Cardiopulmonary Exercise Testing in Patients with Heart Failure: Impact of Gender in Predictive Value for Heart Transplantation Listing
Abstract
1. Introduction
2. Materials and Methods
2.1. Study Population
2.2. Study Protocol
2.3. Patients Were Excluded If One of the following Was Present
2.4. Cardiorespiratory Exercise Testing
2.5. Follow-Up and Endpoint
2.6. Statistical Analysis
3. Results
3.1. Patient Characteristics
3.2. Composite Endpoint
3.3. Prognostic Power of CPET Parameters
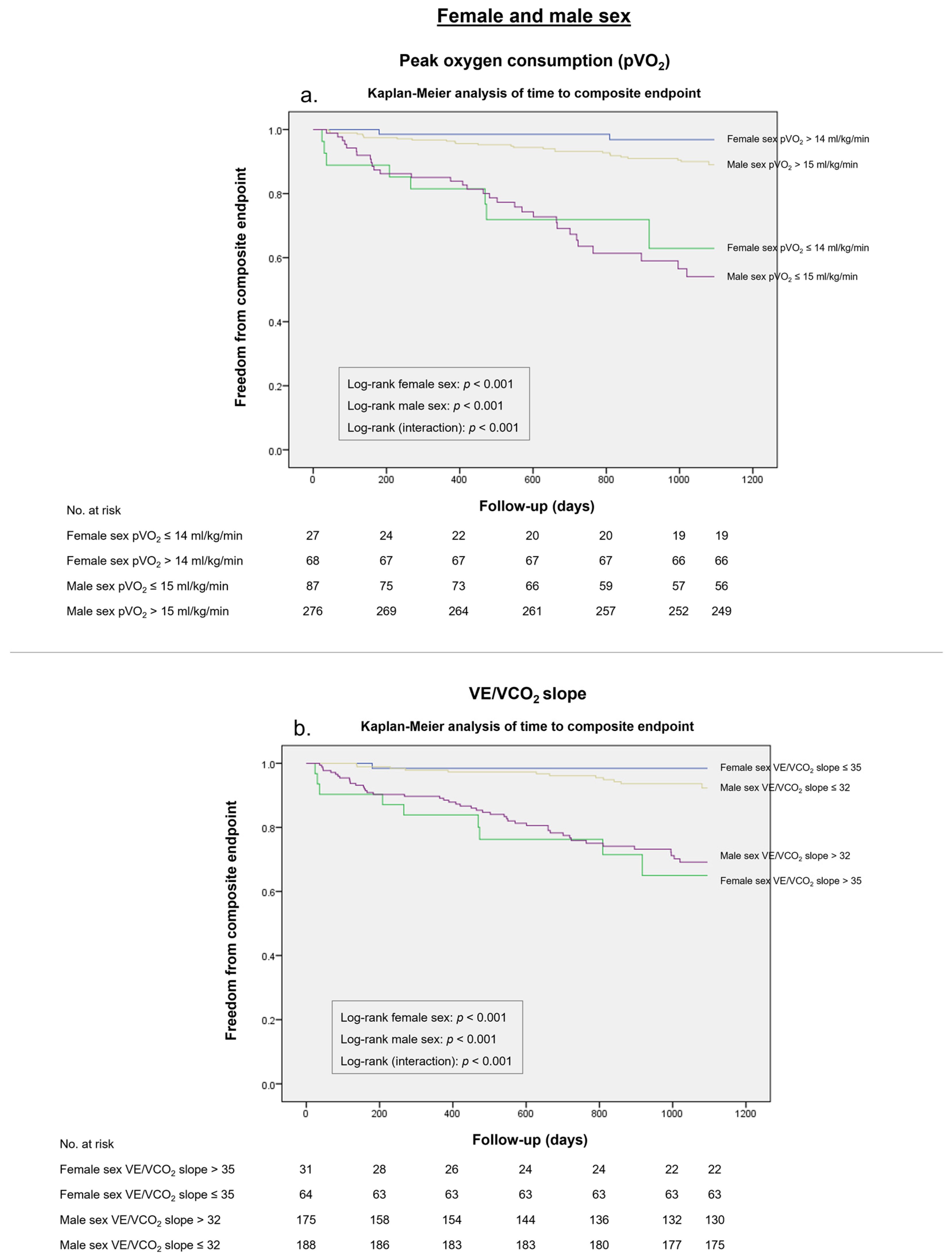
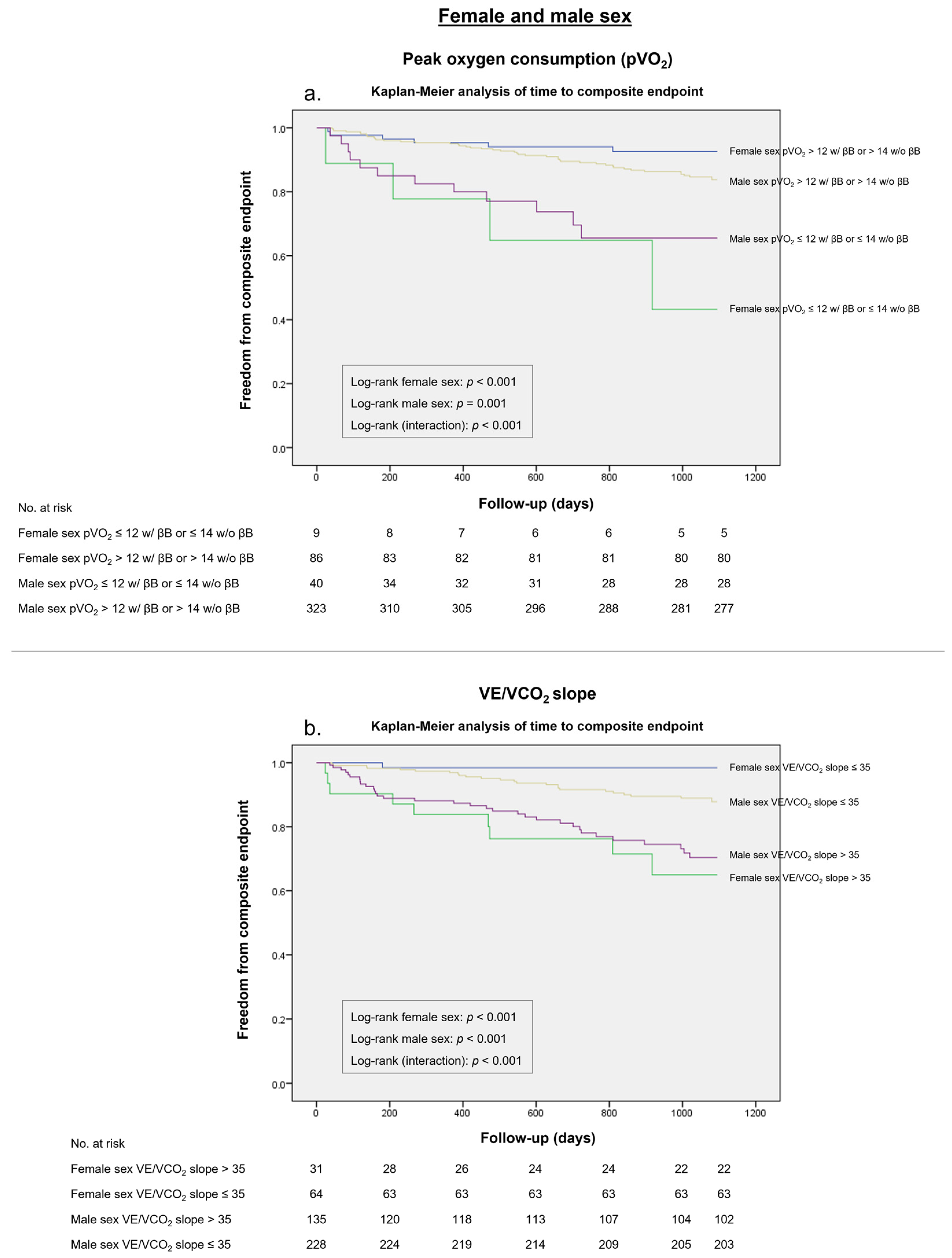
3.4. ISHLT Recommended Thresholds for HTx Listing
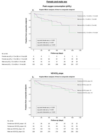
3.5. Alternative Thresholds for pVO2 and VE/VCO2 Slope
4. Discussion
Limitations
5. Conclusions
Supplementary Materials
Author Contributions
Funding
Institutional Review Board Statement
Informed Consent Statement
Data Availability Statement
Acknowledgments
Conflicts of Interest
References
- Corrà, U.; Agostoni, P.G.; Anker, S.D.; Coats, A.J.; Leiro, M.G.C.; de Boer, R.A.; Harjola, V.-P.; Hill, L.; Lainscak, M.; Lund, L.H.; et al. Role of cardiopulmonary exercise testing in clinical stratification in heart failure. A position paper from the Committee on Exercise Physiology and Training of the Heart Failure Association of the European Society of Cardiology. Eur. J. Heart Fail. 2018, 20, 3–15. [Google Scholar] [CrossRef]
- Chua, T.P.; Ponikowski, P.; Harrington, D.; Anker, S.D.; Webb-Peploe, K.; Clark, A.L.; A Poole-Wilson, P.; Coats, A.J. Clinical Correlates and Prognostic Significance of the Ventilatory Response to Exercise in Chronic Heart Failure. J. Am. Coll. Cardiol. 1997, 29, 1585–1590. [Google Scholar] [CrossRef]
- Francis, D.; Shamim, W.; Davies, L.; Piepoli, M.; Ponikowski, P.; Anker, S.; Coats, A. Cardiopulmonary exercise testing for prognosis in chronic heart failure: Continuous and independent prognostic value from VE/VCO2slope and peak VO2. Eur. Heart J. 2000, 21, 154–161. [Google Scholar] [CrossRef]
- Arena, R.; Humphrey, R. Comparison of ventilatory expired gas parameters used to predict hospitalization in patients with heart failure. Am. Heart J. 2002, 143, 427–432. [Google Scholar] [CrossRef]
- Arena, R.; Myers, J.; Aslam, S.S.; Varughese, E.B.; Peberdy, M.A. Peak VO2 and VE/VCO2 slope in patients with heart failure: A prognostic comparison. Am. Heart J. 2004, 147, 354–360. [Google Scholar] [CrossRef]
- Kleber, F.X.; Vietzke, G.; Wernecke, K.D.; Bauer, U.; Opitz, C.; Wensel, R.; Sperfeld, A.; Glaser, S. Impairment of Ventilatory Efficiency in Heart Failure. Circulation 2000, 101, 2803–2809. [Google Scholar] [CrossRef]
- Mehra, M.R.; Canter, C.E.; Hannan, M.M.; Semigran, M.J.; Uber, P.A.; Baran, D.A.; Danziger-Isakov, L.; Kirklin, J.K.; Kirk, R.; Kushwaha, S.S.; et al. The 2016 International Society for Heart Lung Transplantation listing criteria for heart transplantation: A 10-year update. J. Heart Lung Transpl. 2016, 35, 1–23. [Google Scholar] [CrossRef]
- Peterson, L.R.; Schechtman, K.B.; Ewald, G.A.; Geltman, E.M.; Fuentes, L.d.L.; Meyer, T.; Krekeler, P.; Moore, M.L.; Rogers, J.G. Timing of cardiac transplantation in patients with heart failure receiving β-adrenergic blockers. J. Heart Lung Transpl. 2003, 22, 1141–1148. [Google Scholar] [CrossRef]
- Palau, P.; Domínguez, E.; Núñez, J. Sex differences on peak oxygen uptake in heart failure. ESC Heart Fail. 2019, 6, 921–926. [Google Scholar] [CrossRef]
