Abstract
This paper reports the research work carried out with the goal of geometrically and algebraically describing, as well as topologically classifying, the curves resulting from the intersection of a torus with families of parabolic and elliptical cylinders within a purely Euclidean framework. The parabolic cylinders under analysis have generatrices parallel to the axis of the torus, whereas the elliptical cylinders, centered at the same point as the torus, have axes either aligned with or orthogonal to the torus’s axis. For the topological classification of these intersection curves, we consider their number of connected components and self-intersection points. GeoGebra, which was used to create the 3D visual geometric representations of the intersection curves, and Maple, which was used to perform the essential symbolic algebraic calculations, were critical computational tools in the development of this work. Theoretical and computational approaches are interwoven throughout this study, with the computational work serving as the foundation for exploration and providing insights that contributed to the theoretical validation of the results revealed through GeoGebra simulations.
MSC:
51N20; 13P15; 14Q10; 65D18
1. Introduction
The surface intersection problem has been of great interest due to its wide-ranging applications in fields such as mathematics, physics, computer graphics, and computer-aided geometric design. Indeed, this area has captured the attention of researchers for decades due to its mathematical complexity and practical importance. As discussed by Tu et al. [1], there is a vast literature on the intersection of two quadrics, including classical results in algebraic geometry and modern results in computer-aided geometric design. The classical perspective develops within the framework of complex projective space, meaning that the results cannot be applied directly. The potential to efficiently calculate intersection curves between surfaces is important for CAD systems prioritizing design accuracy and precision, such as those used in mechanical components, architectural designs, aerospace structures, solid modeling, and robotics. For instance, Hanna emphasized the importance of accurately representing the intersection curve of two parametric surfaces [2], stating that “One must distinguish between finding the shape of the intersection curve, which might only be useful for display, and finding an accurate mathematical representation of the curve”. Such distinctions are critical for ensuring both practical usability and scientific rigor. The study of the intersection curves of a torus with a cylinder is also essential for the physical description and geometric modeling of toroidal sections of magnetic confinement devices, such as tokamaks, which have a toroidal shape [3].
Among the significant contributions to the study of torus intersections with other natural quadrics (spheres, right circular cylinders, and cones) [4,5] are those of Ku-Jin Kim [6], who developed a system to compute all circles within the intersection curves of two tori, and the Liu et al. algorithm [7] for determining the intersection curve, also between two tori. These foundational works laid the groundwork for tackling more complex intersection problems.
Research into the detection and classification of intersection curves between a torus and a natural quadric, incorporating geometric, algebraic, and topological approaches [8], is still in its early stages. Recently, however, there has been a shift toward integrating these diverse methodologies to leverage their respective advantages while mitigating their disadvantages, as seen in [4,9,10], which presented exact, robust, and practical methods for computing an explicit representation of the intersection of two arbitrary quadrics.
In this context, one particularly effective approach is the application of the subresultant theorem for multivariate polynomials. This method, supported by computational tools such as GeoGebra, namely, version 5.2.817.0-d (6 December 2023) [11], and Maple (March 2024) [12], allows for precise geometric visualization and symbolic algebraic computation.
The research work reported here is a follow-up to the study in [13], which considered intersections between a torus and families of non-natural quadrics, where the topological classification of the intersection curves of a torus with an ellipsoid was presented. Building upon these findings, we detail the methodology and procedures used to analyze, from geometric, algebraic, and topological perspectives, the intersection of a torus with families of parabolic and elliptical cylinders within a purely Euclidean framework. Due to the complexity of the problem, our analysis focuses on families of parabolic cylinders, with generatrices parallel to the torus’s axis, and families of elliptical cylinders, where the cylinder’s axis is either coincident with or orthogonal to the torus’s axis.
Our approach adopts the terminology and the subresultant method for multivariate polynomials described in [13] to develop an algorithm that effectively meets our objectives. We also use the 3D capabilities of GeoGebra to generate geometric representations of the intersection curves and Maple’s algebraic and symbolic tools to carry out the necessary algebraic computations within the developed algorithm.
