The Wear Behaviour of a New Eccentric Meshing Reducer with Small Teeth Difference
Abstract
1. Introduction
2. Modeling and Methods
2.1. Finite Element Model of the Eccentric Meshing Reducer
2.2. Wearing Techniques
3. Results and Discussions
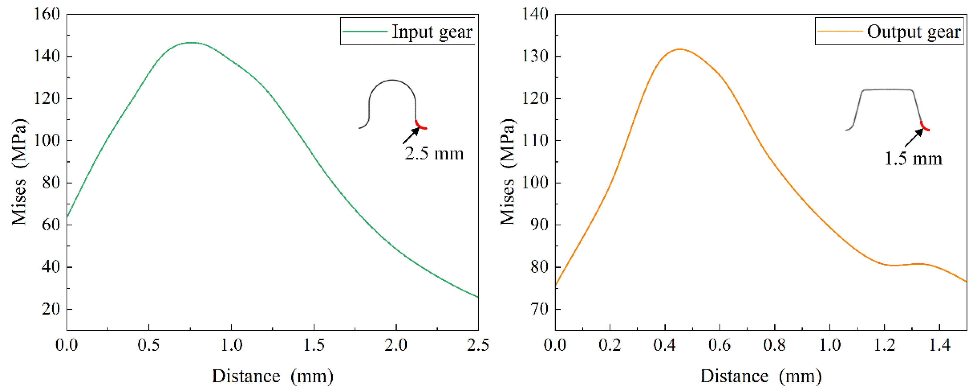
3.1. Tooth Surface Stress Analysis of the Reducer
3.2. Wear Analysis of Tooth Surface
3.2.1. Wear Laws of Different Contact Pairs
3.2.2. Impact of the Load Amplitude on Wear
4. Conclusions
- (1)
- In this eccentric meshing reducer, the stress responses of the gear contact pair were stronger than those of the contact pair. Under the conditions of 30 Nm, the maximum stress of the gear contact pair was 699 MPa and the maximum stress of the corresponding spline contact pair was 550 MPa.
- (2)
- In this eccentric meshing reducer, the wear rate of the external spline was higher than that of the input shaft gear, which uses the same material. This effect can be attributed to the greater relative sliding distance. In the two contact pairs, the internal spline showed the highest wear rate, followed by the output shaft gear, external spline, and input shaft gear, successively.
Author Contributions
Funding
Institutional Review Board Statement
Informed Consent Statement
Data Availability Statement
Conflicts of Interest
References
- Imrek, H.; Düzcükoğlu, H. Relation between wear and tooth width modification in spur gears. Wear 2007, 262, 390–394. [Google Scholar] [CrossRef]
- Sun, Y.; Li, Y.; Zhang, Q.; Qin, X.; Chen, K. Wear analysis and simulation of small module gear based on Archard model. Eng. Fail. Anal. 2023, 144, 106990. [Google Scholar] [CrossRef]
- Hu, C.; Smith, W.A.; Randall, R.B.; Peng, Z. Development of a gear vibration indicator and its application in gear wear monitoring. Mech. Syst. Signal Process. 2016, 76, 319–336. [Google Scholar] [CrossRef]
- Bai, Z.; Ning, Z. Dynamic responses of the planetary gear mechanism considering dynamic wear effects. Lubricants 2023, 11, 255. [Google Scholar] [CrossRef]
- Shen, Z.; Qiao, B.; Yang, L.; Luo, W.; Chen, X. Evaluating the influence of tooth surface wear on TVMS of planetary gear set. Mech. Mach. Theory 2019, 136, 206–223. [Google Scholar] [CrossRef]
- Chen, J.; Dong, N.; Min, J. Study on the coupling relationship between wear and dynamics in planetary gear systems. Machines 2023, 11, 986. [Google Scholar] [CrossRef]
- Shen, Z.; Yang, L.; Qiao, B.; Luo, W.; Chen, X.; Yan, R. Mesh relationship modeling and dynamic characteristic analysis of external spur gears with gear wear. Front. Mech. Eng. 2022, 17, 9. [Google Scholar] [CrossRef]
- Bajpai, P.; Kahraman, A.; Anderson, N.E. A surface wear prediction methodology for parallel-axis gear pairs. J. Tribol. 2004, 126, 597–605. [Google Scholar] [CrossRef]
- Feng, K.; Ni, Q.; Chen, Y.; Ge, J.; Liu, Z. A cyclostationarity-based wear monitoring framework of spur gears in intelligent manufacturing systems. Struct. Health Monit. 2023, 22, 3092–3108. [Google Scholar] [CrossRef]
- Sudhagar, S.; Bhaskara Rao, L. Analytical and experimental studies on wear in spur gear running in dry condition. J. Tribol. 2022, 144, 21703. [Google Scholar] [CrossRef]
