Next Article in Journal
Each ζ(n), 5 ≤ n ≤ 25, Is Not a Liouville Number
Next Article in Special Issue
Analytical Approximations as Close as Desired to Special Functions
Previous Article in Journal
On Joint Progressively Censored Gumbel Type-II Distributions: (Non-) Bayesian Estimation with an Application to Physical Data
Previous Article in Special Issue
Applications of Complex Uncertain Sequences via Lacunary Almost Statistical Convergence
 
 
Font Type:
Arial Georgia Verdana
Font Size:
Aa Aa Aa
Line Spacing:
Column Width:
Background:
Article

Second-Order Implicit–Explicit Difference Scheme for Pseudoparabolic Equations with Nonlinear Flux

by
Miglena N. Koleva
1,* and
Lubin G. Vulkov
2
1
Department of Mathematics, Faculty of Natural Sciences and Education, University of Ruse “Angel Kanchev”, 8 Studentska Str., 7017 Ruse, Bulgaria
2
Department of Applied Mathematics and Statistics, Faculty of Natural Sciences and Education, University of Ruse “Angel Kanchev”, 8 Studentska Str., 7017 Ruse, Bulgaria
*
Author to whom correspondence should be addressed.
Axioms 2025, 14(7), 545; https://doi.org/10.3390/axioms14070545
Submission received: 20 June 2025 / Revised: 14 July 2025 / Accepted: 16 July 2025 / Published: 21 July 2025

Abstract

In this work we propose a new second-order implicit–explicit difference scheme for a pseudoparabolic equation with a nonlinear flux term. The proposed method is evaluated in comparison with two known numerical approaches. The significance of this study stems from its relevance to physical and mechanical models, including the Benjamin–Bona–Mahony (–Burgers) equations, which arise as specific instances of the considered equation. A stability analysis of the constructed scheme is conducted. Furthermore, the method is generalized to address a two-dimensional case. Several numerical experiments are carried out to assess the accuracy and efficiency of the proposed scheme.

1. Introduction

Pseudoparabolic equations describe many physical and biological phenomena, including multiphase flow in porous media [1], nonlinear dispersive wave propagation [2,3,4], unsteady channel flows [5], population aggregation and recovery [6], solvent uptake in polymers [7], heat conduction [8,9], etc. They are also used to analyze non-stationary processes in semiconductors with sources [2,3,10].
Various analytical and numerical approaches have been developed for solving pseudoparabolic equations, particularly in the linear case. The existence, uniqueness, regularity, and asymptotic behavior of solutions were discussed in [11]. The authors in [12] established the well-posedness of solutions and examined the qualitative properties of solutions related to turbulent heat or mass transfer. The well-posedness of two distinct pseudoparabolic models describing the same electrical conduction phenomenon in heterogeneous media was analyzed in [13].
In the classical work of [4], the following long-wave model was derived:
v t ν v x = 2 v x 2 + ε 3 v t x 2 ,
where v ( x , t ) represents the horizontal fluid velocity, 2 v x 2 ( x , t ) is the dispersive term, and 3 v t x 2 ( x , t ) is the dissipative term. For ε = 0 , Equation (1) reduces to the well-known Burgers equation [3,14].
Considering Equation (1) with the classical boundary conditions
v ( 0 , t ) = v ( 1 , t ) = 0 ,
an a priori estimate is readily obtained:
E ( t ) E ( 0 ) e c t , c = const . > 0 , E ( t ) = v x 2 2 + v 2 2 .
By the Sobolev embedding theorem, it follows that the solution v ( x , t ) remains bounded for all t [ 0 , + ) .
In [15], systems of hyperbolic and pseudo-parabolic type PDEs were studied. Well-posedness was illustrated and a numerical method, based on spectral approximation in space using Legendre polynomials, was constructed. A Crank–Nicolson scheme for linear pseudoparabolic equations with variable coefficients was analyzed in [9]. The authors of [16] studied the stability of an implicit finite difference scheme for problems with nonlocal integral conditions. An alternating-direction implicit method for the 2D version of such problems was constructed in [17], while operator splitting was applied in [18] to model incompressible two-phase flow in porous media. In [19,20], a fast convolution-based artificial boundary condition was used to develop a finite difference scheme for a linear pseudoparabolic equation.
Nonlinear pseudoparabolic equations have also been extensively studied. Analytical results and applications were reviewed in [21,22]. The existence of weak solutions for a nonlinearly coupled parabolic–pseudoparabolic system modeling mechanics, chemical reactions, diffusion, and flow within a mixture theory framework was examined in [23]. Using the energy-integral method, ref. [24] established the existence, uniqueness, and stability of strong generalized solutions with nonlocal conditions. In [25], the local existence and uniqueness of weak solutions to a Robin–Dirichlet problem were proved, along with conditions for blow-up based on the sign of the initial energy. Existence results via the Rothe method are presented in [22].
In [7], a nonlinear pseudoparabolic model for solvent uptake in polymeric solids was studied. The short-time existence and long-time behavior of solutions were analyzed. Numerical discretization of the Dirichlet problem using spectral collocation with Jacobi polynomials was developed in [1]. The Neumann problem for a nonlinear pseudoparabolic equation modeling population recovery was numerically studied in [6]. Two-grid finite element methods for nonlinear pseudoparabolic integro-differential equations were constructed in [26].
Among the most studied nonlinear models are the Benjamin–Bona–Mahony (BBM) and Benjamin–Bona–Mahony–Burgers (BBMB) equations. They describe various wave propagation phenomena, including acoustic waves in harmonic crystals, acoustic-gravity waves in fluids, hydromagnetic waves in cold plasma [2,12,21,27,28,29], and moisture transport in soils [5], among others.
Numerous studies have focused on the development and analysis of analytical and numerical methods for one- and multi-dimensional BBM and BBMB equations. Properties of the BBM problem were examined in [30], while an exact solution to the modified BBM equation was obtained using the first integral method in [29]. High-order finite difference schemes for a modified BBM equation were constructed in [31] using summation-by-parts operators with both weak and strong boundary enforcement. To avoid iterative solvers with the Thomas algorithm, two explicit asymmetric three-layer schemes were proposed in [32]—one progressing left to right, the other right to left.
The existence, uniqueness, and regularity of solutions to BBMB-type equations was established in [33], while sufficient conditions for blow-up in initial boundary-value problems were analyzed in [34].
A variety of numerical methods have been proposed for solving the BBMB model, including B-spline collocation [35], Strang splitting with quintic B-spline collocation [36], quintic Hermite collocation and weighted finite differences [37], improvised cubic B-spline collocation [38], Crank–Nicolson finite difference [39], unconditionally stable nonstandard finite differences [40], the spectral method [41], and an energy dissipation-preserving three-level scheme for the 2D BBMB equation [27]. Two-level linearized finite difference schemes using nonlinear term averaging and three-layer extrapolation discretization were developed in [42]. These methods exploit the specific nonlinearity of the equation to achieve high-order accuracy. Moreover, collocation methods typically involve the use of splines.
Nonlinear generalizations of 1D and 2D BBMB equations were studied in [43,44,45,46]. In [43,44], first-order time and second-order space accuracy schemes were developed using forward finite differences in time combined with Kansa’s method [43] and the interpolating element-free Galerkin method [44] for spatial approximation. The numerical discretizations in [45,46] rely on finite differences in time, with spatial derivatives approximated by Legendre spectral elements [45] and a hybrid of Lucas and Fibonacci polynomials [46].
In this work, we consider an initial boundary-value problem for a pseudoparabolic equation with a nonlinear flux. This is a more general equation than the BBMB equation, and the BBMB equation can be obtained as a particular case of the nonlinear flux. We developed a new second-order, two-layer implicit–explicit difference scheme for solving the problem and compared its efficiency with two known discrete schemes. We extend the idea of the Lax–Wendroff method to nonlinear pseudoparabolic equations with a general class of nonlinear fluxes—an approach that has not yet been investigated for such equations. We derive a priori energy estimates for the solution and prove stability of the numerical scheme.
The remaining part of this paper is organized as follows. In Section 2, we introduce the model boundary-value problem and present two known numerical schemes for the one-dimensional model problem. The new numerical implicit–explicit numerical scheme for the one-dimensional equation is constructed in Section 3. Stability analysis is given in Section 4. In Section 5, the numerical method is extended for two-dimensional problems. Computational results are shown in Section 6. Finally, the paper is then finalized with some conclusions.

2. Difference Schemes

Let ε > 0 , T > 0 , Ω = ( 0 , a ) , and Q T = Ω × ( 0 , T ] . We considered the following boundary-value problem governed by a pseudoparabolic equation with a nonlinear flux
u t + z ( u ) x = 2 u x 2 + ε 3 u t x 2 + f ( x , t ) , ( x , t ) Q T
subject to the initial condition
u ( x , 0 ) = φ ( x ) , x Ω
and the Dirichlet boundary conditions
u ( 0 , t ) = ψ ( t ) , u ( a , t ) = η ( t ) , t [ 0 , T ] .
To approximate Problems (4)–(6), we introduce the uniform spatial grid
ω ¯ h = { x i = i h , i = 0 , 1 , , I , h = a / I }
and the temporal grid
ω ¯ τ = { t n = n τ , n = 0 , 1 , , N , τ = T / N } .
Denote by ν i n the approximation of the function ν ( x , t ) at grid node ( x i , t n ) of the mesh ω ¯ τ × ω ¯ h .

