Abstract
Diamondiferous kimberlites occur in the Wafangdian area in the eastern part of the North China Craton (NCC). In order to better constrain their magmatic source and emplacement time, we have investigated apatite from two kimberlites, i.e., the #110 dike kimberlite and the #50 root-zone kimberlite by measuring in situ their U–Pb and Sr–Nd isotopic compositions. The crystallization ages of the #110 and #50 apatites are 460.9 ± 16.8 Ma and 455.4 ± 19.3 Ma, respectively. For the #50 apatite, 87Sr/86Sr = 0.70453–0.70613 and εNd(t) = −2.74 to −4.52. For the #110 apatite, 87Sr/86Sr = 0.70394–0.70478 and εNd(t) = −3.46 to −5.65. Based on the similar distribution patterns of the rare earth elements (REEs) and the similar Sr-Nd isotope compositions of the apatite, it is believed that the #110 and #50 kimberlites have the same source region and the kimberlite magmas in Wafangdian were derived from an enriched mantle source (EMI). The primary magmatic composition has little effect on the emplacement pattern. It is more likely that the geological environment played an important role in controlling the retention and removal of volatile components (H2O and CO2). This led to the different evolutionary paths of the kimberlite magma in the later period, resulting in differences in the major element compositions of the apatite. High Sr concentrations may be associated with hydrothermal (H2O-rich fluid) overprinting events in the later magmatic period; the higher light rare earth element (LREE) concentration of the #50 apatite reflects the involvement of the REE3+ + SiO44− ⇔ Ca2+ + PO43− replacement mechanism. Two emplacement patterns of the #110 dike kimberlite (#110 apatite, low Sr, and high Si) and the #50 root-zone (#50 apatite, high Sr, and low Si) kimberlites were identified via major element analysis of the #110 apatite and #50 apatite.
1. Introduction
Kimberlites, a rare type of ultramafic volcanic rock, are one of the main host rocks for diamonds [1,2]. Kimberlite magma can carry a large number of mantle xenoliths from the deep Earth and is an important medium for understanding deep geological processes [3,4]. Although abundant research relevant to the petrogenesis and metallogenic processes of kimberlites [5,6,7,8,9,10] has been conducted, the emplacement mechanisms of kimberlites and the role of melts/fluids during later magmatic evolution are still unclear. In addition, the relationship between the emplacement pattern of kimberlite magma and its diamondiferous capacity has received much attention from geologists, and the relationship between the emplacement pattern and magma composition intrigues us, especially the question of whether these factors are affected by the geological environment.
Structural geological and petrological studies indicate that the emplacement patterns of kimberlites can be divided into an explosive emplacement pattern and a non-explosive emplacement pattern. Kimberlites with explosive emplacement patterns are characterized by the development of crypto-explosion breccias, which are usually produced around the pipe periphery. Their typical occurrence is a vertical formation that resembles a carrot-like kimberlite breccia pipe. The kimberlite with a strong diamondiferous capacity in Wafangdian mostly occurs in the form of pipes. In contrast, non-explosive emplacement pattern kimberlites are characterized by the development of rounded xenoliths and flow structures. The typical kimberlite type is porphyritic kimberlite, which often occurs in near-surface environments in the form of sills or dikes. However, due to the lack of research on the controlling factors related to the emplacement pattern, the evolution of kimberlite magma in the later stages and the identifying characteristics of its mineralogy in the emplacement pattern are still unclear [11,12,13]. Some scholars believe that the different emplacement patterns depend on the tectonic geologic setting. For example, a thicker overlying cap prevents explosive eruption and promotes emplacement as dikes/sills rather than diatremes [14]. In addition, many petrological studies have found that there are a large number of hydrous minerals in kimberlites, such as phlogopite, indicating that kimberlite magma is a relatively H2O-rich environment. However, it is difficult to find direct evidence of magmatic-hydrothermal (H2O-rich melt/fluid) involvement. The main reason for this is the lack of understanding of late magmatic evolution. Apatite is an important mineral in the late magmatic evolution of kimberlites, and it records the compositional changes during the late magmatic evolution and emplacement. Therefore, the chemical composition of apatite can reflect the emplacement patterns and influences of the magmatic components resulting from the external fluid/melt overlaying [15,16,17,18,19,20,21,22,23,24,25,26].
The Wafangdian kimberlite, located in the northern margin of the North China Craton (NCC) (Figure 1), is one of the most famous diamond deposits in China. The North China Craton is the largest craton in China, and there have always been different understandings of its formation pattern and time. Early scholars believed that the North China Craton was formed mainly in the Archean period and gradually formed through the growth of continental nuclei, and some scholars proposed a collage pattern of micro-landmass [27]. In addition, whether there is an Ordovician volcano-intrusive magmatic activity in the North China Craton is a matter of great concern to the geological community [28]. The metallogenic age, emplacement pattern, and later magmatic evolution process of the Wafangdian kimberlite are still unclear. In this study, the #110 dike kimberlite in the Wafangdian #1 ore belt and the #50 root-zone kimberlite from pipe in the #2 ore belt are selected as the research objects. The U-Pb geochronology, mineralogy, and Sr-Nd isotope geochemistry of the apatite are studied. The aims of this study are (1) to identify the range of the metallogenic age and source of the Wafangdian kimberlites, (2) to determine the relationship between the emplacement pattern and apatite composition, and (3) to explore the melt/fluid participation events during the late evolution of the kimberlite magma.
Figure 1.
Simplified geologic map showing the cratons in China (A), a simplified geologic map of the diamondiferous Wafangdian region (B), and a field map of #110 dike kimberlite and #50 pipe kimberlite (C).
2. Geologic Setting
The Wafangdian diamond deposit is located in the eastern part of the NCC, which is the largest and oldest craton in China, with a crust up to 3.8 Ga old [29]. The NCC is bounded by the Late Paleozoic Central Asian Orogenic Belt to the north, the Early Paleozoic Qilianshan Orogen to the west, and the Qinling–Dabie–Sulu ultrahigh-pressure metamorphic belt to the south, which separates the NCC from the South China Block. The wall rock of the kimberlite intrusions in this mining area includes the Archaean–Paleoproterozoic Liaohe Group basement (composed of amphibolite and gneiss) and the Neoproterozoic Qingbaikou Formation cap bed (composed of limestone, shale, and sandstone) [30].
The kimberlites are concentrated in the western region of Wafangdian. According to the arrangement and association of the rock mass, it can be divided into four primary diamond belts from north to south (Figure 1). The spatial distribution of the kimberlites is characterized by groups and belts, and the strike of the ore belt is 65–75° NE, among which diamond belt I is the largest. The samples selected for investigation in this study are dike kimberlite from #110 in belt 1 (n = 12) and root-zone kimberlite from #50 in belt 2 (n = 11). Carbonate intrusions and kimberlite vein intrusions have been found in the wall rock of #110, and the interlayer faults are relatively well-developed [31]. The kimberlite occurrences in Wafangdian can be classified into three types: dikes, pipes, and concealed bodies. The dike kimberlites exhibit a predominant ENE trend (70–80°) that is largely controlled by a single dense joint or fracture oriented in the same direction. These dikes are inclined to the southeast with a dip of 70–80°. The dike wall exhibits a sleek and polished surface, with a distinct interface delineating its contact boundary with the surrounding rock.
Wafangdian and Mengyin are diamond-producing areas located in the eastern part of the NCC. The timing of diamondiferous kimberlites and the related magmatism in the NCC has been extensively investigated through the determination of perovskite U-Pb ages (Mengyin = 480.6 ± 2.9 Ma and 470 ± 4 Ma, respectively) [32,33], in situ calcite U–Pb ages (Mengyin = 383 ± 18 Ma) [34], baddeleyite Pb–Pb ages (Mengyin = 480.4 ± 3.9 Ma, Fuxian = 479.6 ± 3.9 Ma) [32], andradite phenocryst U-Pb ages (Wafangdian = 459.3 ± 3.4 Ma) [35], the Ar-Ar geochronology of the phlogopite megacryst ages (465 ± 2 Ma), and phlogopite Rb-Sr isochron ages (452–465 Ma) [36]. Using a suite of kimberlite samples collected from the central Shandong and Wafangdian regions, these data show that the kimberlite magmatic activity in the eastern part of the NCC is concentrated in the middle to late Ordovician period.
