Next Article in Journal
Study on SEAI Model of COVID-19 Based on Asymptomatic Infection
Next Article in Special Issue
On Some Properties for Cofiniteness of Submonoids and Ideals of an Affine Semigroup
Previous Article in Journal
A Short Note on Generating a Random Sample from Finite Mixture Distributions
Previous Article in Special Issue
Conditions When the Problems of Linear Programming Are Algorithmically Unsolvable
 
 
Font Type:
Arial Georgia Verdana
Font Size:
Aa Aa Aa
Line Spacing:
Column Width:
Background:
Article

On Semi-Vector Spaces and Semi-Algebras with Applications in Fuzzy Automata

by
Giuliano G. La Guardia
1,†,
Jocemar Q. Chagas
1,†,
Ervin K. Lenzi
2,
Leonardo Pires
1,
Nicolás Zumelzu
3,* and
Benjamín Bedregal
4
1
Department of Mathematics and Statistics, State University of Ponta Grossa, (UEPG), Avenida General Carlos Cavalcanti N° 4748, Ponta Grossa 84030-900, Paraná, Brazil
2
Department of Physics, State University of Ponta Grossa, Avenida General Carlos Cavalcanti N° 4748, Ponta Grossa 84030-900, Paraná, Brazil
3
Department of Mathematics and Physics, University of Magallanes (UMAG), Avenida Bulnes N° 01855, Punta Arenas 6200000, Chile
4
Department of Informatics and Applied Mathematics, Federal University of Rio Grande do Norte (UFRN), Campus Universitário Lagoa Nova, Natal 59078-900, Río Grande do Norte, Brazil
*
Author to whom correspondence should be addressed.
These authors contributed equally to this work.
Axioms 2024, 13(5), 308; https://doi.org/10.3390/axioms13050308
Submission received: 24 November 2023 / Revised: 4 January 2024 / Accepted: 8 January 2024 / Published: 8 May 2024
(This article belongs to the Special Issue Advances in Linear Algebra with Applications)

Abstract

In this paper, we expand the theory of semi-vector spaces and semi-algebras, both over the semi-field of nonnegative real numbers R 0 + . More precisely, we prove several new results concerning these theories. We introduce to the literature the concept of eigenvalues and eigenvectors of a semi-linear operator, describing how to compute them. The topological properties of semi-vector spaces, such as completeness and separability, are also investigated here. New families of semi-vector spaces derived from the semi-metric, semi-norm and semi-inner product, among others, are exhibited. Furthermore, we show several new results concerning semi-algebras. After this theoretical approach, we apply such a theory in fuzzy automata. More precisely, we describe the semi-algebra of A-fuzzy regular languages and we apply the theory of fuzzy automata for counting patterns in DNA sequences.
MSC:
08A05; 08A72

1. Introduction

The concept of semi-vector space was introduced by Prakash and Sertel in [1]. Roughly speaking, semi-vector spaces are “vector spaces” where the scalars are in a semi-field. Although the concept of semi-vector space was investigated over time, there exist few works available in the literature dealing with such spaces [1,2,3,4,5,6,7]. This fact occurs maybe due to the limitations that such a concept brings, i.e., the non-existence of a (additive) symmetric for some (for all) semi-vectors. A textbook on this topic of research is the book by Kandasamy [8].
Although the seminal paper on semi-vector spaces was the paper by Prakash and Sertel [1], the idea of such a concept is implicit in [7], where Radstrom showed that a semi-vector space over the semi-field of nonnegative real numbers can be extended to a real vector space (see [7], Theorem 1-B.). In [1], Prakash and Sertel investigated the structure of topological semi-vector spaces. The authors were concerned with the study of the existence of fixed points in compact convex sets and also with generating min–max theorems in topological semi-vector spaces. In [6], Prakash and Sertel investigated the properties of the topological semi-vector space consisting of nonempty compact subsets of a real Hausdorff topological vector space. In [5], Pap investigated and formulated the concept of integrals of functions having, as counter-domains, complete semi-vector spaces. W. Gahler and S. Gahler [2] showed that a (ordered) semi-vector space can be extended to a (ordered) vector space and a (ordered) semi-algebra can be extended to a (ordered) algebra. Moreover, they provided an extension of fuzzy numbers. Janyska et al. [3] developed such a theory (of semi-vector spaces) by proving useful results and defining the semi-tensor product of (semi-free) semi-vector spaces. They were also interested in proposing an algebraic model of physical scales. Canarutto [9] explored the concept of semi-vector spaces to express aspects and to exploit nonstandard mathematical notions of the basics of quantum particle physics on a curved Lorentzian background. Moreover, he dealt with the case of electroweak interactions. Additionally, in [10], Canarutto provided a suitable formulation of the fundamental mathematical concepts with respect to quantum field theory. Such a paper presents a natural application of the concept of semi-vector spaces and semi-algebras. Recently, Bedregal et al. [4] investigated (ordered) semi-vector spaces over a weak semi-field K (i.e., both ( K , + ) and ( K , ) are monoids) in the context of fuzzy sets and applying the results in multi-criteria group decision-making.
In this paper, we show new results on the theory of semi-vector spaces and semi-algebras. The semi-field of scalars considered here is the semi-field of nonnegative real numbers. We prove several results in the context of semi-vector spaces and semi-linear transformations. We introduce the concept of semi-eigenvalues and semi-eigenvectors of an operator and of a matrix, showing how to compute it in specific cases. We investigate topological properties such as completeness, compactness and separability of semi-vector spaces. Additionally, we present interesting new families of semi-vector spaces derived from semi-metric, semi-norm, semi-inner product and metric-preserving functions, among others. Furthermore, we show several new results concerning semi-algebras. To summarize, we provide new results on semi-vector spaces and semi-algebras, although such theories are very difficult to investigate due to the fact that vectors do not even have (additive) symmetry.
The main motivation of this research is to present an expansion of both theories: semi-vector spaces and semi-algebras. Since a semi-vector space (semi-algebra) is a natural extension of a vector space (algebra), this paper provides new useful tools that can be utilized in several areas of research. In particular, we apply some new results in order to count patterns in DNA sequences (see, Section 4.3). Moreover, due to the fact that the fuzzy theory is correlated with semi-vector spaces and semi-algebras, the new results presented here can be applied directly in the study of novel results on such a theory (fuzzy theory).
In fuzzy sets theory, introduced by Zadeh in [11], the “sets” can have uncertainty frontiers. To deal with this uncertainty one utilizes values in the interval [ 0 , 1 ] as membership degrees. From then, many extensions of this theory have been proposed; see [12], for instance. On the other hand, in [13], the author proposed the notion of fuzzy languages and fuzzy automata which can be useful to process natural languages instead of formal languages [14] as is the case of automata theory [15]. Many extensions of fuzzy automata have been proposed, ([16,17,18,19]). In this paper, we also introduce a new extension of fuzzy automata, where the membership degree takes values in a semi-algebra.
The paper is organized as follows. In Section 2, we recall some concepts on semi-vector spaces which will be utilized in this work. In Section 3, we present and prove several results concerning semi-vector spaces and semi-linear transformations. We introduce naturally the concepts of the eigenvalue and eigenvector of a semi-linear operator. Additionally, we exhibit and show interesting examples of semi-vector spaces derived from semi-metric, semi-norms and metric-preserving functions, among others. The results concerning semi-algebras are also presented. In Section 4, we show relationships between Fuzzy Set Theory and semi-algebras. More precisely, in Section 4.1, we show some relationships between semi-algebras and fuzzy automata; in Section 4.2, we present the semi-algebras of A-fuzzy regular languages; and, in Section 4.3, we apply the theory of fuzzy automata for counting patterns in DNA sequences. Finally, this paper’s conclusion is presented in Section 5.

2. Preliminaries

The purpose of this section is to recall important facts about semi-vector spaces that are necessary for the development of this work. In order to define such a concept, it is necessary to define the concepts of semi-ring and semi-field.
Definition 1.
A semi-ring ( S , + , ) is a set S endowed with two binary operations, + : S × S S (addition), : S × S S (multiplication) such that: (1) ( S , + ) is a commutative monoid; (2) ( S , ) is a semigroup; (3) the multiplication • is distributive with respect to +: x , y , z S , ( x + y ) z = x z + y z and x ( y + z ) = x y + x z .
We write S instead of writing ( S , + , ) if there is no possibility of confusion. If the multiplication • is commutative, then S is a commutative semi-ring. If there exists 1 S , such that x S , one has 1 x = x 1 = x , then S is a semi-ring with identity.
Definition 2
([8] Definition 3.1.1). A semi-field is an ordered triple ( K , + , ) which is a commutative semi-ring with a unit satisfying the following conditions: (1) x , y K , if x + y = 0 , then x = y = 0 ; (2) if x , y K and x y = 0 , then x = 0 or y = 0 .
Before proceeding further, it is interesting to observe that, in [2], the authors considered the additive cancellation law in the definition of a semi-vector space. In [3], the authors did not assume the existence of the zero (null) vector.
In this paper, we consider the definition of a semi-vector space in the context of that shown in Section 3.1 of [2].
Definition 3.
A semi-vector space over a semi-field K is an ordered triple ( V , + , · ) , where V is a non-empty set endowed with the operations + : V × V V (vector addition) and · : K × V V (scalar multiplication) such that:
(1)
( V , + ) is an abelian monoid equipped with the additive cancellation law: u , v , w V , if u + v = u + w , then v = w ;
(2)
α K and u , v V , α ( u + v ) = α u + α v ;
(3)
α , β K and v V , ( α + β ) v = α v + β v ;
(4)
α , β K and v V , ( α β ) v = α ( β v ) ;
(5)
v V and 1 K , 1 v = v .
Note that, from Item (1) of Definition 3, all semi-vector spaces considered in this paper are regular, that is, the additive cancellation law is satisfied. The zero (or null) vector of V, which is unique, will be denoted by 0 V . Let v V , v 0 V . If there exists u V , such that v + u = 0 V , then v is said to be symmetrizable. A semi-vector space V is said to be simple if the unique symmetrizable element is the zero vector 0 V . In other words, V is simple if it has no nonzero symmetrizable elements.
Definition 4
([3] Definition 1.4). Let V be a simple semi-vector space over R 0 + . A subset B V is called a semi-basis of V if every v V , v 0 V , can be written in a unique way as v = i I v v ( i ) b i , where v ( i ) R + , b i B and I v is a finite family of indices uniquely determined by v. The finite subset B v B defined by B v : = { b i } i I v is uniquely determined by v. If a semi-vector space V admits a semi-basis, then it is said to be semi-free.
The concept of semi-dimension can be defined in an analogous way to semi-free semi-vector spaces due to the next results.
Corollary 1
([3] Corollary 1.7). Let V be a semi-free semi-vector space. Then, all semi-bases of V have the same cardinality.
Therefore, the semi-dimension of a semi-free semi-vector space is the cardinality of a semi-basis (consequently, of all semi-bases) of V. We next present some examples of semi-vector spaces.
Example 1.
All real vector spaces are semi-vector spaces, but they are not simple.
Example 2.
The set [ R 0 + ] n = R 0 + × × R 0 + n   times endowed with the usual sum of coordinates and scalar multiplication is a semi-vector space over R 0 + .
Example 3.
The set M n × m ( R 0 + ) of matrices n × m whose entries are nonnegative real numbers equipped with the sum of matrices and multiplication of a matrix by a scalar (in R 0 + , of course) is a semi-vector space over R 0 + .
Example 4.
The set P n [ x ] of polynomials with coefficients from R 0 + and degrees less than or equal to n, equipped with the usual sum of polynomials and the scalar multiplication of a scalar by a polynomial, is a semi-vector space.
Definition 5.
Let ( V , + , · ) be a semi-vector space over R 0 + . We say that a non-empty subset W of V is a semi-subspace of V if W is closed under both the addition and scalar multiplication of V, that is,
(1)
w 1 , w 2 W w 1 + w 2 W ;
(2)
λ R 0 + and w W λ w W .
The uniqueness of the zero vector implies that, for each λ R 0 + , one has λ 0 V = 0 V . Moreover, if v V , it follows that 0 v = 0 v + 0 v ; applying the regularity, one obtains 0 v = 0 V . Therefore, from Item (2), every semi-subspace contains the zero vector.
Example 5.
Let Q 0 + denote the set of nonnegative rational numbers. The semi-vector space Q 0 + considered as an Q 0 + space is a semi-subspace of R 0 + considered as an Q 0 + space.
Example 6.
The set of diagonal matrices of order n with entries in R 0 + is a semi-subspace of M n ( R 0 + ) , where the latter is the semi-vector space of square matrices with entries in R 0 + (according to Example 3).
Definition 6
([3] Definition 1.22). Let V and W be two semi-vector spaces over R 0 + and T : V W be a map. We say that T is a semi-linear transformation if: (1) v 1 , v 2 V , T ( v 1 + v 2 ) = T ( v 1 ) + T ( v 2 ) ; (2) λ R 0 + and v V , T ( λ v ) = λ T ( v ) .
If U and V are semi-vector spaces, then the set Hom ( U , V ) = { T : U V ; T is semilinear} is also a semi-vector space.

