Evaluation of the Durability of Concrete with the Use of Calcined Clays and Limestone in Salinas, Ecuador
Abstract
1. Introduction
2. Materials and Methods
2.1. Characteristics of Raw Materials
- Clinker: Mineralogical composition (provided by the clinker supplier) was C3S = 62.04%; C2S = 14.34%; C3A = 7.07%; C4AF = 8.48%
- Limestone: CaCO3 content is higher than 94%, so it could be considered a high-purity limestone.
- Gypsum: SO3 is around 40%, (86.1% of gypsum).
2.2. Sample Preparation
Location of the Elements at the Exposure Site for Durability Studies
2.3. Experimental Procedures, Durability Protocol
- Porosity according to NC 345-2011: The objective of the study is to determine the connected porosity of a concrete specimen by measuring water absorption using the protocol of NC-345, 2011 [30].
- Surface resistivity: This test is performed with the resipod, an instrument that is designed to measure the electrical resistivity of concrete or rock using the Wenner probe principle. A current is applied to two outer probes and the potential difference between the two inner probes is measured. The current is carried by ions from the liquid in the pores. The calculated resistivity depends on the distance between the sondes [41,42,43,44]. The interpretation of the results is made taking the following reference:
- In case of ≥100 kΩcm (Negligible corrosion risk).
- In case of =50 to 100 kΩcm (Low corrosion risk).
- In case of =10 to 50 kΩcm (Moderate corrosion risk).
- In case of ≤10 kΩcm (High corrosion risk).
- Nordtest NT Build 492: The test consists of subjecting a cylindrical concrete specimen to an electric potential applied axially through it, forcing the chloride ions present in the external solutions to migrate towards the interior of the specimen. Once the penetration distance has been measured, the non-steady-state chloride migration coefficient (Dnssm) can be calculated. The interpretation of the results is carried out by taking the following reference (See Table 8)