3. Petrography
3.1. Kimberlite Petrography of Pipe No. 50 and 110
The main rock types in the Wafangdian kimberlite area are porphyritic kimberlite, wall rock breccia porphyritic kimberlite, and kimberlitic breccia tuff. Porphyritic kimberlites are the most common type of kimberlite in the district. The fresh kimberlites in this area are generally grayish green and dark green [37]. Alteration is a common phenomenon in the porphyritic kimberlites in Wafangdian, primarily including serpentinization, phlogopitization, and carbonation. The macrocrysts in the kimberlite mainly include olivine, minor phlogopite, spinel, and garnet. Olivine phenocrysts are set in a fine-grained matrix consisting of spinel, magnetite, apatite, phlogopite, serpentine, and calcite. Most of the olivine has been pseudomorphed into serpentine [37]. No perovskite was found in the samples [33]. The kimberlite contains small amounts (<15%) of xenolith fragments (crust-derived and/or mantle-derived), and they have clear boundaries with the surrounding matrix [37]. In the #110 dike kimberlite sample, the distribution of the crustal-derived xenoliths is directional, exhibiting a flow-like structure (Figure 2B).
Figure 2.
Representative images showing the different petrographic features of (B,D,F), the #110 dike kimberlites, and (A,C,E) the #50 root-zone kimberlites. (A,B) show the rock samples from the #50 root-zone kimberlite and #110 dike kimberlite, respectively. (D,F) present plane-polarized transmitted light photomicrographs. C and E present cross-polarized transmitted light photomicrographs. Carb: carbonate, Serp: serpentine, Ol: olivine, Phl: phlogopite, and Sp: spinel. The Fe-Ti oxides are spinel and magnetite.
Several petrographic differences were observed between the #110 and #50 kimberlites. (1) carbonate minerals (veins) are present in the samples from the #50 root zone and the #110 dike kimberlites, but the carbonate minerals (veins) in the #110 kimberlite are notably more abundant (Figure 2F), which are consistent with the conclusion that the #110 kimberlite is relatively rich in CO2 [31]. (2) Compared with the #50 root-zone kimberlite, the #110 dike kimberlite has a lower abundance of phlogopite.
3.2. Apatite Petrography of Pipe No. 50 and 110
In the samples used in this study, the apatite occurs in two main textural settings: (1) discrete, ~10 to 100 μm, subhedral-euhedral hexagonal prisms that are evenly dispersed throughout the groundmass (Figure 3C,E); and (2) acicular or radial growth patterns (~30 μm to 300 μm in length) (Figure 3A,B,D,F). Both apatite textures are present in the kimberlite samples (#110 and #50 kimberlites), with one slight difference: the apatite in the No. 50 pipe kimberlite sample is more often euhedral. The two types of apatite (#110 apatite and #50 apatite) exhibit a zonal structure in the backscattered electron (BSE) images and X-ray element maps (Figure 3 and Figure 4); among them, the zonation of the #50 apatite is relatively obvious. Spinel inclusions are more likely to occur in radial apatite than in acicular apatite (Figure 3F), and the spinel abundance of the sample from the #110 dike kimberlite is higher than that in the #50 root-zone kimberlite.
Figure 3.
Backscattered electron images of the types of apatite (Ap) in the kimberlites. Ol: olivine, Phl: phlogopite, and Sp: spinel (A–F).
Figure 4.
Backscattered electron (BSE) images and X-ray element maps of #110 apatite crystals from the #110 dike kimberlites and the #50 apatite from the #50 root-zone kimberlites. The color scale to the right of each panel indicates the relative concentration of each element, i.e., cool colors (blue, black) denote low concentrations, and warm colors (red, orange) denote high concentrations. The warmness or coolness of the colors is only relative, reflecting the difference in concentration between apatite and its surrounding matrix (A–J).
4. Analytical Methods
4.1. Electron Probe Micro-Analysis (EPMA) of Apatite
The major element compositions of the apatite were determined by Nanjing Hongchuang Geological Exploration Technology Service Co., Ltd. from Nanjing, China, using a JEOL JXA-iSP100 Electron Probe Microanalyzer. All data were corrected using the atomic number, absorption, and fluorescence excitation (ZAF) correction method for the matrix effect.
The accelerating voltage, beam current, and diameter of the electron beam were 15 kV, 5 nA, and 20 µm, respectively. The counting time per analysis was 10 s at the peak position and 5 s at two background positions located on either side of the peak position. The following standards were used: apatite (F), almandine (Al), diopside (SiO2), albite (Na2O), olivine (MgO), celestite (SrO), apatite (P2O5), anhydrite (SO3), orthoclase (K2O), apatite (CaO), rutile (TiO2), tugtupite (Cl), monazite (La2O3), monazite (Ce2O3), rhodonite (MnO), and hematite (FeO).
4.2. X-ray Mapping of Apatite
The EPMA mapping analysis of apatite was carried out by Nanjing Hongchuang Geological Exploration Technology Service Co. Ltd. from China, using a JEOL JXA-iSP100 Electron Probe Microanalyzer. The accelerating voltage, beam current, pixel interval, and dwell time were 15 kV, 200 nA, 1.0 um, and 30 ms, respectively. The following characteristic X-rays and analyzing crystals were used: F (Kα, LDE1 crystal), P (Kα, PETJ crystal), Si (Kα, TAP crystal), Ca (Kα, PETJ crystal), Sr (Lα, TAP).
4.3. LA-ICP-MS Analysis of Apatite
In situ trace element analysis of the apatite was carried out using thin sections on epoxy mounts employing the laser ablation inductively coupled mass spectrometer (LA-ICP-MS) at Nanjing Hongchuang Geological Exploration Technology Service Co., Ltd. The Resolution SE model laser ablation system (Applied Spectra, West Sacramento, CA, USA) was equipped with an ATL (ATLEX 300) excimer laser and a Two Volume S155 ablation cell. The laser ablation system was coupled to an Agilent 7900 ICPMS (Agilent, Santa Clara, CA, USA).
The LA-ICP-MS tuning was performed using a 50 μm diameter line scan at 3 μm/s on NIST 612 at ~3.5 J/cm2 with a repetition frequency of 10 Hz. The gas flow was adjusted to achieve the highest sensitivity (238 U of ~6 × 105 cps) and the lowest oxide ratio (ThO/Th < 0.2%). The pulse-analog (PA) calibration was conducted using a 100 μm diameter line scan on NIST 610. The other laser parameters were the same as those for the tuning. The masses analyzed were 23(Na), 31(P), 39(K), 45(Sc), 49(Ti), 51(V), 52(Cr), 55(Mn), 57(Fe), 59(Co), 60(Ni), 63(Cu), 66(Zn), 69(Ga), 75(As), 85(Rb), 86(Sr), 89(Y), 90(Zr), 93(Nb), 137(Ba), 139(La), 140(Ce), 141(Pr), 146(Nd), 147(Sm), 151(Eu), 157(Gd), 159(Tb), 163(Dy), 165(Ho), 166(Er), 169(Tm), 173(Yb), 175(Lu), 178(Hf), 181(Ta), 208(Pb), 232(Th), and 238(U). The total sweep time was ~0.26 s. Pre-ablation was conducted for each spot analysis using five laser shots (~0.3 μm in depth) to remove potential surface contamination. The analysis was performed using a 38 μm diameter spot at 5 Hz with a fluence of 3 J/cm2 [38].
The Iolite software package (version 2.1.9) was used for data reduction [39]. NIST 610 and 43Ca were used as the external reference material and internal standard element, respectively, to calibrate the trace element concentrations. The content of Ca was calculated according to the chemical formula of apatite and assumed 39.36% (assumed 39.36% m/m Ca for all apatite samples).
4.4. In Situ LA-ICP-MS U-Pb Dating of Apatite
In situ U–Pb dating of apatite, the same equipment as above for LA-ICP-MS analysis, was used.