- Keteyian, S.J.; Patel, M.; Kraus, W.E.; Brawner, C.A.; McConnell, T.R.; Piña, I.L.; Leifer, E.S.; Fleg, J.L.; Blackburn, G.; Fonarow, G.C.; et al. Variables Measured During Cardiopulmonary Exercise Testing as Predictors of Mortality in Chronic Systolic Heart Failure. J. Am. Coll. Cardiol. 2016, 67, 780–789. [Google Scholar] [CrossRef]
- Corrà, U.; Agostoni, P.; Giordano, A.; Cattadori, G.; Battaia, E.; La Gioia, R.; Scardovi, A.B.; Emdin, M.; Metra, M.; Sinagra, G.; et al. Sex Profile and Risk Assessment with Cardiopulmonary Exercise Testing in Heart Failure: Propensity Score Matching for Sex Selection Bias. Can. J. Cardiol. 2015, 32, 754–759. [Google Scholar] [CrossRef]
- Ehrman, J.K.; Brawner, C.A.; Shafiq, A.; Lanfear, D.E.; Saval, M.; Keteyian, S.J. Cardiopulmonary Exercise Measures of Men and Women with HFrEF Differ in Their Relationship to Prognosis: The Henry Ford Hospital Cardiopulmonary Exercise Testing (FIT-CPX) Project. J. Card. Fail. 2018, 24, 227–233. [Google Scholar] [CrossRef]
- Piña, I.L.; Kokkinos, P.; Kao, A.; Bittner, V.; Saval, M.; Clare, B.; Goldberg, L.; Johnson, M.; Swank, A.; Ventura, H.; et al. Baseline differences in the HF-ACTION trial by sex. Am. Heart J. 2009, 158, S16–S23. [Google Scholar] [CrossRef]
- Elmariah, S.; Goldberg, L.R.; Allen, M.T.; Kao, A. Effects of Gender on Peak Oxygen Consumption and the Timing of Cardiac Transplantation. J. Am. Coll. Cardiol. 2006, 47, 2237–2242. [Google Scholar] [CrossRef]
- Bruce, R.A.; Kusumi, F.; Hosmer, D. Maximal oxygen intake and nomographic assessment of functional aerobic impairment in cardiovascular disease. Am. Heart J. 1973, 85, 546–562. [Google Scholar] [CrossRef]
- Beale, A.L.; Meyer, P.; Marwick, T.H.; Lam, C.S.; Kaye, D.M. Sex Differences in Cardiovascular Pathophysiology. Circulation 2018, 138, 198–205. [Google Scholar] [CrossRef]
- Redfield, M.M.; Jacobsen, S.J.; Borlaug, B.A.; Rodeheffer, R.J.; Kass, D.A. Age- and Gender-Related Ventricular-Vascular Stiffening. Circulation 2005, 112, 2254–2262. [Google Scholar] [CrossRef]
- Martens, P.; Nijst, P.; Verbrugge, F.H.; Smeets, K.; Dupont, M.; Mullens, W. Impact of iron deficiency on exercise capacity and outcome in heart failure with reduced, mid-range and preserved ejection fraction. Acta Cardiol. 2017, 73, 115–123. [Google Scholar] [CrossRef]
- Karastergiou, K.; Smith, S.R.; Greenberg, A.S.; Fried, S.K. Sex differences in human adipose tissues—The biology of pear shape. Biol. Sex Differ. 2012, 3, 13. [Google Scholar] [CrossRef]
- Jessup, M.; Piña, I.L. Is it important to examine gender differences in the epidemiology and outcome of severe heart failure? J. Thorac. Cardiovasc. Surg. 2004, 127, 1247–1252. [Google Scholar] [CrossRef][Green Version]
- Aaronson, K.D.; Schwartz, J.S.; Chen, T.-M.; Wong, K.-L.; Goin, J.E.; Mancini, D.M. Development and Prospective Validation of a Clinical Index to Predict Survival in Ambulatory Patients Referred for Cardiac Transplant Evaluation. Circulation 1997, 95, 2660–2667. [Google Scholar] [CrossRef]
- DeLong, E.R.; DeLong, D.M.; Clarke-Pearson, D.L. Comparing the Areas under Two or More Correlated Receiver Operating Characteristic Curves: A Nonparametric Approach. Biometrics 1988, 44, 837–845. [Google Scholar] [CrossRef]
- Corrà, U.; Mezzani, A.; Giordano, A.; Pistono, M.; Gnemmi, M.; Caruso, R.; Giannuzzi, P. Peak oxygen consumption and prognosis in heart failure. Int. J. Cardiol. 2013, 167, 157–161. [Google Scholar] [CrossRef]
