Role of Cyclic Thermal Shocks on the Physical and Mechanical Responses of White Marble
Abstract
:1. Introduction
2. Experimental Methodology
2.1. Specimens Preparation
2.2. Cyclic Thermal Shock Treatment
2.3. Testing Procedures
3. Analysis of Experimental Results
3.1. Effects of Thermal Shock Numbers
3.2. Effects of Temperature Level
4. Micro Thermal Damage Mechanism of Marbles
4.1. Thermogravimetry Analysis
4.2. Microscopy Observation
5. Conclusions
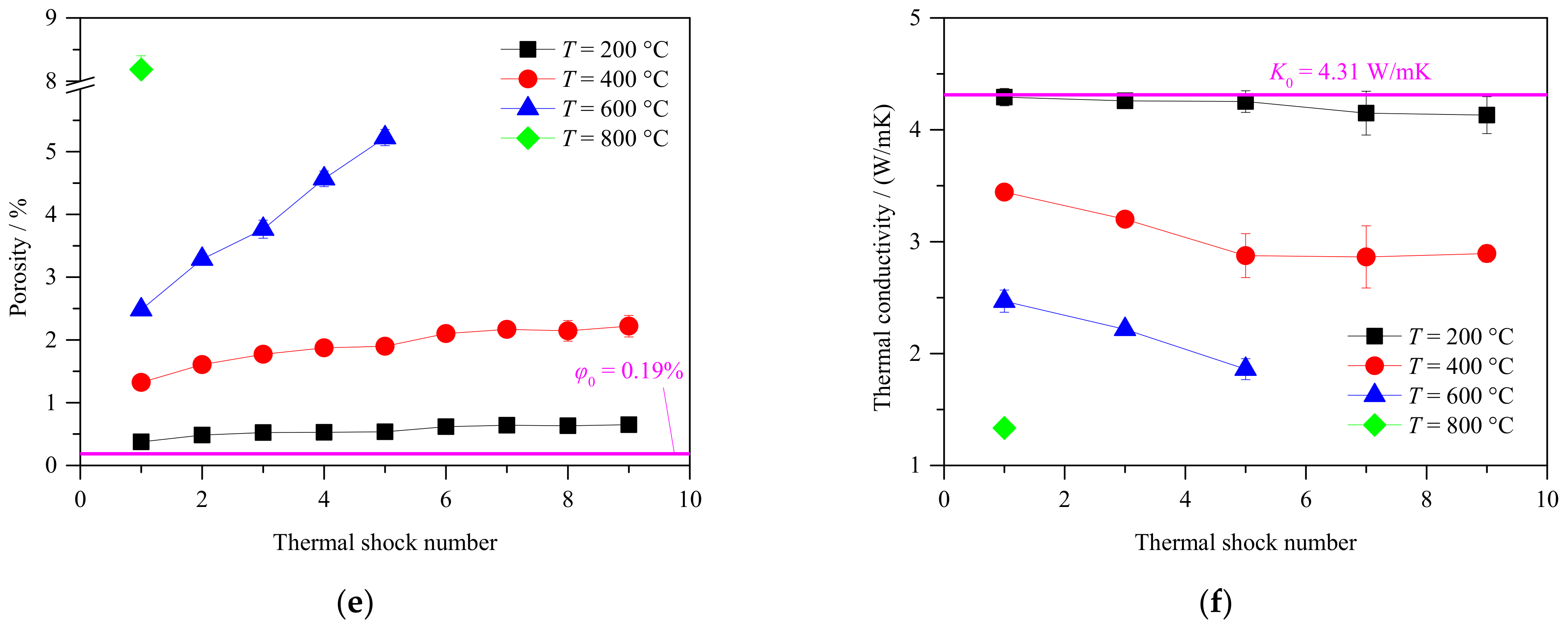
- Both the cyclic thermal shock numbers (N) and the temperature level (T) have negative impacts on the physical and mechanical properties. The effect of thermal shock numbers on rock physical properties becomes dramatic as T = 600 °C. The mass loss coefficient and porosity increase significantly from 600 to 800 °C, while the density decreases significantly. The most noticeable change in P-wave velocity occurs between 200 and 400 °C, with an attenuation of 52.98%. At T = 600 °C, the evolutions of mass, volume and porosity show approximately linear relationships with increasing thermal shock numbers.
