Construction and Comprehensive Analysis of miRNAs and Target mRNAs in Longissimus dorsi Muscle of Queshan Black and Large White Pigs
Abstract
Simple Summary
Abstract
1. Introduction
2. Materials and Methods
2.1. Tissue Collection and RNA Extraction
2.2. RNA Sequencing and Data Analysis
2.3. Enrichment Analysis of Differential miRNA Target Genes
2.4. Quantitative Real-Time PCR (qRT-PCR)
2.5. 3T3-L1 Cell Culture and Treatment
2.6. Data Accessibility
2.7. Statistical Analysis
3. Results
3.1. Overview of Small-RNA Sequencing Data
3.2. Target mRNAs Prediction of miRNAs
3.3. GO and KEGG Annotation of Differentially Expressed miRNAs Targeting mRNA
3.4. GO and KEGG Annotation and Analysis of Differentially Expressed mRNAs Corresponding to Differentially Expressed miRNAs
3.5. GO and KEGG Annotation and Analysis of Negatively Correlated Target mRNAs of Differentially Expressed miRNAs
3.6. Construction and Analysis of the miRNA−mRNA Network
3.7. qRT-PCR Validation of Sequencing Data
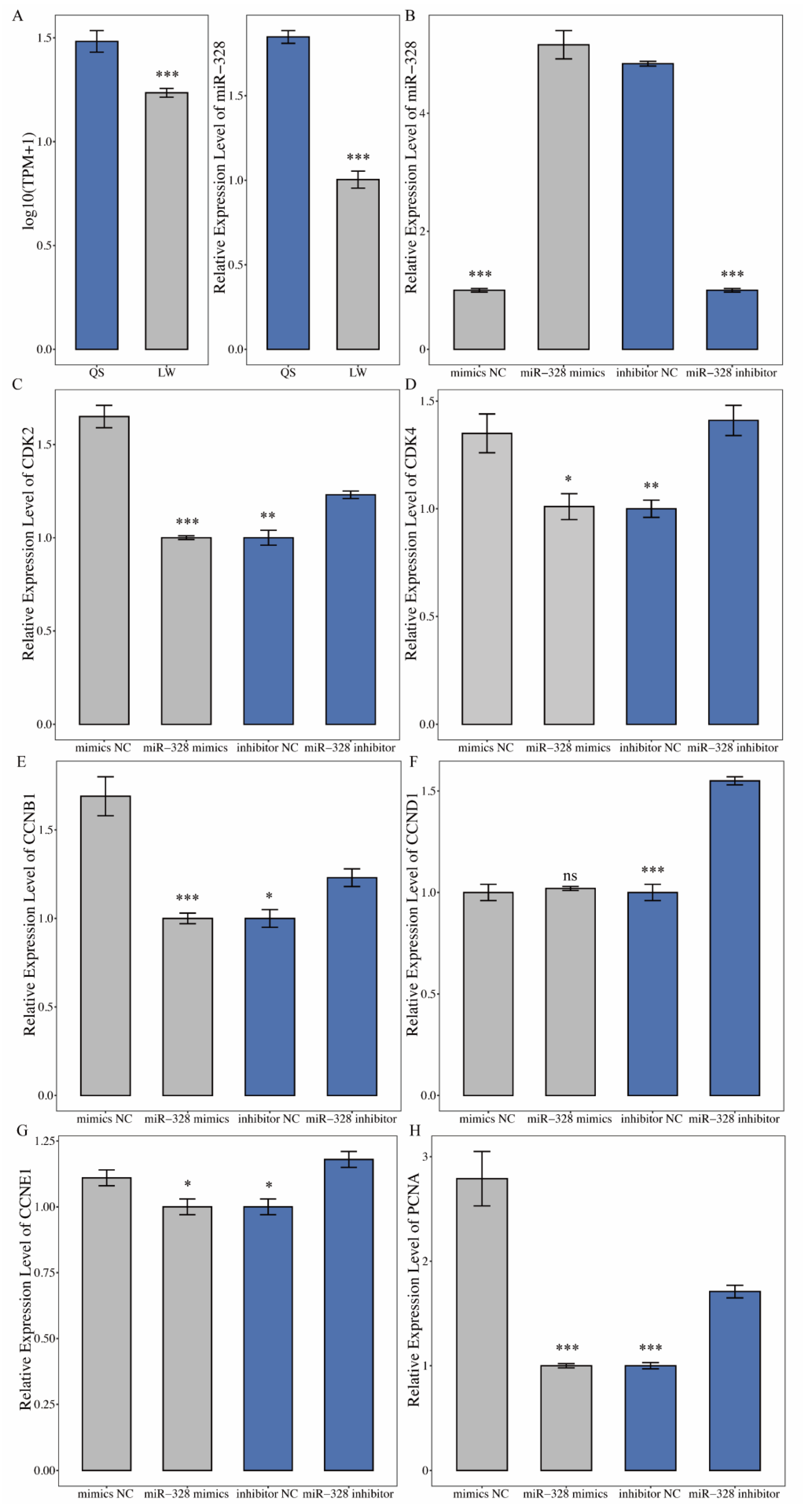
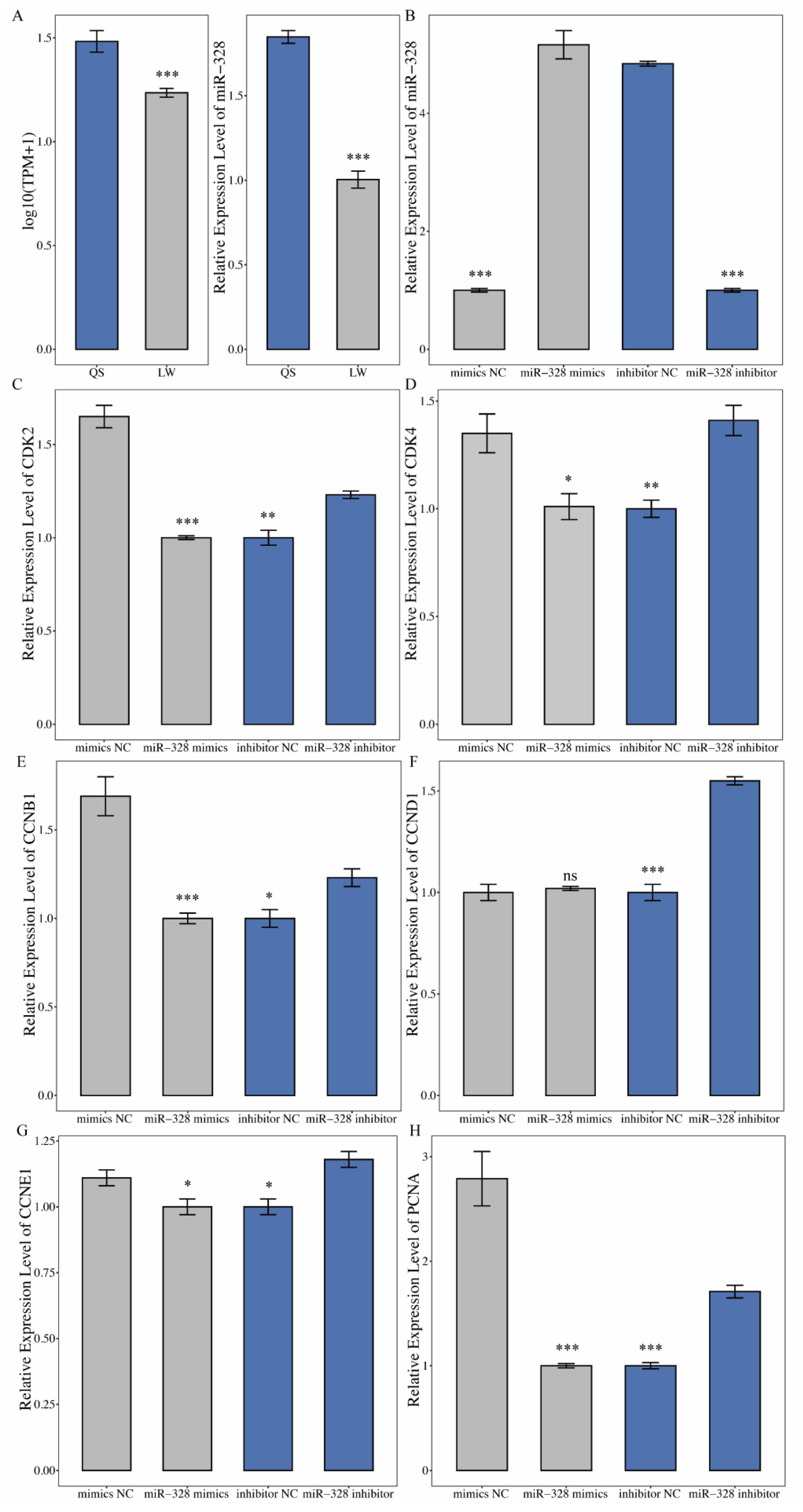
3.8. miR-328 Is Negatively Related to the Proliferation of 3T3-L1 Cells
4. Discussion
5. Conclusions
Supplementary Materials
Author Contributions
Funding
Institutional Review Board Statement
Informed Consent Statement
Data Availability Statement
Acknowledgments
Conflicts of Interest
References
- Gutierrez, K.; Dicks, N.; Glanzner, W.G.; Agellon, L.B.; Bordignon, V. Efficacy of the porcine species in biomedical research. Front. Genet. 2015, 6, 293. [Google Scholar] [CrossRef]
- Swindle, M.M.; Makin, A.; Herron, A.J.; Clubb, F.J., Jr.; Frazier, K.S. Swine as models in biomedical research and toxicology testing. Vet. Pathol. 2012, 49, 344–356. [Google Scholar] [CrossRef]
- Ngapo, T.M.; Gariepy, C. Factors affecting the eating quality of pork. Crit. Rev. Food Sci. Nutr. 2008, 48, 599–633. [Google Scholar] [CrossRef]
- Hou, X.; Yang, Y.; Zhu, S.; Hua, C.; Zhou, R.; Mu, Y.; Tang, Z.; Li, K. Comparison of skeletal muscle miRNA and mRNA profiles among three pig breeds. Mol. Genet. Genom. 2016, 291, 559–573. [Google Scholar] [CrossRef]