2.1. Implicit–Explicit Difference Scheme

We approximated the differential Problem (4)–(6), using second–order central finite differences [47], by the following system of difference equations for n = 0 , 1 , , N :
u i n + 1 u i n τ + z i + 1 n z i 1 n 2 h = u i 1 n + 1 2 u i n + 1 + u i + 1 n + 1 h 2 + ε τ u i 1 n + 1 2 u i n + 1 + u i + 1 n + 1 h 2 u i 1 n 2 u i n + u i + 1 n h 2 + f i n + 1 , i = 1 , 2 , , I 1 ,
u i 0 = φ i = φ ( x i ) , i = 1 , 2 , , I 1 , u 0 n + 1 = ψ n + 1 = ψ ( t n + 1 ) u I n + 1 = η n + 1 = η ( t n + 1 )
We will refer to the resulting implicit–explicit discretization as 1D-IEDS.

2.2. Implicit Difference Scheme

To obtain the implicit difference scheme (1D-IDS), we discretized z x at the new ( n + 1 ) -th time level, and we then derived a system of nonlinear algebraic equations: (8) and
u i n + 1 u i n τ + z i + 1 n + 1 z i 1 n + 1 2 h = u i 1 n + 1 2 u i n + 1 + u i + 1 n + 1 h 2 + ε τ u i 1 n + 1 2 u i n + 1 + u i + 1 n + 1 h 2 u i 1 n 2 u i n + u i + 1 n h 2 + f i n + 1 , i = 1 , 2 , , I 1 .
To solve the nonlinear system of algebraic Equations (8) and (9), we utilized Newton’s iteration procedure. The solution u n + 1 is obtained as the limit of the iteration process at each lime layer t n + 1 , n = 0 , 1 , , N 1 . Let u ( m ) : = u ( m ) , n + 1 denote the solution at iteration number m at new time layer t n + 1 . For m = 0 , 1 , , we compute
u i ( m + 1 ) τ + z ( u i + 1 ( m ) ) u i + 1 ( m + 1 ) u i + 1 ( m ) 2 h z ( u i 1 ( m ) ) u i 1 ( m + 1 ) u i 1 ( m ) 2 h u i 1 ( m + 1 ) 2 u i ( m + 1 ) + u i + 1 ( m + 1 ) h 2 ε τ u i 1 ( m + 1 ) 2 u i ( m + 1 ) + u i + 1 ( m + 1 ) h 2 = u i n τ z i + 1 ( m ) z i 1 ( m ) 2 h ε u i 1 n 2 u i n + u i + 1 n τ h 2 + f i n + 1 , i = 1 , 2 , , I 1 ,
u i ( 0 ) = φ i , i = 1 , 2 , , I 1 , u 0 ( m + 1 ) = ψ n + 1 , u I ( m + 1 ) = η n + 1 .
If u ( m + 1 ) u ( m ) < t o l , where t o l is a given precision, then u n + 1 : = u ( m + 1 ) .
The Newton iteration procedure can be summarized as follows:
for  n = 0 to N 1  do
 Set initial guess u ( 0 ) : = u n
for  m = 0 , 1 , until convergence do
  Solve the linearized system (10) and (11) to compute u ( m + 1 )
  if  u ( m + 1 ) u ( m )   < tol  then
   Set u n + 1 : = u ( m + 1 ) and exit loop
  end if
end for
end for

3. Implicit–Explicit Second-Order Lax–Wendroff Scheme

To construct the Lax–Wendroff-type scheme (1D-LWDS), we first explain the approach for the hyperbolic equation
u t + z ( u ) x = 0 ,
which will be discretized by a half time step Lax–Friedrichs scheme (see e.g., [14,48,49]). Then, we put this value in the half-step Leapfrog scheme. Further, we combine this idea with the centered diffusion and pseudoparabolic parts. At any point ( x i , t n ) , i = 0 , 1 , , I , n = 0 , 1 , , N , we approximate (12) as follows
u i n + 1 = 1 2 u i n + u i 1 n τ 2 h z i + 1 n z i 1 n ,
which is known as the Lax–Friedrichs scheme.
Next, we organize the half time steps in the Lax–Friedrichs scheme
u i + 1 / 2 n + 1 / 2 = 1 2 u i + 1 n + u i n τ 2 h z i + 1 n z i n ,
u i 1 / 2 n + 1 / 2 = 1 2 u i n + u i 1 n τ 2 h z i n z i 1 n .
Further, to construct the Leapfrog scheme, we discretize both the time derivative u t and spatial derivative of z by the following difference formula:
u i n + 1 = u i n τ h z i + 1 n z i n .
Hence, the half time step Leapfrog scheme of (16) is
u i n + 1 = u i n τ h z i + 1 / 2 n + 1 / 2 z i 1 / 2 n + 1 / 2 .
In the same manner, we proceed with Equation (4). Taking into account that, from the Taylor expansion, for bounded 3 u t x 2 , ( x , t ) Q T , we have
u ( x , t + τ ) = u ( x , t ) + τ u ( x , t ) t + τ 2 2 2 u ( x , t ) t 2 = u ( x , t ) + τ z u ( x , t ) x + 2 u ( x , t ) x 2 + ε 3 u ( x , t ) t x 2 + f ( x , t ) + O ( τ 2 ) = u ( x , t ) + τ z u ( x , t ) x + 2 u ( x , t ) x 2 + f ( x , t ) + O ( τ ) ,
and consider the half time step in the Lax–Friedrichs scheme for (4)
u i + 1 / 2 n + 1 / 2 = 1 2 u i + 1 n + u i n τ 2 h z i + 1 n z i n + τ 2 D x + u i + τ 2 f i + 1 / 2 n , i = 1 , 2 , , I 1 ,
u i 1 / 2 n + 1 / 2 = 1 2 u i n + u i 1 n τ 2 h z i n z i 1 n + τ 2 D x u i + τ 2 f i 1 / 2 n , i = 1 , 2 , , I 1 ,
where
D x + u i = u i + 1 n 2 u i n + u i 1 n 2 h 2 + u i + 2 n 2 u i + 1 n + u i n 2 h 2 , i = 1 , 2 , , I 2 , u I n 2 u I 1 n + u I 2 n h 2 , i = I 1 ,
D x u i = u 2 n 2 u 1 n + u 0 n h 2 , i = 1 , u i + 1 n 2 u i n + u i 1 n 2 h 2 + u i n 2 u i 1 n + u i 2 n 2 h 2 , i = 2 , 3 , , I 1 ,
and f i ± 1 / 2 n = f ( x i ± 1 / 2 , t n ) , x i ± 1 / 2 = x i ± h / 2 ,
Then, finally, we approximate (4) by the following difference equations:
u i n + 1 u i n τ + z i + 1 / 2 n + 1 / 2 z i 1 / 2 n + 1 / 2 h = u i 1 n + 1 2 u i n + 1 + u i + 1 n + 1 h 2 + ε τ u i 1 n + 1 2 u i n + 1 + u i + 1 n + 1 h 2 u i 1 n 2 u i n + u i + 1 n h 2 + f i n + 1 , i = 1 , 2 , , I 1 ,
where
z i ± 1 / 2 n + 1 / 2 = z u i ± 1 / 2 n + 1 / 2
and u i ± 1 / 2 n + 1 / 2 are defined by (18) and (19). The numerical scheme is then completed by (8).
Note that, although D x + u i and D x u i involves a four-point stencil, the solution values are computed at the old time layer t n and the coefficient matrix of the discrete scheme (8), and (20) remains tridiagonal.