- Hsich, E.; Chadalavada, S.; Krishnaswamy, G.; Starling, R.C.; Pothier, C.E.; Blackstone, E.H.; Lauer, M.S. Long-Term Prognostic Value of Peak Oxygen Consumption in Women Versus Men with Heart Failure and Severely Impaired Left Ventricular Systolic Function. Am. J. Cardiol. 2007, 100, 291–295. [Google Scholar] [CrossRef]
- Guazzi, M.; Arena, R.; Myers, J. Comparison of the prognostic value of cardiopulmonary exercise testing between male and female patients with heart failure. Int. J. Cardiol. 2006, 113, 395–400. [Google Scholar] [CrossRef]
- Green, P.; Lund, L.H.; Mancini, D. Comparison of Peak Exercise Oxygen Consumption and the Heart Failure Survival Score for Predicting Prognosis in Women Versus Men. Am. J. Cardiol. 2007, 99, 399–403. [Google Scholar] [CrossRef]
- Richards, D.R.; Mehra, M.R.; O Ventura, H.; Lavie, C.J.; Smart, F.W.; Stapleton, D.D.; Milani, R.V. Usefulness of Peak Oxygen Consumption in Predicting Outcome of Heart Failure in Women Versus Men. Am. J. Cardiol. 1997, 80, 1236–1238. [Google Scholar] [CrossRef]
- Sciomer, S.; Moscucci, F.; Salvioni, E.; Marchese, G.; Bussotti, M.; Corrà, U.; Piepoli, M.F. Role of gender, age and BMI in prognosis of heart failure. Eur. J. Prev. Cardiol. 2020, 27, 46–51. [Google Scholar] [CrossRef]
- Stelken, A.M.; Younis, L.T.; Jennison, S.H.; Miller, D.D.; Miller, L.W.; Shaw, L.J.; Kargl, D.; Chaitman, B.R. Prognostic value of cardiopulmonary exercise testing using percent achieved of predicted peak oxygen uptake for patients with ischemic and dilated cardiomyopathy. J. Am. Coll. Cardiol. 1996, 27, 345–352. [Google Scholar] [CrossRef]
- Meyler, S.; Bottoms, L.; Wellsted, D.; Muniz-Pumares, D. Variability in exercise tolerance and physiological responses to exercise prescribed relative to physiological thresholds and to maximum oxygen uptake. Exp. Physiol. 2023, 108, 581–594. [Google Scholar] [CrossRef]
- Collins, J.; Leach, O.; Dorff, A.; Linde, J.; Kofoed, J.; Sherman, M.; Proffit, M.; Gifford, J.R. Critical power and work-prime account for variability in endurance training adaptations not captured by Vo2max. J. Appl. Physiol. 2022, 133, 986–1000. [Google Scholar] [CrossRef] [PubMed]
- Arena, R.; Myers, J.; Abella, J.; Peberdy, M.A.; Bensimhon, D.; Chase, P.; Guazzi, M. Development of a Ventilatory Classification System in Patients with Heart Failure. Circulation 2007, 115, 2410–2417. [Google Scholar] [CrossRef] [PubMed]
- Tabet, J.-Y.; Beauvais, F.; Thabut, G.; Tartière, J.-M.; Logeart, D.; Cohen-Solal, A. A critical appraisal of the prognostic value of the VE/VCO2 slope in chronic heart failure. Eur. J. Cardiovasc. Prev. Rehabil. 2003, 10, 267–272. [Google Scholar] [CrossRef] [PubMed]
- Ingle, L.; Goode, K.; Carroll, S.; Sloan, R.; Boyes, C.; Cleland, J.G.; Clark, A.L. Prognostic value of the VE/VCO2 slope calculated from different time intervals in patients with suspected heart failure. Int. J. Cardiol. 2007, 118, 350–355. [Google Scholar] [CrossRef] [PubMed]
- Rose, G.A.; Davies, R.G.; Torkington, J.; Berg, R.M.G.; Appadurai, I.R.; Poole, D.C.; Bailey, D.M. Assessing cardiorespiratory fitness relative to sex improves surgical risk stratification. Eur. J. Clin. Investig. 2023, 53, e13981. [Google Scholar] [CrossRef] [PubMed]
- Rose, G.A.; Davies, R.G.; Appadurai, I.R.; Williams, I.M.; Bashir, M.; Berg, R.M.G.; Poole, D.C.; Bailey, D.M. ‘Fit for surgery’: The relationship between cardiorespiratory fitness and postoperative outcomes. Exp. Physiol. 2022, 107, 787–799. [Google Scholar] [CrossRef]