3. The New Results

In this section, we present the contributions of this work. More precisely, we show new properties on semi-vector spaces and we introduce the concepts of the eigenvalue and eigenvector of a semi-linear operator. In Section 3.1, we investigate properties of complete semi-vector spaces. In Section 3.2, we provide examples of interesting semi-vector spaces, and, in Section 3.3, we prove several results with respect to semi-algebras.
We start with important remarks.
Remark 1.
(1)
Throughout this section, we always consider that the semi-field K is the set of nonnegative real numbers, i.e., K = R 0 + = R + { 0 } .
(2)
In the whole section (except Section 3.2), we assume that the semi-vector spaces are simple, i.e., the unique symmetrizable element is the zero vector 0 V .
(3)
It is well-known that a semi-vector space ( V , + , · ) can be always extended to a vector space according to the equivalence relation on V × V defined by: ( u 1 , v 1 ) ( u 2 , v 2 ) if and only if u 1 + v 2 = v 1 + u 2 (see [7]; see also [2] (Section 3.4)). However, our results were obtained without utilizing such a natural embedding. In other words, if we want to compute, for instance, the eigenvalues of a matrix defined over R 0 + , we cannot solve the problem in the associated vector spaces and then discard the negative ones. Put differently, all computations performed here are restricted to nonnegative real numbers and also to the fact that a none vector (with the exception of 0 V ) is (additive and) symmetrical. However, we will show that, even in this case, several results can be obtained.
Proposition 1.
Let V be a semi-vector space over R 0 + . Then, the following hold:
(1)
Let v V , v 0 V , and λ R 0 + ; if λ v = 0 V , then λ = 0 .
(2)
If α , β R 0 + , v V and v 0 V , then the equality α v = β v implies that α = β .
Proof.
(1) If λ 0 , then there exists its multiplicative inverse λ 1 , hence 1 v = λ 1 0 V = 0 V , i.e., v = 0 V , a contradiction.
(2) If α β , assume w.l.o.g. that α > β , i.e., there exists a positive real number c such that α = β + c . Thus, α v = β v implies β v + c v = β v . From the cancellation law, we have c v = 0 V , and from Item (1) it follows that c = 0 , i.e., a contradiction. □
We next introduce in the literature the concepts of the eigenvalue and eigenvector of a semi-linear operator.
Definition 7.
Let V be a semi-vector space and T : V V be a semi-linear operator. If there exists a non-zero vector v V and a nonnegative real number λ, such that T ( v ) = λ v , then λ is an eigenvalue of T and v is an eigenvector of T associated with λ.
As is natural, the zero vector joined to the set of the eigenvectors associated with a given eigenvalue has a semi-subspace structure.
Proposition 2.
Let V be a semi-vector space over R 0 + and T : V V be a semi-linear operator. Then, the set V λ = { v V ; T ( v ) = λ v } is a semi-subspace of V.
Proof.
From the hypotheses, V λ is non-empty. Let u , v V λ , i.e., T ( u ) = λ u and T ( v ) = λ v . Hence, T ( u + v ) = T ( u ) + T ( v ) = λ ( u + v ) , i.e., u + v V λ . Further, if α R 0 + and u V , it follows that T ( α u ) = α T ( u ) = λ ( α u ) , that is, α u V λ . Therefore, V λ is a semi-subspace of V. □
The next natural step would be to introduce the characteristic polynomial of a matrix, according to the standard linear algebra. However, how does one compute det ( A λ I ) if λ can be a negative real number? Based on this fact, we must be careful to compute the eigenvectors of a matrix. In fact, the main tools to be utilized in computing the eigenvalues/eigenvectors of a square matrix whose entries are nonnegative real numbers is the additive cancellation law in R 0 + and also the fact that positive real numbers have multiplicative inverses. However, in many cases, such tools are insufficient to solve the problem. Let us see some cases where it is possible to compute the eigenvalues/eigenvectors of a matrix.
Example 7.
Let us see how to obtain (if there exists) an eigenvalue/eigenvector of a diagonal matrix A M 2 ( R 0 + ) ,
A = a 0 0 b ,
where a b are both not zero. We obtain λ = a with associated eigenvector x ( 1 , 0 ) and λ = b with associated eigenvector y ( 0 , 1 ) .
If a 0 and b = 0 , then λ = a with eigenvectors x ( 1 , 0 ) .
If a = 0 and b 0 , then λ = b with eigenvectors y ( 0 , 1 ) .
Example 8.
Let A M 2 ( R 0 + ) be a matrix of the form
A = a b 0 a ,
where a b are positive real numbers.
From direct computations, it follows that λ = a with eigenvectors ( x , 0 ) .
If V and W are semi-free semi-vector spaces, then it is possible to define the matrix of a semi-linear transformation T : V W as in the usual case (vector spaces).
Definition 8.
Let T : V W be a semi-liner transformation between semi-free semi-vector spaces with semi-basis B 1 and B 2 , respectively. Then, the matrix [ T ] B 1 B 2 is the matrix of the transformation T.
Theorem 1.
Let V be a semi-free semi-vector space over R 0 + and let T : V V be a semi-linear operator. Then, T admits a semi-basis B = { v 1 , v 2 , , v n } such that [ T ] B B is diagonal if and only if B consists of eigenvectors of T.
Proof.
The proof is analogous to the case of vector spaces. Let B = { v 1 , v 2 , , v n } be a semi-basis of V whose elements are eigenvectors of T. We then have the following:
T ( v 1 ) = λ 1 v 1 + 0 v 2 + + 0 v n , T ( v 2 ) = 0 v 1 + λ 2 v 2 + + 0 v n , T ( v n ) = 0 v 1 + 0 v 2 + + λ n v n ,
which implies that [ T ] B B is of the form
[ T ] B B = λ 1 0 0 0 0 λ 2 0 0 0 0 0 λ n .
On the other hand, let B * = { w 1 , w 2 , , w n } be a semi-basis of V, such that [ T ] B * B * is diagonal:
[ T ] B * B * = α 1 0 0 0 0 α 2 0 0 0 0 0 α n .
Thus,
T ( w 1 ) = α 1 w 1 + 0 w 2 + + 0 w n = α 1 w 1 , T ( w 2 ) = 0 w 1 + α 2 w 2 + + 0 w n = α 2 w 2 , T ( w n ) = 0 w 1 + 0 w 2 + + α n w n = α 2 w n .
This means that w i are eigenvectors of T with corresponding eigenvalues α i , for all i = 1 , 2 , , n . □
Definition 9.
Let T : V W be a semi-linear transformation. The set Ker ( T ) = { v V ; T ( v ) = 0 W } is called kernel of T.
Proposition 3.
Let T : V W be a semi-linear transformation. Then, the following hold:
(1)
Ker ( T ) is a semi-subspace of V;
(2)
If T is injective then Ker ( T ) = { 0 V } ;
(3)
If V has semi-dimension 1, then Ker ( T ) = { 0 V } implies that T is injective.
Proof.
(1) We have T ( 0 V ) = T ( 0 V ) + T ( 0 V ) . Since W is regular, it follows that T ( 0 V ) = 0 W , which implies Ker ( T ) . If u , v Ker ( T ) and λ R 0 + , then u + v Ker ( T ) and λ v Ker ( T ) , which implies that Ker ( T ) is a semi-subspace of V.
(2) Since T ( 0 V ) = 0 W , it follows that { 0 V } Ker ( T ) . On the other hand, let u Ker ( T ) , that is, T ( u ) = 0 W . Since T is injective, one has u = 0 V . Hence, Ker ( T ) = { 0 V } .
(3) Let B = { v 0 } be a semi-basis of V. Assume that T ( u ) = T ( v ) , where u , v V are such that u = α v 0 and v = β v 0 . Hence, α T ( v 0 ) = β T ( v 0 ) . Since Ker ( T ) = { 0 V } and v 0 0 , it follows that T ( v 0 ) 0 . From Item (2) of Proposition 1, one has α = β , i.e., u = v . □
Definition 10.
Let T : V W be a semi-linear transformation. The image of T is the set of all vectors w W such that there exists v V with T ( v ) = w , that is, Im ( T ) = { w W ; v V with T ( v ) = w } .
Proposition 4.
Let T : V W be a semi-linear transformation. Then, the image of T is a semi-subspace of W.
Proof.
The set Im ( T ) is non-empty because T ( 0 V ) = 0 W . It is easy to see that, if w 1 , w 2 Im ( T ) and λ R 0 + , then w 1 + w 2 Im ( T ) and λ w 1 Im ( T ) . □
Recall that two semi-vector spaces V and W over a semi-field K are isomorphic; there exists a bijective semi-linear transformation from V to W.
Theorem 2.
Let V be a n-dimensional semi-free semi-vector space over R 0 + . Then, V is isomorphic to ( R 0 + ) n .
Proof.
Let B = { v 1 , v 2 , , v n } be a semi-basis of V and consider the canonical semi-basis e i = ( 0 , 0 , , 0 , 1 i , 0 , , 0 ) of ( R 0 + ) n , where i = 1 , 2 , , n . Define the map T : V ( R 0 + ) n as follows: for each v = i = 1 n a i v i V , put T ( v ) = i = 1 n a i e i . It is easy to see that T is bijective semi-linear transformation, i.e., V is isomorphic to ( R 0 + ) n , as required. □

