Bioreductive Dissolution as a Pretreatment for Recalcitrant Rare-Earth Phosphate Minerals Associated with Lateritic Ores
Abstract
1. Introduction
2. Materials and Methods
2.1. Characteristics of the Ore
2.2. Bacteria and Cultivation Conditions
2.3. Reductive Mineral Dissolution under Anaerobic Conditions
2.4. Reductive Dissolution under Aerobic Conditions
2.5. Analytical Techniques
3. Results
4. Discussion
5. Conclusions
Author Contributions
Funding
Conflicts of Interest
References
- Fan, H.R.; Yang, K.F.; Hu, F.F.; Liu, S.; Wang, K.Y. The giant Bayan Obo REE-Nb-Fe deposit, China: Controversy and ore genesis. Geosci. Front. 2016, 7, 335–344. [Google Scholar] [CrossRef]
- Wübbeke, J. Rare earth elements in China: Policies and narratives of reinventing an industry. Resour. Policy 2013, 38, 1–11. [Google Scholar] [CrossRef]
- Pourret, O.; Tuduri, J. Continental shelves as potential resource of rare earth elements. Sci. Rep. 2017, 7, 1–6. [Google Scholar] [CrossRef] [PubMed]
- Massari, S.; Ruberti, M. Rare earth elements as critical raw materials: Focus on international markets and future strategies. Resour. Policy 2013, 38, 36–43. [Google Scholar] [CrossRef]
- Shin, D.; Kim, J.; Kim, B.; Jeong, J.; Lee, J. Use of phosphate solubilizing bacteria to leach rare earth elements from monazite-bearing Ore. Minerals 2015, 5, 189–202. [Google Scholar] [CrossRef]
- Maes, S.; Zhuang, W.Q.; Rabaey, K.; Alvarez-Cohen, L.; Hennebel, T. Concomitant leaching and electrochemical extraction of rare rarth elements from monazite. Environ. Sci. Technol. 2017, 51, 1654–1661. [Google Scholar] [CrossRef] [PubMed]
- Johnson, D.B. Biomining-biotechnologies for extracting and recovering metals from ores and waste materials. Curr. Opin. Biotechnol. 2014, 30, 24–31. [Google Scholar] [CrossRef] [PubMed]
- Hallberg, K.B.; Grail, B.M.; Plessis, C.A.D.; Johnson, D.B. Reductive dissolution of ferric iron minerals: A new approach for bio-processing nickel laterites. Miner. Eng. 2011, 24, 620–624. [Google Scholar] [CrossRef]
- Johnson, D.B.; Du Plessis, C.A. Biomining in reverse gear: Using bacteria to extract metals from oxidised ores. Miner. Eng. 2015, 75, 2–5. [Google Scholar] [CrossRef]
- Marrero, J.; Coto, O.; Goldmann, S.; Graupner, T.; Schippers, A. Recovery of nickel and cobalt from laterite tailings by reductive dissolution under aerobic conditions using Acidithiobacillus species. Environ. Sci. Technol. 2015, 49, 6674–6682. [Google Scholar] [CrossRef] [PubMed]
- Coupland, K.; Johnson, D.B. Evidence that the potential for dissimilatory ferric iron reduction is widespread among acidophilic heterotrophic bacteria. FEMS Microbiol. Lett. 2008, 279, 30–35. [Google Scholar] [CrossRef] [PubMed]
