: Cross sectional surveys. Confl. Health 2016, 10, 26. [Google Scholar] [CrossRef]
- UNICEF. Interagency Nutrition Survey on Syrian Refugees in Jordan April—May 2014 Final Report; UNICEF: New York, NY, USA, 2014. [Google Scholar]
- Verme, P.; Gigliarano, C.; Wieser, C.; Hedlund, K.; Petzoldt, M.; Santacroce, M. The Welfare of Syrian Refugees: Evidence from Jordan and Lebanon; International Bank for Reconstruction and Development/the World Bank: Washington, DC, USA, 2016. [Google Scholar]
- Bilukha, O.O.; Jayasekaran, D.; Burton, A.; Faender, G.; King’ori, J.; Amiri, M.; Jessen, D.; Leidman, E. Nutritional status of women and child refugees from Syria—Jordan, April–May 2014. MMWR Morb. Mortal. Wkly. Rep. 2014, 63, 638. [Google Scholar]
- Meiqari, L.; Hoetjes, M.; Baxter, L.; Lenglet, A. Impact of war on child health in northern Syria: The experience of Médecins Sans Frontières. Eur. J. Pediatr. 2018, 177, 371–380. [Google Scholar] [CrossRef]
- Walpole, S.C.; Abbara, A.; Gunst, M.; Harkensee, C. Cross-sectional growth assessment of children in four refugee camps in Northern Greece. Public Health 2018, 162, 147–152. [Google Scholar] [CrossRef]
- Spiroski, I.; Nikovska, D.G. Prevalence of malnutrition among refugee children traveling on “Balkan Route”. Proc. Nutr. Soc. 2020, 79, E290. [Google Scholar] [CrossRef]
- Rizkalla, N.; Mallat, N.K.; Arafa, R.; Adi, S.; Soudi, L.; Segal, S.P. “Children Are Not Children Anymore; They Are a Lost Generation”: Adverse Physical and Mental Health Consequences on Syrian Refugee Children. Int. J. Environ. Health Res. 2020, 17, 8378. [Google Scholar] [CrossRef]
- Tappis, H.; Doocy, S. The effectiveness and value for money of cash-based humanitarian assistance: A systematic review. J. Dev. Effect. 2018, 10, 121–144. [Google Scholar] [CrossRef]
- Rashad, A.S.; Sharaf, M.F.; Mansour, E.I. Why are Palestinian refugee children shorter than the children of host community in Jordan? Migr. Dev. 2020, 9, 209–221. [Google Scholar] [CrossRef]
- Roelen, K. Sticks or carrots? Conditional cash transfers and their effect on child abuse and neglect. Child Abus. Negl. 2014, 38, 372–382. [Google Scholar] [CrossRef] [PubMed]
- Cooper, J.E.; Benmarhnia, T.; Koski, A.; King, N.B. Cash transfer programs have differential effects on health: A review of the literature from low and middle-income countries. Soc. Sci. Med. 2020, 247, 112806. [Google Scholar] [CrossRef] [PubMed]
- Al Masri, F.; Müller, M.; Straka, D.; Hahn, A.; Schuchardt, J.P. Nutritional and health status of adult Syrian refugees in the early years of asylum in Germany: A cross-sectional pilot study. BMC Public Health 2020, 22, 1–15. [Google Scholar] [CrossRef]
- Sankar, R.; Huffman, F. The Effect of Nutrition Knowledge and English Proficiency on Food Insecurity among Syrian Refugees in Florida, United States. JMHEALTH-D-22-00114. Available online: https://ssrn.com/abstract=4233002 (accessed on 20 January 2023).
