Abstract
This paper considers the steady-state heat transfer process in a fin with a Robin boundary condition at the base (instead of the usual Dirichlet boundary condition at the base). Robin boundary condition models the effect of the thermal resistance between the base of the fin and the surface on which the fin is placed. This work presents an equivalent minimum principle, represented by a convex and coercive functional, ensuring the solution’s existence and uniqueness. In order to illustrate the use of the proposed functional for reaching approximations, the heat-transfer process in a trapezoidal fin considering a piecewise linear approximation is simulated. The Appendix presents a case in which the exact solution in a closed form has been achieved.
MSC:
34B99; 80A21; 80A05
1. Introduction
As more components are placed in a chip, the internal heat generation tends to increase. Since the heat must be rejected to the environment, this increase gives rise to a temperature increase on the surface (as well as a temperature increase in the whole chip). Nevertheless, a maximum allowable temperature exists for each chip (approximately 80 °C on its surface).
Roughly, the heat dissipation is proportional to the difference between the surface temperature and the temperature of the surroundings.
One of the most effective ways to optimize the heat transfer from a device is to increase the effective area of heat transfer. This increase in area is obtained using fins (extended surfaces) and may allow a dissipation increase without a temperature increase [1,2,3,4].
Fins are devices found in almost all situations where an improvement of the heat exchange between a given surface and the environment is needed. They act as an artificial enlargement of the original area of a surface, giving rise to a greater actual heat-exchange area. These devices are often the principal tool for avoiding high temperatures that can damage the functionality of a part of a system, such as in circuits involving semiconductors [1,2,3,4].
In general, the study of fins, solid or porous, is carried out under the assumption that the temperature of its base is known and coincides with the temperature of the surface in which we fix the fin, giving rise to a Dirichlet boundary condition.
Nevertheless, contact thermal resistance arises when a fin is placed on a given surface, as illustrated in Figure 1. In order to take into account this contact resistance, a Robin boundary condition must replace the previously mentioned Dirichlet boundary condition. This boundary condition takes into account that the temperature of the surface (in which the fin is inserted) is different from the temperature of the base of the fin, giving rise to a relationship between the heat flux and a difference in temperatures caused by the thermal resistance [1,2,3,4,5].
Figure 1.
Set of cylindrical fins placed on a chip with the aid of a thermal paste (which gives rise to a thermal contact resistance).
Many studies account for these contact thermal resistances. For instance, Aziz and Arlen [6] analyzed the performance and design of a rectangular fin with the convective base condition and contact resistance, using the numerical package Maple to solve the proposed problem and optimize the geometric parameters to achieve the optimum design. Xie et al. [7] studied T-shaped fins, considering thermal resistance minimization and minimizing geometric parameters according to heat transfer parameters. Their results showed the change of values in the parameters according to the optimization and the degrees of freedom available for change. Taler and Oclón [8] developed a methodology to estimate the thermal resistance of plate-and-tube heat exchangers using experimental data and CFD simulations with ANSYS software. Milman et al. [9] proposed an experimental model to determine the thermal resistance between the tube and the finned wall, accounting for possible errors in this computation, such as surface quality, the possibility of contact corrosion, and welding imperfections.
Fins are designed with the intention of enhancing heat transfer. This heat transfer is, in turn, considerably enlarged by employing porous fins introduced by Kiwan and Al-Nimr [10]. Several authors analyzed significant aspects of porous fins subjected to convection and radiation. For instance, Martins-Costa et al. [11] obtained the temperature distribution in porous fins by minimizing a convex functional. Martins-Costa et al. [12] constructed a solution for the nonlinear problem arising from natural convection and thermal radiation in cylindrical porous fins from a sequence of linear problems, using the parameters suggested by Gorla and Bakier [13].
This work aims to present a mathematical modeling of the heat-transfer process in a fin, accounting for the contact thermal resistance between the base of the fin and the surface in which the fin is placed.