The detailed tuning parameters (have been described by Thompson et al. (2018) [38]. The LA-ICP-MS tuning was performed using a 50-micron diameter line scan at 3 μm/s on NIST 612 at ~3.5 J/cm2 with a repetition rate of 10 Hz. The gas flow was adjusted to achieve the highest sensitivity (238U of ~6 × 105 cps) and the lowest oxide ratio (ThO/Th < 0.2%). P/A calibration was conducted on NIST 610 using a 100-micron diameter line scan. The other laser parameters were the same as those used for the tuning. The isotopes analyzed were 31P, 43Ca, 45Sc, 49Ti, 86Sr, 89Y, 90Zr,93Nb, 139La, 140Ce, 141Pr, 146Nd, 147Sm, 151Eu, 157Gd, 159Tb, 163Dy, 165Ho, 166Er, 169Tm, 173Yb, 175Lu, 178Hf, 181Ta, 202Hg, 204Pb, 206Pb, 207Pb, 208Pb, 232Th, and 238U, with a total sweep time of ~0.26 s. In situ analysis of the apatite was carried out using thin sections on epoxy mounts using the LA-ICP-MS. Pre-ablation was conducted for each spot analysis using five laser shots (~0.3 μm in depth) to remove potential surface contamination. The analysis was performed using a 30 μm diameter spot at 5 Hz with a fluence of 2 J/cm2.
The Iolite software package was used for data reduction [40]. Madagascar and Durango apatites were used as the primary and secondary reference materials [41,42], and triplicate analyses of the Madagascar and Durango samples were bracketed between multiple groups of 10 to 12 unknown samples. Typically, 35–40 s of the sample signals were acquired after 20 s of gas background measurement. An exponential function was used to calibrate the downhole fractionation [40]. NIST 610 and 43Ca were used as external reference materials and internal standards, respectively, to calibrate the trace element concentrations.
4.5. In Situ Sr-Nd Isotope Analysis of Apatite
4.5.1. In Situ Sr Isotope Analysis
The in situ Sr isotope measurements were performed on the Neptune Plus MC-ICP-MS (Thermo Fisher Scientific, Dreieich, Germany) in combination with a J-200 343 nm femtosecond laser ablation system (Applied Spectra, USA) housed at the National Research Center for Geoanalysis, Chinese Academy of Geological Sciences (CAGS), Beijing, China. The JET sample and X skimmer cones were used, along with the guard electrode (GE), and all of the measurements were conducted in the low-resolution and static mode. At the beginning of every analytical session, the fs-LA-ICP-MS system was optimized using NIST 612 to achieve the maximum signal intensity and low oxide rates. The samples were ablated in line mode, with a spot size of 30 μm, line length of 20 μm, the stage movement speed of 0.65 μm/s, laser repetition rate of 8 Hz, and beam energy density of 1.5 J/cm2. The instrumental mass bias for the Sr isotopes was corrected using an exponential law function based on an 86Sr/88Sr ratio of 0.1194. The Durango apatite standard was analyzed every 10 samples to monitor the instrument stability. Correction of the interferences of Kr isotopes on masses 84 and 86 was successfully accomplished via background subtraction. The interferences of doubly charged ions of 168Er2+ on 84Sr, 170Er2+ and 170Yb2+ on 85Rb, 172Yb2+ on 86Sr, and 174Yb2+ on 87Sr were corrected based on the measured signal intensities of 167Er2+ (m/z = 83.5) and 173Yb2+ (m/z = 86.5) and the natural isotopic compositions of Rb, Er, and Yb [43].
4.5.2. In Situ Nd Isotope Analysis
Nd isotopic measurements were carried out employing the same ICP-MS and laser system as above for Sr. The samples were ablated in line mode with a spot size of 40 μm, line length of 20 μm, the stage movement speed of 0.65 μm/s, laser repetition rate of 8 Hz, and beam energy density of 1.5 J/cm2. An integration time of 15 s was used to acquire the background signal prior to ablation. The instrumental mass bias for the Nd and Sm isotopes was corrected using an exponential function based on a 146Nd/144Nd ratio of 0.7219 and a 147Sm/149Sm ratio of 1.0868 [44]. The interference of 143Sm on 143Nd was corrected based on the measured signal intensities of 147Sm, the mass bias coefficient, and the natural isotopic composition. The Durango apatite reference was analyzed every 10 samples to monitor the instrument stability and to enable external correction of the 147Sm/144Nd ratios.
5. Results
5.1. Major Element Characteristics
Apatite, Ca5(PO4)3(F, Cl, and OH), is a common groundmass mineral [16]. Ca2+ can be replaced by Mg2+, Fe2+, Sr2+, Mn2+, Pb2+, Cd2+, or Zn2+, as well as REE ions or alkali metal ions (K+, Na+). [PO4]3− ions can be partially replaced by the complex anion group [SiO4]4−, [SO4]2−, or [CO3]2−. Fluorapatite (Ca5(PO4)3F) is the most common type of apatite and is the subject of this study [45].
Ninety-nine data points were obtained in this study via electron probe microanalysis (EPMA) (Table S1, Figure 5). The apatites show relatively small between-grain variations in CaO (#110 apatite: 53.30 wt.%–55.70 wt.%; #50 apatite: 50.00 wt.%–54.40 wt.%) and P2O5 (#110 apatite: 39.70 wt.%–41.70 wt.%; #50 apatite: 39.60 wt.%–42.10 wt.%) contents and have low Na2O (#110 apatite: 0.03 wt.%–0.20 wt.%; #50 apatite: 0.01 wt.%–0.10 wt.%) and SiO2 (#110 apatite: 0.50 wt.%–1.70 wt.%; #50 apatite: 0.27 wt.%–0.70 wt.%) concentrations. The Si concentration of the #50 apatite is obviously lower than that of the #110 apatite. The #110 apatite has a slightly higher SO3 concentration (0.01 wt.%–0.17 wt.%) than the #50 apatite (0.01 wt.%–0.11 wt.%).
Figure 5.
Oxide–oxide variation diagrams for apatite grains from the #110 dike kimberlites and #50 root-zone kimberlites analyzed in this study. The circles denote samples of the #110 apatite (dike kimberlites), and the square symbols denote samples of the #50 apatite (root-zone kimberlites).
The F content (#50 apatite: 1.54 wt.%–2.20 wt.%; #110 apatite: 1.75 wt.%–3.26 wt.%) reported in this study is slightly lower than that previously reported for apatite in lamproite (2.09 wt.%–4.83 wt.%) [46,47] and that measured for the apatite in the Mengyin kimberlite (1.95 wt.%–5.67 wt.%) [48]. However, the F content of the apatite is slightly higher than that in other kimberlites. For example, the F contents of apatite in kimberlite have been found to be 0.90 wt.%–1.69 wt.% [16], 0.99 wt.%–1.29 wt.% [49], 1.17 wt.%–1.52 wt.% [50], and 0.40 wt.%–0.95 wt.% for synthetic kimberlite [51].
Compared with the Sr concentration in other parts of the world, e.g., the apatite in the Jos kimberlite (SrO: 0.33 wt.%–0.57 wt.%) [16], the Sr concentrations of the #50 and #110 apatites measured in this study are higher and the concentration range is wider, especially for the #50 apatite (#50 apatite: 2.21 wt.%–7.91 wt.%; #110 apatite: 0.77 wt.%–1.17 wt.%). In kimberlite melt, relative to early magmatic minerals (such as olivine and spinel), Sr is an incompatible element, so it does not easily enter the early minerals and remains in the magma during the magma crystallization process [48]. Therefore, Sr is gradually enriched in the magma in the late evolution of kimberlite. The ionic radius of Sr is between those of K and Ca, so homomorphic substitution easily occurs between these elements. In the late crystallization stage of kimberlite melts, Sr mainly enters apatite, and a small amount is incorporated into perovskite and phlogopite [48].
5.2. REE Characteristics
The LREE2O3 content of the #50 apatite (from root-zone kimberlites) is slightly higher (La2O3 + Ce2O3 = 0.19 wt.%–1.26 wt.%; many grains have light rare earth element (LREE) contents below the detection limits), and the range is wider than that of the #110 apatite (from dike kimberlites, 0.12 wt.%–0.80 wt.%) (Table S2). The LREEs, Sr, and other trace elements preferentially enter the structures of apatite during the crystallization of magmas that are both undersaturated in SiO2 and that contain appreciable carbonate [52]. Therefore, the REE partitioning pattern in apatite reflects the compositional characteristics of the parent magma [53]. The #110 apatite from the dike kimberlites and the #50 apatite from the root-zone kimberlites exhibit similar REE distribution patterns with strong LREE enrichment (Figure 6), and their REE distribution patterns are typical kimberlite REE distribution patterns [53,54,55,56,57]. The negative Eu anomalies are not as pronounced as those of the apatite in the Mengyin kimberlite [48], and the #50 and #110 kimberlites exhibit slight negative Ce anomalies. This indicates that the apatite was formed in an oxidizing environment. This may be because the apatite was primarily formed during the emplacement of the kimberlite melt, and the near-surface environment may have caused an increase in the oxygen fugacity.