- Bartel, D.P. MicroRNAs: Target recognition and regulatory functions. Cell 2009, 136, 215–233. [Google Scholar] [CrossRef]
- Orom, U.A.; Nielsen, F.C.; Lund, A.H. MicroRNA-10a binds the 5’UTR of ribosomal protein mRNAs and enhances their translation. Mol. Cell 2008, 30, 460–471. [Google Scholar] [CrossRef]
- Liu, N.; Williams, A.H.; Kim, Y.; McAnally, J.; Bezprozvannaya, S.; Sutherland, L.B.; Richardson, J.A.; Bassel-Duby, R.; Olson, E.N. An intragenic MEF2-dependent enhancer directs muscle-specific expression of microRNAs 1 and 133. Proc. Natl. Acad. Sci. USA 2007, 104, 20844–20849. [Google Scholar] [CrossRef]
- Xie, H.; Lim, B.; Lodish, H.F. MicroRNAs induced during adipogenesis that accelerate fat cell development are downregulated in obesity. Diabetes 2009, 58, 1050–1057. [Google Scholar] [CrossRef]
- Gerin, I.; Bommer, G.T.; McCoin, C.S.; Sousa, K.M.; Krishnan, V.; MacDougald, O.A. Roles for miRNA-378/378* in adipocyte gene expression and lipogenesis. Am. J. Physiol. Endocrinol. Metab. 2010, 299, E198–E206. [Google Scholar] [CrossRef]
- Wang, Q.; Li, Y.C.; Wang, J.; Kong, J.; Qi, Y.; Quigg, R.J.; Li, X. miR-17-92 cluster accelerates adipocyte differentiation by negatively regulating tumor-suppressor Rb2/p130. Proc. Natl. Acad. Sci. USA 2008, 105, 2889–2894. [Google Scholar] [CrossRef]
- Sun, T.; Fu, M.; Bookout, A.L.; Kliewer, S.A.; Mangelsdorf, D.J. MicroRNA let-7 regulates 3T3-L1 adipogenesis. Mol. Endocrinol. 2009, 23, 925–931. [Google Scholar] [CrossRef]
- Naguibneva, I.; Ameyar-Zazoua, M.; Polesskaya, A.; Ait-Si-Ali, S.; Groisman, R.; Souidi, M.; Cuvellier, S.; Harel-Bellan, A. The microRNA miR-181 targets the homeobox protein Hox-A11 during mammalian myoblast differentiation. Nat. Cell Biol. 2006, 8, 278–284. [Google Scholar] [CrossRef]
- Li, X.; Qiao, R.; Ye, J.; Wang, M.; Zhang, C.; Lv, G.; Wang, K.; Li, X.; Han, X. Integrated miRNA and mRNA transcriptomes of spleen profiles between Yorkshire and Queshan black pigs. Gene 2019, 688, 204–214. [Google Scholar] [CrossRef]