Solid and porous fins are considered to involve convection and radiation heat transfer. All of them possess the prescribed base temperature as a limiting case.
A general mathematical modeling and an equivalent variational principle are presented, enabling the authors to demonstrate the solution’s existence and uniqueness.
2. Mathematical Description
The following ordinary differential equation represents the energy balance in a fin:
where represents a spatial position (counted from fin base), is the sectional area, is the lateral area between the points and (for cylindrical fins, is a constant that represents the perimeter of the section), represents a heat loss (per unit time and area), and is the thermal conductivity (assumed here a constant). The function is a strictly increasing function of the temperature (), while and may depend on the position, but do not depend on the temperature.
The mathematical description represented by the ordinary differential Equation (1) is valid when the temperature distribution can be regarded as a function of only one spatial variable [1].
For instance, for a solid cylindrical fin that exchanges energy with the environment following Newton’s law of cooling, the following condition arrives [1,2,3,4]:
with , and .
If it was a solid circular fin (as suggested in Figure 2), with thickness , , , and would be given by [1,2,3,4]:
Figure 2.
A radial fin with constant thickness , installed in a tube with radius .
The mathematical structure remains the same as Equation (1) for a porous cylindrical fin subjected to natural convection. However, the meaning of quantities such as and changes, as it must be taken into account that the actual area and the actual perimeter are affected by the porosity. In addition, is not a linear function of . For a cylindrical porous fin, considering only natural convection, it becomes [12,13]:
When thermal radiation is taken into account, additional terms must be considered [11,12,13].
It is important to note that a differential equation such as Equation (1) describes any one-dimensional heat transfer process in a fin.
In general, the authors consider Equation (1) subjected to the following boundary conditions:
in which is the fin length and, many times, the non-negative constant is assumed to be zero (insulated tip).
In the current literature, the first condition in Equation (5) (a Dirichlet boundary condition) represents the temperature of the surface on which the fin is installed. Nevertheless, the temperature is not the fin temperature at position , as there is a contact resistance between the fin and the surface on which the fin is placed. The Dirichlet boundary condition is a limiting case in which the contact resistance is zero (ideal case).
The adequate boundary condition at is a Robin boundary condition considering the thermal resistance between the fin and the surface. In other words, instead of Equation (5), the following boundary conditions will be considered:
The positive constant is the inverse of the thermal resistance. When (zero resistance), there is a Dirichlet boundary condition at .
The resulting problem may be expressed as follows:
where represents the temperature of the surface (where the fin is placed).
The heat (per unit time) exchanged between the fin and the environment is given by:
Furthermore, as shown later, this heat transfer is strongly affected by the contact thermal resistance at the base. The actual temperature at the base of the fin, denoted by , is obtained from Equation (8) after calculating , as follows:
When , an insulated tip is characterized. The most common description for fins considers and . In other words, the most common description assumes a Dirichlet boundary condition at and a Neumann boundary condition at .
It is essential to note that the insulated tip hypothesis () is a conservative approach, as it gives rise to a heat exchange that is smaller than the actual one.
The Appendix presents a linear case’s complete (exact) solution, representing a solid cylindrical fin, including the mentioned limiting cases.
3. Variational Formulation
Equation (7) is equivalent to the minimization of the functional , defined as:
In other words, the function solution of Equation (7) is such that for any admissible field [14].
In order to demonstrate the equivalence between the solution of Equation (7) and the minimization of , the admissible functions are defined as follows:
in which is a parameter and the function is an admissible but arbitrary variation [14]. Hence, the functional can be rewritten as follows:
In order to show that corresponds to an extremum of , let us calculate the derivative with respect to , for , equaling the result to zero for any . The derivative of is given by:
So, when , this yields:
Because [15]:
It becomes:
Therefore, to ensure that the derivative of is zero at (corresponding to the first variation of ), taking into account that the function is arbitrary, Equation (17) must take place [14]:
It is important to remark that Equation (17) corresponds exactly to Equation (7).