- Carbonation depth according to NC 355: 2004: The measurement of the depth of the carbonated layer in concrete is based on the determination of the reduction of alkalinity caused by the chemical transformation derived from the carbonation process, which can be visually verified by means of the coloration changes suffered by an indicator. A 1% phenolphthalein solution dissolved in 70% ethyl alcohol will be used as an indicator.
3. Results and Discussion
3.1. Pore Structure Changes in the Concretes Studied
3.1.1. Water Absorption: Effective Porosity
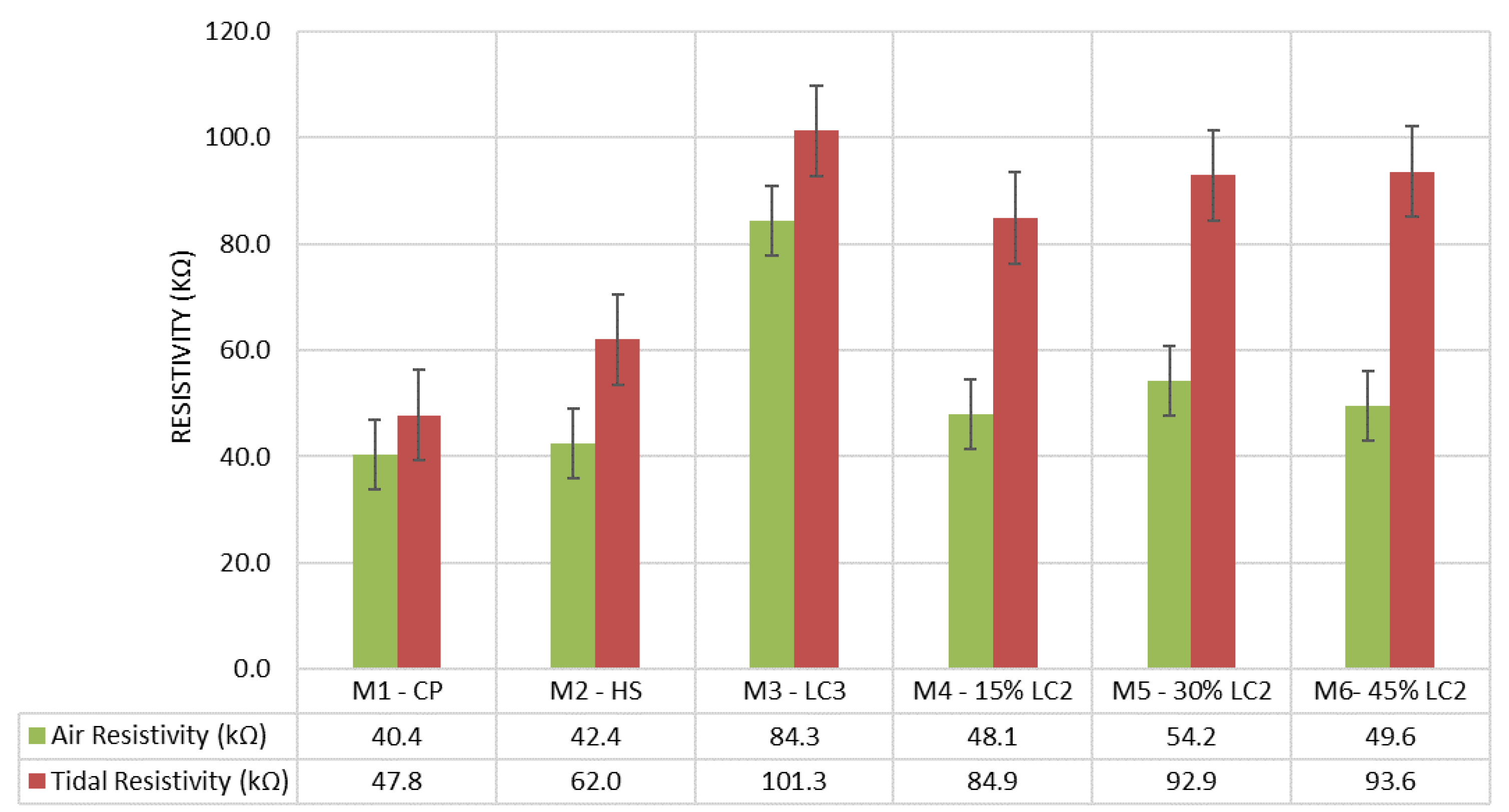
3.1.2. Surface Resistivity
3.1.3. Effective Porosity vs. Surface Resistivity
3.2. Impact of Migration Properties and Their Influence on Concrete Durability
3.2.1. Chloride Migration
3.2.2. Chloride Migration vs. Resistivity
3.2.3. Evaluation of Carbonation under Natural Exposure Conditions
4. Conclusions
- The exposure of the concrete on site, under the conditions described in the NEC-SE-HM standard and its subsequent evaluation, allows the advantages of the use of ternary cements with calcined clays to be verified.
- The concretes produced show high durability proven by tests of porosity, permeability to chlorides, carbonation, and electrical resistivity. The best results are obtained with LC3-50 cement with 50% clinker by internal grinding, and all the samples with the mineral addition LC2.
- The carbonation profiles of the concretes at ages 6, 12, and 24 months confirm the trend towards higher carbonation in the systems produced with calcined clays when compared to the values of the CP and HS series.
- As exposure conditions move away from water, the pore system becomes partially saturated, favoring the gas-liquid interface where ambient CO2 can dissolve and penetrate the cementitious matrix, leading to increased carbonation.
- In conditions of high chloride aggressiveness, for example: in the air zone, the carbonation values of the series with calcined clays are in a higher range than the series produced with CP and HS. As the exposure conditions move away from water, where the pore system is no longer fully saturated, and the gas-liquid interface is favored where ambient CO2 can dissolve and penetrate the cementitious matrix, causing further carbonation. However, in these systems, the permeability to chlorides is markedly lower, so the danger of chloride corrosion is lower.