3.1. Complete Semi-Vector Spaces

Here, we define and study complete semi-vector spaces, i.e., semi-vector spaces whose norm (inner product) induces a metric under which the space is complete.
Definition 11.
Let V be a semi-vector space over R 0 + . If there exists a norm : V R 0 + on V, we say that V is a normed semi-vector space (or normed semi-space, for short). If the norm defines a metric on V under which V is complete then V is said to be Banach semi-vector space.
Definition 12.
Let V be a semi-vector space over R 0 + . If there exists an inner product , : V × V R 0 + on V, then V is an inner product semi-vector space (or inner product semi-space). If the inner product defines a metric on V under which V is complete, then V is said to be Hilbert semi-vector space.
The well-known norms on R n are also norms on [ R 0 + ] n , as we show in the next propositions.
Proposition 5.
Let V = [ R 0 + ] n be the Euclidean semi-vector space (over R 0 + ) of semi-dimension n. Define the function : V R 0 + as follows: if x = ( x 1 , x 2 , , x n ) V , put x = x 1 2 + x 2 2 + + x n 2 . Then, is a norm on V, called the Euclidean norm on V.
Proof.
It is clear that x = 0 if and only if x = ( 0 , , 0 ) and for all α R 0 + and x V , α x = | α | x . To show the triangle inequality, it is sufficient to apply the Cauchy–Schwarz inequality in R 0 + : if x = ( x 1 , x 2 , , x n ) and y = ( y 1 , y 2 , , y n ) are semi-vectors in V, then i = 1 n x i y i i = 1 n x i 2 1 / 2 · i = 1 n y i 2 1 / 2 . □
In the next results, we show that the Euclidean norm on [ R 0 + ] n generates the Euclidean metric on it.
Proposition 6.
Let x = ( x 1 , x 2 , , x n ) , y = ( y 1 , y 2 , , y n ) be semi-vectors in V = [ R 0 + ] n . Define the function d : V × V R 0 + as follows: for every fixed i, if x i = y i put c i = 0 ; if x i y i , put φ i = ψ i + c i , where φ i = max { x i , y i } and ψ i = min { x i , y i } (in this case, c i > 0 ); then consider d ( x , y ) = c 1 2 + + c n 2 . The function d is a metric on V.
Remark 2.
Note that, in Proposition 6, we could have defined c i simply by the nonnegative real number satisfying max { x i , y i } = min { x i , y i } + c i . However, we prefer to separate the cases when c i = 0 and c i > 0 in order to improve the readability of this paper.
Proof.
It is easy to see that d ( x , y ) = 0 if and only if x = y and d ( x , y ) = d ( y , x ) .
We will next prove the triangle inequality. To do this, let x = ( x 1 , x 2 , , x n ) , y = ( y 1 , y 2 , , y n ) and z = ( z 1 , z 2 , , z n ) be semi-vectors in V = [ R 0 + ] n . We look first at a fixed i. If x i = y i = z i or if two of them are equal, then d ( x i , z i ) d ( x i , y i ) + d ( y i , z i ) . Let us then assume that x i , y i and z i are pairwise distinct. We have to analyze the six cases: (1) x i < y i < z i ; (2) x i < z i < y i ; (3) y i < x i < z i ; (4) y i < z i < x i ; (5) z i < x i < y i ; (6) z i < y i < x i . In order to verify the triangle inequality, we will see what occurs in the worst cases. More precisely, we assume that for all i = 1 , 2 , , n we have x i < y i < z i or, equivalently, z i < y i < x i . Since both cases are analogous, we only verify the (first) case x i < y i < z i , for all i. In such cases, there exist positive real numbers a i , b i , for all i = 1 , 2 , , n , such that y i = x i + a i and z i = y i + b i , which implies z i = x i + a i + b i . We need to show that d ( x , z ) d ( x , y ) + d ( y , z ) , i.e., i = 1 n ( a i + b i ) 2 1 / 2 i = 1 n a i 2 1 / 2 + i = 1 n b i 2 1 / 2 . The last inequality is equivalent to the inequality i = 1 n ( a i + b i ) 2 i = 1 n a i 2 + i = 1 n b i 2 + 2 i = 1 n a i 2 1 / 2 · i = 1 n b i 2 1 / 2 . Developing the first member of the previous inequality and deleting the corresponding terms with the first two terms in the second member following the multiplication by 1 / 2 , we have i = 1 n a i b i i = 1 n a i 2 1 / 2 · i = 1 n b i 2 1 / 2 , which is the Cauchy–Schwarz inequality in R 0 + . Therefore, d satisfies the triangle inequality and, hence, is a metric on V. □
Remark 3.
Note that Proposition 6 means that the Euclidean norm on [ R 0 + ] n (see Proposition 5) generates the Euclidean metric on [ R 0 + ] n . This result is analogous to the fact that every norm defined on vector spaces generates a metric on it. Further, a semi-vector space V is Banach (see Definition 11) if the norm generates a metric under which every Cauchy sequence in V converges to an element of V.
Proposition 7.
Let V = [ R 0 + ] n and define the function , : V × V R 0 + as follows: if u = ( x 1 , x 2 , , x n ) and v = ( y 1 , y 2 , , y n ) are semi-vectors in V, put u , v = i = 1 n x i y i . Then, , is an inner product on V, called the dot product.
Proof.
The proof is immediate. □
Proposition 8.
The dot product on V = [ R 0 + ] n generates the Euclidean norm on V.
Proof.
If x = ( x 1 , x 2 , , x n ) V , define the norm of x by x = x , x . Note that the norm is exactly the Euclidean norm given in Proposition 5. □
Remark 4.
We observe that, if an inner product on a semi-vector space V generates a norm and such a norm generates a metric d on V, then V is a Hilbert space (according to Definition 12) if every Cauchy sequence in V converges with respect to d to an element of V.
Proposition 9.
Let V = [ R 0 + ] n and define the function 1 : V R 0 + as follows: if x = ( x 1 , x 2 , , x n ) V , x 1 = i = 1 n x i . Then, x 1 is a norm on V.
Proof.
The proof is direct. □
Proposition 10.
Let x = ( x 1 , x 2 , , x n ) , y = ( y 1 , y 2 , , y n ) be semi-vectors in V = [ R 0 + ] n . Define the function d 1 : V × V R 0 + in the following way. For every fixed i, if x i = y i , put c i = 0 ; if x i y i , put φ i = ψ i + c i , where φ i = max { x i , y i } and ψ i = min { x i , y i } . Let us consider that d 1 ( x , y ) = i = 1 n c i . Then, the function d 1 is a metric on V derived from the norm 1 shown in Proposition 9.
Proof.
We only prove the triangle inequality. To avoid the stress of notation, we make the same considerations as in the proof of Proposition 6. We then fix i and only investigate the worst case x i < y i < z i . In this case, there exist positive real numbers a i , b i for all i = 1 , 2 , , n , such that y i = x i + a i and z i = y i + b i , which implies z i = x i + a i + b i . Then, for all i, d 1 ( x i , z i ) d 1 ( x i , y i ) + d 1 ( y i , z i ) ; hence, d 1 ( x , z ) = i = 1 n d 1 ( x i , z i ) = i = 1 n ( a i + b i ) = i = 1 n a i + i = 1 n b i = i = 1 n d 1 ( x i , y i ) + i = 1 n d 1 ( y i , z i ) = d 1 ( x , y ) + d 1 ( y , z ) . Therefore, d 1 is a metric on V. □
Proposition 11.
Let V = [ R 0 + ] n be the Euclidean semi-vector space of semi-dimension n. Define the function 2 : V R 0 + as follows: if x = ( x 1 , x 2 , , x n ) V , take x 2 = max i { x i } . Then, x 2 is a norm on V.
Proposition 12.
Keeping the notation of Proposition 6, define the function d 2 : V × V R 0 + such that d 2 ( x , y ) = max i { c i } . Then, d 2 is a metric on V. Moreover, d 2 is obtained from the norm 2 exhibited in Proposition 11.
Proposition 13.
The norms , 1 and 2 shown in Propositions 5, 9 and 11 are equivalent.
Proof.
It can immediately be seen that 2 1 n 2 . □
In a natural way, we can define the norm of a bounded semi-linear transformation.
Definition 13.
Let V and W be two normed semi-vector spaces and let T : V W be a semi-linear transformation. We say that T is bounded if there exists a real number c > 0 , such that T ( v )     c v .
If T : V W is bounded and v 0 V , we can consider the quotient T ( v ) v . Since such a quotient is upper bounded by c, the supremum sup v V , v 0 V T ( v ) v exists and it is, at most, c. We then define
T = sup v V , v 0 V T ( v ) v .
Proposition 14.
Let T : V W be a bounded semi-linear transformation. Then, the following hold:
(1)
T sends bounded sets in bounded sets;
(2)
T is a norm, called norm of T;
(3)
T can be written in the form T = sup v V , v = 1 T ( v ) .
Proof.
Items (1) and (2) are immediate. The proof of Item (3) is analogous to the standard proof but we present it here to guarantee that our mathematical tools are sufficient to perform it. Let v 0 V be a semi-vector with norm v   =   a 0 and set u = ( 1 / a ) v . Thus, u   =   1 and since T is semi-linear, one has
T = sup v V , v 0 V 1 a T ( v ) = sup v V , v 0 V T ( ( 1 / a ) v ) = sup u V , u = 1 T ( u ) = sup v V , v = 1 T ( v ) .

Semi-Spaces l + , l + p and C + [ a , b ]

In this subsection, we investigate the topological aspects of some semi-vector spaces over R 0 + , such as completeness and separability. We investigate the sequence spaces l + , l + p , C + [ a , b ] , which will be defined in the sequence.
We first study the space l + , the set of all bounded sequences of nonnegative real numbers. Before studying such a space, we must define a metric on it, since the metric in l , which is defined as d ( x , y ) = sup i N | x i y i | , where x = ( x i ) and y = ( y i ) are sequences in l , has no meaning to us, because there is no sense in considering y i if y i > 0 . Based on this fact, we circumvent this problem by utilizing the total order of R according to Proposition 6. Let x = ( μ i ) and y = ( ν i ) be sequences in l + . We then fix i, and define c i as was carried out in Proposition 6: if μ i = ν i , then we put c i = 0 ; if μ i ν i , let γ i = max { μ i , ν i } and ψ i = min { μ i , ν i } ; then, there exists a positive real number c i such that γ i = ψ i + c i and, in place of | μ i ν i | , we put c i . Thus, our metric becomes
d ( x , y ) = sup i N { c i } .
It is clear that d ( x , y ) , as shown in Equation (1), defines a metric. However, we must show that the tools that we have are sufficient to prove this fact, once we are working on R 0 + .
Proposition 15.
The function d shown in Equation (1) is a metric on l + .
Proof.
It is clear that d ( x , y ) 0 and d ( x , y ) = 0 x = y . Let x = ( μ i ) and y = ( ν i ) be two sequences in l + . Then, for every fixed i N , if c i = d ( μ i , ν i ) = 0 then μ i = ν i , i.e., d ( μ i , ν i ) = d ( ν i , μ i ) . If c i > 0 then c i = d ( μ i , ν i ) is computed by γ i = ψ i + c i , where γ i = max { μ i , ν i } and ψ i = min { μ i , ν i } . Hence, d ( ν i , μ i ) = c i * is computed by γ i * = ψ i * + c i * , where γ i * = max { ν i , μ i } and ψ i * = min { ν i , μ i } , which implies d ( μ i , ν i ) = d ( ν i , μ i ) . Taking the supremum over all i’s we have d ( x , y ) = sup i N { c i } = sup i N { c i * } = d ( y , x ) .
To show the triangle inequality, let x = ( μ i ) , y = ( ν i ) and z = ( η i ) be sequences in l + . For every fixed i, we will prove that d ( μ i , η i ) d ( μ i , ν i ) + d ( ν i , η i ) . If ν i = μ i = η i , the result is trivial. If two of them are equal, the result is also trivial. Assume that μ i , ν i and η i are pairwise distinct. As in the proof of Proposition 6, we must investigate the six cases:
(1) μ i < ν i < η i ; (2) μ i < η i < ν i ; (3) ν i < μ i < η i ; (4) ν i < η i < μ i ; (5) η i < μ i < ν i ; (6) η i < ν i < μ i . We only show (1) and (2).
To show (1), note that there exist positive real numbers c i and c i , such that ν i = μ i + c i and η i = ν i + c i , which implies η i = μ i + c i + c i . Hence, d ( μ i , η i ) = c i + c i = d ( μ i , ν i ) + d ( ν i , η i ) .
Let us show (2). There exist positive real numbers b i and b i , such that η i = μ i + b i and ν i = η i + b i , so ν i = μ i + b i + b i . Therefore, d ( μ i , η i ) = b i < d ( μ i , ν i ) + d ( ν i , η i ) = b i + 2 b i .
Taking the supremum over all i’s, we have
sup i N { d ( μ i , η i ) } sup i N { d ( μ i , ν i ) } + sup i N { d ( ν i , η i ) } ,
i.e., d ( x , z ) d ( x , y ) + d ( y , z ) . Therefore, d is a metric on l + . □
Definition 14.
The metric space l + is the set of all bounded sequences of nonnegative real numbers equipped with the metric d ( x , y ) = sup i N { c i } given previously.
We prove that l + equipped with the previous metric is complete.
Theorem 3.
The space l + with the metric d ( x , y ) = sup i N { c i } shown above is complete.
Proof.
The proof follows the same line as the standard proof of completeness of l ; however, it is necessary to adapt it to the metric (written above) in terms of nonnegative real numbers. Let ( x n ) be a Cauchy sequence in l + , where x i = ( η 1 ( i ) , η 2 ( i ) , ) . We must show that ( x n ) converges to an element of l + . As ( x n ) is Cauchy, given ϵ > 0 , there exists a positive integer, k such that, for all n , m > k ,
d ( x n , x m ) = sup j N { c j ( n , m ) } < ϵ ,
where c j ( n , m ) is a nonnegative real number, such that, if η j ( n ) = η j ( m ) then c j ( n , m ) = 0 , and if η j ( n ) η j ( m ) then c j ( n , m ) is given by max { η j ( n ) , η j ( m ) } = min { η j ( n ) , η j ( m ) } + c j ( n , m ) . This implies that, for each fixed j, one has
c j ( n , m ) < ϵ ,
where n , m > k . Thus, for each fixed j, it follows that ( η j ( 1 ) , η j ( 2 ) , ) is a Cauchy sequence in R 0 + . Since R 0 + is a complete metric space, the sequence ( η j ( 1 ) , η j ( 2 ) , ) converges to an element η j in R 0 + . Hence, for each j, we form the sequence x whose coordinates are the limits η j , i.e., x = ( η 1 , η 2 , η 3 , ) . We must show that x l + and x n x .
To show that x is a bounded sequence, let us consider the number c j ( n , ) defined as follows: if η j = η j ( n ) then c j ( n , ) = 0 , and if η j η j ( n ) , define c j ( n , ) as being the positive real number satisfying max { η j , η j ( n ) } = min { η j , η j ( n ) } + c j ( n , ) . From the inequality (2), one has
c j ( n , ) ϵ .
Because η j η j ( n ) + c j ( n , ) and since η j ( n ) l + , it follows that η j is a bounded sequence for every j. Hence, x = ( η 1 , η 2 , η 3 , ) l + . From (3), we have
sup j N { c j ( n , ) } ϵ ,
which implies that x n x . Therefore, l + is complete. □
Although l + is a complete metric space, it is not separable.
Theorem 4.
The space l + with the metric d ( x , y ) = sup i N { c i } is not separable.
Proof.
The proof is the same as shown in ([20] 1.3-9), so it is omitted. □
Let us define the space analogous to the space l p .
Definition 15.
Let p 1 be a fixed real number. The set l + p consists of all sequences x = ( η 1 , η 2 , η 3 , ) of nonnegative real numbers, such that i = 1 ( η i ) p < , whose metric is defined by d ( x , y ) = i = 1 [ c i ] p 1 / p , where y = ( μ 1 , μ 2 , μ 3 , ) and c i is defined as follows: c i = 0 if μ i = η i , and if μ i > η i (respect. η i > μ i ) then c i > 0 is such that μ i = η i + c i .
Theorem 5.
The space l + p with the metric d ( x , y ) = i = 1 [ c i ] p 1 / p exhibited above is complete.
Proof.
Recall that the given two sequences ( μ i ) and ( η i ) in l + p the Minkowski inequality for sums reads as
i = 1 | μ i + η i | p 1 / p j = 1 | μ j | p 1 / p + k = 1 | η k | p 1 / p .
Applying the Minkowski inequality as per ([20] 1.5-4) with some adaptations, it follows that d ( x , y ) is, in fact, a metric. In order to prove the completeness of l + p , we proceed similarly as in the proof of Theorem 3 with some adaptations. The main adaptation is performed according to the proof of completeness of l p in ([20] 1.5-4) replacing the last equality x = x m + ( x x m ) l p (after Equation (5)) by two equalities in order to avoid negative real numbers.
(1)
If the i-th coordinate x ( i ) x m ( i ) of the sequence x x m is positive, then define c m ( i ) = x ( i ) x m ( i ) and write x ( i ) = x m ( i ) + c m ( i ) . From the Minkowski inequality, it follows that the sequence ( x ( i ) ) i is in l + p .
(2)
If x ( j ) x m ( j ) is negative, then define c m ( j ) = x m ( j ) x ( j ) and write x m ( j ) = x ( j ) + c m ( j ) . Since x m l + p , from the comparison criterion for positive series it follows that the sequence ( x ( j ) ) j is also in l + p .
Theorem 6.
The space l + p is separable.
Proof.
The proof follows the same line of ([20] 1.3-10). □
Definition 16.
Let I = [ a , b ] be a closed interval in R 0 + , where a 0 and a < b . Then, C + [ a , b ] is the set of all continuous nonnegative real valued functions on I = [ a , b ] , whose metric is defined by d ( f ( t ) , g ( t ) ) = max t I { c ( t ) } , where c ( t ) is given by max { f ( t ) , g ( t ) } = min { f ( t ) , g ( t ) } + c ( t ) .
Theorem 7.
The metric space ( C + [ a , b ] , d ) , where d is given in Definition 16, is complete.
Proof.
The proof follows the same lines as the standard one with some modifications. Let ( f m ) be a Cauchy sequence in C + [ a , b ] . Given, ϵ > 0 there exists a positive integer N such that, for all m , n > N , it follows that
d ( f m , f n ) = max t I { c m , n ( t ) } < ϵ ,
where max { f m ( t ) , f n ( t ) } = min { f m ( t ) , f n ( t ) } + c m , n ( t ) . Thus, for any fixed t 0 I , we have c m , n ( t 0 ) < ϵ , for all m , n > N . This means that ( f 1 ( t 0 ) , f 2 ( t 0 ) , ) is a Cauchy sequence in R 0 + , which converges to f ( t 0 ) when m since R 0 + is complete. We then define a function f : [ a , b ] R 0 + such that, for each t [ a , b ] , we put f ( t ) . Taking n in (4), we obtain max t I { c m ( t ) } ϵ for all m > N , where max { f m ( t ) , f ( t ) } = min { f m ( t ) , f ( t ) } + c m ( t ) , which implies c m ( t ) ϵ for all t I . This fact means that ( f m ( t ) ) converges to f ( t ) uniformly on I, i.e., f C + [ a , b ] because the functions f m ’s are continuous on I. Therefore, C + [ a , b ] is complete, as desired. □