4. Stability of the Difference Scheme

The Lax–Wendroff scheme involves an explicit finite difference technique (18) and (19) that requires adherence to the Courant–Friedrichs–Lewy (CFL) condition at each grid point to ensure stability. Therefore, the CFL condition of the 1D-LFDS is similar to the CFL stability condition of explicit schemes when solving parabolic equations. For example, considering (18) and using the mean value theorem, we have
u i + 1 / 2 n + 1 / 2 = τ 4 h 2 u i 1 n + 1 2 + τ 2 h z ( ξ i n ) τ 4 h 2 u i n + 1 2 τ 2 h z ( ξ i n ) τ 4 h 2 u i + 1 n + τ 4 h 2 u i + 2 n + τ 2 f i + 1 / 2 n , i = 1 , 2 , , I 2 , u I 1 / 2 n + 1 / 2 = τ 2 h 2 u I 2 n + 1 2 + τ 2 h z ( ξ I 1 n ) τ h 2 u I 1 n + 1 2 τ 2 h z ( ξ I 1 n ) + τ 2 h 2 u I n + τ 2 f I 1 / 2 n , i = I 1 ,
where min { u i n , u i + 1 n } < ξ i n < max { u i n , u i + 1 n } .
Let z ( u ) C 1 and f n C 2 , where C 1 and C 2 are constants. Then, if
τ 2 h 2 1 + 2 z ( u n ) h ,
where u n = max 0 i I | u i n | , we estimate
u n + 1 / 2 u n + τ 2 f n .
From (18) and (19), in view of (22), and from the mean value theorem, we obtain
u i + 1 / 2 n + 1 / 2 u i 1 / 2 n + 1 / 2 = u i + 1 n u i 1 n 2 τ 2 h z ( ξ i n ) ( u i + 1 n u i n ) + τ 2 h z ( ξ i 1 n ) ( u i n u i 1 n ) + τ 2 f i + 1 / 2 n f i 1 / 2 n + τ 4 h 2 u 0 n + 3 u 1 n 3 u 2 n + u 3 n , i = 1 , 2 u i + 1 n + 2 u i 1 n + u i + 2 n u i 2 n , i = 2 , 3 , , I 2 , u I n 3 u I 1 n + 3 u I 2 n u I 3 n , i = I 1 .
Taking into account (24), the difference Equation (20) becomes
1 τ + 2 h 2 1 + ε τ u i n + 1 1 h 2 1 + ε τ u i 1 n + 1 1 h 2 1 + ε τ u i + 1 n + 1 = 1 τ + 2 ε τ h 2 u i n ε τ h 2 u i 1 n ε τ h 2 u i + 1 n z ξ i + 1 / 2 n + 1 / 2 h 1 2 τ 2 h z ( ξ i n ) τ 2 h 2 u i + 1 n + τ 2 h z ( ξ i n + z ( ξ i 1 n ) u i n 1 2 + τ 2 h z ( ξ i 1 n ) τ 2 h 2 u i 1 n + τ 4 h 2 ( u i + 2 n u i 2 n ) + f i n + 1 τ z ξ i + 1 / 2 n + 1 / 2 4 f i n , i = 2 , , I 2 ,
where min { u i n + 1 / 2 , u i + 1 n + 1 / 2 } < ξ i + 1 / 2 n + 1 / 2 < max { u i n + 1 / 2 , u i + 1 n + 1 / 2 } and f i n : = f x ( x i , t n ) is bounded in Q T .
Similarly, for i = 1 and i = I 1 , we get
1 τ + 2 h 2 1 + ε τ u 1 n + 1 1 h 2 1 + ε τ u 0 n + 1 1 h 2 1 + ε τ u 2 n + 1 = 1 τ + 2 ε τ h 2 u 1 n ε τ h 2 u 0 n ε τ h 2 u 2 n z ξ 3 / 2 n + 1 / 2 h 1 2 τ 2 h z ( ξ 1 n ) 3 τ 4 h 2 u 2 n + τ 2 h z ( ξ 1 n ) + z ( ξ 0 n ) + 3 2 h u 1 n 1 2 + τ 2 h z ( ξ 0 n ) + τ 2 h 2 + τ 4 h 2 u 0 n + τ 4 h 2 u 3 n + f 1 n + 1 τ z ξ 3 / 2 n + 1 / 2 4 f 1 n
and
1 τ + 2 h 2 1 + ε τ u I 1 n + 1 1 h 2 1 + ε τ u I 2 n + 1 1 h 2 1 + ε τ u I n + 1 = 1 τ + 2 ε τ h 2 u I 1 n ε τ h 2 u i 1 n ε τ h 2 u I n z ξ I 1 / 2 n + 1 / 2 h 1 2 τ 2 h z ( ξ I 1 n ) + τ 4 h 2 u I n + τ 2 h z ( ξ i n ) + z ( ξ I 2 n ) 3 2 h u I 1 n 1 2 + τ 2 h z ( ξ I 2 n ) + 3 τ 4 h 2 u I 2 n τ 4 h 2 u I 3 n + f I 1 n + 1 τ z ξ I 1 / 2 n + 1 / 2 4 f I 1 n .
Let τ 2 h 2 z ξ i + 1 / 2 n + 1 / 2 z ξ i n = c i , τ 4 h 2 z ξ i + 1 / 2 n + 1 / 2 = c ˜ i , where c i , c ˜ i , i = 1 , 2 , , I 1 are constants in view of (22). Multiplying (25) by τ , we get
1 + 2 h 2 τ + ε u i n + 1 1 h 2 τ + ε u i 1 n + 1 1 h 2 τ + ε u i + 1 n + 1 = 1 + 2 ε h 2 u i n ε h 2 τ z ξ i + 1 / 2 n + 1 / 2 2 h + 2 τ h c ˜ i u i 1 n ε h 2 + τ z ξ i + 1 / 2 n + 1 / 2 2 h 2 τ h c ˜ i u i + 1 n τ h c ˜ i ( u i + 2 n u i 2 n ) + τ c i ( u i + 1 n u i n ) τ c i 1 ( u i n u i 1 n ) τ 2 z ξ i + 1 / 2 n + 1 / 2 4 f i n + τ f i n + 1 , i = 2 , 3 , , I 2 .
Similarly, for i = 1 and i = I 1 , we derive
1 + 2 h 2 τ + ε u 1 n + 1 1 h 2 τ + ε u 0 n + 1 1 h 2 τ + ε u 2 n + 1 = 1 + 2 ε h 2 3 τ h c ˜ 1 u 1 n ε h 2 τ z ξ 3 / 2 n + 1 / 2 2 h τ h c ˜ 1 u 0 n ε h 2 + τ z ξ 3 / 2 n + 1 / 2 2 h 3 τ h c ˜ 1 u 2 n τ h c ˜ 1 u 3 n + τ c i ( u 2 n u 1 n ) τ c i 1 ( u 1 n u 0 n ) τ 2 z ξ 3 / 2 n + 1 / 2 4 f 1 n + τ f 1 n + 1
and
1 + 2 h 2 τ + ε u I 1 n + 1 1 h 2 τ + ε u I 2 n + 1 1 h 2 τ + ε u I n + 1 = 1 + 2 ε h 2 + 3 τ 2 z ξ I 1 / 2 n + 1 / 2 4 h 3 u I 1 n ε h 2 τ z ξ I 1 / 2 n + 1 / 2 2 h + 3 τ h c ˜ I 1 u I 2 n ε h 2 + τ z ξ I 1 / 2 n + 1 / 2 2 h + τ h c ˜ I 1 u I n + τ h c ˜ I 1 u I 3 n + τ c i ( u i + 1 n u i n ) τ c i 1 ( u I 1 n u I 2 n ) τ 2 z ξ I 1 / 2 n + 1 / 2 4 f I 1 n + τ f I 1 n + 1 .
Further, we will obtain an a priori energy estimate. For simplicity, we considered ψ n = η n = 0 , n = 1 , 2 , , N . Now, let us introduce the notations
δ x v i = v i + 1 v i 1 2 h , δ x 2 v i = v i + 1 2 v i + v i 1 h 2
and define the discrete inner product, L 2 -norm, and gradient norm as follows:
( v , w ) h = h i = 1 I 1 v i w i , v h 2 = ( v , v ) h , δ x v h 2 = h i = 1 I 1 ( δ x v i ) 2 .
We rewrite Schemes (28)–(30) in the form
A u n + 1 = B u n + P u n + Q u n + F ,
where A corresponds to the left-hand side of the following scheme:
( A u n + 1 ) i = 1 + 2 h 2 ( τ + ε ) u i n + 1 1 h 2 ( τ + ε ) u i 1 n + 1 + u i + 1 n + 1 , i = 1 , , I 1 .
The operator B acts on u n and corresponds to the symmetric linear part at time level n:
( B u n ) i = 1 + 2 ε h 2 u i n ε h 2 u i 1 n + u i + 1 n , i = 1 , , I 1 .
We define the discrete operator P u n representing the nonlinear terms involving z ( · ) . For i = 1 , 2 , , I 1 , it reads as follows:
( P u n ) i = τ h 2 c ˜ i z ξ i + 1 / 2 n + 1 / 2 2 u i + 1 n u i 1 n τ h c ˜ i u i + 2 n u i 2 n , i = 2 , , I 2 , ( P u n ) 1 = 3 τ h c ˜ 1 u 2 n u 1 n τ h c ˜ 1 u 3 n u 0 n τ z ξ 3 / 2 n + 1 / 2 2 h ( u 2 n u 0 n ) , ( P u n ) I 1 = 3 τ h c ˜ I 1 u I 1 n u I 2 n τ h c ˜ I 1 u I n u I 3 n τ z ξ I 1 / 2 n + 1 / 2 2 h ( u I n u I 2 n ) .
The operator Q u n is defined as follows
( Q u n ) i = τ c i ( u i + 1 n u i n ) τ c i 1 ( u i n u i 1 n ) , i = 1 , 2 , , I 1 .
The operator F includes contributions from both f and its first derivative:
( F ) i = τ f i n + 1 τ 2 z ξ i + 1 / 2 n + 1 / 2 4 ( f ) i n , i = 1 , 2 , , I 1 .
Next, we take the inner product with u n + 1 to obtain
( A u n + 1 , u n + 1 ) h = ( B u n , u n + 1 ) h + ( P u n , u n + 1 ) h + ( Q u n , u n + 1 ) h + ( F n , u n + 1 ) h .
Further, we consequently estimate each term in (31).
Regarding the coercivity of A, the structure of A is taking into account:
A u i n + 1 = u i n + 1 ( τ + ε ) δ x 2 u i n + 1 ,
and using the discrete summation by parts
( δ x 2 u n + 1 , u n + 1 ) h = ( δ x u n + 1 , δ x u n + 1 ) h = δ x u n + 1 h 2
we obtain
| ( A u n + 1 , u n + 1 ) | h = u n + 1 h 2 ( τ + ε ) ( δ x 2 u n + 1 , u n + 1 ) h = u n + 1 h 2 + ( τ + ε ) δ x u n + 1 h 2 .
Regarding the estimate of ( B u n , u n + 1 ) h , we considered the term ( B u n ) i in the form
( B u n ) i = ε δ x 2 u i n + u i n ,
and we computed the discrete scalar product with u n + 1 using the L 2 -inner product ( · , · ) h
( B u n , u n + 1 ) h = ε ( δ x 2 u n , u n + 1 ) h + ( u n , u n + 1 ) h .
Thus, using the discrete summation by parts, we derive
( B u n , u n + 1 ) h = ε ( δ x u n , δ x u n + 1 ) h + ( u n , u n + 1 ) h .
Applying, consequently, the Cauchy–Schwarz inequality and then Young’s inequality to both terms in the right-hand side of (32), we obtain
| ( B u n , u n + 1 ) h | ε δ x u n h δ x u n + 1 h + u n h u n + 1 h ε 2 δ x u n + 1 h 2 + ε 2 δ x u n h 2 + 1 2 ϵ u n h 2 + ϵ 2 u n + 1 h 2 , ϵ > 0 .
Regarding the estimate of ( P u n , u n + 1 ) h , let C be a generic constant, independent of τ and h. Summation is conducted by parts and using Cauchy–Schwarz and Young’s inequalities leads to
| ( P u n , u n + 1 ) h | C τ | ( δ x u n , u n + 1 ) h | C τ | ( u n , δ x u n + 1 ) h | C τ 2 ϵ u n h 2 + τ ϵ 2 δ x u n + 1 h 2 .
The estimation of ( Q u n , u n + 1 ) h involves summation by parts, and it is followed by the Cauchy–Schwarz inequality and then Young’s inequality. As a result, we obtain
| ( Q u n , u n + 1 ) h | τ C | ( u n , u n + 1 ) h | τ C u n h u n + 1 h ϵ τ 2 u n + 1 h 2 + C τ 2 ϵ u n h 2 .
What remains is estimating ( F , u n + 1 ) h . Using boundedness of f and f , we get
| ( F , u n + 1 ) h | ϵ 2 u n + 1 h 2 + C τ 2 ϵ f n + 1 + τ ( f ) n h 2 ϵ τ 2 u n + 1 h 2 + C τ 2 ϵ ( f n + 1 h 2 + τ ( f ) n h 2 ) .
Further, we collect all terms to derive
1 ϵ 2 τ ϵ u n + 1 h 2 + ε 2 + τ 1 ϵ 2 δ x u n + 1 h 2 ε 2 δ x u n h 2 + 1 2 ϵ + C τ ϵ u n h 2 + C τ 2 ϵ f n + 1 h 2 + τ ( f ) n h 2 ,
or, equivalently,
1 ϵ 2 τ ϵ u n + 1 h 2 + ε 2 + τ 1 ϵ 2 δ x u n + 1 h 2 ε 2 δ x u n h 2 + 1 2 ϵ τ ϵ + τ ϵ + C τ ϵ u n h 2 + C τ 2 ϵ f n + 1 h 2 + τ ( f ) n h 2 .
Taking ϵ = 1 and noting that C is a generic constant, we get
1 2 τ u n + 1 h 2 + ε + τ 2 δ x u n + 1 h 2 ε 2 δ x u n h 2 + 1 2 τ + C τ u n h 2 + C τ f n + 1 h 2 + τ ( f ) n h 2 .
Let us define
E n : = 1 2 τ u n h 2 + ε + τ 2 δ x u n h 2 .
From (33), we derive
E n + 1 E n + C τ 1 2 τ 1 2 τ u n h 2 + C τ ε + τ ε + τ δ x u n h 2 + C τ f n + 1 h 2 + τ ( f ) n h 2 ( 1 + C τ ) E n + C τ f n + 1 h 2 + τ ( f ) n h 2 .
The sum of both sides of (34) over n = 1 , 2 , , m , m < N leads to
n = 1 m E n + 1 ( 1 + C τ ) n = 1 m E n + C τ n = 0 m ( f n + 1 h 2 + τ ( f ) n h 2 )
or
n = 1 m + 1 E n ( 1 + C τ ) n = 1 m + 1 E n 1 + C τ n = 1 m + 1 f n h 2 + τ ( f ) n 1 h 2 .
Further, we then applied the discrete Grönwall lemma. From Inequality (35), we have
E n E 0 + C τ k = 1 n f k h 2 + τ ( f ) k 1 h 2 e C n τ .
Finally, using the definition of E n , we obtain an a priori estimate
1 2 τ u n h 2 + ε + τ 2 δ x u n h 2 1 2 τ u 0 h 2 + ε + τ 2 δ x u 0 h 2 + C τ k = 1 n f k h 2 + τ ( f ) k 1 h 2 e C T .
This gives a uniform bound on the energy and discrete gradient of the numerical solution, which proves the stability of the numerical scheme.
We proved the following statement.
Theorem 1.
Suppose that the restriction (22) holds and that 3 u t x 2 , z ( u ) , f ( x , t ) , f x , and u 0 are bounded functions for ( x , t ) Q T . Then, there exists a constant C > 0 independent of h and τ, such that the a priori estimate (36) holds.