The surface intersection problem has broad applications. In particular, intersections between a torus and a cylinder are important tools for mathematical modeling. Contributions to this topic have been made by Kim and Liu concerning the computing of intersection curves between torus and natural quadrics. Recent work has combined geometric, algebraic, and topological methods. This study extends previous research on torus intersections with non-natural quadrics, focusing on parabolic and elliptical cylinders.
To guide the reader through this work, in the following sections, we proceed with the algebraic characterization of the surfaces under study in Section 2. In Section 3, we present the algorithm that will provide an accurate representation of the intersection curves of the surfaces to classify them topologically by considering two families of quadrics. In the first case, we consider a family of parabolic cylinders whose axes are parallel and concentric with those of the torus in Section 4. In the second case, we address the intersection with a family of parabolic cylinders whose plane of symmetry is perpendicular to the equatorial plane of the torus in Section 5. We conclude this work with some considerations for future work.
2. Algebraic Characterization of the Surfaces Under Study
Let us begin by algebraically describing the surfaces involved in this research study:
- The torusLet be a torus centered at the origin, of the Cartesian coordinate system, with its axis along the z-axis.Denoting the radius from the center of the hole to the center of the torus tube by and the radius of the tube by , where , , can be described by the algebraic equation
- The family of elliptic cylinders, centered at with axes coincident to the torus’s axis.The elements of the family can be described algebraically by the equationwhere a and b are two positive real numbers.
- The family of elliptic cylinders centered at with axes orthogonal to the torus’s axis.Without loss of generality, we can limit the study to the family of elliptic cylinders, , centered at and axis . Accordingly, the elements of the family can be described algebraically by the equationwhere b and c are two positive real numbers.
- The family of parabolic cylinders with generatrices parallel to the axis of the torus .Considering the rotational symmetry of , we can limit our study, without loss of generality, to the family of parabolic cylinders , whose elements can be algebraically described by the equationwhere a and b are two positive real numbers.
3. Algorithm
In this section, we briefly present the procedure (algorithm) used to determine the intersection curve between the torus T and the elements of the elliptical and parabolic cylinder families under consideration. Roughly speaking, it involves the geometric and topological properties of the intersection curve’s projection onto a 2D plane, the analysis of its critical and singular points, and, based on this analysis, the reconstruction of the intersection curve in 3D space, ensuring accurate and algebraically correct computations at each step, as follows:
- Compute the squarefree polynomial corresponding to the resultant of the two surface polynomial equations, in terms of z. This step allows the projection of the intersection curve onto the -plane to be described.
- Describe the admissible region , contained in the intersection of the projections of the two surfaces onto the -plane. This region contains the cutcurve, part of the curve that lies within .
- Compute the critical points of the curve which are determined by the roots of the resultant , and detect its singular points by solving . This step is essential for the subsequent lifting step.
- Compute the regular points of the curve that lie on the critical lines. The lifting of these regular points is performed using the implicit torus or the corresponding quadric equation.
- Compute the points of the cutcurve that lie in the silhouette curves (the outer boundary of the projected surfaces onto the -plane). These points will never be lifted.
- Use the previously computed information to determine the topology of the curve.
- Compute the branches of the cutcurve inside the admissible region using closed formulae involving radicals.
- Obtain the intersection curve of the two considered surfaces by lifting the branches of the cutcurve using parametric equations of the torus.For a more detailed explanation of this algorithm, see [9,13].
4. The Intersection Curves of the Torus with the Cylinder Families and
The study of the intersection curves resulting from the intersection of the torus with the previously specified families of cylinders is carried out separately for each of the families.
4.1. The Case
Following the procedure described in Section 3, we start by computing the projection of the intersection curve of with the elliptic cylinder onto the -plane.
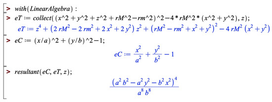
Consider
where
,
, and .
Thus, the resultant is represented by the squarefree polynomial
Also, using Maple, is computed, as shown in Figure 1.
Figure 1.
Maple computations.