3.2. Interesting Semi-Vector Spaces

In this section, we exhibit semi-vector spaces over K = R 0 + derived from semi-metrics, semi-metric-preserving functions, semi-norms, semi-inner products and sub-linear functionals. Recall that a semi-metric is a metric without the condition that d ( x , y ) = 0 if and only if x = y .
Theorem 8.
Let X be a semi-metric space and M X = { d : X × X R ; d is a semi-metric on X } . Then, ( M X , + , · ) is a semi-vector space over R 0 + , where + and · are the pointwise addition and the scalar multiplication (in R 0 + ), respectively.
Proof.
We first show that M X is closed under addition. Let d 1 , d 2 M X and set d : = d 1 + d 2 . It is clear that d is a nonnegative real-valued function. Moreover, for all x , y X , d ( x , y ) = d ( y , x ) . Let x X ; d ( x , x ) = d 1 ( x , x ) + d 2 ( x , x ) = 0 . For all x , y , z X , d ( x , z ) = d 1 ( x , z ) + d 2 ( x , z ) [ d 1 ( x , y ) + d 2 ( x , y ) ] + [ d 1 ( y , z ) + d 2 ( y , z ) ] = d ( x , y ) + d ( y , z ) .
Let us show that M X is closed under scalar multiplication. Let d 1 M X and define d = λ d 1 , where λ R 0 + . It is clear that d is real-valued nonnegative and for all x , y X , d ( x , y ) = d ( y , x ) . Moreover, if x X , d ( x , x ) = 0 . For all x , y , z X , d ( x , z ) = λ d 1 ( x , z ) λ [ d 1 ( x , y ) + d 1 ( y , z ) ] = d ( x , y ) + d ( y , z ) . This means that M X is closed under scalar multiplication.
It is easy to see that ( M X , + , · ) satisfies the other conditions of Definition 3. □
Let ( X , d ) be a metric space. In [21], Corazza investigated interesting functions f : R 0 + R 0 + , such that the composite of f with d, i.e., X × X d R 0 + f R 0 + , also generates a metric on X. Let us put this concept formally.
Definition 17.
Let f : R 0 + R 0 + be a function. We say that f is metric-preserving if, for all metric spaces ( X , d ) , the composite f d is a metric.
For our purpose, we will consider semi-metric preserving functions as follows.
Definition 18.
Let f : R 0 + R 0 + be a function. We say that f is semi-metric-preserving if, for all semi-metric spaces ( X , d ) , the composite f d is a semi-metric.
We next show that the set of semi-metric preserving functions has a semi-vector space structure.
Theorem 9.
Let F p r e s = { f : R 0 + R 0 + ; f   is semi-metric preserving } . Then, ( F p r e s , + , · ) is a semi-vector space over R 0 + , where + and · are the pointwise addition and the scalar multiplication (in R 0 + ), respectively.
Proof.
We begin by showing that F p r e s is closed under pointwise addition and scalar multiplication.
Let f , g F p r e s . Given a semi-metric space ( X , d ) , we must prove that ( f + g ) d is also semi-metric preserving. We know that [ ( f + g ) d ] ( x , y ) 0 for all x , y X . Let x X ; then [ ( f + g ) d ] ( x , x ) = f ( d ( x , x ) ) + g ( d ( x , x ) ) = 0 . It is clear that [ ( f + g ) d ] ( x , y ) = [ ( f + g ) d ] ( y , x ) . Let x , y , z X . One has [ ( f + g ) d ] ( x , y ) = f ( d ( x , y ) ) + g ( d ( x , y ) ) [ f ( d ( x , z ) ) + g ( d ( x , z ) ) ] + [ f ( d ( z , y ) ) + g ( d ( z , y ) ) ] = ( f + g ) ( d ( x , z ) ) + ( f + g ) ( d ( z , y ) ) = [ ( f + g ) d ] ( x , z ) + [ ( f + g ) d ] ( z , y ) .
Here, we show that, for each f F p r e s and α R 0 + , it follows that α f F p r e s . We show only the triangular inequality since the other conditions are immediate. Let us calculate the following: [ α f d ] ( x , y ) = α f ( d ( x , y ) ) α f ( d ( x , z ) ) + α f ( d ( z , y ) ) = [ α f d ] ( x , z ) + [ α f d ] ( z , y ) .
The null vector is the null function 0 f : R 0 + R 0 + . The other conditions are easy to verify. □
Theorem 10.
Let V be a semi-normed real vector space and N V = { : V R ; is a semi-norm on V } . Then, ( N V , + , · ) is a semi-vector space over R 0 + , where + and · are pointwise addition and scalar multiplication (in R 0 + ), respectively.
Proof.
From the hypotheses, N V is non-empty. Let 1 , 2 N V and set : = 1 + 2 . For all v V , v 0 . If v V and α R , then α v = | α | v . For every u , v V , it follows that u + v : = u + v 1 + u + v 2 ( u 1 + u 2 ) + ( v 1 + v 2 ) = u + v . Hence, N V is closed under addition.
We next show that N V is closed under scalar multiplication. Let 1 N V and define : = λ 1 , where λ R 0 + . For all v V , v 0 . If α R and v V , α v = | α | ( λ v 1 ) = | α | v . Let u , v V . Then, u + v λ u 1 + λ v 1 = u + v . Therefore, N V is closed under addition and scalar multiplication over R 0 + .
The zero vector is the null function 0 : V R . The other conditions of Definition 3 are straightforward. □
Remark 5.
Note that N V = { : V R ; is a norm on V } is also closed under both pointwise function addition and scalar multiplication.
Lemma 1.
Let T : V W be a linear transformation.
(1)
If : W R is a semi-norm on W, then T : V R is a semi-norm on V.
(2)
If T is injective linear and : W R is a norm on W, then T is a norm on V.
Proof.
We only show Item (1). It is clear that [ T ] ( v ) 0 for all v V . For all α R and v V , [ T ] ( α v ) = | α | T ( v ) = | α | [ T ] ( v ) . Moreover, v 1 , v 2 V , [ T ] ( v 1 + v 2 ) [ T ] ( v 1 ) + [ T ] ( v 2 ) . Therefore, T is a semi-norm on V. □
Theorem 11.
Let V and W be two semi-normed vector spaces and T : V W be a linear transformation. Then
N V T = { T : V R ;   is a semi-norm on   W }
is a semi-subspace of ( N V , + , · ) .
Proof.
From the hypotheses, it follows that N V T is non-empty. From Item (1) of Lemma 1, it follows that T is a semi-norm on V. Let f , g N V T , i.e., f = 1 T and g = 2 T , where 1 and 2 are semi-norms on W. Then, f + g = [ 1 + 2 ] T N V T . For every nonnegative real number λ and f N V T , λ f = λ [ T ] = ( λ ) T N V T . □
Theorem 12.
Let N be the class whose members are { N V } , where N V ’s are given in Theorem 10. Let Hom ( N ) be the class whose members are the sets
hom ( N V , N W ) = { F T : N V N W ; F T ( V ) = V T } ,
where T : W V is a linear transformation and V is a semi-norm on V. Then, ( N , Hom ( N ) , I d , ) is a category.
Proof.
The sets hom ( N V , N W ) are pairwise disjointed. For each N V , there exists I d ( N V ) given by I d ( N V ) ( V ) = V = V I d ( V ) . It is clear that, if F T : N V N W , then F T I d ( N V ) = F T and I d ( N W ) F T = F T .
It is easy to see that, for every T : W V linear transformation, the map F T is semi-linear, i.e., F T ( V ( 1 ) + V ( 2 ) ) = F T ( V ( 1 ) ) + F T ( V ( 2 ) ) and F T ( λ V ) = λ F T ( V ) , for every V , V ( 1 ) , V ( 2 ) N V and λ R 0 + .
Let N U , N V , N W , N X N and F T 1 hom ( N U , N V ) , F T 2 hom ( N V , N W ) , F T 3 hom ( N W , N X ) , i.e.,
N U F T 1 N V F T 2 N W F T 3 N X .
The linear transformations are of the forms
X T 3 W T 2 V T 1 U U R .
The associativity ( F T 3 F T 2 ) F T 1 = F T 3 ( F T 2 F T 1 ) follows from the associativity of composition of the maps. Moreover, the map F T 3 F T 2 F T 1 Hom ( N ) because F T 3 F T 2 F T 1 = ( U ) ( T 1 T 2 T 3 ) and T 1 T 2 T 3 is a linear transformation. Therefore, ( N , Hom ( N ) , I d , ) is a category, as required. □
Theorem 13.
Let V be a real vector space endowed with a semi-inner product and let P V = { , : V × V R ; , is a semi-inner product on V } . Then, ( P V , + , · ) is a semi-vector space over R 0 + , where + and · are pointwise addition and scalar multiplication (in R 0 + ), respectively.
Proof.
The proof is analogous to that of Theorems 8 and 10. □
Proposition 16.
Let V , W be two vector spaces and T 1 , T 2 : V W be two linear transformations. Let us consider the map T 1 × T 2 : V × V W × W given by T 1 × T 2 ( u , v ) = ( T 1 ( u ) , T 2 ( v ) ) . If , is a semi-inner product on W, then , T 1 × T 2 is a semi-inner product on V.
Proof.
The proof is immediate, so it is omitted. □
Let V be a real vector space. Recall that a sub-linear functional on V is a functional t : V R which is sub-additive: u , v V , t ( u + v ) t ( u ) + t ( v ) ; and positive-homogeneous: α R 0 + and v V , t ( α v ) = α t ( v ) .
Theorem 14.
Let V be a real vector space. Let us consider S V = { S : V R ;   S   is sub-linear on V } . Then, ( S V , + , · ) is a semi-vector space on R 0 + , where + and · are pointwise addition and scalar multiplication (in R 0 + ), respectively.
Proof.
The proof follows the same line of that of Theorems 8 and 10 and 13. □