- The thermal conductivity of marble decreases linearly with an increasing temperature under the same thermal shock number. As T = 200 °C, increasing the number of thermal shocks has little effect on the thermal conductivity. When T = 400 and 600 °C, the thermal conductivity gradually decreases with thermal shock numbers, but the decreasing range is within 25%.
- Overall, the compressive strength and Young’s modulus of the specimens vary greatly from one to three thermal shocks and then tend to be stable. While increasing temperatures constantly deteriorate the mechanical properties of marble specimens, after experiencing severe thermal damage (high N or T), the failure mode of marble samples under uniaxial compression is mainly shear failure.
- The thermal damage induced by cyclic thermal shocks not only results from the decomposition of minerals, but is also influenced by the changes in crystal structures. Microscopic photos display the development of micro-cracks and the intensification of thermal damages with an increasing T or N.
Author Contributions
Funding
Data Availability Statement
Conflicts of Interest
References
- Salama, A.; El Amin, M.F.; Sun, S. Numerical investigation of high level nuclear waste disposal in deep anisotropic geologic repositories. Prog. Nucl. Energy 2015, 85, 747–755. [Google Scholar] [CrossRef]
- Zhu, Z.-N.; Tian, H.; Jiang, G.-S.; Cheng, W. Effects of high temperature on the mechanical properties of chinese marble. Rock Mech. Rock Eng. 2018, 51, 1937–1942. [Google Scholar] [CrossRef]
- Rong, G.; Peng, J.; Cai, M.; Yao, M.; Zhou, C.; Sha, S. Experimental investigation of thermal cycling effect on physical and mechanical properties of bedrocks in geothermal fields. Appl. Therm. Eng. 2018, 141, 174–185. [Google Scholar] [CrossRef]
- Huang, Z.; Zeng, W.; Gu, Q.; Wu, Y.; Zhong, W.; Zhao, K. Investigations of variations in physical and mechanical properties of granite, sandstone, and marble after temperature and acid solution treatments. Constr. Build. Mater. 2021, 307, 124943. [Google Scholar] [CrossRef]
- Krzemień, A. Fire risk prevention in underground coal gasification (UCG) within active mines: Temperature forecast by means of MARS models. Energy 2019, 170, 777–790. [Google Scholar] [CrossRef]
- Zhao, Y.; Zhang, C.; Wang, Y.; Lin, H. Shear-related roughness classification and strength model of natural rock joint based on fuzzy comprehensive evaluation. Int. J. Rock Mech. Min. Sci. 2020, 137, 104550. [Google Scholar] [CrossRef]
- Zhao, Y.; Liu, Q.; Zhang, C.; Liao, J.; Lin, H.; Wang, Y. Coupled seepage-damage effect in fractured rock masses: Model development and a case study. Int. J. Rock Mech. Min. Sci. 2021, 144, 104822. [Google Scholar] [CrossRef]
- Zhang, W.; Qian, H.; Sun, Q.; Chen, Y. Experimental study of the effect of high temperature on primary wave velocity and microstructure of limestone. Environ. Earth Sci. 2015, 74, 5739–5748. [Google Scholar] [CrossRef]
- Yin, Q.; Jing, H.; Liu, R.; Su, H.; Yu, L.; Han, G. Pore characteristics and nonlinear flow behaviors of granite exposed to high temperature. Bull. Eng. Geol. Environ. 2019, 79, 1239–1257. [Google Scholar] [CrossRef]
- Rossi, E.; Kant, M.A.; Madonna, C.; Saar, M.O.; von Rohr, P.R. The effects of high heating rate and high temperature on the rock strength: Feasibility study of a thermally assisted drilling method. Rock Mech. Rock Eng. 2018, 51, 2957–2964. [Google Scholar] [CrossRef]