- Qi, K.; Liu, Y.; Li, C.; Li, X.; Li, X.; Wang, K.; Qiao, R.; Han, X. Construction of circRNA-related ceRNA networks in longissimus dorsi muscle of Queshan Black and Large White pigs. Mol. Genet. Genom. 2021, 297, 101–112. [Google Scholar] [CrossRef]
- Ashburner, M.; Ball, C.A.; Blake, J.A.; Botstein, D.; Butler, H.; Cherry, J.M.; Davis, A.P.; Dolinski, K.; Dwight, S.S.; Eppig, J.T.; et al. Gene ontology: Tool for the unification of biology. The Gene Ontology Consortium. Nat. Genet. 2000, 25, 25–29. [Google Scholar] [CrossRef]
- Kanehisa, M.; Sato, Y.; Kawashima, M.; Furumichi, M.; Tanabe, M. KEGG as a reference resource for gene and protein annotation. Nucleic Acids Res. 2016, 44, D457–D462. [Google Scholar] [CrossRef]
- Kim, S.Y.; Kim, A.Y.; Lee, H.W.; Son, Y.H.; Lee, G.Y.; Lee, J.W.; Lee, Y.S.; Kim, J.B. miR-27a is a negative regulator of adipocyte differentiation via suppressing PPARgamma expression. Biochem. Biophys. Res. Commun. 2010, 392, 323–328. [Google Scholar] [CrossRef]
- Karbiener, M.; Fischer, C.; Nowitsch, S.; Opriessnig, P.; Papak, C.; Ailhaud, G.; Dani, C.; Amri, E.Z.; Scheideler, M. microRNA miR-27b impairs human adipocyte differentiation and targets PPARgamma. Biochem. Biophys. Res. Commun. 2009, 390, 247–251. [Google Scholar] [CrossRef]
- Kida, K.; Nakajima, M.; Mohri, T.; Oda, Y.; Takagi, S.; Fukami, T.; Yokoi, T. PPARalpha is regulated by miR-21 and miR-27b in human liver. Pharm. Res. 2011, 28, 2467–2476. [Google Scholar] [CrossRef]
- Lin, Z.; Tang, Y.; Li, Z.; Li, J.; Yu, C.; Yang, C.; Liu, L.; Wang, Y.; Liu, Y. miR-24-3p Dominates the Proliferation and Differentiation of Chicken Intramuscular Preadipocytes by Blocking ANXA6 Expression. Genes 2022, 13, 635. [Google Scholar] [CrossRef]
- Li, X.; Bi, H.; Xie, S.; Cui, W. MiR-208b Regulates the Conversion of Skeletal Muscle Fiber Types by Inhibiting Mettl8 Expression. Front. Genet. 2022, 13, 820464. [Google Scholar] [CrossRef] [PubMed]
