Abstract
The decision tree algorithm is widely used in various classification problems due to its ease of implementation and strong interpretability. However, information in the real world often has uncertainty and partial reliability, which poses challenges for classification tasks. To address this issue, this paper proposes a fuzzy decision tree based on fuzzy rough sets and Z-numbers, aimed at enhancing the decision tree’s ability to handle fuzzy and uncertain information. In the aspect of rule extraction, we combine the fuzzy rough set model to propose a fuzzy confidence based on lower approximation as a metric for attribute selection, effectively addressing the role of imprecise knowledge in classification. In terms of the tree structure, the concept of Z-numbers is introduced, specifically focusing on the fuzzy constraint reliability B, making the information representation more aligned with human evaluation habits, as well as using Z-number rules to replace traditional fuzzy rules in constructing the fuzzy decision tree. Furthermore, as generating Z-numbers still presents certain challenges, this paper also establishes a method for reasonably generating Z-numbers in situations with limited information, utilizing the generated fuzzy constraint reliability B to adjust fuzzy numbers A. Finally, the proposed decision tree algorithm is experimentally compared with other classifiers, and the results indicate that this algorithm demonstrates higher classification accuracy and a more concise tree structure when handling datasets containing fuzzy and uncertain factors. This research enriches the existing research on fuzzy decision trees and shows greater potential in solving practical problems.
MSC:
03B52; 03E72; 62C86
1. Introduction
In the information age, technologies such as internet applications, smart mobile devices, satellites, and medical equipment are rapidly accumulating vast amounts of data, leading to an explosion of data across almost all disciplines. In the field of data mining research, there is a shift from merely gathering and querying data to emphasizing the rapid and efficient extraction of hidden information from data, which can be applied in various areas of research.
The decision tree algorithm is one of the most widely used classification algorithms, employed to learn classification systems and extract rules from a set of training samples [1]. It constructs a tree structure in a top-down recursive manner, where the path from the root node to the leaf node represents a rule [2]. In 1986, Quinlan, at the University of Sydney, introduced the famous ID3 algorithm [3], which uses the information gain of entropy at each node as a heuristic to select attributes for expanding the nodes. A decision tree is easy to implement, can handle large-scale data, and the extracted rules have strong interpretability.
However, real-world problems often involve uncertainties related to human thought processes within knowledge representation systems. The classic decision tree algorithm is highly sensitive to small changes in the data, making it difficult to handle such uncertainties. The introduction of fuzzy decision trees [4] has enabled decision trees to manage fuzzy and uncertain datasets. The fuzzy ID3 algorithm, proposed by Umano and others, is a direct extension of the ID3 algorithm [5], capable of efficiently handling large-scale learning tasks by using average fuzzy classification entropy as the criterion for selecting attributes to expand. In recent years, an increasing number of scholars have dedicated their research to fuzzy decision trees.
In constructing fuzzy rough decision trees, Bhatt and Gopal [6] used fuzzy rough dependency as the criterion for evaluating attributes. Olaru and Wehenkel [7] proposed a new fuzzy decision tree, known as the soft decision tree. Han [8] implemented a three-way classification mechanism by combining fuzzy decision trees with the expression of uncertainties related to classification results. Wang [9] introduced a fuzzy rule based decision trees (FRDT). This algorithm extracts fuzzy rules based on fuzzy confidence and subsequently constructs the decision tree using these rules, leading to leaf nodes with higher purity.
Traditional fuzzy decision trees consider only one attribute at each node, whereas FRDT proposed by Wang can take multiple attributes into account simultaneously at each node, resulting in a smaller tree size and higher accuracy. Additionally, it only considers the unique non-leaf nodes at each level of the tree, eliminating the need for iterative generation. Therefore, this study focuses on optimizing the decision trees based on fuzzy rules from two aspects, rule extraction and tree structure, and constructs a new fuzzy decision tree based on fuzzy rough sets and Z-number rules (FR-ZRDT).
In terms of rule extraction, the core is the criterion for attribute selection. This study integrates fuzzy rough set theory and presents a new definition of fuzzy confidence based on lower approximation () as the criterion for attribute selection. In 1990, Dubois and Prade first introduced the concept of fuzzy rough sets in the literature [10], extending equivalence relations to fuzzy relations and constructing the earliest fuzzy rough set model based on min and max fuzzy logic operators [11]. Fuzzy rough set theory has developed over the recent three decades and is regarded as an important mathematical tool for granular computing and uncertainty reasoning [12,13]. In 2011, Zhai [14] proposed a fuzzy rough decision tree algorithm based on fuzzy rough sets, ingeniously combining the roughness of knowledge with the fuzziness of data. Later, Hu [15] proposed a fuzzy rough decision tree algorithm that can simultaneously handle discrete, continuous, or fuzzy datasets. Wang, based on compatible fuzzy rough sets [16], proposed a fuzzy decision tree induction algorithm called the tolerance rough fuzzy decision tree (TRFDT). Currently, the research on combining fuzzy rough set theory with decision trees has been widely discussed and applied, significantly enriching the application of fuzzy rough sets in classification problems.
In terms of structure of the decision tree, the extracted fuzzy IF-THEN rules will serve as the basic units for constructing the decision tree, resulting in a decision tree based on fuzzy rules. The introduction of Z-numbers allows for a better expression of the partial reliability of uncertain information [17]. Since uncertain information in the real world often possesses the characteristic of partial reliability, when we estimate a value of interest—such as assumptions, knowledge, intuition, or experience—whether the information is precise or fuzzy, it is impossible to make an absolutely reliable judgment.
Therefore, the founder of fuzzy logic, L.A. Zadeh, introduced the concept of Z-numbers in 2011 [18]. This concept considers the reliability of fuzziness while applying fuzzy constraints to the examined variables, denoted as , to describe the information of the variable X [19]. Here, A is the first fuzzy number, representing the uncertainty constraint on the variable A, while the second fuzzy number B is used to measure the reliability of the first fuzzy number A. For example, “The average height of men in a certain area is around 170 cm”, “likely”), where A = “The average height of men in a certain area is around 170 cm”, and B = “likely”.
In recent years, research on the theory and application of Z-numbers has been extensively developed. Professor Aliev has made significant contributions to the theory of Z-numbers. In 2015, he first defined the basic arithmetic operations for Z-numbers, such as addition, subtraction, multiplication, and division [20,21]. In 2020, he researched the eigenvalues and eigenvectors of Z-matrices [22] to address the partial reliability of information contained in Z-matrices for practical problems.