- Khuri, J.; Wang, Y.; Holden, K.; Fly, A.D.; Mbogori, T.; Mueller, S.; Kandiah, J.; Zhang, M. Dietary Intake and Nutritional Status among Refugees in Host Countries: A Systematic Review. Adv. Nutr. 2022, 13, 1846–1865. [Google Scholar] [CrossRef]
- Maldari, T.; Elsley, N.; Abdul Rahim, R. The health status of newly arrived Syrian refugees at the refugee health service, South Australia, 2016. Aust. J. Gen. Pract. 2019, 48, 480–486. [Google Scholar] [CrossRef]
- Gottvall, M.; Sjölund, S.; Arwidson, C.; Saboonchi, F. Health-related quality of life among Syrian refugees resettled in Sweden. Qual. Life Res. 2020, 29, 505–514. [Google Scholar] [CrossRef]
- Vatanparast, H.; Koc, M.; Farag, M.; Garcea, J.; Engler-Stringer, R.; Qarmout, T.; Henry, C.; Racine, L.; White, J.; Iqbal, R.; et al. Exploring food security among recently resettled Syrian refugees: Results from a qualitative study in two Canadian cities. Int. J. Migr. Health Soc. Care 2020, 16, 527–542. [Google Scholar] [CrossRef]
- Haj-Younes, J.; Abildsnes, E.; Kumar, B.; Diaz, E. The road to equitable healthcare: A conceptual model developed from a qualitative study of Syrian refugees in Norway. Soc. Sci. Med. 2022, 292, 114540. [Google Scholar] [CrossRef]
- Kayali, M.; Moussally, K.; Lakis, C.; Abrash, M.A.; Sawan, C.; Reid, A.; Edwards, J. Treating Syrian refugees with diabetes and hypertension in Shatila refugee camp, Lebanon: Médecins Sans Frontières model of care and treatment outcomes. Confl. Health 2019, 13, 1–11. [Google Scholar] [CrossRef]
- Pavli, A.; Maltezou, H. Health problems of newly arrived migrants and refugees in Europe. J. Travel Med. 2017, 24, 1–8. [Google Scholar] [CrossRef] [PubMed]
- Kheirallah, K.A.; Ababneh, B.F.; Bendak, H.; Alsuwaidi, A.R.; Elbarazi, I. Exploring the mental, social, and lifestyle effects of a positive COVID-19 infection on Syrian refugees in Jordan: A qualitative study. Int. J. Environ. Health Res. 2022, 19, 12588. [Google Scholar] [CrossRef]
- Edmonds, J.; Flahault, A. Refugees in Canada during the first wave of the COVID-19 pandemic. Int. J. Environ. Res. Public Health 2021, 18, 947. [Google Scholar] [CrossRef] [PubMed]
- Kharroubi, S.; Naja, F.; Diab-El-Harake, M.; Jomaa, L. food insecurity pre- and post the COVID-19 pandemic and economic crisis in Lebanon: Prevalence and projections. Nutrients 2021, 13, 2976. [Google Scholar] [CrossRef]
- Al Munajed, D.; Ekren, E. Exploring the impact of multidimensional refugee vulnerability on distancing as a protective measure against COVID-19: The case of Syrian refugees in Lebanon and Turkey. J. Migr. Health 2020, 1, 100023. [Google Scholar] [CrossRef]
- Alzaben, M.B.L.; Almahaireh, A.S.F.; AL-Adwan, F.E.Z.; Sulaiman, M.R.M.; Aljahani, M.T.A. Post-traumatic stress disorder (ptsd) and its relationship with future anxiety among Syrian refugees in Al-Zaatari refugee camp-Jordan in Light of the corona pandemic (COVID-19). Clin. Schizophr. Relat. Psychoses 2022, 16, 1–9. [Google Scholar]
- McCall, S.J.; El Khoury, T.; Salibi, N.; Abi Zeid, B.; El Haddad, M.; Alawieh, M.F.; Abdulrahim, S.; Chaaya, M.; Ghattas, H.; Sibai, A.M. Development of a prediction model for the management of noncommunicable diseases among older Syrian refugees amidst the COVID-19 pandemic in Lebanon. JAMA Netw. Open 2022, 5, e2231633. [Google Scholar] [CrossRef]