- Anand, I.S.; Carson, P.; Galle, E.; Song, R.; Boehmer, J.; Ghali, J.K.; Jaski, B.; Lindenfeld, J.; O’Connor, C.; Steinberg, J.S.; et al. Cardiac Resynchronization Therapy Reduces the Risk of Hospitalizations in Patients with Advanced Heart Failure. Circulation 2009, 119, 969–977. [Google Scholar] [CrossRef]
- Abraham, W.T.; Fisher, W.G.; Smith, A.L.; Delurgio, D.B.; Leon, A.R.; Loh, E.; Kocovic, D.Z.; Packer, M.; Clavell, A.L.; Hayes, D.L.; et al. Cardiac Resynchronization in Chronic Heart Failure. N. Engl. J. Med. 2002, 346, 1845–1853. [Google Scholar] [CrossRef]
- Cohen-Solal, A.; Tabet, J.; Logeart, D.; Bourgoin, P.; Tokmakova, M.; Dahan, M. A non-invasively determined surrogate of cardiac power (‘circulatory power’) at peak exercise is a powerful prognostic factor in chronic heart failure. Eur. Heart J. 2002, 23, 806–814. [Google Scholar] [CrossRef]
- Martinez, L.; Cacciottolo, P.; Barnes, J.; Sylvester, K.; Oates, K.; Kydd, A.; Lewis, C.; Parameshwar, J.; Pettit, S.; Bhagra, S. Circulatory Power is Superior to Peak Oxygen Consumption in Predicting Adverse Outcomes in Ambulatory Patients Assessed for Heart Transplantation. J. Heart Lung Transplant. 2022, 41, S214. [Google Scholar] [CrossRef]
- Cohen-Solal, A.; Barnier, P.; Pessione, F.; Seknadji, P.; Logeart, D.; Laperche, T.; Gourgon, R. Comparison of the long term prognostic value of peak exercise oxygen pulse and peak oxygen uptake in patients with chronic heart failure. Heart 1997, 78, 572–576. [Google Scholar] [CrossRef]
- Osman, A.F.; Mehra, M.R.; Lavie, C.J.; Nunez, E.; Milani, R.V. The incremental prognostic importance of body fat adjusted peak oxygen consumption in chronic heart failure. J. Am. Coll. Cardiol. 2000, 36, 2126–2131. [Google Scholar] [CrossRef] [PubMed]
- Milani, R.V.; Lavie, C.J. The Effects of Body Composition Changes to Observed Improvements in Cardiopulmonary Parameters After Exercise Training with Cardiac Rehabilitation. Chest 1998, 113, 599–601. [Google Scholar] [CrossRef] [PubMed]
- Toth, M.J.; Gardner, A.W.; Ades, P.A.; Poehlman, E.T. Contribution of body composition and physical activity to age-related decline in peak VO2 in men and women. J. Appl. Physiol. 1994, 77, 647–652. [Google Scholar] [CrossRef] [PubMed]
- Lavie, C.J.; Milani, R.V.; Mehra, M.R. Peak exercise oxygen pulse and prognosis in chronic heart failure. Am. J. Cardiol. 2004, 93, 588–593. [Google Scholar] [CrossRef]
- Gorodeski, E.Z.; Chu, E.C.; Chow, C.H.; Levy, W.C.; Hsich, E.; Starling, R.C. Application of the Seattle Heart Failure Model in Ambulatory Patients Presented to an Advanced Heart Failure Therapeutics Committee. Circ. Heart Fail. 2010, 3, 706–714. [Google Scholar] [CrossRef]
- Kalogeropoulos, A.P.; Georgiopoulou, V.V.; Giamouzis, G.; Smith, A.L.; Agha, S.A.; Waheed, S.; Laskar, S.; Puskas, J.; Dunbar, S.; Vega, D.; et al. Utility of the Seattle Heart Failure Model in Patients with Advanced Heart Failure. J. Am. Coll. Cardiol. 2009, 53, 334–342. [Google Scholar] [CrossRef]
- Pocock, S.J.; Ariti, C.A.; McMurray, J.J.; Maggioni, A.; Køber, L.; Squire, I.B.; Swedberg, K.; Dobson, J.; Poppe, K.K.; Whalley, G.A.; et al. Predicting survival in heart failure: A risk score based on 39 372 patients from 30 studies. Eur. Heart J. 2012, 34, 1404–1413. [Google Scholar] [CrossRef]
- Sartipy, U.; Dahlström, U.; Edner, M.; Lund, L.H. Predicting survival in heart failure: Validation of the MAGGIC heart failure risk score in 51 043 patients from the Swedish Heart Failure Registry. Eur. J. Heart Fail. 2013, 16, 173–179. [Google Scholar] [CrossRef]