3.3. Semi-Algebras

We start this section by recalling the definition of semi-algebra and semi-sub-algebra. For more details, the reader can consult [2]. In [22], Olivier and Serrato investigated relation semi-algebras, i.e., a semi-algebra being both a Boolean algebra and an involutive semi-monoid, satisfying some conditions (see page 2 in Ref. [22] for more details). Roy [23] studied the semi-algebras of continuous and monotone functions on compact ordered spaces.
Definition 19.
A semi-algebra A over a semi-field K (or a K-semi-algebra) is a semi-vector space A over K endowed with a binary operation called the multiplication of semi-vectors : A × A A such that u , v , w A and λ K :
(1a)
u ( v + w ) = ( u v ) + ( u w ) (left-distributivity);
(1b)
( u + v ) w = ( u w ) + ( v w ) (right-distributivity);
(2)
λ ( u v ) = ( λ u ) v = u ( λ v ) .
A semi-algebra A is associative if ( u v ) w = u ( v w ) for all u , v , w A ; A is said to be commutative (or abelian) if the multiplication is commutative, that is, u , v A , u v = v u ; A is called a semi-algebra with identity if there exists an element 1 A A such that u A , 1 A u = u 1 A = u ; the element 1 A is called the identity of A. The identity element of a semi-algebra A is unique (if exists). If A is a semi-free semi-vector space, then the dimension of A is its dimension regarded as a semi-vector space. A semi-algebra is simple if it is simple as a semi-vector space.
Example 9.
The set R 0 + is a commutative semi-algebra with identity e = 1 .
Example 10.
The set of square matrices of order n whose entries are in R 0 + , are equipped with the sum of matrices, the multiplication of a matrix by a scalar (in R 0 + , of course) and by the multiplication of matrices, constituting an associative and non-commutative semi-algebra with identity e = I n (the identity matrix of order n), over R 0 + .
Example 11.
Let V be a semi-vector space over a semi-field K. Then, the set L ( V , V ) = { T : V V ; T   is a semi-linear operator } is a semi-vector space. If we define a vector multiplication as the composite of semi-linear operators (which is also semi-linear), then we have a semi-algebra over K.
Definition 20.
Let A be a semi-algebra over K. We say that a non-empty set S A is a semi-subalgebra if S is closed under the operations of A, that is,
(1)
u , v A , u + v A ;
(2)
u , v A , u v A ;
(3)
λ K and u A , λ u A .
Definition 21.
Let A and B two semi-algebras over K. We say that a map T : A B is an K-semi-algebra homomorphism if, u , v A and λ K , the following conditions hold:
(1)
T ( u + v ) = T ( u ) + T ( v ) ;
(2)
T ( u v ) = T ( u ) T ( v ) ;
(3)
T ( λ v ) = λ T ( v ) .
Definition 21 means that T is both a semi-ring homomorphism and also semi-linear (as a semi-vector space).
Definition 22.
Let A and B be two K-semi-algebras. A K-semi-algebra isomorphism T : A B is a bijective K-semi-algebra homomorphism. If there exists such an isomorphism, we say that A is isomorphic to B, written A B .
The following results seems to be new, because semi-algebras over R 0 + have not been investigated much in the literature.
Proposition 17.
Assume that A and B are two K-semi-algebras, where K = R 0 + and A has identity 1 A . Let T : A B be a K-semi-algebra homomorphism. Then, the following properties hold:
(1)
T ( 0 A ) = 0 B ;
(2)
If u A is invertible, then its inverse is unique and ( u 1 ) 1 = u ;
(3)
If T is surjective, then T ( 1 A ) = 1 B , i.e., B also has identity; furthermore, T ( u 1 ) = [ T ( u ) ] 1 ;
(4)
If u , v A are invertible, then ( u v ) 1 = v 1 u 1 ;
(5)
The composite of K-semi-algebra homomorphisms is also a K-semi-algebra homomorphism;
(6)
If T is a K-semi-algebra isomorphism, then T 1 : B A is also;
(7)
The relation A B , if and only if A is isomorphic to B, is an equivalence relation.
Proof.
Note that Item (1) holds because the additive cancelation law holds in the definition of semi-vector spaces (see Definition 3). We only show Item (3) since the remaining items are direct. Let v B ; then, there exists u A such that T ( u ) = v . It then follows that v T ( 1 A ) = T ( u 1 A ) = v and T ( 1 A ) v = T ( 1 A u ) = v , which means that T ( 1 A ) is the identity of B, i.e., T ( 1 A ) = 1 B .
We have T ( u ) T ( u 1 ) = T ( u u 1 ) = T ( 1 A ) = 1 B and T ( u 1 ) T ( u ) = T ( u 1 u ) = T ( 1 A ) = 1 B , which implies T ( u 1 ) = [ T ( u ) ] 1 . □
Proposition 18.
If A is a K-semi-algebra with identity 1 A , then A can be embedded in L ( A , A ) , the semi-algebra of semi-linear operators on A.
Proof.
For every fixed v A , define v * : A A as v * ( x ) = v x . It is easy to see that v * is a semi-linear operator on A. Define h : A L ( A , A ) by h ( v ) = v * . We must show that h is a injective K-semi-algebra homomorphism where the product in L ( A , A ) is the composite of maps from A into A. Fixing u , v A , we have the following: [ h ( u + v ) ] ( x ) = ( u + v ) * ( x ) = ( u + v ) x = u x + v x = u * ( x ) + v * ( x ) = [ h ( u ) ] ( x ) + [ h ( v ) ] ( x ) , hence h ( u + v ) = h ( u ) + h ( v ) . For λ K and v A , it follows that [ h ( λ v ) ] ( x ) = ( λ v ) * ( x ) = ( λ v ) x = λ ( v x ) = [ λ h ( v ) ] ( x ) , i.e., h ( λ v ) = λ h ( v ) . For fixed u , v A , [ h ( u v ) ] ( x ) = ( u v ) * ( x ) = ( u v ) x = u ( v x ) = u v * ( x ) = u * ( v * ( x ) ) = [ h ( u ) h ( v ) ] ( x ) , i.e., h ( u v ) = h ( u ) h ( v ) . Assume that h ( u ) = h ( v ) , that is, u * = v * ; hence, for every x A , u * ( x ) = v * ( x ) , i.e., u x = v x . Taking, in particular, x = 1 A , it follows that u = v , which implies that h is injective. Therefore, A is isomorphic to h ( A ) , where h ( A ) L ( A , A ) . □
Definition 23.
Let A be a semi-vector space over a semi-field K. Then, A is said to be a Lie semi-algebra if A is equipped with a product [ , ] : A × A A such that the following conditions hold:
(1)
[ , ] is semi-bilinear, i.e., fixing the first (second) variable, [ , ] is semi-linear with respect to the second (first) one;
(2)
[ , ] is anti-symmetric, i.e., [ v , v ] = 0 V v A ;
(3)
[ , ] satisfies the Jacobi identity: u , v , w A , [ u , [ v , w ] ] + [ w , [ u , v ] ] + [ v , [ w , u ] ] = 0 V .
From Definition 23, we can see that a Lie semi-algebra can be non-associative, i.e., the product [ , ] is not always associative.
Let us now consider the semi-algebra M n ( R 0 + ) of matrices of order n with entries in R 0 + (see Example 10). We know that M n ( R 0 + ) is simple, i.e., with the exception of the zero matrix (zero vector), no matrix is (additive) symmetric. Therefore, the product of such matrices can be nonzero. However, in the case of a Lie semi-algebra A, if A is simple, then the unique product [ , ] , that can be defined over A, is the zero product, as is shown in the next result.
Proposition 19.
If A is a simple Lie semi-algebra over a semi-field K, then the semi-algebra is abelian, i.e., [ u , v ] = 0 V for all u , v A .
Proof.
Assume that u , v A and [ u , v ] 0 V . From Items (1) and (2) of Definition 23, it follows that [ u + v , u + v ] = [ u , u ] + [ u , v ] + [ v , u ] + [ v , v ] = 0 V , i.e., [ u , v ] + [ v , u ] = 0 V . This means that [ u , v ] has symmetric [ v , u ] 0 V , a contradiction. □
Definition 24.
Let A be a Lie semi-algebra over a semi-field K. A Lie semi-subalgebra B A is a semi-subspace of A which is closed under [ u , v ] , i.e., for all u , v B , [ u , v ] B .
Corollary 2.
All semi-subspaces of A are semi-subalgebras of A.
Proof.
Apply Proposition 19. □