- Norredam, M.; Mygind, A.; Krasnik, A. Access to health care for asylum seekers in the European Union—A comparative study of country policies. Eur. J. Public Health 2006, 16, 286–290. [Google Scholar] [CrossRef]
- van Loenen, T.; van den Muijsenbergh, M.; Hofmeester, M.; Dowrick, C.; van Ginneken, N.; Mechili, E.A.; Angelaki, A.; Ajdukovic, D.; Bakic, H.; Pavlic, D.R.; et al. Primary care for refugees and newly arrived migrants in Europe: A qualitative study on health needs, barriers and wishes. Eur. J. Public Health 2018, 28, 82–87. [Google Scholar] [CrossRef]
- Kotsiou, O.S.; Srivastava, D.S.; Kotsios, P.; Exadaktylos, A.K.; Gourgoulianis, K.I. The Emergency Medical System in Greece: Opening Aeolus’ Bag of Winds. Int. J. Environ. Res. Public Health 2018, 15, 745. [Google Scholar] [CrossRef]
- Kousoulis, A.A.; Ioakeim-Ioannidou, M.; Economopoulos, K.P. Access to health for refugees in Greece: Lessons in inequalities. Int. J. Equity Health 2016, 15, 122. [Google Scholar] [CrossRef] [PubMed]
- Hémono, R.; Relyea, B.; Scott, J.; Khaddaj, S.; Douka, A.; Wringe, A. “The needs have clearly evolved as time has gone on”: A qualitative study to explore stakeholders’ perspectives on the health needs of Syrian refugees in Greece following the 2016 European Union-Turkey agreement. Confl. Health 2018, 12, 24. [Google Scholar] [CrossRef] [PubMed]


| Variable | n (%) | p-Value |
|---|---|---|
| Gender | ||
| Male | 110 (62.5) | 0.003 * |
| Female | 66 (37.5) | |
| Age | ||
| 15–23 months | 3 (1.7) | 0.001 * |
| 24–35 months | 11 (6.3) | |
| 36–47 months | 20 (11.4) | |
| 48–59 months | 27 (15.3) | |
| 5–6 years | 19 (10.8) | |
| 6–7 years | 17 (9.7) | |
| 7–8 years | 18 (10.2) | |
| 8–9 years | 9 (5.1) | |
| 9–10 years | 19 (10.8) | |
| 10–11 years | 12 (6.8) | |
| 11–12 years | 9 (5.1) | |
| 12–13 years | 7 (4.0) | |
| 13–14 years | 2 (1.1) | |
| 14–15 years | 2 (1.1) | |
| 15–16 years | 1 (0.6) | |
| Age (years) | ||
| <5 years | 64 (36.4) | |
| ≥5–<10 years | 79 (44.9) | |
| ≥10–14 years | 33 (18.8) | |
| Male | 87.35 ± 38.92 months | 0.664 ** |
| Female | 90.52 ± 36.11 months | |
| Location | HAZ | WAZ | WHZ | MUAC | |
|---|---|---|---|---|---|
| Yohmor | Mean | 1.4798 | 0.1933 | 0.1933 | 15.291 |
| (n = 102) | Standard deviation | 0.49107 | 0.03374 | 0.03374 | 1.862 |
| Kfar Jouz | Mean | 1.5719 | 0.1917 | 0.1917 | 18.24 |
| (n = 15) | Standard deviation | 0.63156 | 0.04606 | 0.04606 | 2.838 |
| Deddeh | Mean | 1.9076 | 0.1746 | 0.1746 | 17.169 |
| (n = 23) | Standard deviation | 0.72461 | 0.04482 | 0.04482 | 2.525 |
| Zalhé | Mean | 1.4798 | 0.1933 | 0.1933 | 17.496 |
| (n = 36) | Standard deviation | 0.49107 | 0.03374 | 0.03374 | 2.373 |
| Total | Mean | 1.5818 | 0.1892 | 0.1892 | 17.679 |
| (n = 176) | Standard deviation | 0.58426 | 0.03829 | 0.03829 | 1.862 |
| p-value * | 0.023 | 0.223 | 0.238 | 0.174 |
| Place | Nutritional Status According to BAZ | <5 Years Old | ≥5–<10 Years Old | ≥10–14 Years Old | Total Sample |
|---|---|---|---|---|---|
| n (%) | n (%) | n (%) | n (%) | ||
| Yohmor (n = 102) | Severe thinness | - | - | - | - |
| Moderate thinness | 19 (48.7) | 27 (58.7) | 5 (29.4) | 51 (50.0) | |
| Normal | 20 (51.3) | 19 (41.3) | 11(64.7) | 50 (49.0) | |