Figure 6.
(A) Plot of S + LREE (La + Ce) vs. Si (atoms per formula unit, a.p.f.u) showing the compositions of the apatite from the dike kimberlites (pipe No. 110) and root-zone kimberlites (pipe No. 50) analyzed in this study. (B) Chondrite normalized REE patterns of the apatite from the dike kimberlites (pipe No. 110) and root-zone kimberlites (pipe No. 50). The Type 3 apatites are prismatic euhedral apatites from the phlogopite-rich Ekati Mine kimberlites.
The #50 and #110 apatites exhibit patterns similar to those of the prismatic euhedral apatite in the phlogopite-rich Ekati Mine kimberlites (Type 3 apatites) [21]. The primary difference is that the HREE of the #50 and #110 apatites are lower. In addition, it was also found that the REE distribution patterns in the #50 and #110 apatites are very similar to that of the perovskite in the Mengyin kimberlite [33], exhibiting LREE enrichment.
5.3. U-Th-Pb and U–Pb Isotopic Compositions of Apatite
5.3.1. U-Th-Pb Composition of Apatite
The Th content of the #50 apatite ranges from 6.76–134.50 ppm, the U content ranges from 2.06–44.10 ppm, and the Pbm (total-Pb) content ranges from 5.08–25.64 ppm (Table S3). The Th and U concentration ranges of the #110 apatite are 22.20–151.20 ppm and 5.49–22.32 ppm, respectively, and the Pbm (total-Pb) content of the #110 apatite ranges from 12.21–25.74 ppm. The high concentration of U, the good resistance to weathering, and the lack of alteration observed under the microscope are the basis on which apatite is used to date the kimberlite in Wafangdian.
5.3.2. U–Pb Isotope Composition of Apatite
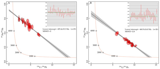
LA-ICP-MS was used to study the U-Pb chronology of the apatite (n = 25 for the #50 apatite; n = 26 for the #110 apatite) [58,59]. This method is feasible and has the advantages of high resolution, flexibility, and efficiency. These data were plotted on the Tera–Wasserburg graph, on which the upper intercept of the isochron and the Y-axis represent the 207Pb/206Pb ratio (initial Pb isotope composition) at the time of mineral formation (Table S3). The lower intercept of the isochron and the Concordia curve is the age of the mineral formation.
The 238U/206Pb ratio of the #50 apatite varies from 2.183 to 7.037 (average = 4.133), and the 207Pb/206Pb ratio varies from 0.363 to 0.615 (average = 0.507). An isochron was obtained by fitting it on the Tera–Wasserburg diagram. The lower intercept is 455.4 ± 19.3 Ma (MSWD = 2). The 238U/206Pb ratio of the #110 apatite varies from 5.865 to 10.320 (average = 8.705), and the 207Pb/206Pb ratio varies from 0.207 to 0.398 (average = 0.271). An isochron was obtained by fitting a straight line through these apatite data. From the lower intercept with the Concordia curve, we obtain an age of 460.9 ± 16.8 Ma (MSWD = 2.8) (Figure 7).
Figure 7.
ICP–MS U–Pb geochronological data for apatite from Wafangdian Province, China. (A) #50 apatite; (B) #110 apatite.
5.4. Sr-Nd Isotope Composition of Apatite
The in situ Rb-Sr and Sm-Nd data for our kimberlite apatite samples are presented in Table S4. The Rb concentration of the #50 apatite is 0.071–30.4 ppm, and the Sr concentration is 13,980–42,510 ppm. The #110 apatite has an Rb concentration of 0.46–287 ppm and a Sr concentration of 1579–8360 ppm (Table S5). The 87Sr/86Sr ratio of the #50 apatite varies from 0.70453 to 0.70613; the 87Sr/86Sr ratio of the #110 apatite varies from 0.70394 to 0.70478. It can be seen that the 87Sr/86Sr ratio of the #50 is slightly higher than that of the Paleozoic primitive mantle value (~0.7040) (Figure 8).
Figure 8.
(A) Initial 87Sr/86Sr vs. εNd variations of the Wafangdian apatite. The dashed-line fields denote Kuruman whole-rock kimberlite data from Donnelly et al. (2011) [60,61]. The kimberlite, orangeite, and transitional kimberlite fields are from Yang et al. (2009) [33] and the references therein. The initial Sr isotope compositions of the groundmass apatite and carbonate from the Kuruman kimberlites are indicated by thick lines parallel to the X-axis; no corresponding Nd data are available for these samples. (B) DM-depleted mantle, BSE-bulk silicate earth, EMI- and EMII-enriched mantle, HIMU-mantle with a high U/Pb ratio, PREMA-prevalent mantle [62].
The Sm concentration of the #50 apatite is 43.4–141.8 ppm, and the Nd concentration is 373–1161 ppm. The Sm concentration of the #110 apatite is 27.5–165.9 ppm, and its Nd concentration is 243–1128 ppm. For the #50 apatite, 143Nd/144Nd = 0.512032–0.512184, 147Sm/144Nd = 0.05438–0.09536, and εNd(t) = −2.74 to −4.52. For the #110 apatite, 143Nd/144Nd = 0.512022–0.512153, 147Sm/144Nd = 0.08786–0.10052, and εNd(t) = −3.46 to −5.65. The #50 apatite has slightly higher 143Nd/144Nd and εNd(t) values. It was found that the εNd(t) value of the kimberlite from Wafangdian analyzed in this study has a wide range of low εNd(t) values.
6. Discussion
6.1. Crystallization Age of the Wafangdian Kimberlite
Wafangdian is one of the most important diamond deposits in China, and its metallogenic age has attracted much attention. The kimberlite is susceptible to crust-mantle material contamination and alteration, which makes the study of the whole rock chronology challenging. According to the Ar-Ar and Rb-Sr dating of phlogopite, the magmatic emplacement time of the kimberlite in Wafangdian is 465 ± 2 Ma [36]. Through petrographic research, it was found that the #110 and #50 kimberlites contain a large amount of apatite, and the apatite generally exhibits a zoned structure, indicating that its magmatic mineral properties are the product of crystallization late in the magmatic evolution process. The apatite shows no sign of alteration, and no Pb loss was observed. As a repository of trace elements, apatite has high U and Pb contents, providing a good basis for isotopic dating. Therefore, the in situ U-Pb age of apatite can provide new insights for understanding the crystallization ages of the Wafangdian kimberlites.
In this study, the age of the apatite crystals was obtained via in situ U-Pb dating. Two groups of apatite crystallization ages were obtained in this study. The ages of the lower intercepts are 455.4 ± 19.3 Ma for the #50 apatite (n = 25, MSWD = 2.0) and 460.9 ± 16.8 Ma for the #110 apatite (n = 26, MSWD = 2.8) (Figure 6). We believe that the crystallization age of the apatite is representative of the crystallization age of the kimberlite. Our results are roughly similar to the results of previous studies, which fully demonstrates the credibility of our results. Based on LA-ICP-MS U-Pb dating of the apatite in the kimberlite in Wafangdian, it can be concluded that the kimberlite magmatic activity in the eastern part of the NCC occurred mainly in the Middle to Late Ordovician [32,34,35]. The age obtained via in situ U-Pb geochronology of the apatite in this study is slightly younger than that obtained in previous studies via Rb-Sr and Ar-Ar dating of phlogopite, which is consistent with the conclusion that the crystallization of the phlogopite occurred slightly earlier than that of the apatite.
6.2. Sr-Nd Isotope Constraints on Petrogenesis of the Wafangdian Kimberlites
The nature of the primary kimberlite melt has been a matter of debate. Due to the alteration and weathering effects of kimberlites, it is unlikely that any ultra-deep kimberlite magma represents the primary magma [62]. The Sr isotope composition of whole rock kimberlite samples is particularly susceptible to alteration and crustal contamination [16]. This problem can be circumvented by analyzing minerals that crystallized before the kimberlite magma was emplaced in the upper crust. In previous studies of kimberlites, perovskite has often served as the mineral of choice for isotopic dating. However, in this study and previous studies on the Wafangdian kimberlite, relatively little perovskite has been observed. This makes obtaining precise constraints on the magmatic properties of the primary kimberlite challenging. Therefore, we chose apatite, a reliable alternative.