5. Numerical Solution of the Two-Dimensional Model Equation

We considered 2D analogs of Problems (4)–(6), which are defined in the rectangular spatial domain Ω = ( 0 , a ) × ( 0 , b ) as
u t + z ( u ) x = u + ε u t + f ( x , y , t ) , ( x , y , t ) Q T = Ω × ( 0 , T ] ,
where u : = 2 u x 2 + 2 u y 2 with initial condition
u ( x , y , 0 ) = φ ( x , y ) , x Ω
and the Dirichlet boundary conditions
u ( 0 , y , t ) = ψ 1 ( y , t ) , u ( a , y , t ) = ψ 2 ( y , t ) , y [ 0 , b ] , t [ 0 , T ] , u ( x , 0 , t ) = η 1 ( x , t ) , u ( x , b , t ) = η 2 ( x , t ) , x [ 0 , a ] , t [ 0 , T ] .
We assumed that the compatibility conditions hold
ψ 1 ( 0 , t ) = η 1 ( 0 , t ) , ψ 2 ( 0 , t ) = η 1 ( a , t ) , t [ 0 , T ] , ψ 2 ( b , t ) = η 2 ( a , t ) , ψ 1 ( b , t ) = η 2 ( 0 , t ) , t [ 0 , T ] , ψ 1 ( 0 , 0 ) = ϕ ( 0 , 0 ) , ψ 2 ( 0 , 0 ) = ϕ ( a , 0 ) , ψ 2 ( b , 0 ) = ϕ ( a , b ) , ψ 1 ( b , 0 ) = ϕ ( 0 , b ) .
In addition to ω ¯ h and ω ¯ τ , we defined the mesh in a y-direction:
ω ¯ k = { y j = j k , j = 0 , 1 , , J , k = b / J } ,
and we denote, by ν i , j n , the approximation of the function ν ( x , y , t ) at grid node ( x i , y j , t n ) of the mesh ω ¯ τ × ω ¯ h × ω ¯ k .

5.1. Implicit–Explicit Difference Schemes for the 2D Problem

By analogy with the 1D case, we constructed implicit–explicit approximations for the differential Problems (37)–(39):
  • 2D-IEDS:
    u i , j n + 1 u i , j n τ + z i + 1 , j n z i 1 , j n 2 h = u i 1 , j n + 1 2 u i , j n + 1 + u i + 1 , j n + 1 h 2 + u i , j 1 n + 1 2 u i , j n + 1 + u i , j + 1 n + 1 k 2 + ε τ u i 1 , j n + 1 2 u i , j n + 1 + u i + 1 , j n + 1 h 2 u i 1 , j n 2 u i , j n + u i + 1 , j n h 2 + ε τ u i , j 1 n + 1 2 u i , j n + 1 + u i , j + 1 n + 1 k 2 u i , j 1 n 2 u i , j n + u i , j + 1 n k 2 + f i , j n + 1 , i = 1 , 2 , , I 1 , j = 1 , 2 , , J 1 ,
    u i , j 0 = φ i , j = φ ( x i , y j ) , i = 1 , 2 , , I 1 , j = 1 , 2 , , J 1 , u 0 , j n + 1 = ( ψ 1 ) j n + 1 = ψ 1 ( y j , t n + 1 ) , j = 0 , 1 , , J , u I , j n + 1 = ( ψ 2 ) j n + 1 = ψ 2 ( y j , t n + 1 ) , j = 0 , 1 , , J , u i , 0 n + 1 = ( η 1 ) i n + 1 = η 1 ( x i , t n + 1 ) , i = 0 , 1 , , I , u i , J n + 1 = ( η 1 ) i n + 1 = η 1 ( x i , t n + 1 ) , i = 0 , 1 , , I .