- Yu, L.; Su, H.; Jing, H.; Zhang, Q.; Yang, E. Experimental study of the mechanical behavior of sandstone affected by blasting. Int. J. Rock Mech. Min. Sci. 2017, 93, 234–241. [Google Scholar] [CrossRef]
- Chen, G.; Li, T.; Zhang, G.; Yin, H.; Zhang, H. Temperature effect of rock burst for hard rock in deep-buried tunnel. Nat. Hazards 2014, 72, 915–926. [Google Scholar] [CrossRef]
- Kang, F.; Jia, T.; Li, Y.; Deng, J.; Tang, C.; Huang, X. Experimental study on the physical and mechanical variations of hot granite under different cooling treatments. Renew. Energy 2021, 179, 1316–1328. [Google Scholar] [CrossRef]
- Qiao, R.; Shao, Z.S.; Liu, F.Y.; Wei, W. Damage evolution and safety assessment of tunnel lining subjected to long-duration fire. Tunn. Undergr. Space Technol. 2019, 83, 354–363. [Google Scholar] [CrossRef]
- Tomar, M.S.; Khurana, S. Impact of passive fire protection on heat release rates in road tunnel fire: A review. Tunn. Undergr. Space Technol. 2019, 85, 149–159. [Google Scholar] [CrossRef]
- Shao, S.; Ranjith, P.G.; Wasantha, P.L.P.; Chen, B.K. Experimental and numerical studies on the mechanical behaviour of Australian Strathbogie granite at high temperatures, An application to geothermal energy. Geothermics 2015, 54, 96–108. [Google Scholar] [CrossRef]
- Peng, J.; Rong, G.; Tang, Z.; Sha, S. Microscopic characterization of microcrack development in marble after cyclic treatment with high temperature. Bull. Eng. Geol. Environ. 2019, 78, 5965–5976. [Google Scholar] [CrossRef]
- Feng, Y.; Su, H.; Zhang, W.; Yu, L.; Yin, Q. Experimental study on mechanical behaviors and fracture features of coarse marble specimens after thermal shock. Int. J. Geomech. 2021, 21, 06021013. [Google Scholar] [CrossRef]
- Guo, Q.; Su, H.; Liu, J.; Yin, Q.; Jing, H.; Yu, L. An experimental study on the fracture behaviors of marble specimens subjected to high temperature treatment. Eng. Fract. Mech. 2020, 225, 106862. [Google Scholar] [CrossRef]
- Zhao, Y.; Zhang, L.; Liao, J.; Wang, W.; Liu, Q.; Tang, L. Experimental study of fracture toughness and subcritical crack growth of three rocks under different environments. Int. J. Geomech. 2020, 20, 04020128. [Google Scholar] [CrossRef]
- Koca, M.Y.; Ozden, G.; Yavuz, A.B.; Kincal, C.; Onargan, T.; Kucuk, K. Changes in the engineering properties of marble in fireexposed columns. Int. J. Rock Mech. Min. Sci. 2006, 43, 520–530. [Google Scholar] [CrossRef]
- Xu, G.; Sun, H.L.; Li, S.C. Research on the Ecological Scheduling Decisions of the Jinping Cascade Hydropower Station on the Yalong River. Energy Sources Part A 2014, 36, 1115–1122. [Google Scholar] [CrossRef]
- Gong, M.; Qi, S.; Liu, J. Engineering geological problems related to high geo-stresses at the Jinping I Hydropower Station, Southwest China. Bull. Eng. Geol. Environ. 2010, 69, 373–380. [Google Scholar] [CrossRef]
- Zhao, J.; Feng, X.-T.; Zhang, X.-W.; Zhang, Y.; Zhou, Y.-Y.; Yang, C.-X. Brittle-ductile transition and failure mechanism of Jinping marble under true triaxial compression. Eng. Geol. 2018, 232, 160–170. [Google Scholar] [CrossRef]
- Zhu, G.-Q.; Feng, X.-T.; Zhou, Y.-Y.; Li, Z.-W.; Yang, C.-X.; Gao, Y.-H. Experimental study to design an analog material for jinping marble with high strength, high brittleness and high unit weight and ductility. Rock Mech. Rock Eng. 2019, 52, 2279–2292. [Google Scholar] [CrossRef]