- Grabovic, E.; Artoni, A.; Gabiccini, M.; Guiggiani, M.; Mattei, L.; Di Puccio, F.; Ciulli, E. Friction-induced efficiency losses and wear evolution in hypoid gears. Machines 2022, 10, 748. [Google Scholar] [CrossRef]
- Chen, W.; Lei, Y.; Fu, Y.; Hou, L. A study of effects of tooth surface wear on time-varying mesh stiffness of external spur gear considering wear evolution process. Mech. Mach. Theory 2021, 155, 104055. [Google Scholar] [CrossRef]
- Ignatijev, A.; Borovinšek, M.; Glodež, S. A computational model for analysing the dry rolling/sliding wear behaviour of polymer gears made of POM. Polymers 2024, 16, 1073. [Google Scholar] [CrossRef] [PubMed]
- Walker, J.; Mohammadpour, M.; Theodossiades, S.; Bewsher, S.R.; Offner, G.; Bansal, H.; Leighton, M.; Braunstingl, M.; Flesch, H.-G. A multi-physics transient wear model for helical gear pairs. Tribol. Int. 2022, 169, 107463. [Google Scholar] [CrossRef]
- Masjedi, M.; Khonsari, M.M. On the prediction of steady-state wear rate in spur gears. Wear 2015, 342–343, 234–243. [Google Scholar] [CrossRef]
- Pathak, M.; Jayanti, L.; Rakshit, S. Linear complementarity formulations for contact analysis and wear prediction in gears. Mech. Mach. Theory 2024, 198, 105669. [Google Scholar] [CrossRef]
- Li, J.; Kang, B.; Sun, Y.; Huang, Y.; Guo, J.; Gao, Z. Dynamic Characteristic Analysis of the Shield Machine Three-Stage Planetary Reducer Considering Tooth Wear. J. Vib. Eng. Technol. 2024, 12, 7291–7304. [Google Scholar] [CrossRef]
- Lehmann, B.; Trompetter, P.; Guzmán, F.G.; Jacobs, G. Evaluation of wear models for the wear calculation of journal bearings for planetary gears in wind turbines. Lubricants 2023, 11, 364. [Google Scholar] [CrossRef]
- Li, X.; Yang, H.; Niu, W.; Guo, R.; Sun, L. Investigation on tooth surface wear of cycloid drives considering tooth profile modifications. Lubricants 2023, 11, 323. [Google Scholar] [CrossRef]
- Zhao, Q.; Xing, Z.; Yuan, J.; Zhang, Z.; Zhu, J.; Jiang, H. An improved modeling and numerical analysis method for tooth surface wear of double-Arc harmonic gears. Materials 2022, 15, 8869. [Google Scholar] [CrossRef] [PubMed]
- Janakiraman, V.; Li, S.; Kahraman, A. An investigation of theimpacts of contact parameters on wear coefficient. J. Tribol. 2014, 138, 31602. [Google Scholar] [CrossRef]
- Zhang, R.; Zhou, J.; Wei, Z. Study on transmission error and torsional stiffness of RV reducer under wear. J. Mech. Sci. Technol. 2022, 36, 4067–4081. [Google Scholar] [CrossRef]
- Shen, Z.; Qiao, B.; Yang, L. Fault mechanism and dynamic modeling of planetary gear with gear wear. Mech. Mach. Theory 2021, 155, 104098. [Google Scholar] [CrossRef]
- Chang, H.; Borghesani, P.; Smith, W.A.; Peng, Z. Application of surface replication combined with image analysis to investigate wear evolution on gear teeth—A case study. Wear 2019, 430, 355–368. [Google Scholar] [CrossRef]
- Zhao, J.; Yu, X.; Sheng, W.; Li, Z.; Zhang, H.; Zhu, R. Effect of machined tooth surface mixed lubrication sliding wear on gear dynamic characteristics. Machines 2023, 11, 25. [Google Scholar] [CrossRef]
- Lin, J.; Teng, C.; Bergstedt, E.; Li, H.; Shi, Z.; Olofsson, U. A quantitatively distributed wear-measurement method for spur gears during micro-pitting and pitting tests. Tribol. Int. 2021, 157, 106839. [Google Scholar] [CrossRef]