- Mulligan, C.N.; Kamali, M. Bioleaching of copper and other metals from low-grade oxidized mining ores by Aspergillus niger. J. Chem. Technol. Biotechnol. 2003, 78, 497–503. [Google Scholar] [CrossRef]
- Johnson, D.B.; Grail, B.M.; Hallberg, K.B. A new direction for biomining: Extraction of metals by reductive dissolution of oxidized ores. Minerals 2013, 3, 49–58. [Google Scholar] [CrossRef]
- Nancucheo, I.; Grail, B.M.; Hilario, F.; Du Plessis, C.; Johnson, D.B. Extraction of copper from an oxidized (lateritic) ore using bacterially catalysed reductive dissolution. Appl. Microbiol. Biotechnol. 2014, 98, 6297–6305. [Google Scholar] [CrossRef] [PubMed]
- Marrero, J.; Coto, O.; Schippers, A. Anaerobic and aerobic reductive dissolutions of iron-rich nickel laterite overburden by Acidithiobacillus. Hydrometallurgy 2017, 168, 49–55. [Google Scholar] [CrossRef]
- Dopson, M. Physiological and phylogenetic diversity of acidophilic bacteria. In Acidophiles: Life in Extremely Acidic Environments; Quatrini, R., Johnson, D.B., Eds.; Caistor Academic Press: Haverhill, UK, 2016; pp. 79–92. [Google Scholar]
- Tassinari, M.M.L.; Kahn, H.; Ratti, G. Process mineralogy studies of Corrego do Garimpo REE ore, Catalao-I Alkaline complex, Goias, Brazil. Miner. Eng. 2001, 14, 1609–1617. [Google Scholar] [CrossRef]
- Nancucheo, I.; Rowe, O.F.; Hedrich, S.; Johnson, D.B. Solid and liquid media for isolating and cultivating acidophilic and acid-tolerant sulfate-reducing bacteria. FEMS Microbiol. Lett. 2016, 363, 1–6. [Google Scholar] [CrossRef] [PubMed]
- Stookey, L.L. Ferrozine-A new spectrophotometric reagent for iron. Anal. Chem. 1970, 42, 779–781. [Google Scholar] [CrossRef]
- Nancucheo, I.; Johnson, D.B. Selective removal of transition metals from acidic mine waters by novel consortia of acidophilic sulfidogenic bacteria. Microb. Biotechnol. 2012, 5, 34–44. [Google Scholar] [CrossRef] [PubMed]
- Jenke, D.; Sadain, S.; Nunez, K.; Byrne, F. Performance characteristics of an ion chromatographic method for the quantitation of citrate and phosphate in pharmaceutical solutions. J. Chromatogr. Sci. 2017, 45, 50–56. [Google Scholar] [CrossRef]
- Rawlings, D.E.; Johnson, D.B. The microbiology of biomining: Development and optimization of mineral-oxidizing microbial consortia. Microbiology 2007, 153, 315–324. [Google Scholar] [CrossRef] [PubMed]
- Smith, S.L.; Grail, B.M.; Johnson, D.B. Reductive bioprocessing of cobalt-bearing limonitic laterites. Miner. Eng. 2017, 106, 86–90. [Google Scholar] [CrossRef]
- Komnitsas, K.; Petrakis, E.; Pantelaki, O.; Kritikaki, A. Column Leaching of Greek Low-Grade Limonitic Laterites. Minerals 2018, 8, 377. [Google Scholar] [CrossRef]
- Brisson, V.L.; Zhuang, W.Q.; Alvarez-Cohen, L. Bioleaching of rare earth elements from monazite sand. Biotechnol. Bioeng. 2016, 113, 339–348. [Google Scholar] [CrossRef] [PubMed]