The cutcurve is contained within the admissible region which, in turn, is contained within the region
Using the geometric representation and CAS functionalities of GeoGebra, complemented by the symbolic computation power of Maple and applying the strategies described in [13], we can explore all possible configurations for the case under study by considering the viable variations of the parameters a and These configurations are detailed in Table 1.
Table 1.
Geometric representations and topological properties (number of connected components and self-intersection points) of .
Next, we present the results for all admissible variations of the parameters a and b. It is important to emphasize that the methodology used guarantees the mathematical validity of the stated conclusions. The geometric representations are corroborated by symbolic algebraic computations, and vice versa.
4.1.1. First, Assume That
We consider the following cases:
- If , the cylinder is inside the torus hole, and so the intersection of the two surfaces is the empty set (Figure 2a).
- If , the cylinder touches the torus tangentially at the points (Figure 2b). The intersection set is composed of these two isolated points.
- If , the intersection curve has two connected components (Figure 2c).
- If , the intersection curve has two connected components, each with a self-intersection at coordinates (Figure 2d). In this case, the outer equatorial circle of the torus tangentially touches the cylinder at the specified points.
- If , the intersection curve has four connected components (Figure 2e).
Figure 2.
The cases corresponding to , according to the values of b.
4.1.2. Next, Assume That
It is important to note that, under this assumption, the points will invariably be included in the intersection set of the two surfaces.
We consider the following cases:
- If , the intersection set is composed of two points (Figure 3a), corresponding to the points where the inner equatorial circle of the torus tangentially touches the cylinder.
- If , the cylinder tangentially touches the torus at the points of its inner equatorial circle, which corresponds to the intersection of the two surfaces (Figure 3b).
- If , the intersection curve is connected and has two self-intersection points, specifically the points mentioned at the very beginning of our discussion (Figure 3c).
- If , the intersection curve is connected with four self-intersection points. In addition to the previously mentioned points, which correspond to where the torus’s inner equatorial circle tangentially touches the cylinder, it also includes the points (Figure 3d), corresponding to the points where the torus’s outer equatorial circle touches the cylinder.
- If , the intersection curve consists of two connected components, each with one self-intersection point (Figure 3e).
Figure 3.
The cases corresponding to , according to the values of b.
4.1.3. Now, Let Us Consider
We consider the following cases:
- For and , the intersection curve is composed of two connected components (Figure 4a,c,e) without self-intersection points.
Figure 4.
The cases corresponding to , according to the values of b.
4.1.4. Now, Let Us Assume That
In this case, the points will inevitably be the points of intersection of the two surfaces.
We consider the following cases:
- If , the points are the self-intersection points of the intersection curve. This curve has two connected components (Figure 5a).
- For , the intersection curve is a connected component with four self-intersection points at and (Figure 5b).
- If , the intersection curve is connected with two self-intersection points at (Figure 5c).
- If , the cylinder tangentially touches the torus at any point of the torus’s outer equatorial circle (Figure 5d).
- If , we have a tangential intersection at the two points (Figure 5e).
Figure 5.
The cases corresponding to , according to the values of b.
4.1.5. Finally, Let Us Assume That
We consider the following cases:
- If , the intersection curve has four connected components (Figure 6a).
- If , the curve has only two connected components, each with a self-intersection point at (Figure 6b).
- If , the intersection curve only has two connected components and no self-intersection points (Figure 6c).
- If , the cylinder tangentially touches the torus at the points with coordinates (Figure 6d).
- If the torus is inside the cylinder, and so no common points exist between the two surfaces (Figure 6e). The intersection set is the empty set.
Figure 6.
The cases corresponding to , according to the values of b.
4.2. The Case
This section provides the geometric and topological perspective of the intersection curve, , for all admissible values of the parameters b and c, applying the procedure described in Section 3. As in the previous case, the focus is on the number of connected components and self-intersection points of these curves.
Table 2 presents the possible configurations for the intersection curve for the case under study, considering the variations and conditions imposed on the parameters and . Next, we provide a detailed analysis of each of them.
Table 2.
Case : connected components (c.c.); self-intersection points (a.p.).
4.2.1. First, Assume That
We consider the following cases:
Figure 7.
The cases corresponding to , according to the values of b.