5.2. Implicit Difference Schemes for the 2D Problem

Now, we present implicit approximations of the differential Problems (37)–(39) and the corresponding realization by Newton’s method.
  • 2D-IDS:
    u i , j n + 1 u i , j n τ + z i + 1 , j n + 1 z i 1 , j n + 1 2 h = u i 1 , j n + 1 2 u i , j n + 1 + u i + 1 , j n + 1 h 2 + u i , j 1 n + 1 2 u i , j n + 1 + u i , j + 1 n + 1 k 2 + ε τ u i 1 , j n + 1 2 u i , j n + 1 + u i + 1 , j n + 1 h 2 u i 1 , j n 2 u i , j n + u i + 1 , j n h 2 + ε τ u i , j 1 n + 1 2 u i , j n + 1 + u i , j + 1 n + 1 k 2 u i , j 1 n 2 u i , j n + u i , j + 1 n k 2 = f i , j n + 1 , i = 1 , 2 , , I 1 , j = 1 , 2 , , J 1 ,
    applies together with the initial and boundary Condition (41).
Thus, the Newton’s iteration process becomes m = 0 , 1 , . At each time layer, we solve the linearized system
u i , j ( m + 1 ) τ + z ( u i + 1 , j n ) u i + 1 , j ( m + 1 ) u i + 1 , j ( m ) 2 h z ( u i 1 , j n ) u i 1 , j ( m + 1 ) u i 1 , j ( m ) 2 h u i 1 , j ( m + 1 ) 2 u i , j ( m + 1 ) + u i + 1 , j ( m + 1 ) h 2 u i , j 1 ( m + 1 ) 2 u i , j ( m + 1 ) + u i , j + 1 ( m + 1 ) k 2 ε τ u i 1 , j ( m + 1 ) 2 u i , j ( m + 1 ) + u i + 1 , j ( m + 1 ) h 2 + u i , j 1 ( m + 1 ) 2 u i , j ( m + 1 ) + u i , j + 1 ( m + 1 ) k 2 = ε τ u i 1 , j n 2 u i , j n + u i + 1 , j n h 2 + u i , j 1 n 2 u i , j n + u i , j + 1 n k 2 + u i , j ( m ) τ f i , j n + 1 z i + 1 , j ( m ) z i 1 , j ( m ) 2 h , i = 1 , 2 , , I 1 , j = 1 , 2 , , J 1 ,
u i , j ( 0 ) = φ i , j , i = 1 , 2 , , I 1 , j = 1 , 2 , , J 1 , u 0 , j ( m + 1 ) = ( ψ 1 ) j n + 1 , u I , j ( m + 1 ) = ( ψ 2 ) j n + 1 , j = 0 , 1 , , J , u i , 0 ( m + 1 ) = ( η 1 ) i n + 1 , u i , J ( m + 1 ) = ( η 1 ) i n + 1 , i = 0 , 1 , , I .

5.3. Implicit–Explicit Second-Order Lax–Wendroff Scheme for the 2D Problem

We constructed the Lax–Wendroff scheme (2D-LWDS) for Problem (37)–(39). Equation (37) is approximated by
u i , j n + 1 u i , j n τ + z i + 1 / 2 , j n + 1 / 2 z i 1 / 2 , j n + 1 / 2 h = u i 1 , j n + 1 2 u i , j n + 1 + u i + 1 , j n + 1 h 2 + u i , j 1 n + 1 2 u i , j n + 1 + u i , j + 1 n + 1 k 2 + ε τ u i 1 , j n + 1 2 u i , j n + 1 + u i + 1 , j n + 1 h 2 u i 1 , j n 2 u i , j n + u i + 1 , j n h 2 + ε τ u i , j 1 n + 1 2 u i , j n + 1 + u i , j + 1 n + 1 k 2 u i , j 1 n 2 u i , j n + u i , j + 1 n k 2 = f i , j n + 1 , i = 1 , 2 , , I 1 , j = 1 , 2 , , J 1 ,
where
z i ± 1 / 2 , j n + 1 / 2 = z u i ± 1 / 2 , j n + 1 / 2 ,
u i ± 1 / 2 , j n + 1 / 2 = 1 2 u i ± 1 , j n + u i , j n τ 2 h z i ± 1 , j n z i , j n + τ 2 D x ± u i , j + D y ± u i , j + f i ± 1 / 2 , j n
and, for j = 1 , 2 , , J 1 , we have
D x + u i , j = u i + 1 , j n 2 u i n + u i 1 , j n 2 h 2 + u i + 2 , j n 2 u i + 1 , j n + u i , j n 2 h 2 , i = 1 , 2 , , I 2 , u I , j n 2 u I 1 , j n + u I 2 , j n h 2 , i = I 1 ,
D x u i , j = u 2 , j n 2 u 1 , j n + u 1 , j n h 2 , i = 1 , u i + 1 , j n 2 u i , j n + u i 1 , j n 2 h 2 + u i , j n 2 u i 1 , j n + u i 2 , j n 2 h 2 , i = 2 , 3 , , I 1 ,
D y ± u i , j = u i , j + 1 n 2 u i , j n + u i , j 1 n 2 h 2 + u i ± 1 , j + 1 n 2 u i ± 1 , j n + u i ± 1 , j 1 n 2 h 2 , i = 1 , 2 , , I 1 .
The numerical Scheme (45) is completed by (41).