Author Contributions
Funding
Data Availability Statement
Conflicts of Interest
References
- Alderete, N.M.; Zaccardi, Y.A.V.; Maio, Á.A. Propiedades De Transporte De Hormigones Con Adiciones Minerales. Cienc. Tecnol. Mater. 2015, 5, 33–43. [Google Scholar]
- Schneider, M. Cement and Concrete Research The cement industry on the way to a low-carbon future. Cem. Concr. Res. 2019, 124, 105792. [Google Scholar] [CrossRef]
- León-Velez, A.; Guillén-Mena, V. Energía contenida y emisiones de CO2 en el proceso de fabricación del cemento en Ecuador. Ambiente Construído 2020, 20, 611–625. [Google Scholar] [CrossRef]
- Wang, H.; Hou, P.; Li, Q.; Adu-Amankwah, S.; Chen, H.; Xie, N.; Zhao, P.; Huang, Y.; Wang, S.; Cheng, X. Synergistic effects of supplementary cementitious materials in limestone and calcined clay-replaced slag cement. Constr. Build. Mater. 2021, 282, 122648. [Google Scholar] [CrossRef]
- European Green. El Sector Cementero a Escala Mundial Explora el Camino a Seguir Para Lograr Las Emisiones Cero en 2050. 2020, pp. 4–7. Available online: https://www.cicconstruccion.com/texto-diario/mostrar/2743285/sector-cementero-escala-mundial-explora-camino-seguir-lograr-emisiones-cero-2050 (accessed on 20 March 2024).
- Nazari, A.; Sanjayan, J.G. Handbook of Low Carbon Concrete; Elsevier: Amsterdam, The Netherlands, 2017. [Google Scholar]
- Scrivener, K.L. Future Cements Options for the future of cement. Indian Concr. J. 2014, 88, 11–21. [Google Scholar]
- Mccaffrey, R. Global Cement Directory 2022. Global Cement, 2022. Available online: https://www.cfic.dz/images/telechargements/eGCJan2022ns.pdf (accessed on 20 March 2024).
- FICEM. Informe Estadistico 2018. Cemento & Concreto. 2018. Available online: https://ficem.org/wp-content/uploads/2021/06/00_Informe-estadistico-2019.pdf (accessed on 20 March 2024).
- Díaz, Y.C.; Berriel, S.S.; Heierli, U.; Favier, A.R.; Machado, I.R.S.; Scrivener, K.L.; Hernández, J.F.M.; Habert, G. Limestone calcined clay cement as a low-carbon solution to meet expanding cement demand in emerging economies. Dev. Eng. 2017, 2, 82–91. [Google Scholar] [CrossRef]
- Gettu, R.; Patel, A.; Rathi, V.; Prakasan, S.; Basavaraj, A.; Maity, S. Sustainability Assessment of Cements and Concretes in the Indian Context: Influence of Supplementary Cementitious Materials. Sustain. Constr. Mater. Technol. 2016, 4, 142–1150. [Google Scholar]
- Yanguatin, H.; Tobón, J.; Ramírez, J. Pozzolanic reactivity of kaolin clays, a review. React. Puzolánica De Arcillas Caoliníticas Una Revisión 2017, 32, 13–24. [Google Scholar]
- Túpez, J.A.L. Determinación Actividad Puzolanica Por DRX; Cementos Pacasmayo S.A.A. 2010, pp. 1–13. Available online: https://www.slideshare.net/jlujant/determinacion-actividad-puzolanica-por-drx (accessed on 20 March 2024).