- Vishram-Nielsen, J.K.; Foroutan, F.; Ross, H.J.; Gustafsson, F.; Alba, A.C. Performance of Prognostic Risk Scores in Heart Failure Patients: Do Sex Differences Exist? Can. J. Cardiol. 2019, 36, 45–53. [Google Scholar] [CrossRef]
- Ponikowski, P.; Voors, A.A.; Anker, S.D.; Bueno, H.; Cleland, J.G.F.; Coats, A.J.S.; Falk, V.; González-Juanatey, J.R.; Harjola, V.-P.; Jankowska, E.A.; et al. 2016 ESC Guidelines for the diagnosis and treatment of acute and chronic heart failure. Eur. J. Heart Fail. 2016, 18, 891–975. [Google Scholar] [CrossRef] [PubMed]
- McMurray, J.J.V.; Solomon, S.D.; Inzucchi, S.E.; Køber, L.; Kosiborod, M.N.; Martinez, F.A.; Ponikowski, P.; Sabatine, M.S.; Anand, I.S.; Bělohlávek, J.; et al. Dapagliflozin in Patients with Heart Failure and Reduced Ejection Fraction. N. Engl. J. Med. 2019, 381, 1995–2008. [Google Scholar] [CrossRef] [PubMed]
- Packer, M.; Anker, S.D.; Butler, J.; Filippatos, G.; Pocock, S.J.; Carson, P.; Januzzi, J.; Verma, S.; Tsutsui, H.; Brueckmann, M.; et al. Cardiovascular and Renal Outcomes with Empagliflozin in Heart Failure. N. Engl. J. Med. 2020, 383, 1413–1424. [Google Scholar] [CrossRef] [PubMed]
- Guazzi, M.; Arena, R.; Halle, M.; Piepoli, M.F.; Myers, J.; Lavie, C.J. 2016 focused update: Clinical recommendations for cardiopulmonary exercise testing data assessment in specific patient populations. Eur. Heart J. 2016, 39, 1144–1161. [Google Scholar] [CrossRef]
- Malhotra, R.; Bakken, K.; D’elia, E.; Lewis, G.D. Cardiopulmonary Exercise Testing in Heart Failure. JACC Heart Fail. 2016, 4, 607–616. [Google Scholar] [CrossRef]
- Guazzi, M.; Bandera, F.; Ozemek, C.; Systrom, D.; Arena, R. Cardiopulmonary Exercise Testing: What is its value? J. Am. Coll. Cardiol. 2017, 70, 1618–1636. [Google Scholar] [CrossRef]
- Balady, G.J.; Arena, R.; Sietsema, K.; Myers, J.; Coke, L.; Fletcher, G.F.; Forman, D.; Franklin, B.; Guazzi, M.; Gulati, M.; et al. Clinician’s Guide to Cardiopulmonary Exercise Testing in Adults. Circulation 2010, 122, 191–225. [Google Scholar] [CrossRef]
- Poole, D.C.; Jones, A.M. Measurement of the maximum oxygen uptake Vo2max: Vo2peak is no longer acceptable. J. Appl. Physiol. 2017, 122, 997–1002. [Google Scholar] [CrossRef]
- Beaver, W.L.; Inglis, E.C.; Iannetta, D.; Murias, J.M.; Salvadego, D.; Sartorio, A.; Agosti, F.; Tringali, G.; Patrizi, A.; Isola, M.; et al. A new method for detecting anaerobic threshold by gas exchange. J. Appl. Physiol. 1986, 60, 2020–2027. [Google Scholar] [CrossRef]
- Poole, D.C.; Rossiter, H.B.; Brooks, G.A.; Gladden, L.B. The anaerobic threshold: 50+ years of controversy. J. Physiol. 2020, 599, 737–767. [Google Scholar] [CrossRef]




| Overall (n = 458) | Female (n = 95) | Male (n = 363) | p-Value | |
|---|---|---|---|---|
| Clinical and demographic data | ||||
| Age (years) | 56 ± 12 | 54 ± 14 | 56 ± 12 | 0.328 |
| Body mass index (kg/m2) | 27.1 ± 4.3 | 26.3 ± 4.6 | 27.4 ± 4.2 | 0.335 |
| Ischemic etiology (n, %) | 261 (57) | 47 (49) | 214 (59) | 0.092 |
| ACEi/ARB (n, %) | 361 (79) | 77 (81) | 284 (78) | 0.199 |
| ARNI (n, %) | 80 (17) | 13 (14) | 67 (18) | 0.273 |
| β-blocker (n, %) | 392 (86) | 81 (85) | 311 (86) | 0.726 |
| MRA (n, %) | 336 (73) | 72 (76) | 264 (73) | 0.789 |
| iSGLT2 (n, %) | 47 (10) | 8 (8) | 39 (11) | 0.164 |
| Digoxin (n, %) | 129 (28) | 23 (24) | 106 (29) | 0.372 |
| Diabetes | 104 (23) | 15 (16) | 89 (25) | 0.094 |
| CKD (n, %) | 145 (32) | 25 (26) | 120 (34) | 0.138 |