- Mir, B.A.; Albrecht, E.; Ali, A.; Hansson, O.; Maak, S. MicroRNA-100 Reduced Fetal Bovine Muscle Satellite Cell Myogenesis and Augmented Intramuscular Lipid Deposition by Modulating IGF1R. Cells 2022, 11, 451. [Google Scholar] [CrossRef] [PubMed]
- Wang, L.; Hu, X.; Wang, S.; Yuan, C.; Wang, Z.; Chang, G.; Chen, G. MicroRNA analysis reveals the role of miR-214 in duck adipocyte differentiation. Anim. Biosci. 2022, 35, 1327–1339. [Google Scholar] [CrossRef] [PubMed]
- Shen, L.; Gan, M.; Chen, L.; Zhao, Y.; Niu, L.; Tang, G.; Jiang, Y.; Zhang, T.; Zhang, S.; Zhu, L. miR-152 targets pyruvate kinase to regulate the glycolytic activity of pig skeletal muscles and affects pork quality. Meat Sci. 2022, 185, 108707. [Google Scholar] [CrossRef] [PubMed]
- Wang, S.; Pan, C.; Ma, X.; Yang, C.; Tang, L.; Huang, J.; Wei, X.; Li, H.; Ma, Y. Identification and Functional Verification Reveals that miR-195 Inhibiting THRSP to Affect Fat Deposition in Xinyang Buffalo. Front. Genet. 2021, 12, 736441. [Google Scholar] [CrossRef]
- Long, J.K.; Dai, W.; Zheng, Y.W.; Zhao, S.P. miR-122 promotes hepatic lipogenesis via inhibiting the LKB1/AMPK pathway by targeting Sirt1 in non-alcoholic fatty liver disease. Mol. Med. 2019, 25, 26. [Google Scholar] [CrossRef]
- Kadota, Y.; Toriuchi, Y.; Aki, Y.; Mizuno, Y.; Kawakami, T.; Nakaya, T.; Sato, M.; Suzuki, S. Metallothioneins regulate the adipogenic differentiation of 3T3-L1 cells via the insulin signaling pathway. PLoS ONE 2017, 12, e0176070. [Google Scholar] [CrossRef]
- Huang, G.; Yang, C.; Guo, S.; Huang, M.; Deng, L.; Huang, Y.; Chen, P.; Chen, F.; Huang, X. Adipocyte-specific deletion of PIP5K1c reduces diet-induced obesity and insulin resistance by increasing energy expenditure. Lipids Health Dis. 2022, 21, 6. [Google Scholar] [CrossRef]
- Hong, J.; Mei, C.; Raza, S.H.A.; Khan, R.; Cheng, G.; Zan, L. SIRT5 inhibits bovine preadipocyte differentiation and lipid deposition by activating AMPK and repressing MAPK signal pathways. Genomics 2020, 112, 1065–1076. [Google Scholar] [CrossRef]