Kang [23] first proposed the conversion of Z-numbers to classical fuzzy numbers. This idea has been thoroughly studied and widely applied. Z-numbers have gradually become a powerful tool for describing decision-making information. In 2016, Alieve [24] defined the Z-valued t-norm and t-conorm operators to aggregate decision information. Wang [25] proposed a linguistic variable-based Z-number multi-attribute decision-making method in conjunction with the Choquet integral. Mao introduced a Z-TOPSIS model in [26], which is based on an improved Z-number distance measure and can aggregate the decision matrices of multiple decision makers. Subsequently, Professor Aliev proposed an approximate reasoning method based on IF-THEN rules using Z-number information in [27], significantly expanding the application scope of Z-numbers. However, a challenging and key issue in decision-making problems based on Z-numbers is the computation of Z-numbers. Therefore, this study proposes an algorithm to reasonably generate Z-numbers based on limited information, utilizing Z-numbers to extend classical fuzzy numbers and applying them to fuzzy decision trees.
The main innovations of this paper are as follows:
- (1)
- By integrating fuzzy rough set theory, a new rule extraction algorithm (FR-ZREA) is designed: a new definition of fuzzy confidence based on lower approximation is provided, which is used as a criterion for attribute selection in the rule extraction process.
- (2)
- A new method for generating Z-numbers is established: it can reasonably generate Z-numbers based on limited information, and corresponding adjustment methods are provided to enhance the reliability of the membership functions.
- (3)
- A new fuzzy decision tree algorithm (FR-ZRDT) is designed: a decision tree based on fuzzy rough sets and Z-number rules, which demonstrates improved performance in terms of structure and classification accuracy.
The structure of this study is as follows: Section 2 reviews the basic concepts related to fuzzy rough sets and Z-numbers. Section 3 constructs the generation method of Z-numbers and the method for adjusting fuzzy number A using fuzzy number B. Section 4 designs a rule extraction algorithm based on fuzzy rough sets and constructs a new fuzzy decision tree based on fuzzy rough sets and Z-number rules. Section 5 conducts experiments using datasets, comparing the FR-ZREA with other classifiers in terms of classification accuracy, and comparing the FR-ZRDT with other decision trees in terms of structure and classification accuracy, followed by statistical tests. Finally, Section 6 summarizes the work of this paper.
2. Preliminaries
2.1. Fuzzy Rough Sets
Fuzzy rough sets are an extension of rough sets that integrate fuzzy sets with rough sets, capable of handling both fuzziness in information and roughness in knowledge. Fuzzy rough sets deal with a fuzzy decision information table. The fuzzy rough set deals with a fuzzy decision information table, denoted as , where represents the conditional attributes and represents the decision attribute.
Definition 1
([28]). Let X and Y be non-empty sets, with being the Cartesian product of X and Y. Then, a fuzzy relation R from X to Y is defined as . For every , the membership degree represents the degree to which the element x is related to the element y with respect to the relation R. In particular, represents a fuzzy relation on X.
Definition 2
([29]). In the universe of discourse U, the following conditions are satisfied:
- (1)
- Reflexivity: For , .
- (2)
- Symmetry: For
- (3)
- Transitivity: For
The fuzzy relation R on U is denoted as a fuzzy equivalence relation, constituting a fuzzy approximation space . The fuzzy equivalence classes form a partition of the universe U.
Definition 3
([10]). For a fuzzy decision information table, , and denotes the fuzzy equivalence class. For the lower and upper approximations of X with respect to R are defined, respectively, as follows:
Then, is referred to as a fuzzy rough set.
Subsequently, the theory of fuzzy rough sets has received extensive discussion and application, leading to the proposal of various extension models based on fuzzy operators, summarized as follows [30,31]. However, the basic meaning of upper and lower approximation in these rough set models remains the same. The lower approximation reflects the degree of membership of samples that certainly belong to the conditional attribute A.
Due to the significant advantages of fuzzy rough sets in handling uncertain and incomplete data, for classification tasks, given a , the degree to which each sample , that is, the larger , the smaller the classification uncertainty of the sample. Therefore, decision trees based on fuzzy rough sets often choose , fuzzy positive regions, and other criteria as classification standards, allowing for better judgment of the importance of a certain conditional attribute to the decision attribute, thus enabling the extracted rules, which better describe that class of samples. Section 4 of this work focuses on attribute selection based on fuzzy lower approximation. By integrating the theory of fuzzy rough sets with decision trees, novel criteria for attribute selection are proposed.
2.2. Z-Number
Definition 4
([18]). A Z-number is an ordered pair of fuzzy numbers,
The first fuzzy number A is utilized to restrict the values of the variable, with its membership function denoted by . The second fuzzy number B serves to measure the reliability of the first fuzzy number A, and it is represented by a membership function .
Definition 5
([32]). Assume X is a random variable, and X and A represent a fuzzy event on R, denoted as
The possibility p of this fuzzy event occurring is expressed as
Among them, is the underlying probability distribution of variable X, which is typically unknown. The parameter B in a Z-number is a constraint on A in terms of a probability measure; therefore, it can be defined as
In other words,
Example 1.
Here is an example of a Z-number: (“Xiaoming’s chemistry score is around 90, very likely”). This example can be represented as a Z-number, where the fuzzy number A = “Xiaoming’s chemistry score is around 90”, and B = “very likely”. As shown in Figure 1.
Figure 1.
The underlying probability.
3. Generation and Adjustment Method of Z-Number
A Z-number combines objective information from natural language with human subjective understanding, taking into account both the fuzziness of the information and the reliability of that fuzziness [33]. When generating a fuzzy decision tree, incorporating Z-numbers allows the derived rules to include more specific information. Additionally, by using the fuzzy constraint reliability B to adjust the membership function A, the next layer of the decision tree can be generated more accurately.
3.1. Generation of Z-Number
As an extension of classical fuzzy numbers, a Z-number includes the description of the reliability of fuzzy constraints, which more closely aligns with human thinking. However, currently, the information used to generate a Z-number is primarily provided directly by domain experts, leading to significant subjectivity [34], and there are relatively few available references. A prominent issue is that the calculations are quite complex, making it less practical for application in real engineering problems. Therefore, establishing a method to reasonably generate Z-numbers based on limited information is of great importance for the subsequent handling of uncertain information.
From the definition of a Z-number, it can be seen that the fuzzy number A restricts the value of the variable X, which is calculated using the membership function from classical fuzzy sets. Assume the training dataset X is an matrix, where n is the number of samples and m is the number of conditional attributes. represents the j-th column of X, which is the j-th attribute of X. denotes the i-th sample of X. Suppose dataset X contains c different classes, denoted as .