| AF (n, %) | 109 (24) | 14 (15) | 95 (26) | 0.021 |
| ICD * (n, %) | 293 (64) | 59 (62) | 234 (64) | 0.617 |
| Cardiac resynchronization therapy (n, %) | 102 (22) | 27 (28) | 75 (21) | 0.128 |
| NYHA II | 347 (76) | 74 (78) | 273 (75) | 0.485 |
| NYHA III | 111 (24) | 21 (22) | 90 (25) | 0.485 |
| HFSS | 8.6 ± 1.1 | 8.8 ± 0.9 | 8.6 ± 1.2 | 0.109 |
| Laboratory data | ||||
| eGFR, ml/min/1.73 m2 | 75.3 ± 29.2 | 77.1 ± 30.9 | 74.8 ± 28.7 | 0.517 |
| Na+, mEq/l | 138.0 ± 3.0 | 138.4 ± 2.8 | 137.9 ± 3.1 | 0.108 |
| N-terminal pro b-type natriuretic peptide, pg/mL | 2196 ± 2101 | 2204 ± 1724 | 2193 ± 2099 | 0.979 |
| Echocardiographic data | ||||
| LVEDD, mm/m2 | 67.4 ± 10.3 | 63.8 ± 9.7 | 68.0 ± 10.3 | 0.064 |
| LVEF, % | 29.7 ± 8.0 | 31.3 ± 7.9 | 29.0 ± 7.5 | 0.213 |
| Mitral regurgitation severity III–IV, % | 67 (14) | 19 (20) | 48 (13) | 0.097 |
| Right ventricular dysfunction (n, %) | 69 (15) | 9 (10) | 60 (16) | 0.630 |
| Exercise testing data | ||||
| Peak Respiratory Exchange Ratio | 1.14 ± 0.07 | 1.13 ± 0.08 | 1.14 ± 0.07 | 0.566 |
| Delta heart rate during exercise | 51 (37–68) | 48 (34–67) | 52 (38–69) | 0.819 |
| HHR1 | 17 (11–27) | 19 (14–29) | 16 (11–26) | 0.058 |
| pVO2, mL/kg/min | 18.5 ± 5.8 | 18.0 ± 5.6 | 18.6 ± 5.9 | 0.363 |
| Percent of predicted pVO2 (%) | 63.8 ± 18.7 | 67.4 ± 16.7 | 62.8 ± 19.1 | 0.021 |
| VE/VCO2 slope | 33.9 ± 9.6 | 33.0 ± 8.9 | 34.2 ± 9.8 | 0.246 |
| pVO2, mL/kg/min at GET | 13.6 ± 4.6 | 10.9 ± 2.8 | 14.2 ± 4.7 | 0.001 |
| Peak O2 pulse | 0.14 ± 0.06 | 0.13 ± 0.03 | 0.14 ± 0.07 | 0.149 |
| Circulatory power | 2883 ± 1543 | 2715 ± 1035 | 2927 ± 1649 | 0.235 |
| Ventilatory power | 4.8 ± 1.7 | 4.8 ± 1.5 | 4.8 ± 1.7 | 0.739 |
| COP | 28.9 ± 7.2 | 29.5 ± 7.9 | 28.8 ± 7.0 | 0.630 |
| PetCO2 at rest, mmHg | 33.6 ± 4.8 | 33.9 ± 5.1 | 33.5 ± 4.7 | 0.558 |
| PetCO2 at GET, mmHg | 36.8 ± 6.0 | 37.5 ± 5.9 | 36.6 ± 6.1 | 0.262 |
| Total Cohort (n = 458) | Female (n = 95) | Male (n = 363) | p-Value | |
|---|---|---|---|---|
| Composite endpoint (n, %) | 68 (14.8%) | 10 (10.5%) | 58 (16.0%) | 0.199 |
| Total mortality (n, %) | 67 (14.6%) | 13 (13.7%) | 54 (14.9%) | 0.597 |
| Cardiac mortality (n, %) | 54 (11.8%) | 8 (8.4%) | 46 (12.7%) | 0.098 |
| Sudden cardiac death (n, %) | 19 (4.1%) | 2 (2.1%) | 17 (4.7%) | 0.147 |
| Death from worsening HF (n, %) | 35 (7.6%) | 6 (6.3%) | 29 (7.9%) | 0.638 |
| Urgent HTx (n, %) | 14 (3.1%) | 2 (2.1%) | 12 (3.3%) | 0.744 |
| Total Cohort | ||||||
| Model | Univariable HR | 95% CI | p-value | Multivariable HR | 95% CI | p-value |
| Male sex | 1.547 | 0.791–3.026 | 0.203 | |||
| Age | 1.002 | 0.983–1.021 | 0.829 | |||
| BMI | 0.953 | 0.897–1.013 | 0.121 | 0.954 | 0.887–1.027 | 0.210 |
| LVEF | 0.927 | 0.900–0.955 | <0.001 | 0.935 | 0.905–0.966 | <0.001 |
| eGFR | 0.979 | 0.969–0.989 | <0.001 | 0.986 | 0.976–0.996 | 0.009 |
| Diabetes | 1.196 | 0.254–5.632 | 0.821 | |||
| Smoker | 1.716 | 1.405–2.820 | 0.033 | 1.395 | 0.835–2.328 | 0.203 |
| Peak VO2 | 0.835 | 0.789–0.883 | <0.001 | 0.856 | 0.804–0.912 | <0.001 |
| Percent of predicted pVO2 | 0.948 | 0.934–0.963 | <0.001 | 0.955 | 0.939–0.971 | <0.001 |
| VE/VCO2 slope | 1.058 | 1.041–1.075 | <0.001 | 1.064 | 1.039–1.090 | <0.001 |
| Peak VO2 at GET, mL/kg/min | 0.854 | 0.737–0.989 | 0.035 | 0.879 | 0.687–1.124 | 0.305 |
| O2 pulse, mL/kg/beat | 0.858 | 0.791–0.932 | <0.001 | 0.865 | 0.780–0.961 | 0.007 |
| Circulatory power, mmHg.mL/kg/min | 0.999 | 0.999–0.999 | <0.001 | 0.999 | 0.998–1.000 | <0.001 |