The 87Sr/86Sr values of apatite have been reported for the Kuruman Kimberlite (South Africa), and the results are only slightly different from those obtained using co-existing perovskites [15]. The similarity of the Sr isotope compositions of perovskite and apatite suggests that apatite also has the potential to provide a good estimate of the isotopic composition of kimberlite magma [15]. Variations in the Sr isotope compositions of kimberlites (including olivine, phlogopite, perovskite, apatite, and calcite) have also been observed in thermal ionization mass spectrometric (TIMS) studies of the Jos kimberlites in Canada, suggesting that olivine and apatite phenocrysts provide the best record of the Sr isotope composition of the primary magma [16]. In our study of the Sr-Nd isotope compositions of the apatite in the kimberlite in Wafangdian, no large difference was observed, as is common in whole-rock analysis [36]. Through the study of the primary properties of the kimberlite magma in Wafangdian, we conclude that it is feasible to focus on apatite in the absence of perovskite.
REEs and the 87Sr/86Sr ratio are commonly used to detect crustal contamination in kimberlite magma. In the obtained data in this study, the differences between the REE characteristics of the #50 and #110 apatite are relatively small (Figure 6), and the REE distribution patterns are very similar to that of the perovskite in the Mengyin kimberlite [33], exhibiting strong LREE enrichment. Regarding its strong LREE enrichment, one aspect shows that apatite, as a repository of trace elements, has a high compatibility for REEs. In addition, because the La/Yb ratios of crustal materials are much lower if there is strong crustal contamination of the kimberlite magma in Wafangdian, then its La/Yb ratio should be relatively low; however, the actual relationship is the opposite. In addition, the 87Sr/86Sr ratios of the #110 and #50 apatites are relatively uniform, concentrated between 0.7040 and 0.7050, while the εNd varies greatly (−2 to −6). We believe that there was no strong crustal material contamination of the kimberlite magma in Wafangdian because, if there were crustal contamination, then the Nd isotopes would change with the Sr isotopes [36].
Compared with perovskites from kimberlite elsewhere in the world [15,33,63], the higher 87Sr/86Sr and lower εNd(t) values here suggest that there was a certain degree of sub-continental lithospheric mantle (SCLM) contamination in the kimberlite magma in Wafangdian [15]. In general, the 143Nd/144Nd and εNd(t) values of the apatite in the Wafangdian kimberlite obtained in this study are significantly lower than the 143Nd/144Nd ratios of the perovskite in kimberlite rocks in other parts of the world, but the 87Sr/86Sr ratios are slightly higher. It is believed that the crystallization time of the apatite is later than that of perovskite, and during the crystallization stage of apatite, the kimberlite magma may have experienced assimilation of SCLM material.
These Sr-Nd isotope data suggest an enriched mantle (EMI) source (Figure 8). The isotopic characteristics of this EMI-like source may reflect a relatively short time between mantle metasomatism and kimberlite genesis. The sustained interaction between the metasomatized melt and depleted SCLM will, over time, lead to significant isotopic evolution (higher Sr and lower Nd). The process of mantle metasomatism may be continuous, and kimberlites may be generated from the metasomatized sub-continental lithospheric mantle [63]. Regarding the enriched mantle source region of the kimberlite in Wafangdian, it has been proposed that the NCC was affected by the surrounding tectonic movement 0.9–0.7 Ga ago, which destroyed the stable environment of the continental lithosphere, that had previously existed for a long time. At this time, the C-H-O fluid rose along the fault channel and metasomatized the mantle, which had previously been depleted by the early formation of the crust, triggering incompatible-element enrichment of the mantle and forming an enriched mantle containing phlogopite [37]. We believe that the kimberlite magma in Wafangdian may have formed via the partial melting of such an enriched mantle source.
6.3. Apatite Perspective: Late Magmatic Evolution of Kimberlite
The influence of late hydrothermal activity on kimberlite magma is usually inevitable, but direct evidence for this activity is often difficult to find. Extremely Sr-rich apatite has been reported in the Lac de Gras kimberlites and is thought to be related to deuteric fluids or hydrothermal fluids [64]. In our study, the abnormal enrichment of Sr in the #50 apatite has aroused our interest. It is expected that the results of this study on apatite will improve our understanding of what happened in the late period of kimberlite magmatism in Wafangdian.
In kimberlite melts, Sr is an incompatible element with respect to earlier minerals, so Sr does not easily enter the early crystalline mineral phases and becomes enriched during the differentiation of the magma. It is finally enriched in apatite and perovskite [52,65]. Due to the lack of perovskite, a large fraction of Sr, which remained in the melt, entered the apatite crystals. This may be one of the factors that led to the Sr enrichment of the #110 and #50 apatites. The Sr content of apatite in igneous rocks usually reflects the Sr content of the whole rock and is therefore used as an indicator to assess the degree of magmatic fractionation [18,66]. In this study, we found that the Sr concentration of the apatite varies widely, especially for the #50 apatite, which may be caused by the difference in the environment in which the apatite was formed. Previous whole-rock geochemical analyses of the #50 kimberlites have suggested that the #50 kimberlites are relatively H2O-rich [67]. The abnormal Sr concentration of the #50 apatite is inferred to have been caused by the late addition of a Sr-rich magmatic-hydrothermal fluid (H2O-rich fluids). There is a clear negative correlation between the CaO and SrO contents of the #50 apatite (Figure 5), which we interpret to be due to the substitution of Sr for Ca in the apatite lattice [48]. Next, we attempted to elucidate the behavior of the Sr in the apatite using the Sr distribution coefficients (DSr) between apatite and various melt and/or fluid compositions.
The DSr values of apatite are similar for carbonate and silicate melts; for example, the DSr for carbonate melt is 0.70–2.4 [68], and that for mafic silicate melt is 1.10–1.60 [69,70]. These apatite-melt DSr values do not change systematically with temperature and pressure [69,70]. In contrast, partition coefficients between apatite and H2O-rich fluids are much higher (17.50–27.80) [71]. The high abundance of mica in the #50 kimberlites (root-zone kimberlites) is direct evidence of the involvement of substantial quantities of H2O-rich fluids (i.e., a low mica abundance with high CO2/H2O) [72], that is, and the lower CO2/H2O ratio promoted mica crystallization. In addition, a large number of spinel inclusions occur in the #110 apatite (Figure 3F), carbonates (mainly calcites) occur around the #110 dike kimberlites, and in the samples, and the mica abundance of the #110 dike kimberlites is lower than that the #50 kimberlites. This evidence indicates that the #110 kimberlite magma has a higher CO2 content (or CO2/H2O ratio) [31], which may have facilitated the crystallization of carbonates while limiting the crystallization of mica in the #110 kimberlite. In summary, the #50 kimberlite (root-zone kimberlites) exhibit traces of deuteric or hydrothermal (H2O-rich fluid) overprinting events in the later stages of magmatic evolution [64], which promoted the rise of the DSr and caused a large amount of Sr to enter the #50 apatite, resulting in its unusual Sr enrichment (2.21%–7.91%). In contrast, based on the results of this study, it is speculated that low–Sr apatite may be more likely to occur in the #110 dike kimberlites because it has directly crystallized from the CO2-rich kimberlite melt. In addition, experimental studies have shown that Cl preferentially enters the H2O-rich fluid phase [73,74]. Therefore, if hydrothermal overprinting (H2O-rich) occurs in the late magmatic evolution stage, it may cause the relative loss of Cl in the apatite crystals. In this study, it was found that the Cl/F ratios of the #50 apatite (0–0.009) are lower than the Cl/F ratio of the #110 apatite (0–0.017). This also provides complementary evidence for the occurrence of late hydrothermal overprinting events in the #50 apatite.