The existence of the functional defined in (10) is a powerful tool for reaching numerical approximations.
4. Existence and Uniqueness
Calculating the second derivative of with respect to , the following equation is obtained:
Because is an increasing function of , the second derivative of is positive-valued for any different from zero. Consequently, is a strictly convex functional, and its extremum (if it exists) is a minimum and unique.
Now, to show the existence of the minimum, it is sufficient to demonstrate the coerciveness of . The coerciveness can be ensured provided that [16]:
in which the norm is defined as (Sobolev space [17]):
Evaluating the limit, the following equation is achieved:
Because is a strictly increasing function of , there exist two constants and such that:
Therefore, it may be concluded that there exists a constant such that:
Hence,
Therefore, the functional is coercive [16]. This coerciveness ensures the existence of the minimum. Because the minimum for the solution to the original problem (Equation (7)) was obtained, the solution’s existence was ensured [16].
5. An Example: Longitudinal Trapezoidal Fin
In addition to the classical solid cylindrical fin (with the constant area and perimeter—see Appendix A) that exchanges energy following Newton’s law of cooling (the case in which ), other interesting situations could be considered, such as, for instance, the longitudinal trapezoidal fin with width , illustrated in Figure 3.
Figure 3.
Lateral view of a longitudinal trapezoidal fin with width .
In this case, and are defined as:
and, therefore, the differential equation becomes:
Clearly, when , a cylindrical fin is characterized (in which and are constants).
Now, the fin will be considered black, with a constant thermal conductivity, surrounded by an atmosphere-free space, and with an insulated tip. Following these hypotheses, only thermal conduction and thermal radiation are present. Under these assumptions, the process will be described as follows:
In which is the classical Stefan–Boltzmann constant [18,19,20].
In this case, the functional becomes:
Equation (27) may be conveniently rewritten in a dimensionless form as:
in which the following dimensionless position and temperature are defined:
Hence the functional presented in Equation (28) can be written as:
At this point, the following approximation for the solution is considered:
in which the constants are those obtained from the minimization of the functional defined in Equation (31). In other words, the constants are obtained from the following system:
in which:
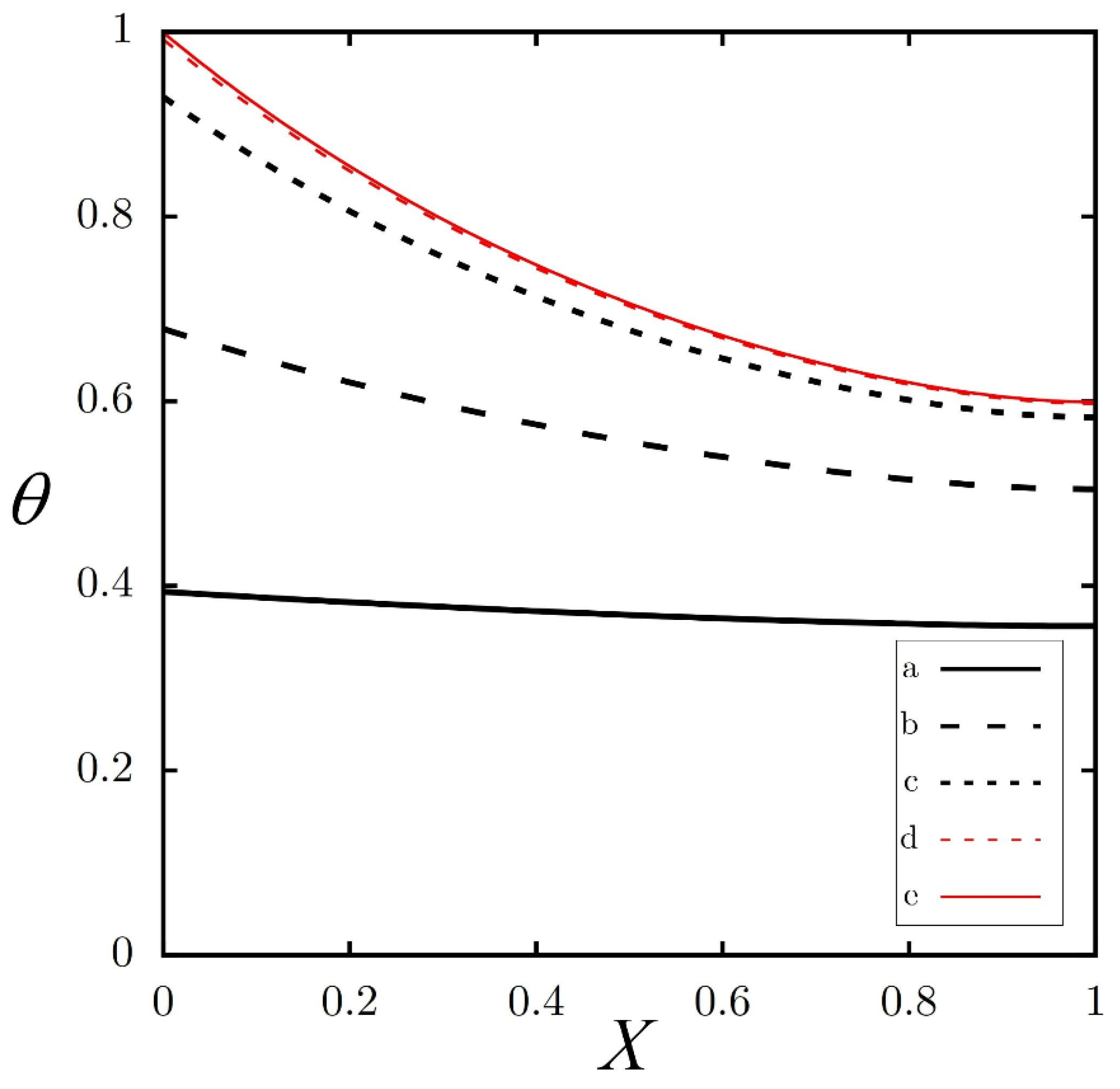
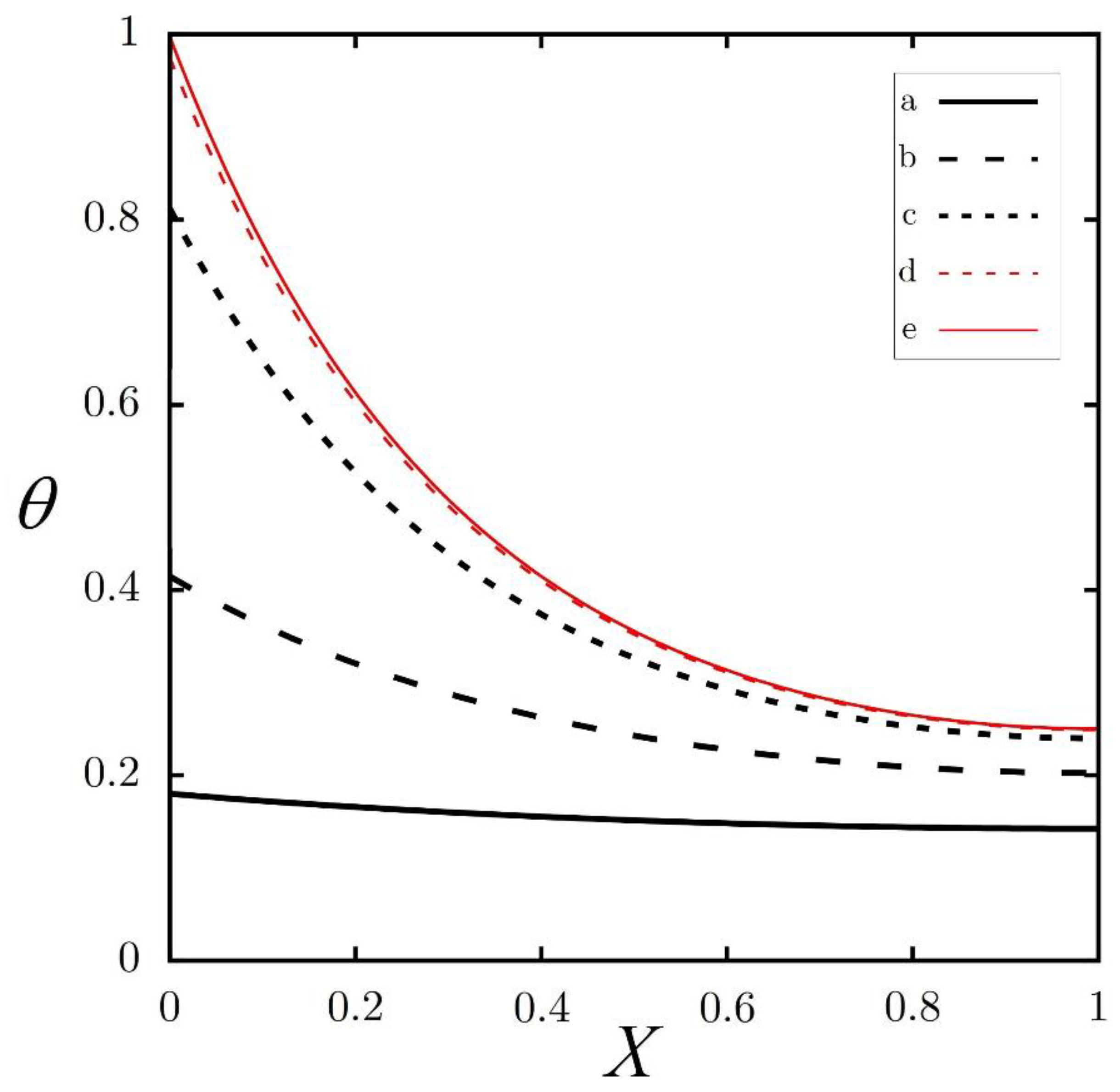
Figure 4 and Figure 5 present some results obtained with , considering constant , illustrating the effect of the contact resistance and the effect of the thermal conductivity.
Figure 4.
with , , , and five values of ().
Figure 5.
with , , , and five values of ().