4.2.2. Now, Assume That
We consider the following cases:
- For the intersection curve is a connected component with four self-intersection points (Figure 8c).
Figure 8.
The cases corresponding to , according to the values of b.
4.2.3. Finally, Let Us Consider
We consider the following cases:
- For (Figure 9a), the intersection curve has four connected components and no self-intersection points.
- For (Figure 9c), the intersection curve has two connected components and no self-intersection points.
- For , the curve is also formed by two connected components, with two self-intersection points at , one in each component (Figure 9b).
Regarding the case where , two situations may occur: either the torus is inside the cylinder (Figure 9f) or the intersection curve is formed by four connected components (Figure 9g).

Figure 9.
The cases corresponding to , according to the values of b.
5. The Case
The methodology used for the geometric representation, algebraic description, and topological properties of the intersection curve of the torus with parabolic cylinders whose generatrices are parallel to the axis of is once again based on the algorithm described in Section 3.
For each the resultant of the two surface polynomial equations in terms of z is a parabola lying in the -plane, defined by
So, the admissible region , the region bounded by the projection of the two surfaces onto the -plane, is the intersection between the circular crown
and the parabola defined in (5).
contains the cutcurve (part of the curve in ), which contains the projection in the -plane of the intersection curve, , of the two surfaces. In Figure 10, particular cases of the admissible region are presented, considering the torus and the corresponding values of a and b mentioned there.
Figure 10.
considering and for various values of a and b.
The information needed to topologically classify depends on the nature and number of intersection points between the boundary of the circular crown and the parabola defined by Equation (5). We can compute the branches of the cutcurve using closed formulas involving radicals, and obtain, from there, the intersection curve of the two considered surfaces by lifting the branches of the cutcurve using the parametric equations of the torus (see [13]).
Analyzing the two equation systems and the solutions are given, respectively, by and , where is given by
and is given by
note that and are the roots of the polynomials
and
respectively.
The discussion of the number of solutions depends on the analysis of the discriminant
It is crucial to keep in mind that the solutions to the two systems are not independent; rather, they are inherently interdependent and closely tied to the variations of the parameters a and b.
For our discussion, we also need to consider the two boundary conditions
and
Conditions (9) and (10) give us the cases where the resultant is tangent, respectively, to the inner and the outer circle of .
Following the strategy described in Section 4.1 and Section 4.2, we can sketch a diagram representing the topological behavior of according to the parameters a and b, as illustrated in Figure 11.
Figure 11.
Map of parameters regarding the number of connected components.
Let us now analyze the cases where belongs to the graphs of or .
For points in the admissible region belonging to the graph of , it can be algebraically verified that the silhouette curves always intersect at four points, two of which are self-intersection points of the intersection curve, except for the values and . In the latter case, the intersection of the curves of the silhouette corresponds to three points: two on the outer curve and one on the inner curve of the silhouette curve of . This happens since a root of the quartic equation in the variable y (see line 7 of the symbolic algebraic computations illustrated in Figure 12a), has multiplicity 2, defining the self-intersection point of the intersection curve, in addition to the points
Note also that one of the solutions of the quartic equation in the variable y, , has complex solutions in the variable x (see lines 10 and 11 of Figure 12a) and should not be considered for the intersection curve of the surfaces in . This situation is also observed using GeoGebra’s computational and graphic functionalities (see Figure 12b), following a specific process of parametrization [13].

Figure 12.
Algebraic computations and graphical output for .
For the limit curve , it can be verified algebraically, considering only solutions in , that the silhouette curves always intersect at two points, which, after the lifting to the torus, correspond to two connected components of the intersection curve with coordinates except for the parameter values and . In this case, the silhouette curves intersect at only one point: the point , which corresponds, after lifting, to a connected component defined by the point . It should be noted that if and , the degenerates into two parallel planes tangent to at . In fact, along the limit curve , the resultant remains tangent to the outer curve of the silhouette curve of . By performing the algebraic computations in Maple, we can obtain the graphical representations in the GeoGebra application (Figure 13).
Figure 13.
GeoGebra application, with and .