4. Fuzzy Set Theory and Semi-Algebras

The theory of semi-vector spaces and semi-algebras is a natural generalization of the corresponding theories of vector spaces and algebras. Since the scalars are in semi-fields (weak semi-fields), some standard properties do not hold in this new context. However, as we have shown in Section 3, even in the case of the nonexistence of symmetrizable elements, several results are still true. An application of the theory of semi-vector spaces is in the investigation of Fuzzy Set Theory, which was introduced by Lotfali Askar-Zadeh [11]. In fact, such a theory fits in the investigation/extension of results concerning fuzzy sets and their corresponding theory. Let us see an example.
Let L be a linearly ordered complete lattice with distinct smallest and largest elements 0 and 1. Recall that a L-fuzzy number is a function x : R L on the field of real numbers satisfying the following items (see [2] Sect. 1.1): (1) for each α L 0 the set x α = { φ R ; α x ( φ ) } is a closed interval [ x α l , x α r ] , where L 0 = { α L ; α > 0 } ; (2) { φ R ; 0 < x ( φ ) } is bounded.
The addition of two fuzzy numbers x and y is the fuzzy number x + y defined for each r R by
( x + y ) ( r ) = sup { x ( s ) L y ( t ) ; s + t = r } .
Analogously, the product of x and y is the fuzzy number x · y , for each r R given by
( x · y ) ( r ) = sup { x ( s ) L y ( t ) ; s t = r } .
The scalar product of α R and x R L is the fuzzy number α x such that α x = α ˜ · x , where
α ˜ ( r ) = 1 i f   r = α 0 i f   r α .
We denote the set R L to be the set of all fuzzy numbers; R L can be equipped with a partial order in the following manner: x y if and only if x α l y α l and x α r y α r for all α L 0 . Additionally, in [24], the authors investigated linear orders on fuzzy numbers which refine this partial order. In this scenario, Gahler et al. showed that the concepts of semi-algebras can be utilized to extend the concept of fuzzy numbers, according to the following proposition:
Proposition 20
([2] Proposition 19). The set R L is an ordered commutative semi-algebra.
Thus, a direct utilization of the investigation of the structures of semi-vector spaces and semi-algebras is the possibility to generate new interesting results on the Fuzzy Set Theory.
Let L n ( [ 0 , 1 ] ) = { ( x 1 , x 2 , , x n ) [ 0 , 1 ] n | x 1 x 2 x n } . Shang et al., in [25], introduced a new type of fuzzy sets where the membership are elements of L n ( [ 0 , 1 ] ) . The product order n p on L n ( [ 0 , 1 ] ) is given as follows: for all x = ( x 1 , x 2 , , x n ) and y = ( y 1 , y 2 , , y n ) vectors in L n ( [ 0 , 1 ] ) , define x n p y π i ( x ) π i ( x ) for each i { 1 , 2 , , n } , where π i : L n ( [ 0 , 1 ] ) [ 0 , 1 ] is the i-th projection π i ( x 1 , x 2 , , x n ) = x i [26]. Another work relating semi-vector spaces and Fuzzy Set Theory is the study by Bedregal et al. [4]. In order to study the aggregation functions (geometric mean, weighted average and ordered weighted averaging, among others) with respect to an admissible order (a total order ⪯ on L n ( [ 0 , 1 ] ) such that, for all x , y L n ( [ 0 , 1 ] ) , x n p y x y ), the authors worked with semi-vector spaces over the weak semi-field U = ( [ 0 , 1 ] , , · ) where, for all x , y [ 0 , 1 ] , x y = min { 1 , x + y } and · is the usual multiplication. With these concepts in mind, the authors showed two important results:
Theorem 15
([4] Theorem 1). L n ( [ 0 , 1 ] ) = ( L n ( [ 0 , 1 ] , , ) is a semi-vector space over U, where r v = ( r x 1 , , r x n ) and u v = ( x 1 y 1 , , x n y n ) . Moreover, ( L n ( [ 0 , 1 ] ) , n p ) is an ordered semi-vector space over U, where n p is the product order.
Proposition 21
([4] Propostion 2). For any bijection f : { 1 , 2 , , n } { 1 , 2 , , n } , the pair ( L n ( [ 0 , 1 ] ) , f ) is an ordered semi-vector space over U, where f , defined in ([4] Example 1), is an admissible order.
Clearly, except for the additive cancellation law, L n ( [ 0 , 1 ] ) jointly with the operation u v = ( x 1 y 1 , , x n y n ) , for all x = ( x 1 , x 2 , , x n ) and y = ( y 1 , y 2 , , y n ) vectors in L n ( [ 0 , 1 ] ) , is a commutative semi-algebra over U. As a consequence of the investigation conducted, the authors propose an algorithm to perform a multi-criteria and multi-expert decision-making method.
Summarizing the ideas: The theory of semi-vector spaces in [4] can be related to our theory of semi-algebras, increasing the connection between fuzzy set theory and semi-algebras. Therefore, it is important to understand deeply which are the algebraic and geometry structures of semi-vector spaces, providing, in this way, support for the development of our own theory as well as other interesting theories such as, for example, the Fuzzy Set Theory. In the next subsection, we provide a connection between K-semi-algebra and fuzzy formal language [14].

4.1. K-Fuzzy Automata

Let A be a K-semi-algebra and U a set. Then, a K-fuzzy set F over U is a function F : U A . The support of F is the set S u p p ( F ) = { u U | F ( u ) 0 A } .
Let X * be the free monoid generated by a set of input symbols X with concatenation as a binary operation. We will denote this by ε the identity element of X * , i.e., the empty string. An A-fuzzy language over a set of input symbols X has any function L : X * A .
Definition 25.
Let A be a K-semi-algebra with identity 1 A . Then, the system M = Q , X , ϱ , ι , τ is a K-Fuzzy Finite Automaton, K-FFA for short, if Q and X are nonempty finite disjoint sets, ϱ : Q × ( X { ε } ) × Q A is such that ϱ ( q , ε , q ) = 1 A for each q Q , ι : Q A and τ : Q A . The elements of Q are the states and elements of X of input symbols. The mapping ϱ, ι and τ are the K-fuzzy transition function, K-fuzzy initial state set and K-fuzzy final state set, respectively.
Example 12.
Let A be a commutative K-semi-algebra with identity 1 A and three different elements a , b , c A { 0 A } . Then, M = Q , X , ϱ , ι , τ where Q = { q 0 , q 1 , q 2 , q 3 } , X = { 0 , 1 } , and for each i , j { 0 , 1 , 2 , 3 }
ϱ ( q i , x , q j ) = a i f   x = 0   a n d   i   = j { 0 , 3 } b i f   x = 1   a n d ,   e i t h e r   j = i + 1   o r   j = i { 0 , 3 } 1 A i f   x = ε   a n d   i = j 0 A o t h e r w i s e
ι ( q i ) = c i f   i = 0 0 A o t h e r w i s e , τ ( q i ) = c i f   i = 3 0 A o t h e r w i s e .
is a K-FFA. Analogously, as occurs in automata theory, finite automata are graphically represented. In particular, the graphical representation of this K-FFA is presented in Figure 1.
Notice that, if A is the K-semi-algebra of fuzzy numbers, then 1 A = 1 ˜ , 0 A = 0 ˜ and a , b and c are arbitrary fuzzy numbers (different from 0 ˜ ).
Definition 26.
Let A be a K-semi-algebra with identity 1 A and M = Q , X , ϱ , ι , τ be a K-FFA. Then, the extension of ϱ is the mapping ϱ * : Q × X * × Q A recursively defined for each q , p Q , by
ϱ * ( q , ε , p ) = ϱ ( q , ε , p ) a n d   ϱ * ( q , w a , p ) = q Q ϱ * ( q , w , q ) ϱ ( q , a , p ) ,
whenever w X * and a X , where the sum is with respect to the addition of the K-semi-algebra.
Definition 27.
Let A be a K-semi-algebra with identity and M = Q , X , ϱ , ι , τ be a K-FFA. M is deterministic if
(1)
there is q 0 Q such that, for each q Q , ι ( q ) 0 A q = q 0 ;
(2)
for each q , p Q , such that p q , ϱ ( q , ε , p ) = 0 A ;
(3)
for each q , p , p Q and a X , ϱ ( q , a , p ) 0 A and ϱ ( q , a , p ) 0 A , then p = p .
Proposition 22.
Let A be an associative K-semi-algebra with identity 1 A and M = Q , X , ϱ , ι , τ be a K-FFA such that ϱ ( q , ε , p ) = 0 A whenever q , p Q and q p . If 0 A is a right annihilator element, i.e., x 0 A = 0 A for each x A , then for each v , w X * and q , p Q , we have
ϱ * ( q , v w , p ) = q Q ϱ * ( q , v , q ) ϱ * ( q , w , p ) .
Proof.
The proof is confirmed by induction on n = | w | . If n = 0 , then w = ε . Hence, for each v X * , since ϱ ( q , ε , p ) = 0 A whenever q , p Q and q p , it follows that
ϱ * ( q , v w , p ) = ϱ * ( q , v , p ) = ϱ * ( q , v , p ) 1 A + q Q , q q ϱ ( q , v , q ) 0 A = ϱ * ( q , v , p ) ϱ ( p , ε , p ) + q Q , q q ϱ * ( q , v , q ) ϱ ( q , ε , p ) = q Q ϱ * ( q , v , q ) ϱ ( q , ε , p ) = q Q ϱ * ( q , v , q ) ϱ * ( q , w , p ) .
Suppose now that ϱ * ( q , v w , p ) = ϱ * ( q , v , p ) ϱ * ( q , w , p ) for any v , w X * such that | w | = n . Thus, if u X * is such that | u | = n + 1 , then there are w X * and a X such that | w | = n and u = w a . Therefore,
ϱ * ( q , v u , p ) = q Q ϱ * ( q , v w , q ) ϱ ( q , a , p ) = q Q q Q ϱ * ( q , v , q ) ϱ * ( q , w , q ) ϱ ( q , a , p ) by inductive hyp . = q Q q Q ( ( ϱ * ( q , v , q ) ϱ * ( q , w , q ) ) ϱ ( q , a , p )   by right-distributivity = q Q q Q ϱ * ( q , v , q ) ( ϱ * ( q , w , q ) ϱ ( q , a , p ) )   by associativity = q Q q Q ϱ * ( q , v , q ) ( ϱ * ( q , w , q ) ϱ ( q , a , p ) ) = q Q ϱ * ( q , v , q ) q Q ( ϱ * ( q , w , q ) ϱ ( q , a , p ) )   by left-distributivity = q Q ( ϱ * ( q , v , q ) ϱ * ( q , u , p ) ) .
Definition 28.
Let A be a K-semi-algebra with identity and M = Q , X , ϱ , ι , τ be a K-FFA. Then, the A-fuzzy language accepted by M is L M : X * A where, for each w X * ,
L M ( w ) = q , p Q ι ( q ) ( ϱ * ( q , w , p ) τ ( p ) ) .
A-fuzzy languages accepted by a K-FFA on a nonempty set of input symbols X will be called A-fuzzy regular languages on X and the set of all them will be denoted by FRL A X .
Example 13.
The A-fuzzy language accepted by the K-FFA of Example 12, for each w X * , is
L M ( w ) = c 2 ( a m ( w ) b n ( w ) ) i f   111   i s   a   s u b s t r i n g   o f   w 0 A o t h e r w i s e ,
where m ( ε ) = 0 , m ( w x ) = m ( w ) + 1 x , n ( ε ) = 0 , n ( w x ) = n ( w ) + x , x 0 = 1 A , x k + 1 = x k x .