3.1.1. The Generation of Fuzzy Number A
represents the -th fuzzy number defined by the j-th attribute, and it is a trapezoidal fuzzy number, denoted by . The membership functions of the generated fuzzy numbers are shown in Figure 2. The fuzzy numbers on the sides adopt trapezoidal membership functions, while the fuzzy number in the middle adopts a triangular membership function.
Figure 2.
The underlying probability.
The symbol denotes the -th smallest element within the set , where represents the average value of all samples belonging to class of the j-th attribute, as shown in Equation (8):
3.1.2. The Generation of the Fuzzy Constraint B
Since the underlying probability is often unknown, the key to the generation method of a Z-number lies in providing a representation method for the reliability of the fuzzy constraint B.
First, identify the misclassified points based on the extracted rule R. For any , if its average membership degree and the predicted decision attribute does not equal to the actual decision attribute , then is considered a misclassified sample point. Let denote the set of misclassified samples.
Definition 6.
The average membership degree of sample is defined as follows:
where ω represents the number of fuzzy conditional attributes contained within rule , while denotes the membership degree of , .
Second, according to the meaning of a Z-number, the second fuzzy number B represents the reliability of the fuzzified element, which is the reliability of A. Given the initial value of the fuzzy number B as , for each sample in the set N, obtain the degree to which each belongs to the membership function using Equation (10).
Definition 7.
Let = , where represents the ω-th smallest element within . It divides the into different intervals, . Then,
where is the range distance, and is the distance from the sample to the midpoint of the range.
Finally, the iterative calculation used to obtain each membership function A corresponds to . The smaller the value of , the less adjustment is needed for membership function A, which indicates that the reliability of A is higher. The overall algorithm is shown in Algorithm 1.
| Algorithm 1 The fuzzy constraint B calculation algorithm (). |
|
3.2. Adjustment Based on Z-Number
In the process of constructing a fuzzy decision tree, the fuzzy numbers used are generated from classical fuzzy numbers, and the sample space they cover is fixed. However, when the distribution range of samples in different categories varies significantly, classical fuzzy numbers may cover a larger number of incorrect samples. Therefore, a Z-number can be used to extend classical fuzzy numbers, adjusting the space covered by the fuzzy numbers to maximize the coverage of correct samples.
For , let A be a fuzzy set regarding the variable , where , and . B is a fuzzy set regarding the reliability of A, with its membership function , where , and . According to Algorithm 1, a Z-number is generated, where A is a trapezoidal membership function denoted as , and B is a triangular membership function, denoted as , as shown in Figure 1. After generating a Z-number based on the information in the dataset, the coverage of the fuzzy number A is adjusted; the higher the reliability, the larger the sample space it can cover. If the reliability is partial, the sample space it covers should be proportionally reduced. Therefore, a second fuzzy number B can be used to enhance the reliability of the membership function. Firstly, according to Definition 8, convert the second fuzzy number B into a crisp number .
Definition 8
([35]). When , is the membership function of the fuzzy constraint reliability , and , then
if , .
Definition 9.
For , where A = , after adjusting A using B, the adjusted fuzzy number is denoted as , where
Example 2.
As shown in Figure 3, a certain dataset contains three categories, with membership function and its reliability B being , represented as a Z-number as follows:
Figure 3.
Coverage domain of A by B adjustment.
From Figure 3, it can be seen that sample x belongs to class 2, but . Therefore, the coverage domain of A is adjusted using B.
First, convert reliability B into a crisp number according to Formula (11).
According to Definition 9, adjust the first fuzzy number A using the second fuzzy number B, as follows:
Therefore, , as shown in Figure 3. At this time, .
The range of the adjusted membership function changes. At this point, the membership degree of each conditional attribute is recalculated. The reliability of A correspondingly increases, which helps provide a more reliable classification basis for subsequent samples.
4. Fuzzy Decision Tree Based on Fuzzy Rough Set and Z-Number Rules
The proposed fuzzy decision tree mainly consists of a rule extraction algorithm and a tree generation algorithm, integrating fuzzy rough set theory and a Z-number. The rules generated by the rule extraction algorithm can be directly used as a classifier to classify the dataset.
4.1. Rule Extraction Algorithm Based on FR_Conf
When constructing a fuzzy decision tree, the IF-THEN rules can be used to represent the principal characteristics of classes. These fuzzy rules are more user-friendly and have significant implications for data mining and prediction.
Let , where denotes the r-th fuzzy number of the conditional attribute . Then, the formula for the fuzzy rule R is
R: IF xi is f1,r, f2,r, ⋯, fm,r, THEN xi belongs to class l.
By performing logical conjunction operations on all the fuzzy numbers in the antecedent of the rules, denoted as and represented by the symbol A, the fuzzy IF-THEN rules can be further rewritten as
R: IF xi is A, THEN belongs to class l.
Fuzzy IF-THEN rules have strong interpretability, as they can not only classify data directly based on fuzzy rules but also be applied in the construction of decision trees, directly affecting the size of the decision tree and the accuracy of classification. By incorporating a Z-number, it is possible to better describe uncertain and partially reliable information, and through the second fuzzy number B, adjust the first fuzzy number A to better fit the data. The core of rule extraction lies in the criteria for attribute selection. The classic form of fuzzy association rules is , and support and confidence are commonly used to measure the degree of association between M and N.
Definition 10
([36]). The definitions of support and confidence are as follows:
where M and N represent the attributes in the association rule, and denotes the number of elements in a set.
With the development of fuzzy set theory, fuzzy support and fuzzy confidence are used as evaluation criteria for fuzzy IF-THEN rules. Fuzzy rough sets, an extension of rough sets, combine fuzzy sets and rough sets, allowing them to handle both the fuzziness of information and the roughness of knowledge. While applying the fuzzy rough set model to study classification problems, we extend the two methods from Definition 10 and propose fuzzy confidence based on the lower approximation.
Definition 11.
The fuzzy support and fuzzy confidence based on the lower approximation are defined as follows:
The symbol represents the fuzzy set . The larger the value of , the more suitable the fuzzy set A is for describing class l. represents the lower approximation of fuzzy set A.
In order to ensure that the number of condition attributes contained in the antecedent of the corresponding fuzzy IF-THEN rules is moderate, use as the criterion for attribute selection. An algorithm that is both computationally efficient and capable of effectively extracting fuzzy rules will be designed, referred to as the FR-ZREA. The specific steps are as follows:
- For the samples of class l, calculate its fuzzy confidence using Formula (19): for , compute the value of fuzzy confidence. The larger the value of , the more suitable the fuzzy conditional attribute is for describing class l.
- Select the top fuzzy numbers with the highest values and place them into set , where and , and represents the fuzzy set , which is the antecedent of the fuzzy rule. Moreover, the values of are all adjusted by a Z-number.