In both figures, distinct values of the geometric parameters , , and and of the parameter associated with radiation and conduction, , are considered. Figure 4 and Figure 5 show the effect of varying the dimensionless thermal resistance inverse from 0.1 to 1000.0, along with the distinct geometric parameters and the parameter associated with radiation and conduction. Regardless of the chosen values for the geometric parameters and the parameter associated with radiation and conduction, in both figures the higher the thermal resistance, the smaller the fin’s base temperature and the temperature along the fin.
The case of the red continuous line (corresponding to ) denotes practically a Dirichlet boundary condition ().
The main factor leading to smaller temperatures as shown in Figure 5, compared with those shown in Figure 4, is the parameter associated with radiation and conduction, given by in the former and in the latter.
When comparing this methodology to others, the main advantage of this method is the equivalence between a minimum principle and the original problem. This equivalence provides a convenient tool for carrying out numerical simulations by means of a minimization process.
6. Conclusions
The thermal resistance present in real engineering problems involving fins accounts for the different temperatures of the surface (in which the fin is installed) and the temperature of the fin’s base. This work studied this problem—namely, a heat-transfer problem with the Robin boundary condition at the fin’s base. This article presented a general mathematical model that may involve convection and radiation and proposed an equivalent minimum principle.
A convex and coercive functional represents this minimum principle, ensuring the solution’s existence and uniqueness.