Compared with the #50 apatite, the #110 apatite has a higher SiO2 content (Table S1; Figure 5). There is a rough negative correlation between the P2O5 and SiO2 contents of the #110 apatite (Figure 5), and it is speculated that a large amount of [SiO4]4− replaces the [PO4]3− in the apatite during crystallization. In the apatite structure, the replacement of PO43− by SiO44− is thought to be the main mechanism of achieving Si enrichment: (1) REE3+ + SiO44− ⇔ Ca2+ + PO43−; (2) SO42− + SiO44− ⇔ 2PO43−; and/or (3) SiO44− + CO32− ⇔ 2PO43− [18,75]. The fact that the Si/(S + LREE) ratio of the #110 apatite varies between 1:10 and 1:5 (Figure 6) and the #110 apatite (dike kimberlites) is relatively rich in Si and SO3 and poor in P, Sr, and LREEs (La2O3 + Ce2O3) suggests that replacement mechanisms (2) and (3) both played a role in the #110 apatite. Mechanism (3) has been proven to occur in apatite in carbonatitic rocks [76], and substitution mechanism (3) is consistent with the carbonate-rich (CO2) characteristics of the kimberlite melt [4,8,77,78,79]. The Si/(S + REE) ratio of the #50 apatite varies between 1:5 and 1:1 (Figure 6), indicating that replacement mechanism (1) was the main mechanism. Compared with the #110 apatite, the unusually high LREE contents of the #50 apatite also reflect the occurrence of a hydrothermal (H2O-rich) overprinting event in the later period.
6.4. Apatite Indication of Emplacement Pattern of Wafangdian Kimberlite
The relationship between magma composition and magma emplacement has been a topic of interest. In the above discussion, it was recognized that the #110 dike kimberlites are relatively CO2-rich, while the #50 root-zone kimberlites are relatively H2O-rich. We suspect that the volatile components may have played an important role in the evolution of these kimberlites. In this study, we attempted to use apatite to establish an identification marker of the magma emplacement pattern, that is, dike vs. root zone, of the Wafangdian kimberlite. There are significant differences in the major element compositions of the apatite in the samples analyzed in this study, and the two emplacement patterns of the #110 dike and the #50 root zone kimberlite were distinguished (Figure 5). This prompted several questions. What is the relationship between the emplacement pattern of the kimberlite and the composition of the apatite? Does the compositional change in the apatite control the emplacement pattern of the kimberlite magma, or does the emplacement pattern of the kimberlite magma affect the compositional change in the apatite?
Apatite serves as a reservoir for trace elements, and it is considered that the REE distribution pattern of apatite can reflect the REE characteristics of the kimberlite parent magma [53]. If the magma composition affects the emplacement patterns of kimberlite magma, then the REE distribution patterns of the #50 and #110 apatites should be different. However, the opposite is true. The #110 and #50 apatites have similar REE patterns and similar Sr-Nd isotope compositions (Figure 8), suggesting that they are derived from a similar source and primitive magma composition. This similar primitive magma composition also includes volatiles (H2O and CO2) because volatiles can change distribution coefficients (KD) between minerals and melts; for example, the CO2 concentration influences the KD values of Fe-Mg between olivine and melt. That is, the primary magma components may not have played the only role in controlling the kimberlite magma emplacement pattern. The primary magma composition did not affect the emplacement mechanism. This has been confirmed in a study of olivine and spinel from the Diavik mine (Lac de Gras, Canada) [80].
Olivine and spinel are thought to have crystallized prior to the emplacement of the magma in the upper crust [81,82], whereas the apatite probably formed during or after emplacement. The #110 apatite (from dike kimberlites) and #50 apatite (from root-zone kimberlites) have significantly different major element compositions (Figure 5), and it is speculated that the late magma evolution process was different. Therefore, the process causing magma compositional differentiation may have occurred in the later stage of magmatic evolution and may have even coincided with the intrusion into the upper crust.
The #110 and #50 kimberlite magmas may have originated in the same source region and had similar initial compositions, but they produced two different kimberlite emplacement patterns, so it is reasonable to assume that the magmatic composition is not a factor affecting the emplacement pattern. Therefore, we believe that the differences in the emplacement patterns caused the different evolution paths of the magmas in the later period, thus affecting the differences in the magma compositions and that these differences are expressed through the apatite formed during the later period of magma evolution. In addition, we also believe that the volatile composition (mainly H2O and CO2) plays a key role in influencing the magma composition. We know that a direct approach to changing the contents of the volatile components of the melt is an exsolution. Local geological conditions such as surface breakthroughs (including rock fissures, faults, and deep fractures) and higher porosities can cause local stress state changes, such as a reduction in the confining pressure, which in turn can lead to a reduction in the solubility of the volatile components, resulting in CO2 exsolution [11].
The identification of hypabyssal intrusive rocks has always been a challenge [83,84]. Regarding the origin of root-zone coherent kimberlites, some scholars have proposed that they are formed by the welding of pyroclastic material [13,85]. Variations in the volatile compositions of magmas have been used to explain the petrogenetic differences between coherent and pyroclastic kimberlites [75]. Kimberlite magmas with higher H2O and SiO2 contents reach the point of volatile release and magma fragmentation at relatively greater depths [11,12], resulting in pyroclastic kimberlites. This seems to explain the origin of the #50 root-zone kimberlites [80]. The hydrothermal fluid (H2O-rich fluids) entered the kimberlite melts along these weak structural surfaces, resulting in H2O-rich conditions. This created favorable conditions for the crystallization of the unusually Sr-rich #50 apatite and provided a favorable environment for the crystallization of large amounts of phlogopite. The overprinting of the #50 root-zone kimberlite by H2O-rich fluids may reflect the relatively high porosity of the root-zone kimberlite deposits, which is consistent with the welding of pyroclastic material.
In addition, crustal assimilation is likely to increase the Si content of the melt and thus decrease the solubility of CO2 [11,81,86,87], probably causing CO2 exsolution, resulting in explosive emplacement [75]. The REE and Sr-Nd isotope compositions of the #110 apatite do not exhibit a strong crustal contamination signal. Therefore, we believe that the assimilation of crustal materials contributed little to the #110 kimberlite magma [31]. If the overlying formation were thicker and well-sealed during rising magma and emplacement of the kimberlite, the CO2 would not have exsolved and remain in the magma. Thus, explosive emplacement can be avoided, allowing kimberlite magmas to be emplaced as dike complexes [75]. In addition, it can be observed in the samples of the #110 dike kimberlites that the rounded xenoliths exhibit a certain directional flow arrangement, which also provides evidence of the non-explosive emplacement of the #110 dike kimberlites (Figure 2B). It is reasonable to conclude that the #110 dike kimberlite may have formed in a more closed geologic setting, which allowed this magma to retain a large amount of CO2 late in its magmatic evolution. This inhibited the crystallization of mica and facilitated the formation of carbonates (calcites). The high abundance of carbonate minerals and carbonate veins in the #110 kimberlite matrix may indicate that a large amount of CO2 is still retained in the magma (Figure 2F).
In summary, we believe that the geologic setting controls the retention and removal of volatiles and thus affects the evolution path of the magma in the later period, resulting in different emplacement patterns.
7. Conclusions
The in situ U-Pb compositions of the #50 and #110 apatites were analyzed via LA-ICP-MS, and the emplacement ages of the #50 and #110 kimberlite were determined to be 455.4 ± 19.3 Ma and 460.9 ± 16.8 Ma, respectively. In other words, they are concentrated in the Middle to Late Ordovician.
Apatite has great potential in kimberlite isotope research, and the Sr-Nd isotope compositions of apatite suggest that the kimberlite magma in Wafangdian may have been formed from enriched mantle (EMI). The #110 and 50 apatites have similar Sr-Nd isotope compositions and are thought to have originated in the same source region.
The #110 apatite is thought to have crystallized directly from a CO2-rich kimberlite magma. The #50 apatite indicates the occurrence of a hydrothermal (H2O-rich fluid) overprinting event. Replacement mechanisms (2) SO42+ + SiO44− ⇔ 2PO43− and/or (3) SiO44− + CO32− ⇔ 2PO43− played a role in the #110 apatite. Replacement mechanism (1), REE3+ + SiO44− ⇔ Ca2+ + PO43−, may have made a significant contribution to the LREE enrichment of the #50 apatite.