6. Numerical Simulations

In this section, we compare the efficiency of the proposed numerical schemes for solving 1D and 2D nonlinear pseudoparabolic Problems (4)–(6) and (37)–(39), respectively. We set a = 1 , b = 1 , and T = 1 , and we considered two test problems (TPs):
TP 1 : ε = 1 2 , z ( u ) = u 3 , TP 2 : ε = 5 , z ( u ) = u 2 2 u .
For the stopping criteria of the Newton iteration process, we set t o l = 10 6 . The average number of iterations of Newton’s process for solving 1D-IDS and 2D-IDS is denoted by m a v .
Example 1 (1D problem).
We dealt with the exact solution. The source function f ( x , t ) —as well as the initial and boundary functions φ ( x ) , ψ ( t ) , and η ( t ) —were chosen such that u ( x , t ) = e t / 2 sin ( π x ) is the exact solution of Problem (4)–(6). Then, the errors and orders of convergence in the maximum and L 2 norms are given by
E i n = u i n u ( x i , t n ) , E = E I = max 1 n N max 0 i I | E i n | , E 2 = E 2 I = h τ i = 0 I n = 1 N ( E i n ) 2 , C R = log 2 E I E 2 I , C R 2 = log 2 E 2 I E 2 2 I .
Numerical tests were performed for a fixed ratio of τ = h 2 .
First, we will consider TP1. In Table 1, we give the results obtained from computations with 1D-LWDS.
Further, we will modify D x + u I 1 and D x u 1 as follows:
D x + u I 1 = η n 2 u I 1 n + u I 2 n 2 h 2 + 2 η n 5 u I 1 n + 4 u I 2 n u I 3 n 2 h 3 , D x u 1 = u 2 n 2 u 1 n + ψ n 2 h 2 + ψ n 5 u 1 n + 4 u 2 n u 3 n 2 h 3 .
This improves the precision, especially for coarse meshes.
In Table 2, Table 3 and Table 4, we present computational results for all three schemes: 1D-IEDS, 1D-IDS, and 1D-LWDS. We observe that the order of convergence of all the methods is O ( τ + h 2 ) , but 1D-LWDS provides better precision.
In Figure 1, we compare the errors in the maximal and L 2 norms versus the CPU time for all three schemes. The robustness of 1D-LWDS in contrast to 1D-IEDS and 1D-IDS is illustrated.
Note that 1D-IDS requires the building and inversion of the coefficient matrix at each time layer. Moreover, the iteration process is involved. In contrast, the coefficient matrix for both 1D-IEDS and 1D-LWDS is one and the same at each time level, and matrix inversion is necessary only once. In 1D-IEDS, the nonlinear part of the problem is computed explicitly, which leads to a loss of precision, but the performance is much faster in contrast to 1D-IDS. In 1D-LWDS, the nonlinear term is computed at a new time level but implemented in an explicit manner. Thus, the averaging technique of the Lax–Wendroff method, applied for construction of 1D-LWDS, leads to better precision and fast performance. Moreover, the computational process is more efficient than for 1D-IEDS.
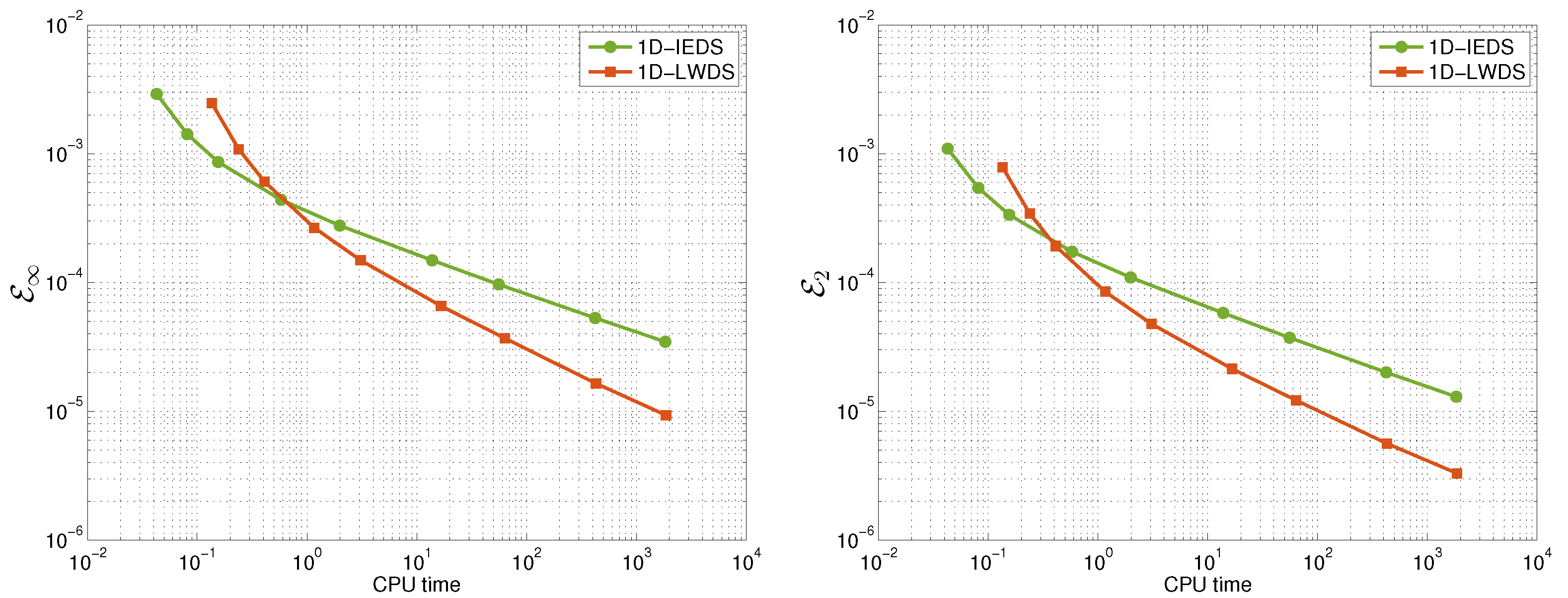
In Figure 2, we present the errors versus CPU time of 1D-IEDS and 1D-LWDS for TP2. For this test example, 1D-IDS fails as it uses the derivative of z ( u ) at points x = 0 and x = a , so division by zero is involved.
Example 2 (2D problem).
As before, we considered a test example with an exact solution. The right-hand side function, as well as the initial and boundary functions were chosen such that u ( x , y , t ) = e t / 2 ( sin ( π x ) + cos ( π y / 2 ) ) is the exact solution of Problems (37)–(39) (TP1). The errors and orders of convergence in the maximum and L 2 norms were computed as follows:
E i , j n = u i , j n u ( x i , y j , t n ) , E = E I , J = max 1 n N max 0 i I max 0 j J | E i , j n | , E 2 = E 2 I , J = h k τ i = 0 I n = 0 J n = 1 N ( E i , j n ) 2 , C R = log 2 E I , J E 2 I , 2 J , C R 2 = log 2 E 2 I , J E 2 2 I , 2 J .
Further, all computations were performed for I = J , τ = h 2 = k 2 . As in Example 1, we modified D x + u I 1 , j and D x u 1 , j :
D x + u I 1 , j = ( ψ 2 ) j n 2 u I 1 , j n + u I 2 , j n 2 h 2 + 2 ( ψ 2 ) j n 5 u I 1 , j n + 4 u I 2 , j n u I 3 , j n 2 h 3 , D x u 1 , j = u 2 , j n 2 u 1 , j n + ( ψ 1 ) j n 2 h 2 + ( ψ 1 ) j n 5 u 1 , j n + 4 u 2 , j n u 3 , j n 2 h 3 .
In Table 5, Table 6 and Table 7, we give computational results of 2D-IEDS, 2D-IDS, and 2D-LWDS. The order of convergence of all three schemes is O ( τ + h 2 ) . The precision of 2D-LWDS is higher in comparison to 2D-IEDS and 2D-IDS.
In Figure 3, we evaluate the efficiency of 2D-IEDS, 2D-IDS, and 2D-LWDS. Clearly, 2D-LWDS achieves higher precision with shorter computational time compared to both 2D-IEDS and 2D-IDS.
The stability of the proposed approach is ensured by Condition (22). In practice, however, this restriction tends to be somewhat relaxed. For instance, in the present example, the method remains stable for τ = 3 h 2 .

7. Conclusions

We considered three numerical methods for solving 1D and 2D nonlinear pseudoparabolic problems—implicit scheme (1D-IDS and 2D-IDS), implicit–explicit schemes (1D-EIDS and 2D-IEDS), and Lax–Wendroff-type discretizations (1D-LWDS and 2D-LWDS). All these methods are first-order accurate in time and second-order in space, both in the maximal and L 2 norms.
In the stability region, 1D-LWDS and 2D-LWDS are more efficient compared to the 1D-IDS, 2D-IDS, and 1D-EIDS, 2D-IEDS methods, respectively. The disadvantage of the Lax–Wendroff type schemes is that their stability condition is similar to that of explicit schemes when solving parabolic equations.
In this paper, we demonstrated that the Lax–Wendroff method can be effectively applied for the numerical solution of pseudoparabolic equations with a nonlinear flux. The method proposed in our work is both iteration-free and applicable to a general class of nonlinear fluxes. If higher-order spatial approximation methods are employed to derive the underlying difference equations in our Lax–Wendroff scheme, the order of convergence in space for the resulting Lax–Wendroff discretization would increase. Moreover, in such cases, using a O ( τ 2 ) truncation of the solution at half time layers, which is a base of the explicit flux approximation, would also enhance the temporal convergence order. The development and analysis of a high-order Lax–Wendroff scheme for solving nonlinear pseudoparabolic equations will be the focus of our future research.
Overall, this research contributes to advancing numerical techniques that can be extended to solve time-fractional pseudoparabolic equations with a nonlinear flux.

Author Contributions

Conceptualization, M.N.K. and L.G.V.; methodology, M.N.K. and L.G.V.; investigation, M.N.K. and L.G.V.; resources, M.N.K. and L.G.V.; writing—original draft preparation, M.N.K. and L.G.V.; writing—review and editing, L.G.V.; visualization, M.N.K. All authors have read and agreed to the published version of the manuscript.

Funding

This study is financed by the European Union-NextGenerationEU through the National Recovery and Resilience Plan of the Republic of Bulgaria, project number BG-RRP-2.013-0001.

Institutional Review Board Statement

Not applicable.

Informed Consent Statement

Not applicable.

Data Availability Statement

The original contributions presented in this study are included in the article. Further inquiries can be directed to the corresponding author.

Acknowledgments

The authors are very grateful to the anonymous reviewers, whose valuable comments and suggestions improved the quality of this paper.

Conflicts of Interest

The authors declare no conflicts of interest.