- Gautam, P.K.; Jha, M.K.; Verma, A.K.; Singh, T.N. Experimental study of thermal damage under compression and tension of Makrana marble. J. Therm. Anal. Calorim. 2020, 139, 609–627. [Google Scholar] [CrossRef]
- Zhang, Y.L.; Sun, Q.; Geng, J.S. Microstructural characterization of limestone exposed to heat with XRD, SEM and TG-DSC. Mater. Charact. 2017, 134, 285–295. [Google Scholar] [CrossRef]
- Li, M.; Mao, X.B.; Cao, L.L.; Pu, H.; Lu, A.H. Influence of Heating Rate on the Dynamic Mechanical Performance of Coal Measure Rocks. Int. J. Geomech. 2017, 17, 04017020. [Google Scholar] [CrossRef]
- Zhang, F.; Zhao, J.; Hu, D.; Skoczylas, F.; Shao, J. Laboratory Investigation on Physical and Mechanical Properties of Granite After Heating and Water-Cooling Treatment. Rock Mech. Rock Eng. 2018, 51, 677–694. [Google Scholar] [CrossRef]
- Zhang, F.; Zhang, Y.; Yu, Y.; Hu, D.; Shao, J. Influence of cooling rate on thermal degradation of physical and mechanical properties of granite. Int. J. Rock Mech. Min. Sci. 2020, 129, 104285. [Google Scholar] [CrossRef]
- Ozguven, A.; Ozcelik, Y. Effects of high temperature on physico-mechanical properties of Turkish natural building stones. Eng. Geol. 2014, 183, 127–136. [Google Scholar] [CrossRef]
- Peng, J.; Rong, G.; Cai, M.; Yao, M.-D.; Zhou, C.-B. Physical and mechanical behaviors of a thermal-damaged coarse marble under uniaxial compression. Eng. Geol. 2016, 200, 88–93. [Google Scholar] [CrossRef]
- Fairhurst, C.E.; Hudson, J.A. Draft ISRM suggested method for the complete stress–strain curve for the intact rock in uniaxial compression. Int. J. Rock Mech. Min. Sci. 1999, 36, 279–289. [Google Scholar]
- Kumari, W.G.P.; Ranjith, P.G.; Perera, M.S.A.; Chen, B.K. Experimental investigation of quenching effect on mechanical, microstructural and flow characteristics of reservoir rocks: Thermal stimulation method for geothermal energy extraction. J. Pet. Sci. Eng. 2018, 162, 419–433. [Google Scholar] [CrossRef]
- Zhang, W.; Sun, Q.; Hao, S.; Geng, J.; Lv, C. Experimental study on the variation of physical and mechanical properties of rock after high temperature treatment. Appl. Therm. Eng. 2016, 8, 1297–1304. [Google Scholar] [CrossRef]
- Zhu, T.; Jing, H.; Su, H.; Yin, Q.; Du, M.; Han, G. Physical and mechanical properties of sandstone containing a single fissure after exposure to high temperatures. Int. J. Min. Sci. Technol. 2016, 26, 319–325. [Google Scholar] [CrossRef]
- Nakao, A.; Nara, Y.; Kubo, T. P-wave propagation in dry rocks under controlled temperature and humidity. Int. J. Rock Mech. Min. Sci. 2016, 86, 157–165. [Google Scholar] [CrossRef]
- Liu, Q.; Qian, Z.; Wu, Z. Micro/macro physical and mechanical variation of red sandstone subjected to cyclic heating and cooling: An experimental study. Bull. Eng. Geol. Environ. 2017, 78, 1485–1499. [Google Scholar] [CrossRef]
- Miao, S.Q.; Li, H.P.; Chen, G. Temperature dependence of thermal diffusivity, specific heat capacity, and thermal conductivity for several types of rocks. J. Therm. Anal. Calorim. 2013, 115, 1057–1063. [Google Scholar] [CrossRef]
- Tang, F.; Wang, L.; Lu, Y.; Yang, X. Thermophysical properties of coal measure strata under high temperature. Environ. Earth Sci. 2015, 73, 6009–6018. [Google Scholar] [CrossRef]