| Ventilatory power, mmHg | 0.575 | 0.483–0.684 | <0.001 | 0.632 | 0.521–0.768 | <0.001 |
| COP | 1.118 | 1.054–1.186 | <0.001 | 1.060 | 0.956–1.174 | 0.268 |
| PetCO2 at rest, mmHg | 0.887 | 0.839–0.937 | <0.001 | 0.948 | 0.889–1.011 | 0.102 |
| PetCO2 at GET, mmHg | 0.862 | 0.826–0.900 | <0.001 | 0.890 | 0.845–0.993 | <0.001 |
| Female sex | ||||||
| Model | Univariable HR | 95% CI | p-value | Multivariable HR | 95% CI | p-value |
| Age | 1.003 | 0.960–1.048 | 0.888 | |||
| BMI | 0.897 | 0.770–1.045 | 0.162 | 0.861 | 0.694–1.067 | 0.171 |
| LVEF | 0.893 | 0.820–0.973 | 0.010 | 0.941 | 0.864–1.016 | 0.160 |
| eGFR | 0.977 | 0.952–1.003 | 0.086 | 0.991 | 0.966–1.016 | 0.459 |
| Diabetes | 1.135 | 0.629–2.053 | 0.674 | |||
| Smoker | 0.940 | 0.199–4.436 | 0.937 | 1.565 | 0.178–13.699 | 0.686 |
| Peak VO2 | 0.704 | 0.583–0.850 | <0.001 | 0.746 | 0.604–0.922 | 0.007 |
| Percent of predicted pVO2 | 0.911 | 0.875–0.948 | <0.001 | 0.913 | 0.858–0.972 | 0.004 |
| VE/VCO2 slope | 1.093 | 1.052–1.135 | <0.001 | 1.143 | 1.039–1.257 | 0.006 |
| Peak VO2 at GET, mL/kg/min | 0.223 | 0.010–5.159 | 0.350 | |||
| O2 pulse, mL/kg/beat | 0.493 | 0.346–0.703 | <0.001 | 0.458 | 0.261–0.802 | 0.006 |
| Circulatory power, mmHg.mL/kg/min | 0.998 | 0.997–0.999 | 0.002 | 0.999 | 0.998–1.000 | 0.069 |
| Ventilatory power, mmHg | 0.405 | 0.240–0.684 | 0.001 | 0.565 | 0.297–1.072 | 0.080 |
| COP | 1.775 | 0.100–3.450 | 0.903 | |||
| PetCO2 at rest, mmHg | 0.903 | 0.792–1.028 | 0.123 | 0.981 | 0.841–1.144 | 0.807 |
| PetCO2 at GET, mmHg | 0.814 | 0.715–0.927 | 0.002 | 0.871 | 0.736 –1.031 | 0.108 |
| Male sex | ||||||
| Model | Univariable HR | 95% CI | p-value | Multivariable HR | 95% CI | p-value |
| Age | 1.001 | 0.979–1.022 | 0.963 | |||
| BMI | 0.960 | 0.898–1.027 | 0.240 | |||
| LVEF | 0.933 | 0.905–0.963 | <0.001 | 0.938 | 0.905–0.971 | <0.001 |
| eGFR | 0.980 | 0.969–0.991 | <0.001 | 0.987 | 0.976–0.998 | 0.020 |
| Diabetes | 1.211 | 0.639–2.230 | 0.558 | |||
| Smoker | 1.791 | 1.024–3.133 | 0.041 | 1.425 | 0.805–2.521 | 0.224 |
| Peak VO2 | 0.854 | 0.806–0.905 | <0.001 | 0.869 | 0.813–0.928 | <0.001 |
| Percent of predicted pVO2 | 0.956 | 0.941–0.971 | <0.001 | 0.960 | 0.943–0.977 | <0.001 |
| VE/VCO2 slope | 1.051 | 1.032–1.070 | <0.001 | 1.056 | 1.030–1.084 | <0.001 |
| Peak VO2 at GET, mL/kg/min | 0.862 | 0.746–0.996 | 0.044 | 0.880 | 0.691–1.121 | 0.302 |
| O2 pulse, mL/kg/beat | 0.873 | 0.802–0.949 | 0.001 | 0.884 | 0.794–0.985 | 0.026 |
| Circulatory power, mmHg.mL/kg/min | 0.999 | 0.999–0.999 | <0.001 | 0.999 | 0.999–1.000 | <0.001 |
| Ventilatory power, mmHg | 0.611 | 0.510–0.733 | <0.001 | 0.645 | 0.526–0.792 | <0.001 |
| COP | 1.095 | 1.027–1.167 | 0.005 | 1.062 | 0.962–1.173 | 0.230 |
| PetCO2 at rest, mmHg | 0.886 | 0.834–0.942 | <0.001 | 0.937 | 0.873–1.005 | 0.070 |
| PetCO2 at GET, mmHg | 0.870 | 0.831–0.911 | <0.001 | 0.887 | 0.839–0.939 | <0.001 |
| Female (n = 95) | Male (n = 363) | ||||||
|---|---|---|---|---|---|---|---|
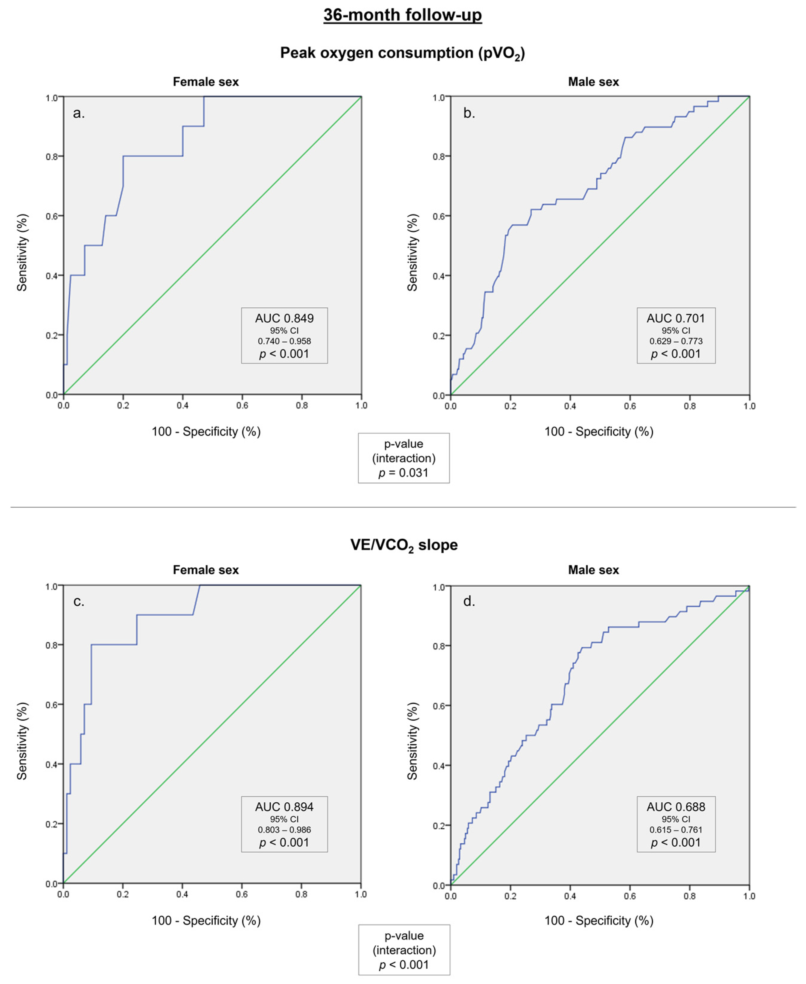
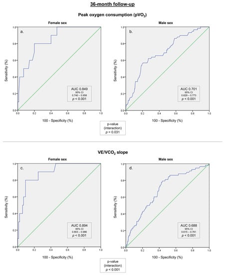
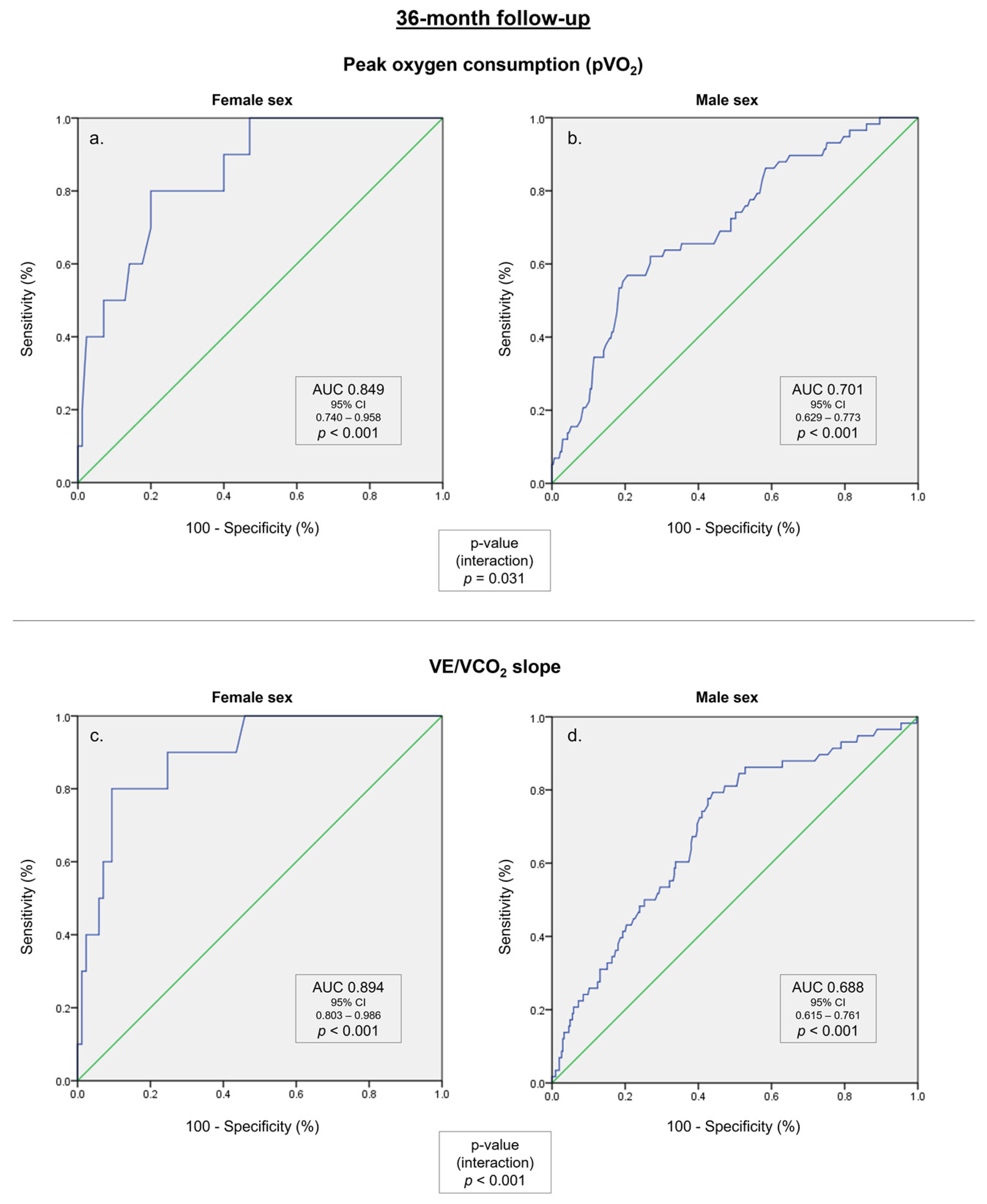
| CPET Parameters | AUC | 95% CI | p-Value | AUC | 95% CI | p-Value | p-Value (Interaction) |
| pVO2, mL/kg/min | 0.849 | 0.740–0.958 | <0.001 | 0.701 | 0.629–0.773 | <0.001 | 0.031 |
| Predicted pVO2 (%) | 0.918 | 0.860–0.975 | <0.001 | 0.701 | 0.628–0.774 | <0.001 | <0.001 |
| VE/VCO2 slope | 0.894 | 0.803–0.986 | <0.001 | 0.688 | 0.615–0.761 | <0.001 | <0.001 |