References

  1. Abreu, E.; Durán, A. Spectral discretizations analysis with time strong stability preserving properties for pseudo-parabolic models. Comput. Math. Appl. 2021, 102, 15–44. [Google Scholar] [CrossRef]
  2. Benjamin, T.B.; Bona, J.L.; Mahony, J.J. Model equations for long waves in nonlinear dispersive systems. Philas Trans R. Soc. London Ser. A Math. Phys. Sci. 1972, 272, 47–78. [Google Scholar]
  3. Burger, J.M. A mathematical model illustrating the theory of turbulence. Adv. Appl. Mech. 1984, 171–199. [Google Scholar]
  4. Bona, J. On solitary waves and their role in the evolution of long waves. Appl. Nonlinear Anal. Phys. Sci. 1981, 183–205. [Google Scholar]
  5. Ting, T.W. Certain non-steady flows of second-order fluids. Arch. Ration. Mech. Anal. 1963, 14, 1–26. [Google Scholar] [CrossRef]
  6. Padron, V. Effect of aggregation on population recovery modelled by a forward-backward pseudoparabolic equation. Trans. Amer. Math. Soc. 2004, 356, 2739–2756. [Google Scholar] [CrossRef]
  7. Düll, W.P. Some qualitative properties of solutions to a pseudoparabolic equation modeling solvent uptake in polymeric solids Commun. Partial Differ. Equ. 2006, 31, 1117–1138. [Google Scholar] [CrossRef]
  8. Chen, P.J.; Gurtin, M.E. On a theory of heat conduction involving two temperatures. Z. Angew. Math. Phys. 1969, 19, 614–672. [Google Scholar] [CrossRef]
  9. Ewing, R.E. Numerical solution of Sobolev partial differential equations. SIAM J. Numer. Anal. 1975, 12, 345–363. [Google Scholar] [CrossRef]
  10. Aitzhanov, S.E.; Kusherbayeva, U.R.; Bekenayeva, K.S. Solvability of pseudoparabolic equation with Caputo fractional derivative. Chaos Solitons Fractals 2022, 160, 112193. [Google Scholar] [CrossRef]
  11. Showalter, R.E.; Ting, T.W. Pseudoparabolic partial differential equations. SIAM J. Math. Anal. 1970, 1, 1–26. [Google Scholar] [CrossRef]
  12. Barenblatt, G.I.; Bertsch, M.; Dal Passo, R.; Ughi, M. A degenerate pseudoparabolic regularization of a nonlinear forward-backward heat equation arising in the theory of heat and mass exchange in stably stratified turbulent shear flow. SIAM J. Math. Anal. 1993, 24, 1414–1439. [Google Scholar] [CrossRef]
  13. Amar, M.; Andreucci, D.; Gianni, R.; Timofte, C. Well-posedness of two pseudo-parabolic problems for electrical conduction in heterogeneous media. J. Math. Anal. Appl. 2021, 493, 124533. [Google Scholar] [CrossRef]
  14. Leveque, R.J. Numerical Methods for Conservation Laws; Birkhauser: Berlin, Germany, 1992. [Google Scholar]
  15. Abren, E.; Guesto, E.; Duran, A.; Lambert, W. Mathematical properties and numerical approximation of pseudoparabolic systems. Comput. Math. Appl. 2024, 165, 163–179. [Google Scholar] [CrossRef]
  16. Jachimavičienė, J.; Jesevičiūtė, Ž.; Sapagovas, M. The stability of finite-difference schemes for a pseudoparabolic equation with nonlocal conditions. Numer. Funct. Anal. Optim. 2009, 30, 988–1001. [Google Scholar] [CrossRef]
  17. Sapagovas, M.; Štikonas, A.; Štikoniene, O. ADI method for pseudoparabolic equation with nonlocal boundary conditions. Mathematics 2023, 11, 1303. [Google Scholar] [CrossRef]
  18. Abreu, E.; Vieira, J. Computing numerical solutions of the pseudoparabolic Buckley-Leveret equation with dynamic capillary pressure. Math. Comput. Simul. 2017, 137, 29–48. [Google Scholar] [CrossRef]
  19. Zheng, Z.; Pang, G.; Ehrhard, M.; Lin, B. An efficient second order linearized Banjamin-Bona-Mahony equation with artificial boundary conditions. Preprint BUW-IMACM 2022, 22/23, 1–47. [Google Scholar]
  20. Zheng, Z.; Pang, G.; Ehrhardt, M.; Baiyili, L. A fast second-order absorbing boundary condition for the linearized Benjamin-Bona-Mahony equation. Numer. Algor. 2025, 98, 2037–2080. [Google Scholar] [CrossRef]
  21. Korpusov, M.O.; Sveshnikov, A.G. Three-dimensional nonlinear evolutionary pseudoparabolic equations in mathematical physics. Zh. Vychis. Mat. Mat. Fisica 2003, 43, 1835–1869. [Google Scholar]
  22. Seam, N.; Vallet, G. Existence results for nonlinear pseudoparabolic problems. Nonlinear Anal. Real World Appl. 2011, 12, 2625–2639. [Google Scholar] [CrossRef]
  23. Vromans, A.J.; van de Ven, F.; Muntean, A. Existence of weak solutions for a pseudo-parabolic system coupling chemical reactions, diffusion and momentum equations. Tech. Univ. Eindh. CASA-Rep. 2017, 1703, 35. [Google Scholar]
  24. Bouziani, A. Solvability of nonlinear pseudoparabolic equation with a nonlocal boundary condition. Nonlinear Anal. Theory Methods Appl. 2003, 55, 883–904. [Google Scholar] [CrossRef]
  25. Ngoc, L.T.P.; Uyen, K.T.T.; Nhan, N.H.; Longet, N.T. On a system of non-linear pseudoparabolic equations with Robin-Dirichlet boundary conditions. Commun. Pure Appl. Anal. 2022, 21, 585–623. [Google Scholar] [CrossRef]
  26. Wang, K. Two-grid methods for nonlinear pseudo-parabolic integro-differential equations by finite element method. Comput. Math. Appl. 2024, 168, 174–189. [Google Scholar] [CrossRef]
  27. Cheng, H.; Wang, X. A high-order linearized difference scheme preserving dissipation property for the 2D Benjamin-Bona-Mahony-Burgers equation. J. Math. Anal. Appl. 2021, 500, 125182. [Google Scholar] [CrossRef]
  28. Jhangeer, A.; Ibraheem, F.; Jamal, T.; Rahimzai, A.A.; Khan, I. Investigating pseudo parabolic dynamics through phase portraits, sensitivity, chaos and soliton behavior. Sci. Rep. 2024, 14, 15224. [Google Scholar] [CrossRef] [PubMed]
  29. Abbasbandy, S.; Shirzadi, A. The first integral method for modified Benjamin-Bona-Mahony equation. Commun. Nonlin. Sci. Numer. Simul. 2010, 15, 1759–1764. [Google Scholar] [CrossRef]
  30. Albert, J. On the decay of solutions of the generalized Benjamin-Bona-Mahony equation. J. Math. Anal. Appl. 1989, 141, 527–537. [Google Scholar] [CrossRef]
  31. Kjelldahl, V.; Mattsson, K. Numerical simulation of the generalized modified Benjamin–Bona–Mahony equation using SBP-SAT in time. J. Comput. Appl. Math. 2025, 459, 116377. [Google Scholar] [CrossRef]
  32. Saul’ev, V.K.; Chernikov, A.A. A solution by the finite difference method of a nonlinear regularized equation of shallow water. Differ. Uravn. 1983, 19, 1818–1820. [Google Scholar]
  33. Chertovskih, R.; Chian, A.C.-L.; Podvigina, O.; Rempel, E.; Zheligovsky, V. Existence, uniqueness and analyticity of space-periodic solutions to the regularised long-wave equation. Adv. Differ. Equ. 2014, 19, 725–754. [Google Scholar]
  34. Korpusov, M.O. On the blow-up of solutions of the Benjamin-Bona-Mahony-Burgers and Rosenau-Burgers equations. Nonlinear Anal. Theory Methods Appl. 2012, 75, 1737–1743. [Google Scholar] [CrossRef]
  35. Zarebnia, M.; Parvaz, R. Numerical study of the Benjamin-Bona-Mahony-Burgers equation. Bol. Soc. Paran. Mat. 2017, 35, 127–138. [Google Scholar] [CrossRef]
  36. Karta, M. Numerical solution for Benjamin-Bona-Mahony-Burgers equation with Strang time-splitting technique. Turk. J. Math. 2023, 47, 537–553. [Google Scholar] [CrossRef]
  37. Arora, S.; Jain, R.; Kukreja, V.K. Solution of Benjamin-Bona-Mahony-Burgers equation using collocation method with quintic Hermite splines. Appl. Numer. Math. 2020, 154, 1–16. [Google Scholar] [CrossRef]
  38. Shallu, V.K. Kukreja. Numerical treatment of Benjamin-Bona-Mahony-Burgers equation with fourth-order improvised B-spline collocation method. J. Ocean Eng. Sci. 2022, 7, 99–111. [Google Scholar] [CrossRef]
  39. Omrani, K.; Ayadi, M. Finite difference discretization of the Benjamin-Bona-Mahony-Burgers equation. Numer. Methods Partial Differ. Equ. 2008, 24, 239–248. [Google Scholar] [CrossRef]