- Determining the value of , .
The variable indicates the maximum number of fuzzy conditional attributes that can be included in a rule, . As increases, it implies that the antecedent part of the fuzzy rule includes more fuzzy attributes. Therefore, the extracted rules can describe fewer samples, leading to higher classification accuracy, but there might be a risk of overfitting. The overall algorithm is given in Algorithm 2.
The FR-ZRDT extracts the most significant features of each class using only a single fuzzy IF-THEN rule, and each fuzzy rule consists of only a few fuzzy numbers. Therefore, the antecedent fuzzy set of the fuzzy IF-THEN rule has a relatively clear semantic interpretation and can capture the most important features of each class of data. This algorithm can directly extract rules based on the dataset and apply them to data classification problems, with classification performance significantly outperforming some classical classifiers. By using these extracted rules as the basic units for constructing the decision tree, the classification accuracy can be further improved.
| Algorithm 2 Fuzzy association rules extraction algorithm (). |
|
4.2. The Overall Algorithm of FR-ZRDT
The overall structure of the FR-ZRDT is shown in Figure 4. The root node of the decision tree represents the entire training dataset . During the construction of the tree, the fuzzy IF-THEN rules extracted by the FR-ZREA are used as the basic units for building the decision tree.
Figure 4.
The structure of FR-ZRDT.
For a sample set , the rules extracted based on fuzzy rough set and Z-number rules are denoted as
where , is the number of in the set , encompassing the obtained after adjustment based on the second fuzzy number B in a Z-number, recalculated to obtain the fuzzy conditional attribute, that is, the antecedent part of the rule obtained according to the FR-ZREA.
At each level of the tree, the fuzzy rule extraction algorithm FR-ZREA is used to construct a fuzzy rule for each class that is as accurate as possible and covers more samples, denoted as , and each rule corresponds to a leaf node.
Definition 12.
The average membership degree of sample is defined as follows:
where ω represents the number of fuzzy conditional attributes contained within rule , while denotes the degree of membership obtained after adjustments based on the count of a Z-number, .
At each layer, for samples that cannot be classified by the , if is satisfied, they are placed in the additional node , which is the only non-leaf node at this level of the decision tree. If the additional node is not an empty set and the number of classes is more than two, the fuzzy rule decision tree continues to grow at this node.
The process of the FR-ZRDT is summarized as Algorithm 3. For each non-leaf node, including the root node, based on the misclassified samples, the corresponding is obtained. The fuzzy reliability constraint B is used to adjust the coverage domain of the membership function A, and the samples in the additional node are reclassified into fuzzy sets to generate a new fuzzy number . Next, new fuzzy rules are extracted from this dataset to construct new leaf nodes that are as pure as possible. This process is repeated until the construction is complete.
| Algorithm 3 Fuzzy decision tree generation algorithm (). |
|
For this fuzzy decision tree, each leaf node corresponds to a fuzzy rough IF-THEN rule. Therefore, the final rule extracted based on the fuzzy decision tree is a nested rule.
4.3. Analysis of Complexity
The time complexity for the FR-ZREA and adjusting fuzzy numbers using Z-number is both , where c is the number of classes, and n is the number of samples. Therefore, the time complexity for each layer of the proposed decision tree is .
In the worst case, if the fuzzy decision tree can only classify a single sample at each layer, the number of layers would be n. Therefore, the total time complexity of the FR-ZRDT is . Additionally, the space complexity of the FR-ZRDT is .
4.4. The Example of FR-ZRDT
The fuzzified information decision table FIS is shown in Table 1, with sample set , where the condition attributes include {P, Q, M, N}, and the decision attribute . In this case, assume that and . The original data information table S of the samples is provided in Table A1.
Table 1.
Fuzzified information decision table FIS.
- Step 1: According to Algorithm 2, extract rules for the class samples and calculate the for each fuzzy condition attribute based on Equation (19).
For the condition attributes , ,
Therefore, the for the condition attribute for the class is given by
Calculate the for the other fuzzy condition attributes for the class in the specified sequence.
- Step 2: Sort all attributes based on . For fuzzy condition attributes under the same condition attribute, take the maximum value. Thus, the attribute set is . Traverse the set .