- Liu, H.; Zhu, C.; Wang, Z.; Zhou, Y.; Zhang, Y. A theoretical tribological comparison between soft and hard coatings of spur gear pairs. J. Tribol. 2017, 139, 31503. [Google Scholar] [CrossRef]
- Archard, J.F. Contact and rubbing of flat surfaces. J. Appl. Phys. 1953, 24, 981–988. [Google Scholar] [CrossRef]
- He, H.; Liu, H.; Zhu, C.; Wei, P.; Sun, Z. Study of rolling contact fatigue behavior of a wind turbine gear based on damage-coupled elastic-plastic model. Int. J. Mech. Sci. 2018, 141, 512–519. [Google Scholar] [CrossRef]
- Liu, H.; Liu, H.; Zhu, C.; Tang, J. Study on gear contact fatigue failure competition mechanism considering tooth wear evolution. Tribol. Int. 2020, 147, 106277. [Google Scholar] [CrossRef]














| Input Gear | Output Gear | External Spline | Internal Spline | |
|---|---|---|---|---|
| Teeth number | 22 | 20 | 14 | 14 | 
| Module (mm) | 2 | 2 | - | - | 
| Tooth width (mm) | 7 | 6 | 19 | 19 | 
| Pressure angle (°) | 20 | 20 | - | - | 
| Component | Material | Chemical Composition | |||||||
|---|---|---|---|---|---|---|---|---|---|
| C | Si | Mn | Cr | P | S | Ni | Ti | ||
| Input gear | 20CrMnTi | 0.18 | 0.26 | 1.20 | 1.20 | 0.01 | 0.004 | 0.01 | 0.07 | 
| Output gear | 40Cr | 0.40 | 0.27 | 0.60 | 1.0 | 0.01 | 0.004 | 0.01 | |
| External spline | 20CrMnTi | 0.18 | 0.26 | 1.20 | 1.20 | 0.01 | 0.004 | 0.01 | 0.07 | 
| Internal spline | 45 | 0.45 | 0.30 | 0.6 | 0.20 | 0.01 | 0.004 | 0.01 | |
| Material | 20CrMnTi | 40Cr | 45 | 
|---|---|---|---|
| (mm2/N) | 
| Torque (N·m) | 30 | 60 | 90 | 120 | 
|---|---|---|---|---|
| Output gear | 4.53 × 10−10 | 6.60 × 10−10 | 8.50 × 10−10 | 10.25 × 10−10 | 
| Input gear | 3.54 × 10−12 | 6.38 × 10−12 | 8.88 × 10−12 | 11.15 × 10−12 | 
| Disclaimer/Publisher’s Note: The statements, opinions and data contained in all publications are solely those of the individual author(s) and contributor(s) and not of MDPI and/or the editor(s). MDPI and/or the editor(s) disclaim responsibility for any injury to people or property resulting from any ideas, methods, instructions or products referred to in the content. | 
© 2024 by the authors. Licensee MDPI, Basel, Switzerland. This article is an open access article distributed under the terms and conditions of the Creative Commons Attribution (CC BY) license (https://creativecommons.org/licenses/by/4.0/).
Share and Cite
Yang, R.; Guan, Z.; Yang, D.; Zou, S.; He, H.; Wang, G. The Wear Behaviour of a New Eccentric Meshing Reducer with Small Teeth Difference. Machines 2024, 12, 605. https://doi.org/10.3390/machines12090605
Yang R, Guan Z, Yang D, Zou S, He H, Wang G. The Wear Behaviour of a New Eccentric Meshing Reducer with Small Teeth Difference. Machines. 2024; 12(9):605. https://doi.org/10.3390/machines12090605
Chicago/Turabian StyleYang, Renqiang, Zhengjun Guan, Dongdong Yang, Shuaidong Zou, Haifeng He, and Guangjian Wang. 2024. "The Wear Behaviour of a New Eccentric Meshing Reducer with Small Teeth Difference" Machines 12, no. 9: 605. https://doi.org/10.3390/machines12090605
APA StyleYang, R., Guan, Z., Yang, D., Zou, S., He, H., & Wang, G. (2024). The Wear Behaviour of a New Eccentric Meshing Reducer with Small Teeth Difference. Machines, 12(9), 605. https://doi.org/10.3390/machines12090605
 
         
                                                


 
       