  40. Sweilam, N.H.; Abou Hasan, M.M.; Albalawi, A.O. Numerical solutions of Benjamin-Bona-Mahony-Burgers equation via nonstandard finite difference scheme. Electron. J. Math. Anal. Appl. 2018, 6, 237–245. [Google Scholar]
  41. Jiao, Y.; Zhou, Y. An efficient spectral method for two-dimensional Benjamin–Bona–Mahony–Burgers equation. Eng. Comput. 2025, 42, 337–357. [Google Scholar] [CrossRef]
  42. Zhang, Q.; Liu, L.; Zhang, J. The numerical analysis of two linearized difference schemes for the Benjamin–Bona–Mahony–Burgers equation. Numer. Methods Partial Differ. Equ. 2020, 36, 1790–1810. [Google Scholar] [CrossRef]
  43. Dehghan, M.; Abbaszadeh, M.; Mohebbi, A. The numerical solution of nonlinear high dimensional generalized Benjamin-Bona-Mahony-Burgers equation via the meshless method of radial basis functions. Comput. Math. Appl. 2014, 68, 212–237. [Google Scholar] [CrossRef]
  44. Dehghan, M.; Abbaszadeh, M.; Mohebbi, A. The use of interpolating element-free Galerkin technique for solving 2D generalized Benjamin-Bona-Mahony-Burgers and regularized long-wave equations on non-rectangular domains with error estimate. J. Comput. Appl. Math. 2015, 286, 211–231. [Google Scholar] [CrossRef]
  45. Dehghan, M.; Shafieeabyaneh, N.; Abbaszadeh, M. Numerical and theoretical discussions for solving nonlinear generalized Benjamin–Bona–Mahony–Burgers equation based on the Legendre spectral element method. Numer. Methods Partial. Differ. Equ. 2021, 37, 360–382. [Google Scholar] [CrossRef]
  46. Oruç, Ö. A new algorithm based on Lucas polynomials for approximate solution of 1D and 2D nonlinear generalized Benjamin–Bona–Mahony–Burgers equation. Comput. Math. Appl. 2017, 74, 3042–3057. [Google Scholar] [CrossRef]
  47. Samarskii, A.A. The Theory of Difference Schemes; Marcel Dekker, Inc.: New York, NY, USA; Basel, Switzerland, 2001. (In Russian) [Google Scholar]
  48. Hunsdorfer, W.; Verwer, J. Numerical Solution of Time-Dependent Advection-Diffusion-Reaction Equations, 1st ed.; Springer: Berlin/Heidelberg, Germany, 2003; 472p. [Google Scholar]
  49. Lax, P.; Wendroff, B. Systems of conservation laws. Comp. Pure Appl. Math. 1960, 13, 217–237. [Google Scholar] [CrossRef]
Figure 1. The errors in the maximal (left) and L 2 (right) norms vs. the CPU time for 1D-IEDS, 1D-IDS, 1D-LWDS, and Example 1.
Figure 1. The errors in the maximal (left) and L 2 (right) norms vs. the CPU time for 1D-IEDS, 1D-IDS, 1D-LWDS, and Example 1.
Axioms 14 00545 g001
Figure 2. The errors in the maximal (left) and L 2 (right) norms vs. the CPU time for 1D-IEDS, 1D-LWDS, and Example 1.
Figure 2. The errors in the maximal (left) and L 2 (right) norms vs. the CPU time for 1D-IEDS, 1D-LWDS, and Example 1.
Axioms 14 00545 g002
Figure 3. The errors in the maximal (left) and L 2 (right) norms vs. the CPU time for 2D-IEDS, 2D-IDS, 2D-LWDS, and Example 2.
Figure 3. The errors in the maximal (left) and L 2 (right) norms vs. the CPU time for 2D-IEDS, 2D-IDS, 2D-LWDS, and Example 2.
Axioms 14 00545 g003
Table 1. The errors and spatial convergence rate of the solution, TP1, 1D-LWDS, and Example 1.
Table 1. The errors and spatial convergence rate of the solution, TP1, 1D-LWDS, and Example 1.
I E CR E 2 CR 2
206.2873 × 10−3 2.5848 × 10−3
409.3542 × 10−42.74874.2170 × 10−42.6157
802.1711 × 10−42.10729.2449 × 10−52.1895
1605.3299 × 10−52.02622.2354 × 10−52.0482
3201.3258 × 10−52.00725.5385 × 10−62.0129
Table 2. The errors and spatial convergence rates of the solution, TP1, 1D-IEDS, and Example 1.
Table 2. The errors and spatial convergence rates of the solution, TP1, 1D-IEDS, and Example 1.
I E CR E 2 CR 2
206.6322 × 10−3 2.0198 × 10−3
401.6560 × 10−32.00185.0277 × 10−42.0063
804.1367 × 10−42.00111.2556 × 10−42.0016
1601.0343 × 10−41.99993.1380 × 10−52.0004
3202.5850 × 10−52.00047.8418 × 10−62.0006
Table 3. The errors, spatial convergence rate of the solution and the averaging number of iterations, TP1, 1D-IDS, and Example 1.
Table 3. The errors, spatial convergence rate of the solution and the averaging number of iterations, TP1, 1D-IDS, and Example 1.
I E CR E 2 CR 2 m a v
205.8448 × 10−3 1.8361 × 10−3 2.15
401.4670 × 10−31.99434.5687 × 10−42.00682
803.6625 × 10−42.00201.1408 × 10−42.00172
1609.1529 × 10−52.00052.8511 × 10−52.00052
3202.2875 × 10−52.00057.1245 × 10−62.00072
Table 4. The errors and spatial convergence rate of the solution, TP1, 1D-LWDS, and Example 1.
Table 4. The errors and spatial convergence rate of the solution, TP1, 1D-LWDS, and Example 1.
I E CR E 2 CR 2
203.3640 × 10−3 1.4137 × 10−3
408.4573 × 10−41.99193.5365 × 10−41.9991
802.1177 × 10−41.99778.8430 × 10−51.9997
1605.2972 × 10−51.99922.2107 × 10−52.0000
3201.3238 × 10−52.00065.5232 × 10−62.0009
Table 5. The errors and spatial convergence rate of the solution, 2D problem, ε = 1 / 2 , 2D-IEDS, τ = h 2 , and Example 2.
Table 5. The errors and spatial convergence rate of the solution, 2D problem, ε = 1 / 2 , 2D-IEDS, τ = h 2 , and Example 2.
I E CR E 2 CR 2
201.3364 × 10−2 1.3364 × 10−2
403.3351 × 10−32.00268.4541 × 10−43.9826
808.3217 × 10−42.00282.1114 × 10−42.0014
1602.0807 × 10−41.99985.2774 × 10−52.0003
3205.2020 × 10−51.99991.3193 × 10−52.0001
Table 6. The errors, spatial convergence rate of the solution, the averaging number of iterations, 2D problem, ε = 1 / 2 , 2D-IDS, τ = h 2 , and Example 2.
Table 6. The errors, spatial convergence rate of the solution, the averaging number of iterations, 2D problem, ε = 1 / 2 , 2D-IDS, τ = h 2 , and Example 2.
I E CR E 2 CR 2 m av
201.0544 × 10−2 1.0544 × 10−2 2.025
402.6284 × 10−32.00416.6129 × 10−43.99492
806.5682 × 10−42.00061.6518 × 10−42.00132
1601.6415 × 10−42.00054.1287 × 10−52.00022
3204.1024 × 10−52.00051.0320 × 10−52.00022
Table 7. The errors and spatial convergence rate of the solution, 2D problem, ε = 1 / 2 , 2D-LWDS, τ = h 2 , and Example 2.
Table 7. The errors and spatial convergence rate of the solution, 2D problem, ε = 1 / 2 , 2D-LWDS, τ = h 2 , and Example 2.
I E CR E 2 CR 2
203.6906 × 10−3 1.0569 × 10−3
409.5159 × 10−41.95552.6698 × 10−41.9851
802.4040 × 10−41.98496.6796 × 10−51.9989
1606.0237 × 10−51.99671.6696 × 10−52.0003
3201.5055 × 10−52.00044.1728 × 10−62.0004
Disclaimer/Publisher’s Note: The statements, opinions and data contained in all publications are solely those of the individual author(s) and contributor(s) and not of MDPI and/or the editor(s). MDPI and/or the editor(s) disclaim responsibility for any injury to people or property resulting from any ideas, methods, instructions or products referred to in the content.

Share and Cite

MDPI and ACS Style

Koleva, M.N.; Vulkov, L.G. Second-Order Implicit–Explicit Difference Scheme for Pseudoparabolic Equations with Nonlinear Flux. Axioms 2025, 14, 545. https://doi.org/10.3390/axioms14070545

AMA Style

Koleva MN, Vulkov LG. Second-Order Implicit–Explicit Difference Scheme for Pseudoparabolic Equations with Nonlinear Flux. Axioms. 2025; 14(7):545. https://doi.org/10.3390/axioms14070545

Chicago/Turabian Style

Koleva, Miglena N., and Lubin G. Vulkov. 2025. "Second-Order Implicit–Explicit Difference Scheme for Pseudoparabolic Equations with Nonlinear Flux" Axioms 14, no. 7: 545. https://doi.org/10.3390/axioms14070545

APA Style

Koleva, M. N., & Vulkov, L. G. (2025). Second-Order Implicit–Explicit Difference Scheme for Pseudoparabolic Equations with Nonlinear Flux. Axioms, 14(7), 545. https://doi.org/10.3390/axioms14070545

Note that from the first issue of 2016, this journal uses article numbers instead of page numbers. See further details here.

Article Metrics

Back to TopTop