When :
When :
Therefore, the final result is , and the set , meaning the rule antecedent for class is . Similarly, the rule antecedent for class is , and the rule antecedent for class is .
- Step 3: For the unclassified samples, when , they are placed into . Thus, the generated first-level decision tree is shown in Figure 5.
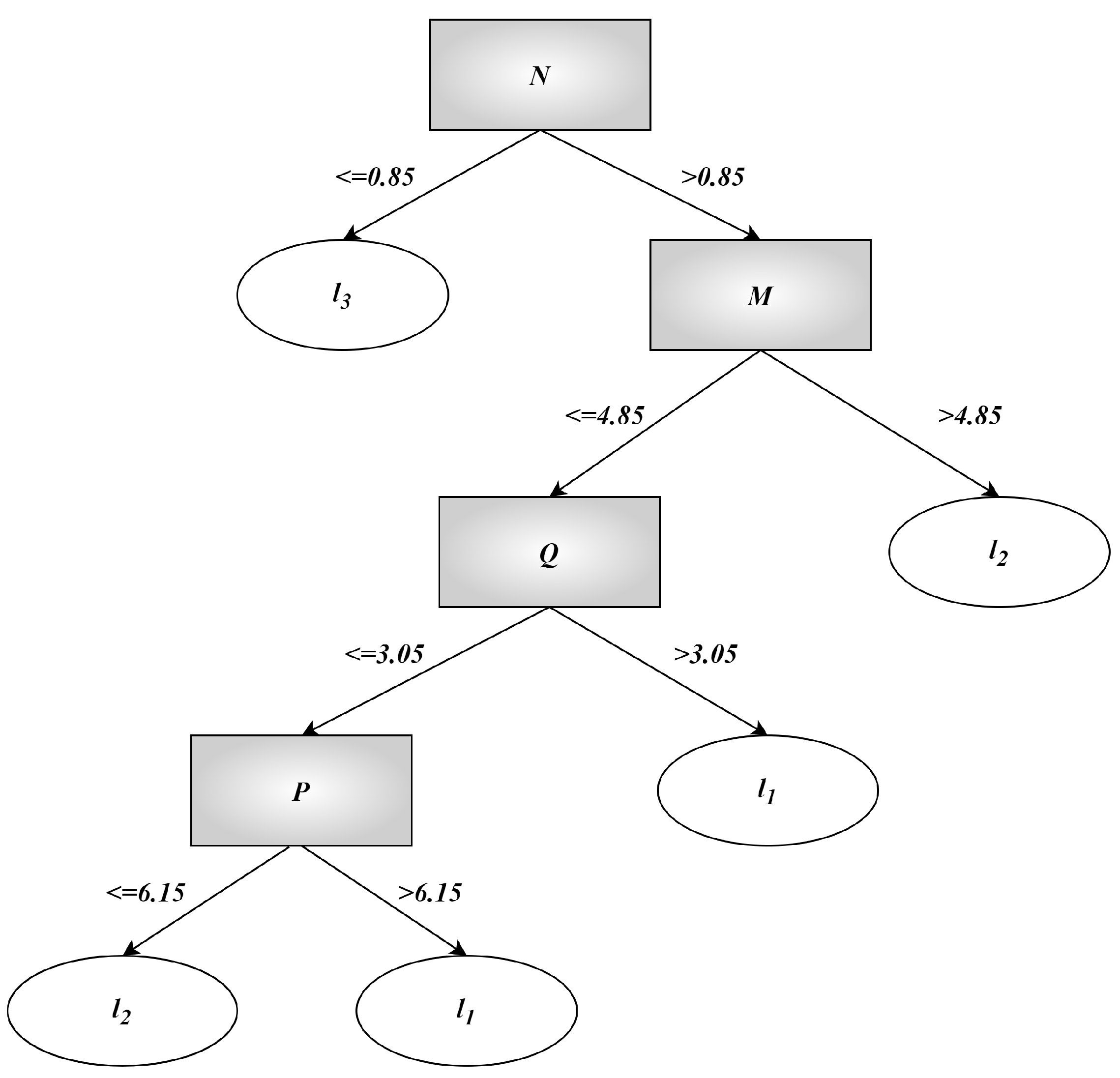
Figure 5. The first-level decision tree. - Step 4: For the unclassified samples, recalculate the membership degrees based on the original values, along with their corresponding B. Then, obtain the adjusted according to Definition 9. As shown in Table 2, it presents the membership function A for the condition attribute M, the fuzzy constraint reliability B, and the adjusted . Then, repeat steps 2–3.
Table 2. The value of condition attribute M. - Step 5: The FR-ZRDT, after satisfying the termination conditions, is shown in Figure 6.
Figure 6. The FR-ZRDT decision tree.
Via a calculation, we can obtain the rules based on a Z-number as follows:
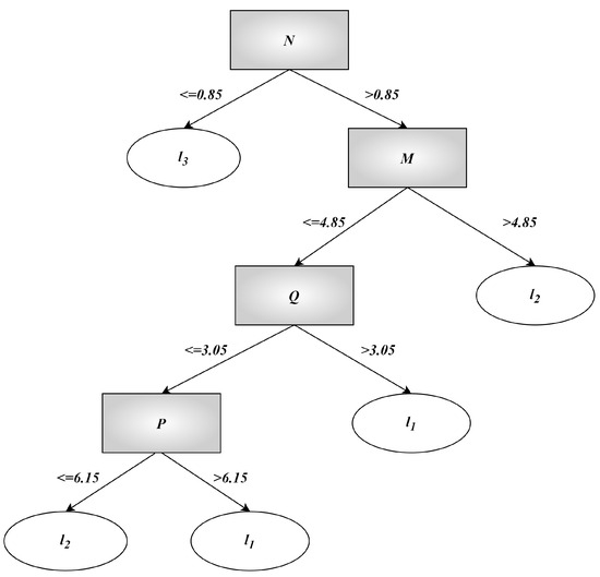
The ID3 algorithm was applied to this dataset and the resulting fuzzy decision trees are shown in Figure 7.
Figure 7.
The decision tree obtained by ID3.
It can be seen that the decision tree structures and the hierarchical rules obtained with the FR-ZRDT and ID3 are significantly different. The FR-ZRDT has fewer levels and the rules are easier to understand. Unlike traditional decision trees that consider only one attribute at each node, the decision tree based on fuzzy rules and a Z-number can simultaneously consider multiple attributes at each node, resulting in a smaller tree size and higher accuracy.
5. Experimental Studies
This section analyzes the classification performance of the proposed rule extraction method FR-ZREA and decision tree FR-ZRDT through experiments, and performs statistical tests using the Holm test. Since some classifiers cannot perform classification tests on certain datasets, 10 and 15 datasets are, respectively, selected from the UCI datasets for experimentation. The datasets used for rule extraction are shown in Table 3, and the datasets used for the decision tree are shown in Table 4.
Table 3.
The description of FR-ZREA-used datasets.
Table 4.
The description of FR-ZRDT-used datasets.
5.1. Comparison of FR-ZREA with Other Classification Systems
The FR-ZREA can directly extract rules based on the dataset and apply them to data classification problems, achieving high classification accuracy. To further demonstrate the classification performance of the FR-ZREA, this method was compared with three classic classification algorithms, including the Fuzzy Rule-Based Classification System (FRBCS), Support Vector Machine (SVM) [37], and Kernel Classifier (Kernel) [38].
FRBCS is one of the most successful applications of fuzzy sets and fuzzy logic due to its interpretability and understandability. Ishibuchi [39] proposed a simple fuzzy grid method, which is based on local representation and uniformly divides the dimensions into K triangular fuzzy numbers, where . These triangular fuzzy numbers partition the pattern space into different fuzzy partitions, where m is the number of features. The classification performance is entirely dependent on the fuzzy partitioning. To balance complexity and accuracy, this experiment selected .
To evaluate the generalization ability of the model, the 10-fold cross-validation (10CV) method was used for each dataset. Specifically, of the dataset was selected as the training set and 10% as the testing set. Each dataset was run 10 times, and the average was taken as the result. The parameter values were set to and . The experimental results are shown in Table 5. For the sake of comparison, the classifier with the highest classification accuracy in each dataset will be highlighted in bold.
Table 5.
Classification accuracy rate (%) of four algorithms over testing data.
As can be seen from the results, the FR-ZREA demonstrates a relatively high classification accuracy. To further verify whether the FR-ZREA is significantly superior to other classification methods, the Holm test was conducted. The Holm test ranks the classification methods based on their accuracy on each dataset, with the highest accuracy receiving the rank of one, and so on. If the classification methods have the same accuracy, they are assigned the average of their ranks. The results are shown in Table 6. Assuming that there is no significant difference between the j-th classification method and the k-th classification method, a hypothesis test is conducted, with the test statistic z calculated as follows:
where l represents the total number of classification methods, N is the number of datasets, and denotes the rank of the j-th classification method on the i-th dataset.
Table 6.