4.2. The Semi-Algebras of A-Fuzzy Regular Languages

In the following, for each α K , α 0 = 1 and α n + 1 = α · α n for each positive integer n.
Definition 29.
Let L , L 1 and L 2 be A-fuzzy languages over a set of input symbols X, respectively. We then define the following:
  • Scalar product of an A-fuzzy language: given α K , the scalar product of α with L is the A-fuzzy language α L : X * A , where α L ( w ) = α | w | · L ( w ) for each w X * ;
  • Addition of A-fuzzy languages: the addition of L 1 and L 2 is the A-fuzzy language L 1 L 2 : X * A , where L 1 L 2 ( w ) = L 1 ( w ) + L 2 ( w ) for each w X * ;
  • Multiplication of A-fuzzy languages: the multiplication of L 1 and L 2 is the A-fuzzy language L 1 ⦿ L 2 : X * A , where L 1 ⦿ L 2 ( w ) = L 1 ( w ) L 2 ( w ) for each w X * .
Lemma 2.
Let X be a non-empty set of input symbols and A be a K-semi-algebra with identity. Then, for each family a 1 , , a m , b 1 , , b n A , we have that
i = 1 m j = 1 n a i b j = i = 1 m a i j = 1 n b j .
Proof.
We prove by induction on n. If n = 1 , then
i = 1 m j = 1 n a i b j = i = 1 m a i b 1 = a 1 b 1 + ( a 2 b 1 + + ( a m 2 b 1 + ( ( a m 1 + a m ) b 1 ) ) ) by   Def .   19 ( 1 b ) = a 1 b 1 + ( a 2 b 1 + ( ( a m 2 + ( a m 1 + a m ) ) b 1 ) . . . ) by Definition   19 ( 1 b ) = a 1 b 1 + i = 2 m a i b 1   by Definition   19 ( 1 b ) = i = 1 m a i b 1   by Definition   19 ( 1 b ) .
Assume that Equation (5) holds for each k n . Then,
i = 1 m j = 1 n + 1 a i b j = i = 1 m a i b 1 + j = 2 n + 1 a i b j ¨ = i = 1 m a i b 1 + i = 1 m j = 2 n + 1 a i b j   by associativity and commutativity of + = i = 1 m a i b 1 + i = 1 m a i j = 1 n b j   by Induction hypotheses = i = 1 m a i j = 1 n + 1 b j   by Definition   19 ( 1 a ) .
Theorem 16.
Let X be a non-empty set of input symbols and A be a K-semi-algebra with identity. The K-fuzzy regular languages on X are closed under the scalar product. Moreover, if 0 A is the left annihilator element of the •, i.e., 0 A x = 0 A for each x A , then the K-fuzzy regular languages on X are closed under addition and multiplication operations in Definition 29.
Proof.
Let L be K-fuzzy regular language on X and α K . Then, there exists a K-FFA M = Q , X , ϱ , ι , τ such that L M = L . We now define M α = Q , X , ϱ α , ι , τ where, for each q , p Q and a X , ϱ α ( q , a , p ) = α · ϱ ( q , a , p ) and ϱ α ( q , ε , p ) = ϱ ( q , ε , p ) . Clearly, M α is a K-FFA.
We first prove by induction on w X * that
ϱ α * ( q , w , p ) = α | w | · ( ϱ * ( q , w , p ) ) .
If w = ε , from Definition 3(5), one has ϱ α * ( q , w , p ) = ϱ α ( q , ε , p ) = ϱ ( q , ε , p ) = α | w | · ( ϱ ( q , w , p ) ) .
Suppose that ϱ α * ( q , w , p ) = α | w | · ϱ * ( q , w , p ) when (n before |w| was deleted) | w | = n . Then,
ϱ α * ( q , w a , p ) = q Q ϱ α * ( q , w , q ) ϱ α ( q , a , p ) = q Q ( α | w | · ϱ * ( q , w , q ) ) ( α · ϱ ( q , a , p ) ) by inductive Hyp . = q Q α | w | + 1 · ( ϱ * ( q , w , q ) ϱ ( q , a , p ) ) by Definition   19 ( 2 ) . = α | w a | · ϱ * ( q , w a , p ) by Definition   3 ( 2 ) .
Therefore, for each w X * , we have
L M α ( w ) = q , p Q ι ( q ) ( ϱ α * ( q , w , p ) τ ( p ) ) = q , p Q ι ( q ) ( ( α | w | · ϱ * ( q , w , p ) ) τ ( p ) ) by Equation   ( 6 ) = q , p Q α | w | · ( ι ( q ) ( ϱ * ( q , w , p ) τ ( p ) ) ) by Definition   19 ( 2 ) . = α | w | · q , p Q ι ( q ) ( ϱ * ( q , w , p ) τ ( p ) )   by Definition   3 ( 2 ) . = α | w | · ( L M ( w ) ) = α L M ( w )
Therefore, α L FRL A X , i.e., the K-fuzzy regular languages on X, are closed under the scalar product operator.
Next, if L 1 , L 2 FRL A X , then there exist K-FFAs M 1 = Q 1 , X , ϱ 1 , ι 1 , τ 1 and M 2 = Q 2 , X , ϱ 2 , ι 2 , τ 2 such that Q 1 Q 2 = , L M 1 = L 1 and L M 2 = L 2 . Then, M 1 2 = Q , X , ϱ , ι , τ , where Q = Q 1 Q 2 , and for each q , p Q and a X { ε } ,
ϱ ( q , a , p ) = ϱ 1 ( q , a , p ) i f q , p Q 1 ϱ 2 ( q , a , p ) i f q , p Q 2 0 A otherwise
ι ( q ) = ι 1 ( q ) i f q Q 1 ι 2 ( q ) i f q Q 2 , τ ( q ) = τ 1 ( q ) i f q Q 1 τ 2 ( q ) i f q Q 2
is clearly a K-FFA. We will prove that L M 1 2 = L M 1 L M 2 . Before this, note that
ϱ * ( q , w , p ) = ϱ 1 * ( q , w , p ) if q , p Q 1 ϱ 2 * ( q , w , p ) if q , p Q 2 0 A otherwise .
Since 0 A is the left annihilator element of the • and neutral element of +, it follows that
L M 1 2 ( w ) = q , p Q ι ( q ) ( ϱ * ( q , w , p ) τ ( p ) ) = q , p Q 1 ι ( q ) ( ϱ * ( q , w , p ) τ ( p ) ) + q , p Q 2 ι ( q ) ( ϱ * ( q , w , p ) τ ( p ) ) + q Q 1 , p Q 2 ι ( q ) ( ϱ * ( q , w , p ) τ ( p ) ) + q Q 2 , p Q 1 ι ( q ) ( ϱ * ( q , w , p ) τ ( p ) ) = q , p Q 1 ι 1 ( q ) ( ϱ 1 * ( q , w , p ) τ 1 ( p ) ) + q , p Q 2 ι 2 ( q ) ( ϱ 2 * ( q , w , p ) τ 2 ( p ) ) + q Q 1 , p Q 2 ι 1 ( q ) ( 0 A τ 2 ( p ) ) + q Q 2 , p Q 1 ι 2 ( q ) ( 0 A τ 1 ( p ) )   by Equation   ( 7 ) = q , p Q 1 ι 1 ( q ) ( ϱ 1 * ( q , w , p ) τ 1 ( p ) ) + q , p Q 2 ι 2 ( q ) ( ϱ 2 * ( q , w , p ) τ 2 ( p ) ) + 0 A + 0 A = L M 1 ( w ) + L M 2 ( w ) = L M 1 L M 2 ( w ) .
Therefore, L 1 L 2 FRL A X , i.e., the K-fuzzy regular languages on X, are closed under the addition operator.
Finally, if L 1 , L 2 FRL A X , then there are K-FFAs M 1 = Q 1 , X , ϱ 1 , ι 1 , τ 1 and M 2 = Q 2 , X , ϱ 2 , ι 2 , τ 2 such that Q 1 Q 2 = , L M 1 = L 1 and L M 2 = L 2 . Then, M 1 ⦿ M 2 = Q , X , ϱ , ι , τ where Q = Q 1 × Q 2 , and for each q , p Q and a X , ϱ ( ( q 1 , q 2 ) , a , ( p 1 , p 2 ) ) = ϱ 1 ( q 1 , a , p 1 ) ϱ 2 ( q 2 , a , p 2 ) and
ι ( ( q 1 , q 2 ) ) = ι 1 ( q 1 ) ι 2 ( q 2 ) and τ ( ( q 1 , q 2 ) ) = τ 1 ( q 1 ) τ 2 ( q 2 )
is clearly a K-FFA. We will now prove that L M 1 ⦿ M 2 = L M 1 ⦿ L M 2 .
Since • is associative and commutative, then
ϱ * ( ( q 1 , q 2 ) , w , ( p 1 , p 2 ) ) = ϱ 1 * ( q 1 , w , p 1 ) ϱ 2 * ( q 2 , w , p 2 )
Since 0 A is an annihilator element of the • and neutral element of +, we have
L M 1 ⦿ M 2 ( w ) = ( q 1 , q 2 ) , ( p 1 , p 2 ) Q ι ( ( q 1 , q 2 ) ) ( ϱ * ( ( q 1 , q 2 ) , w , ( p 1 , p 2 ) ) τ ( ( p 1 , p 2 ) ) ) = q 1 , p 1 Q 1 , q 2 , p 2 Q 2 ( ι 1 ( q 1 ) ι 2 ( q 2 ) ) ( ( ϱ 1 * ( q 1 , w , p 1 ) ϱ 2 * ( q 2 , w , p 2 ) ) ( τ 1 ( q 1 ) τ 2 ( q 2 ) ) ) by Equations   ( 8 )   and   ( 9 ) . = q 1 , p 1 Q 1 , q 2 , p 2 Q 2 ι 1 ( q 1 ) ( ϱ 1 * ( q 1 , w , p 1 ) τ 1 ( q 1 ) ) ι 2 ( q 2 ) ( ϱ 2 * ( q 2 , w , p 2 ) τ 2 ( q 2 ) ) since     is   comm .   and   assoc . = q 1 , p 1 Q 1 ι 1 ( q 1 ) ( ϱ 1 * ( q 1 , w , p 1 ) τ 1 ( q 1 ) ) q 2 , p 2 Q 2 ι 2 ( q 2 ) ( ϱ 2 * ( q 2 , w , p 2 ) τ 2 ( q 2 ) )   by Lemma   2 = L M 1 ( w ) L M 2 ( w ) = L M 1 ⦿ L M 2 ( w ) .
Therefore, L 1 ⦿ L 2 FRL A X , i.e., the K-fuzzy regular languages on X, are closed under the product operator. □
Theorem 17.
Let K be a semi-field, A be a K-semi-algebra with identity and X a non-empty set of input symbols such that 0 A is a left annihilator element of the •. Then, ( FRL A X , , , ⦿ ) is a K-semi-algebra with identity.
Proof.
This is straightforward from Definition 29 and from the fact that A is a K-semi-algebra. For example, to prove that ( FRL A X , , , ⦿ ) satisfies the left-distributivity, take L 1 , L 2 , L 3 FRL A X . Then, for each w X * ,
( L 1 ⦿ ( L 2 L 3 ) ) ( w ) = L 1 ( w ) ( L 2 ( w ) + L 3 ( w ) )   by Definition   29 = ( ( L 1 ( w ) L 2 ( w ) ) + ( L 1 ( w ) L 3 ( w ) )   by the left-distributivity of   A = ( ( L 1 ⦿ L 2 ) ( L 1 ⦿ L 3 ) ) ( w )   by Definition   29

4.3. Counting Pattern in DNA Sequences

DNA sequences can contain many repetitions of some DNA sequences, called DNA patterns. In other words, a pattern is a contiguous sub-sequence of a DNA sequence. In most situations, the quantity of occurrences of a DNA pattern have important roles in determining if a DNA pattern is interesting or not [27] or to detect some mutational anomalies such as tandem duplication [28].
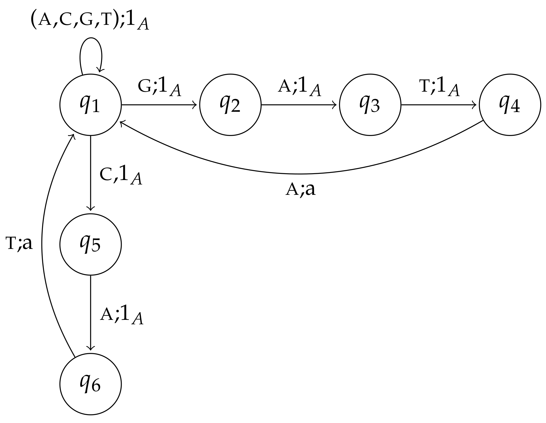
Let X = { a,c,g,t} be the set of DNA characters or bases, and consider the patterns u 1 = g a t a and u 2 = c a t and a semi-algebra ( A , , , ) with identity 1 A over a semi-field K and annihilator 0 for •.
Let us consider the K-FFA M = Q , X , ϱ , ι , τ such that Q = { q 1 , , q 8 } , where ϱ is defined in Figure 2 with a A { 1 A , 0 A , 0 } ,
ι ( q i ) = 1 A if i = 1 0 otherwise and τ ( q i ) = 1 A if i = 2 or i = 3 0 otherwise .
Then, L M ( w ) = a m a n where m and n are, respectively, the number of occurrences of u 1 and u 2 .
If A is the set of nonnegative integers in unary (in unary, each nonnegative integer n is represented by a string of n symbols 1, denoted by 1 n and, therefore, 1 0 is the empty string) endowed with an extra element, denoted by 0 , and the operations 1 m 1 n = 1 m + n , 0 1 m = 1 m 0 = 1 m , 1 m 1 n = 1 m 1 n = 1 m + n , 0 1 m = 1 m 0 = 0 ; then, for each w X * , L M ( w ) is the sum (in unary) of the number of occurrences of u 1 and u 2 in w. For example, L M ( gacattgcatggatacatgtgatacb ) = 1 2 1 3 = 1 5 .
It is worth noting that such a counting cannot be carried out either with nondeterministic finite automata or with fuzzy automata. In fact, nondeterministic finite automata just decide if a string is in the regular language or not and the Mealy or Moore machines are essentially deterministic. The case of fuzzy automata is similar, only deciding the membership degree of a string to a fuzzy language, i.e., a real value in [ 0 , 1 ] . Of course, we can consider L-fuzzy automata, where L is a complete lattice, as in [29,30]. In particular, this complete lattice can be the set of nonnegative integers in unary A extended with infinitum, denoted here by A .
A tentative of L-fuzzy automata for this purposes is shown in Figure 3. In this case, using the notation of [29], r e c A ( gacattgcatggatacatgtgatac ) = p 1 , , p 25 Q 25 I ( p 1 ) δ ( p 1 , g p 2 ) δ ( p 24 , c p 25 ) F ( p 25 ) = I ( o 1 ) δ ( o 1 , g , o 2 ) δ ( o 24 , c , o 25 ) F ( o 25 ) where o 1 = o 2 = o 5 = o 6 = o 7 = o 10 = o 11 = o 15 = o 18 = o 19 = o 20 = o 24 = o 25 = q 1 , o 12 = o 21 = q 2 , o 13 = o 22 = q 3 , o 14 = o 23 = q 4 , o 3 = o 8 = o 16 = q 5 , and o 4 = o 9 = o 17 = q 6 .
Therefore, r e c A ( gacattgcatggatacatgtgatac ) = 1 a 1 a a 1 A 1 A a 1 A 1 A a 1 A 1 A a 1 A 1 A a 1 A 1 A = a , that is, these L-fuzzy automata do not perform a counting of u 1 and u 2 . The unique way to achieve this counting is to enrich the lattice with operations like addition or concatenation if we consider A . But, in this case, these operations must satisfy some properties, resulting in fuzzy automata valued in the algebra as the K-FFA proposal in this manuscript.