In summary, first, let us assume that is a point on the graph. In this case, one has the following:
- If , then has three connected components ();
- If , then has three , one of which is the point ;
- If , then has one , and is a self-intersection point of the intersection curve.
Observe that , which corresponds to a degeneration of into the union of two parallel planes tangent to the inner equatorial circle of . Here, tends to two Bernoulli lemniscates.
Now, let us assume that is a point on the graph of .
In this case, one has the following:
- If , then has two connected components (two ), and the two points are tangent to ;
- If , then with one
We also note that In this case, tends to the set , which geometrically corresponds to a degeneration of into the union of two parallel planes.
Let be the intersection curve containing the point . In this case, one has the following:
- If , then is one of three of ;
- If , then is a self-intersection point of a curve with one (see Figure 14d);
- If , then approaches a curve with three the union of with a circle of radius . Note that tends to a semi-plane.
Assuming that the intersection curve contains the point . In this case, one has the following:
- If then has two , and is an intersection point;
- Ifthen has one and three self-intersection points, namely , , and ;
- If , then has one , reduced to a singular point, ;
- If , then approaches a curve with two , the union of two circles of radius (the intersection of with the -plane).
Figure 14.
Several examples of .
Taking into account the study presented here, which corresponds to the variations and interdependence of the parameters a and b within the limits of the map defined in Figure 10, the complete topological classification of is presented in Table 3, with respect to the number of connected components.
Table 3.
Number of connected components and self-intersection points of .
In Figure 15, we show the evolution of the shapes of , considering .
Figure 15.
The intersection curve , considering the surfaces and .
6. Conclusions
In this study, we present a method for topologically classifying the intersection curve between a torus and specific families of elliptical and parabolic cylinders. The employed methodology makes use of an algorithm that analyzes the projection of the intersection curve onto a plane, examines its critical and singular points, and lifts it within a combined geometric, algebraic, and computational approach.
The employed methodology can be extended to other surfaces, opening up significant opportunities for advancing the mathematical knowledge and understanding of surface-to-surface intersections. The broad applicability of the algorithm has the potential to drive further breakthroughs in both theoretical and applied mathematics, promoting the development of new approaches to complex geometric problems.
By expanding the scope of this research to include additional surfaces, we can further clarify our understanding of complex surface interactions.
Advances in this topic have the potential to enhance precision in industrial design, improve simulation accuracy in robotics, and optimize computational processes in architectural modeling.
Algorithms that employ floating-point arithmetic to address this problem can achieve low running times but are sensitive to rounding errors, which can compromise their correctness [9]. In contrast, symbolic methods guarantee accurate results because they rely on exact arithmetic—provided the quadrics are precisely defined—but they typically exhibit significantly lower performance compared to numerical techniques. The proposed algorithm overcomes these difficulties by using exact algebraic expressions, enabling the determination of points where singularities exist on the intersection curves of the surfaces. Topologically classifying the intersection curves between toric surfaces and families of quadric surfaces requires a study that has not been generally possible and has been limited to specific families of quadrics, suggesting that it may be possible to obtain the classification in the general case.
Future work should continue to explore and characterize the intersection of the yorus with other families of quadrics.
Author Contributions
Conceptualization, A.B., A.T. and J.D.S.; Methodology, A.B., A.T. and J.D.S.; Investigation, A.B., A.T. and J.D.S. All authors have read and agreed to the published version of the manuscript.
Funding
This research was supported by the Center for Research and Development in Mathematics and Applications (CIDMA) through the Portuguese Foundation for Science and Technology (FCT—Fundação para a Ciência e a Tecnologia), references UIDB/04106/2020 (https://doi.org/10.54499/UIDB/04106/2020 (accessed on 15 October 2024)) and UIDP/04106/2020 (https://doi.org/10.54499/UIDP/04106/2020 (accessed on 15 October 2024)).
Data Availability Statement
Not applicable.
Conflicts of Interest
The authors declare no conflicts of interest.