| Overweight | - | - | 1 (5.9) | 1 (1.0) | |
| Obesity | - | - | - | - | |
| Total | 39 (100.0) | 46 (100.0) | 17 (100.0) | 102 (100.0) | |
| Kfar Jouz (n = 15) | Severe thinness | - | - | - | - |
| Moderate thinness | 4 (80.0) | 3 (60.0) | 2 (40.0) | 9 (60.0) | |
| Normal | 1 (20.0) | 2 (40.0) | 3 (60.0) | 6 (40.0) | |
| Overweight | - | - | - | - | |
| Obesity | - | - | - | - | |
| Total | 5 (100.0) | 5 (100.0) | 5 (100.0) | 15 (100.0) | |
| Deddeh (n = 23) | Severe thinness | - | - | - | - |
| Moderate thinness | 5 (38.5) | 1 (14.3) | 2 (66.7) | 8 (34.8) | |
| Normal | 8 (61.5) | 6 (85.7) | 1 (33.3) | 15 (65.2) | |
| Overweight | - | - | - | - | |
| Obesity | - | - | - | - | |
| Total | 13 (100.0) | 7 (100.0) | 3 (100.0) | 23 (100.0) | |
| Zalhé (n = 36) | Severe thinness | - | - | - | - |
| Moderate thinness | 3 (42.9) | 12 (57.1) | 4 (50.0) | 19(52.8) | |
| Normal | 4 (57.1) | 9 (42.9) | 4 (50.0) | 17 (47.2) | |
| Overweight | - | - | - | - | |
| Obesity | - | - | - | - | |
| Total | 7 (100.0) | 21 (100.0) | 8 (100.0) | 36 (100.0) | |
| Total (n = 176) | Severe thinness | - | - | - | - |
| Moderate thinness | 31 (48.4) | 43 (54.4) | 13 (39.4) | 87 (49.4) | |
| Normal | 33 (51.6) | 36 (45.6) | 19 (57.6) | 88 (50.0) | |
| Overweight | - | - | 1 (3.0) | 1(0.6) | |
| Obesity | - | - | - | - | |
| Total | 64 (100.0) | 79 (100.0) | 33 (100.0) | 176 (100.0) | |
| p-value * | 0.457 | 0.171 | 0.845 | 0.732 |
| Nutritional Status According to BAZ | Female n (%) | Male n (%) | Total n (%) |
|---|---|---|---|
| Severe thinness | - | - | - |
| Moderate thinness | 49 (80.3) | 38 (33.0) | 87 (49.4) |
| Normal | 12 (19.7) | 76 (66.1) | 88 (50.0) |
| Overweight | - | 1 (0.9) | 1 (0.6) |
| Obesity | - | - | - |
| Total | 61 (100.0) | 115 (100.0) | 176 (100.0) |
| p-value * | <0.05 | <0.05 | >0.05 |
Disclaimer/Publisher’s Note: The statements, opinions and data contained in all publications are solely those of the individual author(s) and contributor(s) and not of MDPI and/or the editor(s). MDPI and/or the editor(s) disclaim responsibility for any injury to people or property resulting from any ideas, methods, instructions or products referred to in the content. |
© 2023 by the authors. Licensee MDPI, Basel, Switzerland. This article is an open access article distributed under the terms and conditions of the Creative Commons Attribution (CC BY) license (https://creativecommons.org/licenses/by/4.0/).
Share and Cite
Mroue, T.; Heras, B.; Soriano, J.M.; Morales-Suarez-Varela, M. Prevalence of Malnutrition among Syrian Refugee Children from Lebanon. Life 2023, 13, 453. https://doi.org/10.3390/life13020453
Mroue T, Heras B, Soriano JM, Morales-Suarez-Varela M. Prevalence of Malnutrition among Syrian Refugee Children from Lebanon. Life. 2023; 13(2):453. https://doi.org/10.3390/life13020453
Chicago/Turabian StyleMroue, Tamara, Betlem Heras, Jose M. Soriano, and María Morales-Suarez-Varela. 2023. "Prevalence of Malnutrition among Syrian Refugee Children from Lebanon" Life 13, no. 2: 453. https://doi.org/10.3390/life13020453
APA StyleMroue, T., Heras, B., Soriano, J. M., & Morales-Suarez-Varela, M. (2023). Prevalence of Malnutrition among Syrian Refugee Children from Lebanon. Life, 13(2), 453. https://doi.org/10.3390/life13020453