- Corbett, M.K.; Eksteen, J.J.; Zhi, X.; Jean, N.; Croue, P.; Watkin, E.L.J. Interactions of phosphate solubilising microorganisms with natural rare-earth phosphate minerals: A study utilizing Western Australian monazite. Bioprocess Biosyst. Eng. 2017, 40, 929–942. [Google Scholar] [CrossRef] [PubMed]
- Brock, T.D.; Gustafson, J. Ferric iron reduction by sulfur- and iron-oxidizing bacteria. Appl. Environ. Microbiol. 1976, 32, 567–571. [Google Scholar] [PubMed]
- Hallberg, K.B.; Thompson, H.E.C.; Boeselt, I.; Johnson, D.B. Aerobic and anaerobic sulfur metabolism by acidophilic bacteria. In Biohydrometallurgy: Fundamentals, Technology and Sustainable Development; Process Metallurgy 11A; Ciminelli, V.S.T., Garcia, O., Jr., Eds.; Elsevier: Amsterdam, the Netherlands, 2001; pp. 423–431. [Google Scholar]
- Johnson, D.B.; Hedrich, S.; Pakostova, E. Indirect redox transformations of iron, copper, and chromium catalyzed by extremely acidophilic bacteria. Front. Microbiol. 2017, 8, 1–15. [Google Scholar] [CrossRef] [PubMed]
- Smith, S.L.; Johnson, D.B. Growth of Leptospirillum ferriphilum in sulfur medium in co-culture with Acidithiobacillus caldus. Extremophiles 2018, 22, 327–333. [Google Scholar] [CrossRef] [PubMed]
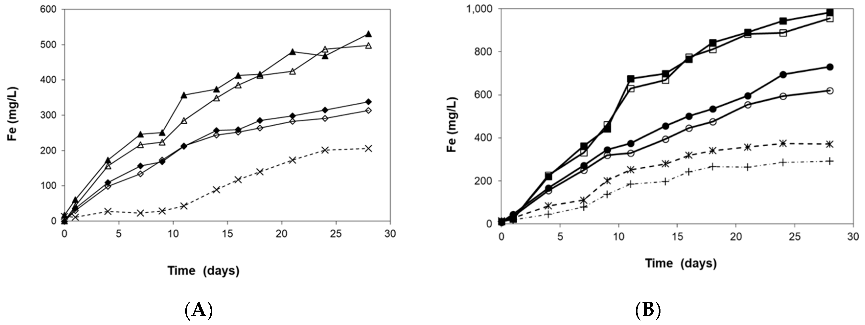
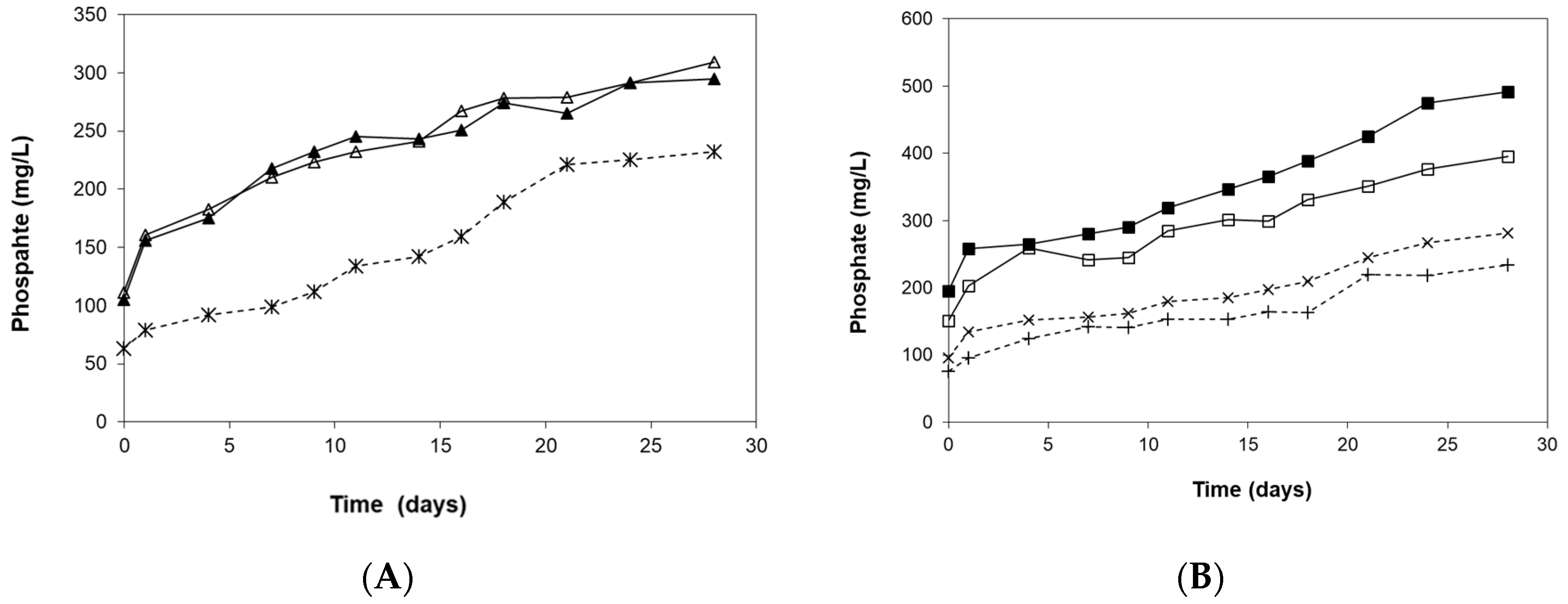
).
).
), 1.2 (+), and 0.9 (x).
), 1.2 (+), and 0.9 (x).


| Element | Fe | P | Ce | La | U | Th |
|---|---|---|---|---|---|---|
| Concentration (g/kg) | 301 | 34.9 | 27 | 13.2 | 0.088 | 0.401 |
© 2019 by the authors. Licensee MDPI, Basel, Switzerland. This article is an open access article distributed under the terms and conditions of the Creative Commons Attribution (CC BY) license (http://creativecommons.org/licenses/by/4.0/).
Share and Cite
Nancucheo, I.; Oliveira, G.; Lopes, M.; Johnson, D.B. Bioreductive Dissolution as a Pretreatment for Recalcitrant Rare-Earth Phosphate Minerals Associated with Lateritic Ores. Minerals 2019, 9, 136. https://doi.org/10.3390/min9030136
Nancucheo I, Oliveira G, Lopes M, Johnson DB. Bioreductive Dissolution as a Pretreatment for Recalcitrant Rare-Earth Phosphate Minerals Associated with Lateritic Ores. Minerals. 2019; 9(3):136. https://doi.org/10.3390/min9030136
Chicago/Turabian StyleNancucheo, Ivan, Guilherme Oliveira, Manoel Lopes, and David Barrie Johnson. 2019. "Bioreductive Dissolution as a Pretreatment for Recalcitrant Rare-Earth Phosphate Minerals Associated with Lateritic Ores" Minerals 9, no. 3: 136. https://doi.org/10.3390/min9030136
APA StyleNancucheo, I., Oliveira, G., Lopes, M., & Johnson, D. B. (2019). Bioreductive Dissolution as a Pretreatment for Recalcitrant Rare-Earth Phosphate Minerals Associated with Lateritic Ores. Minerals, 9(3), 136. https://doi.org/10.3390/min9030136