5. Conclusions

In this paper, we have expanded the theory of semi-vector spaces as well as the theory of semi-algebras, both over the semi-field of nonnegative real numbers. Among these results, we introduced the concept of eigenvalues and eigenvectors of a semi-linear operator. The properties of completeness and separability were also investigated. Since semi-vector spaces and semi-algebras are correlated with fuzzy theory, we described the semi-algebra of A-fuzzy regular languages, after applying the theory of fuzzy automata for counting patterns in DNA sequences. In addition, we provided evidence that the counting of patterns, in general, cannot be achieved either with nondeterministic finite automata or L-fuzzy automata in the sense of [29]. Fuzzy automata have been applied in several areas of research, such as neural networks, learning machines, pattern recognition, control engineering, decision-making, robot control, clinical monitoring, image processing, etc. [31,32]. In particular, applications of fuzzy automata in syntactic pattern recognition can deal with pattern variability by defining inaccurate models [33]. In terms of future work, we intend to apply the K-Fuzzy Automata in Hand Gesture Recognition based on the approaches of [34,35].

Author Contributions

The authors contributed equally to this work. All authors have read and agreed to the published version of the manuscript.

Funding

This work was supported by CNPq (Brazilian National Council for Scientific and Technological Development) under Projects 311429/2020-3 and 302984/2022-4; the UMAG (Universidad de Magallanes) under Project 021016; and the ANID Chile (National Research and Development Agency) provided funding to UMAG, through the FONDEF IDEA I+D project ID23I10288.

Data Availability Statement

Data are contained within the article.

Conflicts of Interest

The authors declare no conflicts of interest.

References

  1. Prakash, P.; Sertel, M.R. Topological semivector spaces, convexity and fixed point theory. Semigroup Forum 1974, 9, 117–138. [Google Scholar] [CrossRef][Green Version]
  2. Gahler, W.; Gahler, S. Contributions to fuzzy analysis. Fuzzy Sets Syst. 1999, 105, 201–204. [Google Scholar] [CrossRef]
  3. Janyska, J.; Modugno, M.; Vitolo, R. Semi-vector spaces and units of measurement. Acta Appl. Math. 2010, 110, 1249–1276. [Google Scholar]
  4. Milfont, T.; Mezzomo, I.; Bedregal, B.; Mansilla, E.; Bustince, H. Aggregation functions on n-dimensional ordered vectors equipped with an admissible order and an application in multi-criteria group decision-making. Int. J. Approx. Reason. 2021, 137, 34–50. [Google Scholar] [CrossRef]
  5. Pap, E. Integration of functions with values in complete semi-vector space. In Measure Theory, Oberwolfach 1979; Lecture Notes in Mathematics; Springer: Berlin/Heidelberg, Germany, 1980; Volume 794, pp. 340–347. [Google Scholar]
  6. Prakash, P.; Sertel, M.R. Hyperspaces of topological vector spaces: Their embedding in topological vector spaces. Proc. Am. Math. Soc. 1976, 61, 163–168. [Google Scholar] [CrossRef][Green Version]
  7. Radstrom, H. An embedding theorem for spaces of convex sets. Proc. Am. Math. Soc. 1952, 3, 165–169. [Google Scholar] [CrossRef]
  8. Kandasamy, W.B.V. Smarandache Semirings, Semifields, and Semivector Spaces; American Research Press: Rehoboth, NM, USA, 2002. [Google Scholar]
  9. Canarutto, D. Positive spaces, generalized semi-densities, and quantum interaction. J. Math. Phys. 2012, 53, 032302. [Google Scholar] [CrossRef]
  10. Canarutto, D. Special generalized densities and propagators: A geometric account. Int. J. Geom. Methods Mod. Phys. 2016, 13, 1530004. [Google Scholar] [CrossRef]
  11. Zadeh, L.A. Fuzzy sets. Inf. Control 1965, 8, 338–353. [Google Scholar] [CrossRef]
  12. Bustince, H.; Barrenechea, E.; Pagola, M.; Fernandez, J.; Xu, Z.; Bedregal, B.; Montero, J.; Hagras, H.; Herrera, F.; Baets, B.D. A historical account of types of fuzzy sets and their relationships. IEEE Trans. Fuzzy Syst. 2016, 24, 179–194. [Google Scholar] [CrossRef]
  13. Wee, W.G. On Generalizations of Adaptive Algorithm and Application of the Fuzzy Sets Concept to Pattern Classification. Ph.D. Thesis, Purdue University, West Lafayette, IN, USA, 1967. [Google Scholar]
  14. Mordeson, J.N.; Malik, D.S. Fuzzy Automata and Languages: Theory and Applications; CRC Press: Boca Raton, FL, USA, 2019. [Google Scholar]
  15. Hopcroft, J.E.; Motwani, R.; Ullman, J.D. Introduction to Automata Theory, Languages, and Computation, 3rd ed.; Pearson: London, UK, 2006. [Google Scholar]
  16. Costa, V.S.; Bedregal, B. On typical hesitant fuzzy automata. Soft Comput. 2020, 24, 8725–8736. [Google Scholar] [CrossRef]
  17. Costa, V.S.; Bedregal, B.; Santiago, R.H.N. On closure properties of L-valued linear languages. Fuzzy Sets Syst. 2021, 420, 54–71. [Google Scholar] [CrossRef]
  18. Gómez, M.; Lizasoain, I.; Moreno, C. Information retrieval from interval-valued fuzzy automata through Kα operators. Fuzzy Sets Syst. 2017, 324, 20–32. [Google Scholar] [CrossRef]
  19. Wang, Y.; Li, Y. Minimization of lattice multiset finite automata. J. Intell. Fuzzy Syst. 2018, 35, 627–637. [Google Scholar] [CrossRef]
  20. Kreyszig, E. Introductory Functional Analysis with Applications; John Wiley and Sons Inc.: Hoboken, NJ, USA, 1978. [Google Scholar]
  21. Corazza, P. Introduction to metric-preserving functions. Am. Math. Mon. 1999, 106, 309–323. [Google Scholar] [CrossRef]
  22. Olivier, J.-P.; Serrato, D. Initial objects, universal objects for squares, equivalences and congruences in relation semi-algebras and algebras. Math. Log. Quart. 1995, 41, 455–475. [Google Scholar] [CrossRef]
  23. Roy, A.K. Ideals in semi-algebras of continuous, monotone functions on a compact ordered space. Math. Ann. 1970, 185, 231–246. [Google Scholar] [CrossRef]
  24. Zumelzu, N.; Bedregal, B.; Mansilla, E.; Bustince, H.; Diaz, R. Admissible orders on fuzzy numbers. IEEE Trans. Fuzzy Syst. 2022, 30, 4788–4799. [Google Scholar] [CrossRef]
  25. Shang, Y.; Yuan, X.; Lee, E.S. The n-dimensional fuzzy sets and Zadeh fuzzy sets based on the finite valued fuzzy sets. Comput. Math. Appl. 2010, 60, 442–463. [Google Scholar] [CrossRef]
  26. Bedregal, B.; Beliakov, G.; Bustince, H.; Calvo, T.; Mesiar, R.; Paternain, D. A class of fuzzy multisets with a fixed number of memberships. Inf. Sci. 2012, 189, 1–17. [Google Scholar] [CrossRef]
  27. Rashid, M.M.; Karim, M.R.; Jeong, B.-S.; Choi, H.-J. Efficient mining of interesting patterns in large biological sequences. Genom. Inform. 2012, 10, 44–50. [Google Scholar] [CrossRef] [PubMed]
  28. Brejová, B.; DiMarco, C.; Vinař, T.; Hidalgo, S.R.; Holguin, G.; Patten, C. Finding Patterns in Biological Sequences; Project Report for CS798g, Fall; University of Waterloo: Waterloo, ON, Canada, 2000. [Google Scholar]
  29. Li, Y. Finite automata theory with membership values in lattices. Inf. Sci. 2011, 181, 1003–1017. [Google Scholar] [CrossRef]
  30. Singh, S.; Tiwari, S.P. L-fuzzy automata theory: Some characterizations via general fuzzy operators. Fuzzy Sets Syst. 2023, 460, 103–142. [Google Scholar] [CrossRef]
  31. Micić, I.; Nguyen, L.A.; Stanimirović, S. Characterization and computation of approximate bisimulations for fuzzy automata. Fuzzy Sets Syst. 2022, 442, 331–350. [Google Scholar] [CrossRef]
  32. Singh, R.K.; Rani, A.; Sachan, M.K. Fuzzy Automata: A Quantitative Review. Int. J. Future Revolut. Comput. Sci. Commun. Eng. 2017, 3, 11–17. [Google Scholar]
  33. Bailador, G.; Triviño, G. Pattern recognition using temporal fuzzy automata. Fuzzy Sets Syst. 2016, 161, 37–55. [Google Scholar] [CrossRef]
  34. Bedregal, B.C.; Costa, A.C.; Dimuro, G.P. Fuzzy Rule-Based Hand Gesture Recognition. In Proceedings of the IFIP International Conference on Artificial Intelligence in Theory and Practice, Santiago, Chile, 21–24 August 2006; pp. 285–294. [Google Scholar]
  35. Berezhnoy, V.; Popov, D.; Afanasyev, I.; Mavridis, N. The Hand-gesture-based Control Interface with Wearable Glove System. In Proceedings of the 15th International Conference on Informatics in Control, Automation and Robotics (ICINCO 2018), Porto, Portugal, 29–31 July 2018; Volume 2, pp. 448–455. [Google Scholar]
Figure 1. Graphical representation of a K-FFA.
Figure 1. Graphical representation of a K-FFA.
Axioms 13 00308 g001
Figure 2. K-FFA for counting two DNA patterns.
Figure 2. K-FFA for counting two DNA patterns.
Axioms 13 00308 g002
Figure 3. Tentative L-fuzzy automata for counting two DNA patterns.
Figure 3. Tentative L-fuzzy automata for counting two DNA patterns.
Axioms 13 00308 g003
Disclaimer/Publisher’s Note: The statements, opinions and data contained in all publications are solely those of the individual author(s) and contributor(s) and not of MDPI and/or the editor(s). MDPI and/or the editor(s) disclaim responsibility for any injury to people or property resulting from any ideas, methods, instructions or products referred to in the content.

Share and Cite

MDPI and ACS Style

La Guardia, G.G.; Chagas, J.Q.; Lenzi, E.K.; Pires, L.; Zumelzu, N.; Bedregal, B. On Semi-Vector Spaces and Semi-Algebras with Applications in Fuzzy Automata. Axioms 2024, 13, 308. https://doi.org/10.3390/axioms13050308

AMA Style

La Guardia GG, Chagas JQ, Lenzi EK, Pires L, Zumelzu N, Bedregal B. On Semi-Vector Spaces and Semi-Algebras with Applications in Fuzzy Automata. Axioms. 2024; 13(5):308. https://doi.org/10.3390/axioms13050308

Chicago/Turabian Style

La Guardia, Giuliano G., Jocemar Q. Chagas, Ervin K. Lenzi, Leonardo Pires, Nicolás Zumelzu, and Benjamín Bedregal. 2024. "On Semi-Vector Spaces and Semi-Algebras with Applications in Fuzzy Automata" Axioms 13, no. 5: 308. https://doi.org/10.3390/axioms13050308

APA Style

La Guardia, G. G., Chagas, J. Q., Lenzi, E. K., Pires, L., Zumelzu, N., & Bedregal, B. (2024). On Semi-Vector Spaces and Semi-Algebras with Applications in Fuzzy Automata. Axioms, 13(5), 308. https://doi.org/10.3390/axioms13050308

Note that from the first issue of 2016, this journal uses article numbers instead of page numbers. See further details here.

Article Metrics

Back to TopTop