The volatile components (mainly CO2 and H2O) played an important role in the change in apatite composition. Different geologic settings regulated the removal and retention of volatiles in magma. The #110 dike kimberlites may have formed in a geologic environment with a thick cover and good sealing ability, and as a result, explosive emplacement was avoided. The #50 root zone kimberlites are thought to be H2O-rich and may have been formed in a geologic environment with more fragmentation and a higher porosity, which may be extended to pyroclastic kimberlites. The fractured geologic environment and high porosity provided favorable conditions for the addition of H2O-rich hydrothermal fluids, thereby resulting in the unusual Sr enrichment of the #50 apatite.
The major element compositions of apatite (e.g., SrO and SiO2 were used to effectively distinguish between the two emplacement patterns of the kimberlites: (1) the #110 dike kimberlite (#110 apatite: low Sr, high Si and Ca); and (2) the #50 root-zone kimberlites (#50 apatite: high and variable Sr, low Si and Ca). In addition, we also believe that apatite has great potential for indicating the diamondiferous capacity of kimberlites.
According to our research, the apatite in Wafangdian kimberlite can not only determine the age of magmatic activity and trace the source of magma but also have great potential to constrain the later magma evolution path. It provides a new way for future kimberlite-related research work.
Supplementary Materials
The following supporting information can be downloaded at: https://www.mdpi.com/article/10.3390/min14030284/s1. Table S1. Major element compositions (wt.%) of the #110 apatite from dike/sill kimberlites (pipe No. 110) and major element compositions (wt.%) of #50 apatite from root-zone kimberlites (pipe No. 50) in the studied samples. Table S2. Rare earth element contents of the #50 apatite from the root-zone kimberlites (pipe No. 50) and the #110 apatite from the dike/sill kimberlites (pipe No. 110) determined via LA-ICP-MS (ppm). Table S3. U–Pb isotopic of apatite. Table S4. In-situ Sr and Nd isotope analytical results of the apatites from the Liaoning kimberlite, eastern North China Craton. Table S5. Trace elements of apatite.
Author Contributions
Writing—original draft, Writing-review and editing: S.M.; Validation, Supervision, Funding acquisition: E.W.; Validation, Conceptualization, Resources: H.F.; Validation, Methodology: Y.M.; Validation, Methodology: J.F.; Conceptualization, Resources: F.W.; Conceptualization, Resources: L.L.; Software, Methodology: X.Y.; Conceptualization, Methodology: K.S. All authors have read and agreed to the published version of the manuscript.
Funding
This research was supported by the Fundamental Research Funds for the Central Universities (N2123030).
Data Availability Statement
The data presented in this study are available in this article and Supplementary Material.
Acknowledgments
We thank the Nanjing Hongchuang Geological Exploration Technology Service Co., Ltd. for access to the JEOL JXA-iSP100 Electron Probe Microanalyzer and resolution SE model laser ablation system (Applied Spectra, USA). We are also deeply indebted to the Liaoning Geological Exploration Mining Group for their kind assistance with the field investigation and sampling.
Conflicts of Interest
Authors Fanglai Wan and Liguang Liu were employed by the Liaoning Sixth Geological Brigade Co., Ltd. The remaining authors declare that the research was conducted in the absence of any commercial or financial relationships that could be construed as a potential conflict of interest.
References
- Giuliani, A.; Phillips, D.; Kamenetsky, V.S.; Goemann, K. Constraints on Kimberlite Ascent Mechanisms Revealed by Phlogopite Compositions in Kimberlites and Mantle Xenoliths. Lithos 2016, 240–243, 189–201. [Google Scholar] [CrossRef]
- Heaman, L.M.; Kjarsgaard, B.A.; Creaser, R.A. The Timing of Kimberlite Magmatism in North America: Implications for Global Kimberlite Genesis and Diamond Exploration. Lithos 2003, 71, 153–184. [Google Scholar] [CrossRef]
- Castillo-Oliver, M.; Galí, S.; Melgarejo, J.C.; Griffin, W.L.; Belousova, E.; Pearson, N.J.; Watangua, M.; O’Reilly, S.Y. Trace-Element Geochemistry and U-Pb Dating of Perovskite in Kimberlites of the Lunda Norte Province (NE Angola): Petrogenetic and Tectonic Implications. Chem. Geol. 2016, 426, 118–134. [Google Scholar] [CrossRef]
- Soltys, A.; Giuliani, A.; Phillips, D. A New Approach to Reconstructing the Composition and Evolution of Kimberlite Melts: A Case Study of the Archetypal Bultfontein Kimberlite (Kimberley, South Africa). Lithos 2018, 304–307, 1–15. [Google Scholar] [CrossRef]
- Dalton, H.; Giuliani, A.; O’Brien, H.; Phillips, D.; Hergt, J. The Role of Lithospheric Heterogeneity on the Composition of Kimberlite Magmas from a Single Field: The Case of Kaavi-Kuopio, Finland. Lithos 2020, 354–355, 354–355. [Google Scholar] [CrossRef]
- Zhang, W.; Johnston, S.T.; Currie, C.A. Kimberlite Magmatism Induced by West-Dipping Subduction of the North American Plate. Geology 2019, 47, 395–398. [Google Scholar] [CrossRef]
- Dongre, A.; Viljoen, K.S.; Belyanin, G.; Le Roux, P.; Malandkar, M. Petrogenesis of the Diamondiferous Pipe-8 Ultramafic Intrusion from the Wajrakarur Kimberlite Field of Southern India and Its Relation to the Worldwide Mesoproterozoic (~1.1 Ga) Magmatism of Kimberlite and Related Rocks. Geosci. Front. 2020, 11, 793–805. [Google Scholar] [CrossRef]
- Le Roex, A.P.; Bell, D.R.; Davis, P. Petrogenesis of Group I Kimberlites from Kimberley, South Africa: Evidence from Bulk-Rock Geochemistry. J. Petrol. 2003, 44, 2261–2286. [Google Scholar] [CrossRef]
- Sharma, A.; Kumar, A.; Pankaj, P.; Pandit, D.; Chakrabarti, R.; Rao, N.V.C. Petrology and Sr-Nd Isotope Systematics of the Ahobil Kimberlite (Pipe-16) from the Wajrakarur Field, Eastern Dharwar Craton, Southern India. Geosci. Front. 2019, 10, 1167–1186. [Google Scholar] [CrossRef]
- Chalapathi Rao, N.V.; Lehmann, B.; Panwar, B.K.; Kumar, A.; Mainkar, D. Petrogenesis of the Crater-Facies Tokapal Kimberlite Pipe, Indra¯vati Basin, Central India. Geosci. Front. 2014, 5, 781–790. [Google Scholar] [CrossRef]
- Moussallam, Y.; Morizet, Y.; Gaillard, F. H2O–CO2 Solubility in Low SiO2-Melts and the Unique Mode of Kimberlite Degassing and Emplacement. Earth Planet. Sci. Lett. 2016, 447, 151–160. [Google Scholar] [CrossRef]
- Skinner, E.M.W.; Marsh, J.S. Distinct Kimberlite Pipe Classes with Contrasting Eruption Processes. Lithos 2004, 76, 183–200. [Google Scholar] [CrossRef]
- Sparks, R.S.J. Kimberlite Volcanism. Annu. Rev. Earth Planet. Sci. 2013, 41, 497–528. [Google Scholar] [CrossRef]