References
- Tu, C.; Wang, W.; Wang, J. Classifying the nonsingular intersection curve of two quadric surfaces. In Proceedings of the Geometric Modeling and Processing. Theory and Applications, GMP 2002, Wako, Japan, 10–12 July 2002; GMAP-02. IEEE Computer Society: Washington, DC, USA, 2002; pp. 23–32. [Google Scholar] [CrossRef]
- Hanna, S.; Abel, J.; Greenberg, D. Intersection of Parametric Surfaces by Means of Look-Up Tables. IEEE Comput. Graph. Appl. 1983, 3, 39–48. [Google Scholar] [CrossRef]
- Pironti, A.; Walker, M. Fusion, tokamaks, and plasma control: An introduction and tutorial. IEEE Control Syst. Mag. 2005, 25, 30–43. [Google Scholar] [CrossRef]
- Kim, K.J.; Kim, M.S.; Oh, K. Torus/Sphere Intersection Based on a Configuration Space Approach. Graph. Model. Image Process. 1998, 60, 77–92. [Google Scholar] [CrossRef]
- Kim, M.S. Intersecting surfaces of special types. In Proceedings of the Shape Modeling International ’99. International Conference on Shape Modeling and Applications, Aizu-Wakamatsu, Japan, 1–4 March 1999; pp. 122–128. [Google Scholar] [CrossRef]
- Kim, K.J. Circles in torus–torus intersections. J. Comput. Appl. Math. 2012, 236, 2387–2397. [Google Scholar] [CrossRef]
- Liu, X.-M.; Liu, C.-Y.; Yong, J.H.; Paul, J.C. Torus/Torus Intersection. Comput.-Aided Des. Appl. 2011, 8, 465–477. [Google Scholar] [CrossRef][Green Version]
- Li, Q.; Zhang, S.Y.; Ye, X. Algebraic Algorithms for Computing Intersections between Torus and Natural Quadrics. Comput.-Aided Des. Appl. 2004, 1, 459–467. Available online: https://api.semanticscholar.org/CorpusID:121808748 (accessed on 15 October 2024). [CrossRef]
- Gonzalez-Vega, L.; Trocado, A. Tools for analyzing the intersection curve between two quadrics through projection and lifting. J. Comput. Appl. Math. 2021, 393, 113522. [Google Scholar] [CrossRef]
- Dupont, L.; Lazard, D.; Lazard, S.; Petitjean, S. Near-optimal parameterization of the intersection of quadrics. In Proceedings of the SCG ’03, San Diego, CA, USA, 8–10 June 2003; Available online: https://api.semanticscholar.org/CorpusID:26759864 (accessed on 15 October 2024).
- Trocado, A.; Gonzalez-Vega, L.; Dos Santos, J.M. Intersecting Two Quadrics with GeoGebra. In Algebraic Informatics; Ćirić, M., Droste, M., Pin, J.É., Eds.; Springer: Cham, Switzerland, 2019; pp. 237–248. [Google Scholar] [CrossRef]
- Gonzalez-Vega, L.; Trocado, A. Using Maple to Compute the Intersection Curve of Two Quadrics: Improving the Intersectplot Command. In Maple in Mathematics Education and Research; Gerhard, J., Kotsireas, I., Eds.; Springer: Cham, Switzerland, 2020; pp. 92–100. [Google Scholar] [CrossRef]
- Breda, A.M.R.D.; Trocado, A.E.B.d.S.; Dos Santos, J.M.D.S. Torus and Quadrics Intersection Using GeoGebra. In ICGG 2020—Proceedings of the 19th International Conference on Geometry and Graphics; Cheng, L.Y., Ed.; Springer: Cham, Switzerland, 2021; pp. 484–493. [Google Scholar] [CrossRef]
Disclaimer/Publisher’s Note: The statements, opinions and data contained in all publications are solely those of the individual author(s) and contributor(s) and not of MDPI and/or the editor(s). MDPI and/or the editor(s) disclaim responsibility for any injury to people or property resulting from any ideas, methods, instructions or products referred to in the content. |
© 2024 by the authors. Licensee MDPI, Basel, Switzerland. This article is an open access article distributed under the terms and conditions of the Creative Commons Attribution (CC BY) license (https://creativecommons.org/licenses/by/4.0/).