It is essential to notice that the formulation developed in this work allows a simplified treatment of realistic heat-transfer problems, because real problems involve thermal resistance between the surface and the fin’s base. In addition, this proposed minimum principle involves solely natural boundary conditions. In a broad sense, the Dirichlet boundary condition could be considered a limit of the Robin boundary condition when (zero thermal resistance). When only natural boundary conditions are considered, the space of functions needs no restriction on the boundaries.
As an example, the proposed functional was employed to study the heat transfer in a longitudinal trapezoidal fin, accounting for thermal resistance at the fin’s base. This problem accounted for thermal radiation (non-participant environment and black body assumption). It was simulated using piecewise linear approximations.
The Appendix presents an exact closed solution for a solid cylindrical fin.
Author Contributions
Conceptualization, R.M.S.d.G. and M.L.M.-C.; methodology, R.M.S.d.G.; software, R.P.S.d.G.; validation, R.M.S.d.G. and V.V.S.; formal analysis, R.M.S.d.G. and M.L.M.-C.; writing—original draft preparation, R.M.S.d.G. and M.L.M.-C.; writing—review and editing, R.M.S.d.G. and M.L.M.-C.; supervision, R.M.S.d.G. and M.L.M.-C.; funding acquisition, R.M.S.d.G. All authors have read and agreed to the published version of the manuscript.
Funding
This research was funded by CNPq grant number [306364/2018-1] and by Brazilian Agency CAPES (finance code 001).
Data Availability Statement
Not applicable.
Conflicts of Interest
The authors declare no conflict of interest.
Appendix A. An Exact Solution
When Equation (2) holds, the problem represented by Equation (7) becomes:
and admits the exact solution:
in which .
The heat (per unit time) exchanged between the fin and the environment, in this case, is given by:
The contact thermal resistance at the base strongly affects this heat exchange.
Taking into account (A2), Equation (A3) gives rise to:
The temperature at the base of the fin, denoted by , is obtained from:
and is given by:
In order to illustrate this influence, the case with the fin insulated at the tip is considered. In such case , and (A2) reduces to:
In the classical literature, Equation (A1) is solved assuming (no thermal resistance at the base). When , the solution reduces to:
and, consequently, .
When, in addition to , it is supposed that (insulated tip), the solution reduces to one of the most known results in heat transfer, given by:
In this case, the heat flux is given by:
When, in addition to , it is assumed that (prescribed temperature at ),the following temperature is obtained:
and the heat flux is given by:
Equations (A9)–(A12) represent classical results (found in most heat-transfer books [1,2,3,4]).
For very long fins (i.e., ), it becomes:
and:
References
- Holman, J.P. Heat Transfer, 10th ed.; McGraw-Hill: New York, NY, USA, 2009. [Google Scholar]
- Kreith, F.; Manglik, R.M. Principles of Heat Transfer, 8th ed.; CENGAGE Learning: Boston, MA, USA, 2016. [Google Scholar]
- Incropera, F.P.; Dewitt, D.P.; Bergmann, T.L.; Lavine, A.S. Fundamentals of Heat and Mass Transfer, 6th ed.; Thermal Contact Resistance; John Wiley: Hoboken, NJ, USA, 2007; pp. 101–103. [Google Scholar]
- John, H.; Lienhard, I.V. A Heat Transfer Textbook, 5th ed.; Phlogiston Press: Cambridge, MA, USA, 2020. [Google Scholar]
- Yovanovich, M.M. Conduction and Thermal Contact Resistances (Conductances). In Handbook of Heat Transfer; Rohsenow, W.M., Hartnett, J.P., Cho, Y.I., Eds.; McGraw-Hill: New York, NY, USA, 1998; pp. 3.1–3.73. [Google Scholar]