Ranks of four algorithms.
The test statistic . Based on the z-values of the classifiers (excluding the FR-ZREA), corresponding probabilities p are obtained, which are ordered from smallest to largest as . Each is compared with the value of . If is less than , the null hypothesis is rejected, indicating a significant difference between the two classification methods. The comparison continues with and The confidence level is set at .
Based on Table 7, all null hypotheses are rejected in the Holm test. This can be concluded when and the performance of the FR-ZREA is significantly better than that of the other classification methods.
Table 7.
The result of the Holm test.
5.2. Comparison of FR-ZRDT with Other Decision Tree Algorithms
From Example 2, it can be seen that the decision tree obtained from the FR-ZRDT is more concise than traditional decision tree structures. Next, analyzing the classification performance of the fuzzy decision tree FR-ZRDT, the experiment selects 13 datasets of different scales from the UCI database. The experiment also employs ten-fold cross-validation, as the average accuracy of the ten-fold cross-validation provides deeper insights into the model’s performance, with parameter values set at and . To compare the classification performance of FR-ZRDT, its accuracy is compared with that of the FRDT, ID3, C4.5 and AdaBoost decision tree algorithms. Among them, FRDT is also a rule-based decision tree that generates a decision tree structure similar to that of FR-ZRDT.
The experimental results are shown in Table 8. The new decision tree presented in this paper has the highest average classification accuracy across all datasets. A Holm test was also conducted for a statistical validation of the classifiers, with the null hypothesis stating that there is no significant difference between the j-th and k-th classifiers. The numbers in parentheses indicate the accuracy ranking of each classifier, with a higher rank representing better classification accuracy.
Table 8.
Classification accuracy rate (%) of five algorithms over testing data.
The results are shown in Table 9. For the sake of comparison, the decision tree with the highest classification accuracy in each dataset will be highlighted in bold. The experimental results indicate that all null hypotheses were rejected, and the classification performance of the FR-ZRDT is significantly better than that of other decision tree algorithms. This means that the FR-ZRDT has a significant advantage in both classification performance and tree structure.
Table 9.
The result of the Holm test.
5.3. Parameter Analysis
The parameter is primarily used to control the size of the decision tree, which affects the classification accuracy. It is utilized in both the rule extraction algorithm FR-ZREA and the decision tree construction algorithm FR-ZRDT, typically . The smaller allows for more samples to be classified based on the rules at each layer, resulting in fewer layers in the decision tree and correspondingly fewer fuzzy rules. This may lead to the neglect of certain classification rules, resulting in a lower accuracy. However, if is too large, it may also cause overfitting.
To determine the value of that yields the highest accuracy for the FR-ZREA and FR-ZRDT, the classification accuracy of both algorithms was calculated by varying within the range of (0, 1) with a step size of 0.02. Since some classifiers in Experiments 1 and 2 can handle different datasets, the overlapping datasets from Table 1 and Table 2 were selected for the experiment. These datasets were subjected to a 10-fold cross-validation experiment, repeated 10 times. The results are presented in Figure 8, where the x-axis represents the value of , and the y-axis represents the classification accuracy.
Figure 8.
Accuracy for different values.
The FR-ZREA proposed in this paper is a rule extraction algorithm that can directly generate classification rules from datasets, making it more suitable for classification tasks with smaller and simpler datasets. On the other hand, the FR-ZRDT is a decision tree generation algorithm developed based on the FR-ZREA, which considers more features and rules to handle more complex classification problems. However, the time complexity of the FR-ZRDT is significantly higher than that of the FR-ZREA.
Based on the analysis of parameter , when , the classification accuracies of both algorithms are not significantly different. In this case, using the rules extracted by the FR-ZREA for classification is a more efficient choice due to a lower time complexity. When , the advantages of the FR-ZRDT gradually become apparent, as the generated fuzzy decision tree can provide a higher classification accuracy and is more suitable for classification tasks with higher complexity.
6. Conclusions
This study proposes the FR-ZRDT to enhance the ability of decision trees in handling fuzzy and uncertain information. The algorithm focuses on optimizing the rule extraction and tree structure of classical decision trees. During the rule extraction process, is introduced as a criterion for attribute selection, effectively improving the classification capability of the decision tree. Additionally, we design a new representation method for a Z-number, which serves as a model that can simultaneously represent fuzziness and probabilistic uncertainty, thereby extending traditional fuzzy numbers and optimizing the structure of the fuzzy decision tree. To validate the effectiveness of the FR-ZRDT, experiments were conducted on 15 datasets of varying sizes. The results demonstrate that the proposed FR-ZRDT shows significant advantages in terms of classification accuracy and tree structure complexity when dealing with datasets containing fuzziness and uncertainty. Furthermore, the Z-number-based rules extracted are more aligned with human thinking when evaluating uncertain information.
The limitations of this paper lie in the fact that, although a certain number of datasets were used for experiments, the diversity and representativeness of these datasets may still be insufficient, failing to adequately consider real-world factors. For instance, the information provided by the datasets did not incorporate the opinions and knowledge of domain experts in the decision-making process, which may result in the generated lacking a certain degree of reliability. Future research will focus on the relevant theoretical knowledge of Z-number rules, as well as further exploration being carried out in other directions that combine fuzzy mathematics, primarily including the following aspects:
- (1)
- Introducing -numbers [40], , and combining an expert voting mechanism to assess individual opinions [41,42]. This extension can improve the accuracy and credibility of decisions, better reflecting the expertise of domain specialists.
- (2)
- Further applied research will be conducted in other directions of fuzzy mathematics, such as fuzzy reasoning and fuzzy logic control [43]. For example, the discrete switched model and fuzzy robust control method proposed by Zhang [44] will help enhance the applicability and robustness of our algorithms in dynamic and complex environments. By integrating these research directions, we can further promote the development of fuzzy mathematics in practical applications and provide new perspectives and improvement for our algorithms.
Author Contributions
Formal analysis, methodology, software, visualization, and writing—original draft preparation, B.Z.; formal analysis, conceptualization, methodology, supervision, and writing—review and editing, X.Z.; formal analysis, conceptualization, methodology, supervision, and writing—review and editing, J.W. All authors have read and agreed to the published version of the manuscript.
Funding
This work was funded by the National Natural Science Foundation of China under Grants 12271319 and 12201373 and by the Key Research and Development Plan of Shaanxi Province, China 2024GX-YBXM-145.
Data Availability Statement
Data are contained within this article.
Conflicts of Interest
The authors declare no conflicts of interest. The manuscript was approved by all authors for publication. This work contained original research that was not published previously and was not under consideration for publication elsewhere, in whole or in part. All the authors listed have approved the final version of this manuscript.