- Hildyard, J.C.; Wells, D.J. Identification and validation of quantitative PCR reference genes suitable for normalizing expression in normal and dystrophic cell culture models of myogenesis. PLoS Curr. 2014, 6. [Google Scholar] [CrossRef]
- Ignatieva, E.V.; Ivanova, O.A.; Komarova, M.Y.; Khromova, N.V.; Polev, D.E.; Kostareva, A.A.; Sergushichev, A.; Dmitrieva, R.I. LMNA mutations G232E and R482L cause dysregulation of skeletal muscle differentiation, bioenergetics, and metabolic gene expression profile. Genes 2020, 11, 1057. [Google Scholar] [CrossRef] [PubMed]
- Zhao, L.; Zhou, L.; Hao, X.; Wang, L.; Han, F.; Liu, L.; Duan, X.; Guo, F.; He, J.; Liu, N. Identification and Characterization of Circular RNAs in Association With the Deposition of Intramuscular Fat in Aohan Fine-Wool Sheep. Front. Genet. 2021, 12, 759747. [Google Scholar] [CrossRef] [PubMed]
- Guo, H.; Khan, R.; Abbas Raza, S.H.; Suhail, S.M.; Khan, H.; Khan, S.B.; Abd El-Aziz, A.H.; Zan, L. RNA-Seq reveals function of bta-miR-149-5p in the regulation of bovine adipocyte differentiation. Animals 2021, 11, 1207. [Google Scholar] [CrossRef]
- Khan, R.; Raza, S.H.A.; Junjvlieke, Z.; Wang, X.; Wang, H.; Cheng, G.; Mei, C.; Elsaeid Elnour, I.; Zan, L. Bta-miR-149-5p inhibits proliferation and differentiation of bovine adipocytes through targeting CRTCs at both transcriptional and posttranscriptional levels. J. Cell. Physiol. 2020, 235, 5796–5810. [Google Scholar] [CrossRef] [PubMed]
- Shetty, A.; Suresh, P.S. A synergy of estradiol with leptin modulates the long non-coding RNA NEAT1/ mmu-miR-204-5p/IGF1 axis in the uterus of high-fat-diet-induced obese ovariectomized mice. J. Steroid. Biochem. Mol. Biol. 2021, 209, 105843. [Google Scholar] [CrossRef]
- Zhang, Y.; Gu, M.; Ma, Y.; Peng, Y. LncRNA TUG1 reduces inflammation and enhances insulin sensitivity in white adipose tissue by regulating miR-204/SIRT1 axis in obesity mice. Mol. Cell. Biochem. 2020, 475, 171–183. [Google Scholar] [CrossRef]