- Ilić, B.; Radonjanin, V.; Malešev, M.; Zdujić, M.; Mitrović, A. Effects of mechanical and thermal activation on pozzolanic activity of kaolin containing mica. Appl. Clay Sci. 2016, 123, 173–181. [Google Scholar] [CrossRef]
- Hollanders, S.; Adriaens, R.; Skibsted, J.; Cizer, Ö.; Elsen, J. Pozzolanic reactivity of pure calcined clays. Appl. Clay Sci. 2016, 132–133, 552–560. [Google Scholar] [CrossRef]
- Antoni, M.; Rossen, J.; Martirena, F.; Scrivener, K. Cement substitution by a combination of metakaolin and limestone. Cem. Concr. Res. 2012, 42, 1579–1589. [Google Scholar] [CrossRef]
- Fernandez, R.; Martirena, F.; Scrivener, K.L. The origin of the pozzolanic activity of calcined clay minerals: A comparison between kaolinite, illite and montmorillonite. Cem. Concr. Res. 2011, 41, 113–122. [Google Scholar] [CrossRef]
- Alujas, A.; Fernández, R.; Quintana, R.; Scrivener, K.L.; Martirena, F. Pozzolanic reactivity of low grade kaolinitic clays: Influence of calcination temperature and impact of calcination products on OPC hydration. Appl. Clay Sci. 2015, 108, 94–101. [Google Scholar] [CrossRef]
- Favier, A.; Zunino, F.; Katrantzis, I.; Scrivener, K. The effect of limestone on the performance of ternary blended cement LC3: Limestone, calcined clays and cement. RILEM Bookseries 2018, 16, 170–175. [Google Scholar] [CrossRef] [PubMed]
- Bishnoi, S.; Maity, S.; Mallik, A.; Joseph, S.; Krishnan, S. Pilot scale manufacture of limestone calcined clay cement: The Indian experience. Indian Concr. J. 2014, 88, 22–28. [Google Scholar]
- Rocha, D.; Almenares, R.; Sanchez, S.; Alujas, A.; Martirena, F. Standardization strategy of low carbon cement in Cuba. In Case Study for “Siguaney” Cement Factory; Springer: Dordrecht, The Netherlands, 2018; p. 16. [Google Scholar]
- Martirena, F.; Scrivener, K. Low Carbon Cement LC 3 in Cuba: Ways to Achieve a Sustainable Growth of Cement Production Identification of Suitable Clay Deposits. In Calcined Clays for Sustainable Concrete, Proceedings of the 2nd International Conference on Calcined Clays for Sustainable Concrete, La Havana, Cuba, 5–7 December 2017; Springer: Dordrecht, The Netherlands, 2018; Volume 2, pp. 3–6. [Google Scholar]
- Tang, S.W.; Yao, Y.; Andrade, C.; Li, Z.J. Recent durability studies on concrete structure. Cem. Concr. Res. 2015, 78, 143–154. [Google Scholar] [CrossRef]
- NTE INEN 1578; Hormigón de Cemento Hidráulico. Determinación Del Asentamiento. Quito: Quito, Ecuador, 2010; Volume 1578.
- ASTM C143; Standard Test Method for Slump of Hydraulic-Cement Concrete 1. 2010; pp. 8–11. Available online: https://owlcation.com/humanities/ASTM-C143-The-Concrete-Slump-Test (accessed on 20 March 2024).
- 2011 NC 345; Hormigón Endurecido—Determinación de la Absorción de Agua Por Capilaridad. 2011; pp. 830–835. Available online: https://docplayer.es/85308079-Hormigon-endurecido-determinacion-de-la-absorcion-de-agua-por-capilaridad-hardened-concrete-determination-of-the-water-absorption-by-capillarity.html (accessed on 20 March 2024).
- Build, N.T. 492: Concrete, Mortar and Cement-Based Repair Materials: Chloride Migration Coefficient from Non-Steady-State Migration Experiments. Measurement 1999, 492, 1–8. [Google Scholar]
- NTE INEN 697; Áridos. Determinación Del Material Más Fino Que Pasa el Tamiz Con Aberturas de 75 um (No. 200), Mediante Lavado. Quito: Quito, Ecuador, 2010.
- NTE INEN 856; Áridos. Determinación de la Densidad, Densidad Relativa (Gravedad Específica) y Absorción Del Árido Fino. Quito: Quito, Ecuador,, 2010.
- NTE INEN 857; Áridos. Determinación de la Densidad, Densidad Relativa (Gravedad Específica) y Absorción Del Árido Grueso. Quito: Quito, Ecuador, 2010.
- NTE INEN 858; Áridos. Determinación de la Masa Unitaria (Peso Volumétrico) y el Porcentaje de Vacíos. Quito: Quito, Ecuador, 2010.
- NTE INEN 862; Áridos Para Hormigón. Determinación Del Contenido Total De Humedad. Quito: Quito, Ecuador, 2011.