Appendix A
The decision information table S of the original data for the sample in Section 4.4, as shown in Table A1, with sample set , where the condition attributes include {P, Q, M, N} and the decision attribute .
Table A1.
The complete FIS of Table 1.
Table A1.
The complete FIS of Table 1.
| U | P | Q | M | N | D |
|---|---|---|---|---|---|
| 7.4 | 2.8 | 6.1 | 1.9 | ||
| 5 | 3.5 | 1.3 | 0.3 | ||
| 6.1 | 2.6 | 5.6 | 1.4 | ||
| 6.3 | 2.7 | 4.9 | 1.8 | ||
| 4.6 | 3.4 | 1.4 | 0.3 | ||
| 6 | 3 | 4.8 | 1.8 | ||
| 6.3 | 2.3 | 4.4 | 1.3 | ||
| 4.4 | 3 | 1.3 | 0.2 | ||
| 6.7 | 3.1 | 4.4 | 1.4 | ||
| 7 | 3.2 | 4.7 | 1.4 | ||
| 5.6 | 2.8 | 4.9 | 2 | ||
| 4.9 | 3 | 1.4 | 0.2 | ||
| 6.3 | 3.3 | 6 | 2.5 | ||
| 5.1 | 3.7 | 1.5 | 0.4 | ||
| 5.2 | 3.4 | 1.4 | 0.2 | ||
| 5.9 | 3.2 | 4.8 | 1.8 | ||
| 6.3 | 2.8 | 5.1 | 1.5 | ||
| 6.7 | 3.1 | 4.7 | 1.5 | ||
| 4.7 | 3.2 | 1.6 | 0.2 | ||
| 5.4 | 3.9 | 1.3 | 0.4 | ||
| 7.3 | 2.9 | 6.3 | 1.8 | ||
| 4.4 | 3.2 | 1.3 | 0.2 | ||
| 6.4 | 3.1 | 5.5 | 1.8 | ||
| 5.1 | 3.4 | 1.5 | 0.2 | ||
| 4.8 | 3 | 1.4 | 0.1 | ||
| 5.7 | 3.8 | 1.7 | 0.3 | ||
| 4.9 | 3.1 | 1.5 | 0.1 | ||
| 5.7 | 4.4 | 1.5 | 0.4 | ||
| 4.8 | 3.4 | 1.9 | 0.2 | ||
| 6.3 | 2.5 | 5 | 1.9 |
References
- Costa, V.G.; Pedreira, C.E. Recent advances in decision trees: An updated survey. Artif. Intell. Rev. 2023, 56, 4765–4800. [Google Scholar] [CrossRef]
- Charbuty, B.; Abdulazeez, A. Classification based on decision tree algorithm for machine learning. J. Appl. Sci. Technol. Trends 2021, 2, 20–28. [Google Scholar] [CrossRef]
- Quinlan, J.R. Induction of decision trees. Mach. Learn. 1986, 1, 81–106. [Google Scholar] [CrossRef]
- Zaitseva, E.; Rabcan, J.; Levashenko, V.; Kvassay, M. Importance analysis of decision making factors based on fuzzy decision trees. Appl. Soft Comput. 2023, 134, 109988. [Google Scholar] [CrossRef]
- Umanol, M.; Okamoto, H.; Hatono, I.; Tamura, H.; Kawachi, F.; Umedzu, S.; Kinoshita, J. Fuzzy decision trees by fuzzy ID3 algorithm and its application to diagnosis systems. In Proceedings of the 1994 IEEE 3rd International Fuzzy Systems Conference, Orlando, FL, USA, 26–29 June 1994; IEEE: New York, NY, USA, 1994; pp. 2113–2118. [Google Scholar]
- Bhatt, R.B.; Gopal, M. FRCT: Fuzzy-rough classification trees. Pattern Anal. Appl. 2008, 11, 73–88. [Google Scholar] [CrossRef]
- Olaru, C.; Wehenkel, L. A complete fuzzy decision tree technique. Fuzzy Sets Syst. 2003, 138, 221–254. [Google Scholar] [CrossRef]
- Han, X.; Zhu, X.; Pedrycz, W.; Li, Z. A three-way classification with fuzzy decision trees. Appl. Soft Comput. 2023, 132, 109788. [Google Scholar] [CrossRef]
- Wang, X.; Liu, X.; Pedrycz, W.; Zhang, L. Fuzzy rule based decision trees. Pattern Recognit. 2015, 48, 50–59. [Google Scholar] [CrossRef]
- Dubois, D.; Prade, H. Rough fuzzy sets and fuzzy rough sets. Int. J. Gen. Syst. 1990, 17, 191–209. [Google Scholar] [CrossRef]
- Wang, J.; Zhang, X. Intuitionistic Fuzzy Granular Matrix: Novel Calculation Approaches for Intuitionistic Fuzzy Covering-Based Rough Sets. Axioms 2024, 13, 411. [Google Scholar] [CrossRef]
- Xing, J.; Gao, C.; Zhou, J. Weighted fuzzy rough sets-based tri-training and its application to medical diagnosis. Appl. Soft Comput. 2022, 124, 109025. [Google Scholar] [CrossRef]
- Wang, J.; Zhang, X.; Shen, Q. Choquet-Like Integrals With Rough Attribute Fuzzy Measures for Data-Driven Decision-Making. IEEE Trans. Fuzzy Syst. 2024, 32, 2825–2836. [Google Scholar] [CrossRef]
- Zhai, J. Fuzzy decision tree based on fuzzy-rough technique. Soft Comput. 2011, 15, 1087–1096. [Google Scholar] [CrossRef]
- An, S.; Shi, H.; Hu, Q.; Dang, J. Fuzzy Rough Decision Trees. Fundam. Informaticae 2014, 132, 381–399. [Google Scholar] [CrossRef]
- Zhai, J.; Wang, X.; Zhang, S.; Hou, S. Tolerance rough fuzzy decision tree. Inf. Sci. 2018, 465, 425–438. [Google Scholar] [CrossRef]
- Zadeh, L.A. Probability measures of fuzzy events. J. Math. Anal. Appl. 1968, 23, 421–427. [Google Scholar] [CrossRef]
- Zadeh, L.A. A note on Z-numbers. Inf. Sci. 2011, 181, 2923–2932. [Google Scholar] [CrossRef]
- Liao, H.; Liu, F.; Xiao, Y.; Wu, Z.; Zavadskas, E.K. A survey on Z-number-based decision analysis methods and applications: What’s going on and how to go further? Inf. Sci. 2024, 663, 120234. [Google Scholar] [CrossRef]
- Aliev, R.A.; Alizadeh, A.V.; Huseynov, O.H. The arithmetic of discrete Z-numbers. Inf. Sci. 2015, 290, 134–155. [Google Scholar] [CrossRef]
- Aliev, R.A.; Guirimov, B.G.; Huseynov, O.H.; Aliyev, R.R. Z-relation equation-based decision making. Expert Syst. Appl. 2021, 184, 115387. [Google Scholar] [CrossRef]
- Aliev, R.A.; Pedrycz, W.; Huseynov, O.H.; Aliyev, R.R. Eigensolutions of partially reliable decision preferences described by matrices of Z-numbers. Int. J. Inf. Technol. Decis. Mak. 2020, 19, 1429–1450. [Google Scholar] [CrossRef]