- Yang, C.; Rong, R.; Li, Y.; Cheng, M.; Luo, Y. Decrease in LINC00963 attenuates the progression of pulmonary arterial hypertension via microRNA-328-3p/profilin 1 axis. J. Clin. Lab. Anal. 2022, 36, e24383. [Google Scholar] [CrossRef]
- Qian, Z.; Zhang, L.; Chen, J.; Li, Y.; Kang, K.; Qu, J.; Wang, Z.; Zhai, Y.; Li, L.; Gou, D. MiR-328 targeting PIM-1 inhibits proliferation and migration of pulmonary arterial smooth muscle cells in PDGFBB signaling pathway. Oncotarget 2016, 7, 54998–55011. [Google Scholar] [CrossRef][Green Version]
- Ling, Y.; Zheng, Q.; Jing, J.; Sui, M.; Zhu, L.; Li, Y.; Zhang, Y.; Liu, Y.; Fang, F.; Zhang, X. RNA-Seq Reveals miRNA Role Shifts in Seven Stages of Skeletal Muscles in Goat Fetuses and Kids. Front. Genet. 2020, 11, 684. [Google Scholar] [CrossRef]
- Oliverio, M.; Schmidt, E.; Mauer, J.; Baitzel, C.; Hansmeier, N.; Khani, S.; Konieczka, S.; Pradas-Juni, M.; Brodesser, S.; Van, T.M.; et al. Dicer1-miR-328-Bace1 signalling controls brown adipose tissue differentiation and function. Nat. Cell. Biol. 2016, 18, 328–336. [Google Scholar] [CrossRef]







| Sample | Raw Reads | n% > 10% | Low Quality/% | Q30/% | GC Content/% | Clean Reads |
|---|---|---|---|---|---|---|
| QS1 | 30787856 | 0.00 | 0.07 | 99.00 | 44.99 | 30128527 (97.86%) |
| QS2 | 26744869 | 0.00 | 0.06 | 99.20 | 45.50 | 26165135 (97.83%) |
| QS3 | 33952308 | 0.00 | 0.07 | 98.97 | 45.44 | 33181446 (97.73%) |
| LW1 | 27521932 | 0.00 | 0.11 | 99.01 | 45.42 | 27207230 (98.86%) |
| LW2 | 25071908 | 0.00 | 0.12 | 98.79 | 45.20 | 24612756 (98.17%) |
| LW3 | 24938800 | 0.00 | 0.11 | 99.09 | 45.41 | 24540296 (98.40%) |
| Sample | Total sRNA | Mapped sRNA | Mapped sRNA (+) | Mapped sRNA (−) |
|---|---|---|---|---|
| QS1 | 29506123 | 28479022 (96.52%) | 21790911 (73.85%) | 6688111 (22.67%) |
| QS2 | 25548730 | 24589772 (96.25%) | 19112359 (74.81%) | 5477413 (21.44%) |
| QS3 | 32472797 | 31216845 (96.13%) | 23834912 (73.40%) | 7381933 (22.73%) |