- NTE INEN-696; Áridos. Análisis Granulométrico en Los Áridos, Fino y Grueso. Quito: Quito, Ecuador, 2011.
- Melorose, J.; Perroy, R.; Careas, S. Norma Ecuatoriana De La Construcción—Estructuras De Hormigon Armado. In Climate Change 2013 – The Physical Science Basis; Cambridge University Press: Cambridge, UK, 2015; Volume 1, p. 31. [Google Scholar] [CrossRef]
- Salinas Climate-Data, Clima Salinas. 2021. Available online: https://es.climate-data.org/america-del-sur/ecuador/santa-elena-province/salinas-25474/ (accessed on 31 January 2024).
- NC-355; Determination of the Carbonation Depth of Hardened Concretes and Placed in Service, Cuba. 2004. Available online: https://descargas.epconsgtmo.co.cu/Normalizacion%20Actualizadas/Normas%20de%20la%20construccion/Normas%20Materias%20Primas/Hormigon/NC%20355.pdf (accessed on 31 January 2024).
- Andrade, C. Resistivity, Resistivity test criteria for durability design and quality control of concrete in chloride exposures. Concr. Aust. 2012, 40, 57–64. [Google Scholar]
- Hunkeler, F. The resistivity of pore water solution-a decisive parameter of rebar corrosion and repair methods. Constr. Build. Mater. 1996, 10, 381–389. [Google Scholar] [CrossRef]
- Angst, U.M.; Elsener, B. On the applicability of the wenner method for resistivity measurements of concrete. ACI Mater. J. 2014, 11, 661–672. [Google Scholar] [CrossRef]
- Díaz, B.; Freire, L.; Nóvoa, X.R.; Puga, B.; Vivier, V. Cement and Concrete Research Resistivity of cementitious materials measured in diaphragm migration cells: The effect of the experimental set-up. Cem. Concr. Res. 2010, 40, 1465–1470. [Google Scholar] [CrossRef]
- Poon, C.S.; Kou, S.C.; Lam, L. Compressive strength, chloride diffusivity and pore structure of high performance metakaolin and silica fume concrete. Constr. Build. Mater. 2006, 20, 858–865. [Google Scholar] [CrossRef]
- Glasser, F.P.; Marchand, J.; Samson, E. Durability of concrete—Degradation phenomena involving detrimental chemical reactions. Cem. Concr. Res. 2008, 38, 226–246. [Google Scholar] [CrossRef]
- Dhandapani, Y.; Santhanam, M. Investigation on the microstructure-related characteristics to elucidate performance of composite cement with limestone-calcined clay combination. Cem. Concr. Res. 2020, 129, 105959. [Google Scholar] [CrossRef]
- Scrivener, K.; Avet, F.; Maraghechi, H.; Zunino, F.; Ston, J.; Hanpongpun, W.; Favier, A. Impacting factors and properties of limestone calcined clay cements (LC3). Green Mater. 2019, 7, 3–14. [Google Scholar] [CrossRef]
- Scrivener, K.; Martirena, F.; Bishnoi, S.; Maity, S. Calcined clay limestone cements (LC3). Cem. Concr. Res. 2018, 114, 49–56. [Google Scholar] [CrossRef]
- Andrade, C.; Andrea, R.D. La resistividad eléctrica como parámetro de control del hormigón y de su durabilidad. Alconpat 2012, 2, 186–199. [Google Scholar] [CrossRef][Green Version]
- Díaz, E.; González, R.; Rocha, D.; Alujas, A.; Martirena, F. Carbonation of concrete with low carbon cement LC3 exposed to different environmental conditions. RILEM Bookseries 2018, 16, 141–146. [Google Scholar] [CrossRef]
- Vizcaíno Andrés, L.M. Cemento de Bajo Carbono a Partir del Sistema Cementicio Ternario Clínquer-Arcilla Calcinada-Caliza; Universidad Central Marta Abreu De Las Villas: Santa Clara, Cuba, 2014. [Google Scholar]
- Hernández, A.P. Influencia de Los Procedimientos de Molienda del Cemento de Bajo Carbono Sobre la Distribución de Tamaño de Partículas y Su Impacto en Las Propiedades del Cemento y del Hormigón en Estado Fresco y Endurecido; Universidad Central Marta Abreu De Las Villas: Santa Clara, Cuba, 2019. [Google Scholar]
- Antoni, M.; Henocq, P.; Scrivener, K. Transport Properties of Blends including High Amount of Calcined Clays and Limestone. 2013. Available online: https://infoscience.epfl.ch/record/190756?v=pdf (accessed on 20 March 2024).