| pVO2, mL/kg/min at GET | 0.648 | 0.464–0.832 | 0.096 | 0.635 | 0.451–0.820 | 0.140 | 0.594 |
| O2 pulse, mL/kg/beat | 0.816 | 0.669–0.962 | 0.001 | 0.616 | 0.537–0.695 | 0.005 | 0.023 |
| Circulatory power, mmHg.ml/kg/min | 0.788 | 0.642–0.935 | 0.003 | 0.713 | 0.646–0.780 | <0.001 | 0.444 |
| Ventilatory power, mmHg | 0.782 | 0.597–0.967 | 0.004 | 0.711 | 0.641–0.780 | <0.001 | 0.504 |
| COP | 0.626 | 0.482–0.770 | 0.095 | 0.704 | 0.560–0.848 | 0.019 | 0.372 |
| PetCO2 at rest, mmHg | 0.606 | 0.390–0.822 | 0.275 | 0.654 | 0.580–0.728 | <0.001 | 0.694 |
| PetCO2 at GET, mmHg | 0.784 | 0.638–0.930 | 0.004 | 0.719 | 0.644–0.794 | <0.001 | 0.461 |
| Female (n = 95) | Male (n = 363) | |||||
|---|---|---|---|---|---|---|
| Exercise Testing Parameters | Specificity | Sensitivity | Youden (J) Index | Specificity | Sensitivity | Youden (J) Index |
| pVO2 ≤ 12 mL/kg/min * | 94% | 40% | 0.34 | 91% | 21% | 0.12 |
| pVO2 ≤ 14 mL/kg/min | 80% | 80% | 0.60 | 82% | 47% | 0.29 |
| pVO2 ≤ 15 mL/kg/min | 67% | 80% | 0.47 | 79% | 57% | 0.36 |
| VE/VCO2 slope > 35 | 75% | 90% | 0.65 | 66% | 57% | 0.23 |
| VE/VCO2 slope > 32 | 68% | 90% | 0.58 | 57% | 78% | 0.35 |
| Percent of predicted pVO2 ≤ 50% | 89% | 60% | 0.49 | 78% | 48% | 0.26 |
| Percent of predicted pVO2 ≤ 55% | 86% | 90% | 0.76 | 69% | 60% | 0.29 |
| Percent of predicted pVO2 ≤ 58% | 81% | 90% | 0.71 | 63% | 69% | 0.32 |
Disclaimer/Publisher’s Note: The statements, opinions and data contained in all publications are solely those of the individual author(s) and contributor(s) and not of MDPI and/or the editor(s). MDPI and/or the editor(s) disclaim responsibility for any injury to people or property resulting from any ideas, methods, instructions or products referred to in the content. |
© 2023 by the authors. Licensee MDPI, Basel, Switzerland. This article is an open access article distributed under the terms and conditions of the Creative Commons Attribution (CC BY) license (https://creativecommons.org/licenses/by/4.0/).
Share and Cite
Garcia Brás, P.; Gonçalves, A.V.; Reis, J.F.; Moreira, R.I.; Pereira-da-Silva, T.; Rio, P.; Timóteo, A.T.; Silva, S.; Soares, R.M.; Ferreira, R.C. Cardiopulmonary Exercise Testing in Patients with Heart Failure: Impact of Gender in Predictive Value for Heart Transplantation Listing. Life 2023, 13, 1985. https://doi.org/10.3390/life13101985
Garcia Brás P, Gonçalves AV, Reis JF, Moreira RI, Pereira-da-Silva T, Rio P, Timóteo AT, Silva S, Soares RM, Ferreira RC. Cardiopulmonary Exercise Testing in Patients with Heart Failure: Impact of Gender in Predictive Value for Heart Transplantation Listing. Life. 2023; 13(10):1985. https://doi.org/10.3390/life13101985
Chicago/Turabian StyleGarcia Brás, Pedro, António Valentim Gonçalves, João Ferreira Reis, Rita Ilhão Moreira, Tiago Pereira-da-Silva, Pedro Rio, Ana Teresa Timóteo, Sofia Silva, Rui M. Soares, and Rui Cruz Ferreira. 2023. "Cardiopulmonary Exercise Testing in Patients with Heart Failure: Impact of Gender in Predictive Value for Heart Transplantation Listing" Life 13, no. 10: 1985. https://doi.org/10.3390/life13101985
APA StyleGarcia Brás, P., Gonçalves, A. V., Reis, J. F., Moreira, R. I., Pereira-da-Silva, T., Rio, P., Timóteo, A. T., Silva, S., Soares, R. M., & Ferreira, R. C. (2023). Cardiopulmonary Exercise Testing in Patients with Heart Failure: Impact of Gender in Predictive Value for Heart Transplantation Listing. Life, 13(10), 1985. https://doi.org/10.3390/life13101985