- Aziz, A.; Beers-Green, A.B. Performance and optimum design of convective–radiative rectangular fin with convective base heating, wall conduction resistance, and contact resistance between the wall and the fin base. Energy Convers. Manag. 2009, 50, 2622–2631. [Google Scholar] [CrossRef]
- Xie, Z.; Chen, L.; Sun, F. Comparative study on constructal optimizations of T-shaped fin based on entransy dissipation rate minimization and maximum thermal resistance minimization. Sci. China Technol. Sci. 2011, 54, 1249–1258. [Google Scholar] [CrossRef]
- Taler, D.; Oclón, P. Thermal contact resistance in plate fin-and-tube heat exchangers, determined by experimental data and CFD simulations. Int. J. Therm. Sci. 2014, 84, 309–322. [Google Scholar] [CrossRef]
- Milman, O.O.; Yankov, G.G.; Kondratev, A.V.; Ptakhin, A.V.; Krylov, V.S.; Korlyakova, E.J.; Zhilin, A.E. Approximate estimation of the thermal resistance of the terms in the process of heat transfer through the finned wall. J. Physics: Conf. Ser. 2017, 891, 012137. [Google Scholar] [CrossRef]
- Kiwan, S.; Al-Nimr, M.A. Using porous fins for heat transferenhancement. J. Heat Transf. 2001, 123, 790–795. [Google Scholar] [CrossRef]
- Martins-Costa, M.L.; Vendas Sarmento, V.; Morares de Lira, A.; Gama, R.M.S. Temperature distribution in porous fins, subjected to convection and radiation, obtained from the minimization of a convex functional. Mathem. Problems. Engng. 2020, 2020, 8613717. [Google Scholar] [CrossRef]
- Martins-Costa, M.L.; Vendas Sarmento, V.; Saldanha da Gama, R.P.; Saldanha da Gama, R.M. Solution construction for the nonlinear heat transfer problem in a cylindrical porous fin. J. Porous Media 2022, 25, 1–19. [Google Scholar] [CrossRef]
- Gorla, R.S.R.; Bakier, A. Thermal analysis of natural convection and radiation in porous fins. Int. Commun. Heat Mass Transf. 2011, 38, 638–645. [Google Scholar] [CrossRef]
- Sagan, H. Introduction to the Calculus of Variations; Dover: New York, NY, USA, 1992. [Google Scholar]
- Wylie, C.R. Advanced Engineering Mathematics; McGraw-Hill Kogakusha: Tokyo, Japan, 1975. [Google Scholar]
- Berger, M.S. Nonlinearity & Functional Analysis: Lectures on Nonlinear Problems in Mathematical Analysis; Academic Press: London, UK, 1977. [Google Scholar]
- Adams, R.A. Sobolev Spaces; Academic Press: New York, NY, USA, 1975. [Google Scholar]
- Sparrow, E.M.; Cess, R.D. Radiation Heat Transfer; McGraw-Hill: New York, NY, USA, 1978. [Google Scholar]
- Gama, R.M.S. An Alternative Mathematical Modelling for Coupled Conduction/Radiation Energy Transfer Phenomenon in a System of Gray Bodies Surrounded by a Vacuum. Int. J. Non-Linear Mech. 1995, 30, 433–447. [Google Scholar] [CrossRef]
- Gama, R.M.S. Simulation of the steady-state energy transfer in rigid bodies, with convective/radiative boundary conditions, employing a minimum principle. J. Comput. Phys. New York 1992, 99, 310–320. [Google Scholar] [CrossRef]
Disclaimer/Publisher’s Note: The statements, opinions and data contained in all publications are solely those of the individual author(s) and contributor(s) and not of MDPI and/or the editor(s). MDPI and/or the editor(s) disclaim responsibility for any injury to people or property resulting from any ideas, methods, instructions or products referred to in the content. |
© 2023 by the authors. Licensee MDPI, Basel, Switzerland. This article is an open access article distributed under the terms and conditions of the Creative Commons Attribution (CC BY) license (https://creativecommons.org/licenses/by/4.0/).