- Maraghechi, H.; Avet, F.; Wong, H.; Kamyab, H.; Scrivener, K. Performance of Limestone Calcined Clay Cement (LC3) with various kaolinite contents with respect to chloride transport. Mater. Struct. 2018, 51, 125. [Google Scholar] [CrossRef]
- Thiery, M. Modélisation de la Carbonatation Atmosphérique des Matériaux Cimentaires: Prise en Compte des Effets Cinétiques et des Modifications Microstructurales et Hydriques. 2005. Available online: https://www.semanticscholar.org/paper/Mod%C3%A9lisation-de-la-carbonatation-atmosph%C3%A9rique-des-Thiery-Dangla/f184c78fc52816e534e4bab45e8ccc080b93d5ac (accessed on 20 March 2024).
- Martínez-Ramírez, S.; Fernández-Carrasco, L. Carbonation of ternary cement systems. Constr. Build. Mater. 2012, 27, 313–318. [Google Scholar] [CrossRef]
- Costa, A.; Appleton, J. Concrete carbonation and chloride penetration in a marine environment. Concr. Sci. Eng. 2001, 3, 242–249. [Google Scholar]
- Glasser, F.P.; Matschei, T. Interactions Between Portland Cement and Carbon Dioxide. In Proceedings of the 12th International Congress on the Chemistry of Cement, Montreal, QC, Canada, 8–13 July 2007. [Google Scholar]
- Saetta, A.V.; Schrefler, B.A.; Vitaliani, R.V. Moisture, heat and carbon dioxide flow. Cem. Concr. Res. 1993, 23, 761–772. [Google Scholar] [CrossRef]
- Frías, M.; Goñi, S. Accelerated carbonation effect on behaviour of ternary Portland cements. Compos. Part B Eng. 2013, 48, 122–128. [Google Scholar] [CrossRef]
- Kanamarlapudi, L. Different Mineral Admixtures in Concrete—A Review—Enhanced Reader; Springer Nature: Berlin, Germany, 2020; Volume 2, p. 760. [Google Scholar]
- Ayub, T.; Shafiq, N.; Khan, S.U.; Nuruddin, M.F. Durability of Concrete with Different Mineral Admixtures: A Review. Civ. Sci. Eng. 2013, 7. [Google Scholar]
- Licor Cebey, A. Título Evaluación de la Carbonatación en Hormigones Elaborados con Cemento de Bajo Carbono LC 3; Universidad Central Marta Abreu de Las Villas: Santa Clara, Cuba, 2016. [Google Scholar]












| Raw Materials | CaO | SiO2 | Al2O3 | SO3 | Fe2O3 | MgO | NaO2 | K2O | TiO2 | CaCO3 | LOI |
|---|---|---|---|---|---|---|---|---|---|---|---|
| Natural Clay | 1.65 | 43.4 | 25.78 | 0.24 | 12.11 | 0.64 | 0.33 | 0.25 | 1.07 | 21.2 | |
| Gypsum | 35.6 | 2.51 | 0.67 | 40.03 | 0.35 | 0.25 | 0.46 | 0.1 | 0.01 | ||
| Limestone | 5.39 | 94.61 | |||||||||
| Clinker | 61.4 | 19.34 | 3.75 | 0.73 | 2.64 | 1.12 | 0.80 | 0.40 |
| Materials | Clinker | Clay | LS | Gypsum | Total | Naequiv | SO3 |
|---|---|---|---|---|---|---|---|
| Portland Cement | 47.00% | 0.00% | 0.00% | 3.00% | 50.00% | 0.43 | 1.20% |