- Cheng, R.; Kang, B.; Zhang, J. An Improved Method of Converting Z-number into Classical Fuzzy Number. In Proceedings of the 2021 33rd Chinese Control and Decision Conference (CCDC), Kunming, China, 22–24 May 2021; IEEE: New York, NY, USA, 2021; pp. 3823–3828. [Google Scholar]
- Aliev, R.; Huseynov, O.; Aliyeva, K. Z-valued T-norm and T-conorm Operators-based Aggregation of Partially Reliable Information. Procedia Comput. Sci. 2016, 102, 12–17. [Google Scholar] [CrossRef]
- Wang, J.; Cao, Y.; Zhang, H. Multi-criteria decision-making method based on distance measure and Choquet integral for linguistic Z-numbers. Cogn. Comput. 2017, 9, 827–842. [Google Scholar] [CrossRef]
- Wang, F.; Mao, J. Approach to multicriteria group decision making with Z-numbers based on TOPSIS and Power aggregation operators. Math. Probl. Eng. 2019, 2019, 3014387. [Google Scholar] [CrossRef]
- Aliev, R.; Pedrycz, W.; Huseynov, O.; Aliyev, R.; Guirimov, B. Approximate reasoning based on similarity of Z-numbers. Iran. J. Fuzzy Syst. 2024, 21, 159–172. [Google Scholar]
- Zadeh, L. Fuzzy sets. Inf. Control 1965, 8, 338–353. [Google Scholar] [CrossRef]
- Pawlak, Z. Rough sets. Int. J. Comput. Inf. Sci. 1982, 11, 341–356. [Google Scholar] [CrossRef]
- Wang, J.; Zhang, X. A novel multi-criteria decision-making method based on rough sets and fuzzy measures. Axioms 2022, 11, 275. [Google Scholar] [CrossRef]
- Wang, X.; Liu, X.; Pedrycz, W.; Zhu, X.; Hu, G. Mining axiomatic fuzzy set association rules for classification problems. Eur. J. Oper. Res. 2012, 218, 202–210. [Google Scholar] [CrossRef]
- Li, Y.; Pelusi, D.; Deng, Y.; Cheong, K.H. Relative entropy of Z-numbers. Inf. Sci. 2021, 581, 1–17. [Google Scholar] [CrossRef]
- Banerjee, R.; Pal, S.K.; Pal, J.K. A decade of the Z-numbers. IEEE Trans. Fuzzy Syst. 2021, 30, 2800–2812. [Google Scholar] [CrossRef]
- Zhu, R.; Liu, Q.; Huang, C.; Kang, B. Z-ACM: An approximate calculation method of Z-numbers for large data sets based on kernel density estimation and its application in decision-making. Inf. Sci. 2022, 610, 440–471. [Google Scholar] [CrossRef]
- Kang, B.; Wei, D.; Li, Y.; Deng, Y. A method of converting Z-number to classical fuzzy number. J. Inf. Comput. Sci. 2012, 9, 703–709. [Google Scholar]
- Agrawal, R.; Imielinski, T.; Swami, A. Database mining: A performance perspective. IEEE Trans. Knowl. Data Eng. 1993, 5, 914–925. [Google Scholar] [CrossRef]
- Wang, H.; Li, G.; Wang, Z. Fast SVM classifier for large-scale classification problems. Inf. Sci. 2023, 642, 119136. [Google Scholar] [CrossRef]
- Batlle, P.; Darcy, M.; Hosseini, B.; Owhadi, H. Kernel methods are competitive for operator learning. J. Comput. Phys. 2024, 496, 112549. [Google Scholar] [CrossRef]
- Ishibuchi, H.; Nozaki, K.; Tanaka, H. Distributed representation of fuzzy rules and its application to pattern classification. Fuzzy Sets Syst. 1992, 52, 21–32. [Google Scholar] [CrossRef]
- Tian, Y.; Mi, X.; Ji, Y.; Kang, B. ZE-numbers: A new extended Z-numbers and its application on multiple attribute group decision making. Eng. Appl. Artif. Intell. 2021, 101, 104225. [Google Scholar] [CrossRef]
- Haseli, G.; Rahnamay Bonab, S.; Hajiaghaei-Keshteli, M.; Jafarzadeh Ghoushchi, S.; Deveci, M. Fuzzy ZE-numbers framework in group decision-making using the BCM and CoCoSo to address sustainable urban transportation. Inf. Sci. 2024, 653, 119809. [Google Scholar] [CrossRef]
- Haseli, G.; Ögel, İ.Y.; Ecer, F.; Hajiaghaei-Keshteli, M. Luxury in female technology (FemTech): Selection of smart jewelry for women through BCM-MARCOS group decision-making framework with fuzzy ZE-numbers. Technol. Forecast. Soc. Chang. 2023, 196, 122870. [Google Scholar] [CrossRef]
- Zhang, N.; Qi, W.; Pang, G.; Cheng, J.; Shi, K. Observer-based sliding mode control for fuzzy stochastic switching systems with deception attacks. Appl. Math. Comput. 2022, 427, 127153. [Google Scholar] [CrossRef]
- Zhang, S.; Zhang, C.; Zhang, S.; Zhang, M. Discrete switched model and fuzzy robust control of dynamic supply chain network. Complexity 2018, 2018, 3495096. [Google Scholar] [CrossRef]
Disclaimer/Publisher’s Note: The statements, opinions and data contained in all publications are solely those of the individual author(s) and contributor(s) and not of MDPI and/or the editor(s). MDPI and/or the editor(s) disclaim responsibility for any injury to people or property resulting from any ideas, methods, instructions or products referred to in the content. |
© 2024 by the authors. Licensee MDPI, Basel, Switzerland. This article is an open access article distributed under the terms and conditions of the Creative Commons Attribution (CC BY) license (https://creativecommons.org/licenses/by/4.0/).