| LW1 | 26511199 | 25669736 (96.83%) | 20633956 (77.83%) | 5035780 (18.99%) |
| LW2 | 23789195 | 22683871 (95.35%) | 16728401 (70.32%) | 5955470 (25.03%) |
| LW3 | 23893307 | 22661469 (94.84%) | 16207603 (67.83%) | 6453866 (27.01%) |
| Type | Number of miRNA | Target mRNA | Target Gene |
|---|---|---|---|
| All miRNA | 418 | 20,375 | 10,428 |
| Differentially expressed miRNA | 39 | 5234 | 3064 |
Publisher’s Note: MDPI stays neutral with regard to jurisdictional claims in published maps and institutional affiliations. |
© 2022 by the authors. Licensee MDPI, Basel, Switzerland. This article is an open access article distributed under the terms and conditions of the Creative Commons Attribution (CC BY) license (https://creativecommons.org/licenses/by/4.0/).
Share and Cite
Han, X.; Qi, K.; Song, C.; Dou, Y.; Liu, Y.; Li, C.; Wei, Y.; Qiao, R.; Li, X.; Yang, F.; et al. Construction and Comprehensive Analysis of miRNAs and Target mRNAs in Longissimus dorsi Muscle of Queshan Black and Large White Pigs. Life 2022, 12, 1814. https://doi.org/10.3390/life12111814
Han X, Qi K, Song C, Dou Y, Liu Y, Li C, Wei Y, Qiao R, Li X, Yang F, et al. Construction and Comprehensive Analysis of miRNAs and Target mRNAs in Longissimus dorsi Muscle of Queshan Black and Large White Pigs. Life. 2022; 12(11):1814. https://doi.org/10.3390/life12111814
Chicago/Turabian StyleHan, Xuelei, Kunlong Qi, Chenglei Song, Yaqing Dou, Yingke Liu, Chenlei Li, Yilin Wei, Ruimin Qiao, Xiuling Li, Feng Yang, and et al. 2022. "Construction and Comprehensive Analysis of miRNAs and Target mRNAs in Longissimus dorsi Muscle of Queshan Black and Large White Pigs" Life 12, no. 11: 1814. https://doi.org/10.3390/life12111814
APA StyleHan, X., Qi, K., Song, C., Dou, Y., Liu, Y., Li, C., Wei, Y., Qiao, R., Li, X., Yang, F., Wang, K., & Li, X. (2022). Construction and Comprehensive Analysis of miRNAs and Target mRNAs in Longissimus dorsi Muscle of Queshan Black and Large White Pigs. Life, 12(11), 1814. https://doi.org/10.3390/life12111814