| LC2 2:1 | 0.00% | 31.50% | 15.00% | 3.500% | 50.00% | 0.77 | 1.40% |
| LC3-50 2:1 | 47.00% | 31.50% | 15.00% | 6.50% | 100.00% | 0.60 | 2.60% |
| Binders | Dv10% | Dv50% | Dv90% | Blaine cm2/g |
|---|---|---|---|---|
| Portland Cement | 1.02 | 13.94 | 46.49 | 4830.79 |
| LC3-50 | 0.60 | 4.60 | 28.98 | 11,546.10 |
| 15% LC2 + 85% Portland Cement | 0.90 | 12.56 | 46.77 | 5836.61 |
| 30% LC2 + 70% Portland Cement | 0.80 | 9.64 | 45.13 | 6732.89 |
| 45% LC2 + 55% Portland Cement | 0.74 | 7.62 | 42.45 | 8040.20 |
| Aggregate Properties | Coarse Aggregate | Fine Aggregate |
|---|---|---|
| Material finer than 75 µm (%): A | 0.45 | 2.32 |
| Relative density (sss state): Dsss (g/cm3) | 2.4 | 2.49 |
| Relative dry density (dry state): Ds(g/cm3) | 2.36 | 2.44 |
| Relative bulk density: D (g/cm3) | 2.45 | 2.57 |
| Absorption percentage: Pa (%) | 1.47 | 2.11 |
| Unit mass (bulk density) loose: Ms (kg/m3) | 1336.5 | 1450.5 |
| Finesse Modulus | 7.67 | 3.1 |
| Mix Design | OPC (kg) | LC3-50 (kg) | Silica Fume (kg) | LC2 (kg) | Fines Aggregate (kg) | Coarse Aggregate (kg) | Water (L) | w/b | % SP |
|---|---|---|---|---|---|---|---|---|---|
| M1 (Ref 1 100% OPC) | 496 | - | - | - | 858 | 903.5 | 157 | 0.32 | 0.85 |
| M2 (Ref 2 90% OPC + 10% SF) | 446.4 | - | 49.6 | - | 858 | 903.5 | 161 | 0.32 | 1 |
| M3 (LC3-50 co-ground) | 496 | - | 858 | 903.5 | 169.9 | 0.34 | 2 | ||
| M4 (OPC (85%) + LC2 (15%)) | 421.63 | - | - | 74.38 | 858 | 903.5 | 155.5 | 0.31 | 1 |
| M5 (CP (70%) + LC2 (30%)) | 347.25 | - | - | 148.75 | 858 | 903.5 | 158.6 | 0.32 | 1.3 |
| M6 (CP (55%) + LC2 (45%) | 272.75 | - | - | 223.25 | 858 | 903.5 | 163.6 | 0.33 | 1.5 |
| Mix Design | Settlement (cm) | Density (Kg/L) | Occluded Air % | Compressive Strength MPa | |||
|---|---|---|---|---|---|---|---|
| 24 h | 3 d | 7 d | 28 d | ||||
| Media | Media | Media | Media | ||||
| M1 (Ref 1 100% OPC) | 12 | 2.344 | 1.7 | 4.9 | 17.8 | 26.9 | 39.6 |
| M2 (Ref 2 90% OPC + 10% SF) | 10 | 2.345 | 1.5 | 3.7 | 12.6 | 22.5 | 40.5 |
| M3 (LC3-50 co-ground) | 7.5 | 2.345 | 0.9 | 3.8 | 13.8 | 26.6 | 45.7 |
| M4 (OPC (85%) + LC2 (15%)) | 10.5 | 2.342 | 1.6 | 4.4 | 13.7 | 20.7 | 39.2 |
| M5 (CP (70%) + LC2 (30%)) | 11 | 2.33 | 1.4 | 3.0 | 9.6 | 18.9 | 35.4 |
| M6 (CP (55%) + LC2 (45%) | 9 | 2.276 | 0.9 | 1.8 | 7.2 | 14.2 | 31.4 |
| Jan. | Feb. | Mar. | Apr. | May | June | July. | Aug. | Sept. | Oct. | Nov. | Dec. | |
|---|---|---|---|---|---|---|---|---|---|---|---|---|
| Average temperature (°C) | 24.4 | 25.2 | 25.4 | 24.7 | 24 | 22.4 | 22 | 21.4 | 21.4 | 21.6 | 22.1 | 23.2 |