- Kant, M.A.; Ammann, J.; Rossi, E.; Madonna, C.; Höser, D.; von Rohr, P.R. Thermal properties of Central Aare granite for temperatures up to 500 °C: Irreversible changes due to thermal crack formation. Geophys. Res. Lett. 2017, 44, 771–776. [Google Scholar] [CrossRef]
- Sun, Q.; Zhang, W.; Zhu, Y.; Huang, Z. Effect of high temperatures on the thermal properties of granite. Rock Mech. Rock Eng. 2019, 52, 2691–2699. [Google Scholar] [CrossRef]
- Su, H.; Jing, H.; Yin, Q.; Yu, L.; Wang, Y.; Wu, X. Strength and deformation behaviors of veined marble specimens after vacuum heat treatment under conventional triaxial compression. Acta Mech. Sin. 2017, 33, 886–898. [Google Scholar] [CrossRef]
- Liu, S.; Xu, J. An experimental study on the physico-mechanical properties of two post-high-temperature rocks. Eng. Geol. 2015, 185, 63–70. [Google Scholar] [CrossRef]
- Géraud, Y. Variations of connected porosity and inferred permeability in a thermally cracked granite. Geophys. Res. Lett. 1994, 21, 979–982. [Google Scholar] [CrossRef]
- De Aza, A.H.; Rodriguez, M.A.; Rodriguez, J.L.; De Aza, S.; Pena, P.; Convert, P.; Hansen, T.; Turrillas, X. Decomposition of dolomite monitored by neutron thermodiffractometry. J. Am. Ceram. Soc. 2002, 85, 881–888. [Google Scholar] [CrossRef]
- Eriksson, M. Characterization of kiln feed limestone by dynamic heating rate thermogravimetry. Int. J. Miner. Process. 2016, 147, 31–42. [Google Scholar] [CrossRef]
- Subagjo; Wulandari, W.; Adinata, P.M.; Fajrin, A. Thermal decomposition of dolomite under CO2-air atmosphere. AIP Conf. Proc. 2017, 1805, 040006. [Google Scholar]
- Yin, Q.; Wu, J.; Zhu, C.; Wang, Q.; Zhang, Q.; Jing, H.; Xie, J. The role of multiple heating and water cooling cycles on physical and mechanical responses of granite rocks. Geomech. Geophys. Geo Energy Geo Resour. 2021, 7, 1–26. [Google Scholar] [CrossRef]
- Feng, G.; Kang, Y.; Chen, F.; Liu, Y.-W.; Wang, X.-C. The influence of temperatures on mixed-mode (I + II) and mode-II fracture toughness of sandstone. Eng. Fract. Mech. 2018, 189, 51–63. [Google Scholar] [CrossRef]












Publisher’s Note: MDPI stays neutral with regard to jurisdictional claims in published maps and institutional affiliations. |
© 2022 by the authors. Licensee MDPI, Basel, Switzerland. This article is an open access article distributed under the terms and conditions of the Creative Commons Attribution (CC BY) license (https://creativecommons.org/licenses/by/4.0/).
Share and Cite
Feng, Y.; Su, H.; Nie, Y.; Zhao, H. Role of Cyclic Thermal Shocks on the Physical and Mechanical Responses of White Marble. Machines 2022, 10, 58. https://doi.org/10.3390/machines10010058
Feng Y, Su H, Nie Y, Zhao H. Role of Cyclic Thermal Shocks on the Physical and Mechanical Responses of White Marble. Machines. 2022; 10(1):58. https://doi.org/10.3390/machines10010058
Chicago/Turabian StyleFeng, Yujie, Haijian Su, Yinjiang Nie, and Honghui Zhao. 2022. "Role of Cyclic Thermal Shocks on the Physical and Mechanical Responses of White Marble" Machines 10, no. 1: 58. https://doi.org/10.3390/machines10010058
APA StyleFeng, Y., Su, H., Nie, Y., & Zhao, H. (2022). Role of Cyclic Thermal Shocks on the Physical and Mechanical Responses of White Marble. Machines, 10(1), 58. https://doi.org/10.3390/machines10010058