| Min. temperature (°C) | 23.1 | 23.9 | 23.9 | 23.3 | 22 | 21.2 | 21 | 20.1 | 20 | 20.3 | 20.7 | 21.8 |
| Max. temperature (°C) | 26.6 | 27.2 | 27.4 | 26.9 | 26 | 24.5 | 24 | 23.8 | 24 | 24.1 | 24.7 | 25.7 |
| Precipitation (mm) | 70 | 109 | 94 | 51 | 30 | 19 | 20 | 14 | 15 | 14 | 17 | 34 |
| Humidity (%) | 81% | 82% | 82% | 82% | 83% | 84% | 83% | 82% | 82% | 81% | 80% | 80% |
| Rainy days (days) | 7 | 10 | 9 | 6 | 5 | 4 | 4 | 3 | 3 | 2 | 2 | 4 |
| Sun hours (hours) | 8.9 | 9.4 | 9.6 | 9.7 | 8 | 6.3 | 4.8 | 4.1 | 4.1 | 3.7 | 4.6 | 7.4 |
| Chloride Ion Permeability | Dnssm (×10−12 m2/s) |
|---|---|
| Very low | 0–3.5 |
| Low | 3.5–6.75 |
| Moderate | 6.75–10.5 |
| SAMPLE | Carbonation Depth (mm) | ||
|---|---|---|---|
| Air Zone (6 Months) | Air Zone (12 Months) | Air Zone (24 Months) | |
| CP | 0.00 | 1.00 | 1.00 |
| HS | 0.00 | 1.20 | 1.30 |
| LC3 | 1.50 | 2.60 | 5.20 |
| LC2-15 | 1.00 | 1.20 | 1.50 |
| LC2-30 | 1.50 | 2.20 | 3.00 |
| LC2-45 | 3.25 | 4.50 | 7.00 |
Disclaimer/Publisher’s Note: The statements, opinions and data contained in all publications are solely those of the individual author(s) and contributor(s) and not of MDPI and/or the editor(s). MDPI and/or the editor(s) disclaim responsibility for any injury to people or property resulting from any ideas, methods, instructions or products referred to in the content. |
© 2024 by the authors. Licensee MDPI, Basel, Switzerland. This article is an open access article distributed under the terms and conditions of the Creative Commons Attribution (CC BY) license (https://creativecommons.org/licenses/by/4.0/).
Share and Cite
Garces-Vargas, J.F.; Díaz-Cardenas, Y.; Martirena Hernandez, J.F. Evaluation of the Durability of Concrete with the Use of Calcined Clays and Limestone in Salinas, Ecuador. Minerals 2024, 14, 460. https://doi.org/10.3390/min14050460
Garces-Vargas JF, Díaz-Cardenas Y, Martirena Hernandez JF. Evaluation of the Durability of Concrete with the Use of Calcined Clays and Limestone in Salinas, Ecuador. Minerals. 2024; 14(5):460. https://doi.org/10.3390/min14050460
Chicago/Turabian StyleGarces-Vargas, Juan Francisco, Yosvany Díaz-Cardenas, and Jose Fernando Martirena Hernandez. 2024. "Evaluation of the Durability of Concrete with the Use of Calcined Clays and Limestone in Salinas, Ecuador" Minerals 14, no. 5: 460. https://doi.org/10.3390/min14050460
APA StyleGarces-Vargas, J. F., Díaz-Cardenas, Y., & Martirena Hernandez, J. F. (2024). Evaluation of the Durability of Concrete with the Use of Calcined Clays and Limestone in Salinas, Ecuador. Minerals, 14(5), 460. https://doi.org/10.3390/min14050460