- Field, M.; Scott Smith, B.H. Contrasting Geology and Near-Surface Emplacement of Kimberlite Pipes in Southern Africa and Canada. In Proceedings of the 7th International Kimberlite Conference, Cape Town, South Africa, 11–17 April 1998; Gurney, J.J., Gurney, J.L., Pascoe, M.D., Richardson, S.H., Eds.; Red Roof Design Cape Town 1; University of Cape Town: Cape Town, South Africa, 1999; pp. 214–237. [Google Scholar]
- Donnelly, C.L.; Griffin, W.L.; Yang, J.H.; O’Reilly, S.Y.; Li, Q.L.; Pearson, N.J.; Li, X.H. In Situ U-Pb Dating and Sr-Nd Isotopic Analysis of Perovskite: Constraints on the Age and Petrogenesis of the Kuruman Kimberlite Province, Kaapvaal Craton, South Africa. J. Petrol. 2012, 53, 2497–2522. [Google Scholar] [CrossRef]
- Malarkey, J.; Pearson, D.G.; Kjarsgaard, B.A.; Davidson, J.P.; Nowell, G.M.; Ottley, C.J.; Stammer, J. From Source to Crust: Tracing Magmatic Evolution in a Kimberlite and a Melilitite Using Microsample Geochemistry. Earth Planet. Sci. Lett. 2010, 299, 80–90. [Google Scholar] [CrossRef]
- Mitchell, R.H.; Giuliani, A.; O’Brien, H. What Is a Kimberlite? Petrology and Mineralogy of Hypabyssal Kimberlites. Elements 2019, 15, 381–386. [Google Scholar] [CrossRef]
- Piccoli, P.M.; Candela, P.A. Apatite in Igneous Systems. Rev. Miner. Geochem. 2002, 48, 255–292. [Google Scholar] [CrossRef]
- Tollari, N.; Barnes, S.J.; Cox, R.A.; Nabil, H. Trace Element Concentrations in Apatites from the Sept-Îles Intrusive Suite, Canada—Implications for the Genesis of Nelsonites. Chem. Geol. 2008, 252, 180–190. [Google Scholar] [CrossRef]
- Watson, E.B. Apatite and Phosphorus in Mantle Source Regions: An Experimental Study of Apatite/Melt Equilibria at Pressures to 25 Kbar. Earth Planet. Sci. Lett. 1980, 51, 322–335. [Google Scholar] [CrossRef]
- Milligan, R.; Fedortchouk, Y.; Normandeau, P.X.; Fulop, A.; Robertson, M. Features of Apatite in Kimberlites from Ekati Diamond Mine and Snap Lake, Northwest Territories, Canada: Modelling of kimberlite Composition. In Proceedings of the 11th International Kimberlite Conference Extended Abstract, Gaborone, Botswana, 18–22 September 2017. [Google Scholar]
- Qian, L.; Wang, Y.; Xie, J.; Sun, W. The Late Mesozoic Granodiorite and Polymetallic Mineralization in Southern Anhui Province, China: A Perspective from Apatite Geochemistry. Solid. Earth Sci. 2019, 4, 178–189. [Google Scholar] [CrossRef]
- Yang, F.; Santosh, M.; Glorie, S.; Xue, F.; Zhang, S.; Zhang, X. Apatite Geochronology and Chemistry of Luanchuan Granitoids in the East Qinling Orogen, China: Implications for Petrogenesis, Metallogenesis and Exploration. Lithos 2020, 378–379, 105797. [Google Scholar] [CrossRef]
- Soltys, A.; Giuliani, A.; Zurich, E.; Phillips, D. Kimberlite Metasomatism of the Lithosphere and the Evolution of Olivine in Carbonate-Rich Melts-Evidence from the Kimberley Kimberlites (South Africa) Geochemical Investigations of LIP Magmatic Processes View Project. J. Petrol. 2020, 61, egaa062. [Google Scholar] [CrossRef]
- Xu, S. Apatite Geochemical Constraints on Petrogenesis and Metallogenesis of Mafic-Ultramafic Intrusions in the Emeishan Large Igneous Province. Master’s Thesis, Lanzhou University, Lanzhou, China, 2022. [Google Scholar]
- Yan, X.Y.; Yang, D.B.; Xu, W.L.; Quan, Y.K.; Wang, A.Q.; Hao, L.R.; Yang, H.T.; Wang, F. Apatite Geochemistry from Mafic Rocks in the Northeastern North China Craton: New Insights into Petrogenesis. Lithos 2023, 436–437, 106942. [Google Scholar] [CrossRef]
- Si, B. Petrography, Mineralogical and Geochemical Characteristics of Kimberlite in North China Platform. Adv. Geosci. 2023, 13, 292–303. [Google Scholar] [CrossRef]
- Yang, C.; Ba, Y.; Wang, Y.; He, K.; Bai, G. Ordovician Magmatism in the North China Craton-Evidence from U-Pb Age of the Inherited Zircon from Cretaceous Diorite in Lingtou Area, Anyang, Henan. Geol. Rev. 2023, 69, 1151–1160. [Google Scholar] [CrossRef]
- Wan, Y.; Liu, D.; Nutman, A.; Zhou, H.; Dong, C.; Yin, X.; Ma, M. Multiple 3.8–3.1 Ga Tectono-Magmatic Events in a Newly Discovered Area of Ancient Rocks (the Shengousi Complex), Anshan, North China Craton. J. Asian Earth Sci. 2012, 54–55, 18–30. [Google Scholar] [CrossRef]
- Zhu, R.Z.; Ni, P.; Ding, J.Y.; Wang, D.Z.; Ju, Y.; Kang, N.; Wang, G.G. Petrography, Chemical Composition, and Raman Spectra of Chrome Spinel: Constraints on the Diamond Potential of the No. 30 Pipe Kimberlite in Wafangdian, North China Craton. Ore Geol. Rev. 2017, 91, 896–905. [Google Scholar] [CrossRef]
- Liu, L.; Wu, D.; Han, S.; Sun, H.; Li, H.; Xiong, Z. Geological Characteristics and Genesis of No.110 Kimberlite Pipe in Wafangdian Diamond Ore Field in Southern Liaoning. Miner. Explor. 2021, 12, 1339–1354. [Google Scholar]
- Li, Q.L.; Wu, F.Y.; Li, X.H.; Qiu, Z.L.; Liu, Y.; Yang, Y.H.; Tang, G.Q. Precisely Dating Paleozoic Kimberlites in the North China Craton and Hf Isotopic Constraints on the Evolution of the Subcontinental Lithospheric Mantle. Lithos 2011, 126, 127–134. [Google Scholar] [CrossRef]
- Yang, Y.H.; Wu, F.Y.; Wilde, S.A.; Liu, X.M.; Zhang, Y.B.; Xie, L.W.; Yang, J.H. In Situ Perovskite Sr-Nd Isotopic Constraints on the Petrogenesis of the Ordovician Mengyin Kimberlites in the North China Craton. Chem. Geol. 2009, 264, 24–42. [Google Scholar] [CrossRef]
- Tian, R.; Wang, H.; Tian, J.; Shan, W.; Wang, X.; Chi, N.; Ma, X.; Chu, Z.; Li, S.; Lv, Q. Preliminary Investigation of the Eruption Time of Kimberlite in the Late Devonian in Mengyin, Shandong. Front. Earth Sci. 2023, 11, 1084673. [Google Scholar] [CrossRef]
- Li, D.; Wu, Z.; Sun, X.; Shuai, S.; Fu, Y.; Li, D.; Chen, H.; Lu, Y.; Hong, L. Emplacement Ages of Diamondiferous Kimberlites in the Wafangdian District, North China Craton: New Evidence from LA-ICP-MS U-Pb Geochronology of Andradite-Rich Garnet. Gondwana Res. 2022, 109, 493–517. [Google Scholar] [CrossRef]
- Zhang, H.; Yang, Y. Emplacement Age and Sr-Nd-Hf Isotopic Characteristics of the Diamondiferous Kimberlites from the North China Craton. Acta Petrol. Sin. 2007, 23, 285–294. [Google Scholar]
- Wang, S.; Zheng, J.; Han, S.; Wang, J. Petrography and Petrogenesis of Porphyritic Kimberlite from South Liaoning. Acta Geol. Sin. 2020, 94, 2676–2686. [Google Scholar] [CrossRef]
- Thompson, J.M.; Meffre, S.; Danyushevsky, L. Impact of Air, Laser Pulse Width and Fluence on U-Pb Dating of Zircons by LA-ICPMS. J. Anal. Spectrom. 2018, 33, 221–230. [Google Scholar] [CrossRef]
- Paton, C.; Hellstrom, J.; Paul, B.; Woodhead, J.; Hergt, J. Iolite: Freeware for the Visualisation and Processing of Mass Spectrometric Data. J. Anal. Spectrom. 2011, 26, 2508–2518. [Google Scholar] [CrossRef]
- Paton, C.; Woodhead, J.D.; Hellstrom, J.C.; Hergt, J.M.; Greig, A.; Maas, R. Improved Laser Ablation U-Pb Zircon Geochronology through Robust Downhole Fractionation Correction. Geochem. Geophys. Geosystems 2010, 11, 1–36. [Google Scholar] [CrossRef]
- McDowell, F.W.; McIntosh, W.C.; Farley, K.A. A Precise 40Ar-39Ar Reference Age for the Durango Apatite (U-Th)/He and Fission-Track Dating Standard. Chem. Geol. 2005, 214, 249–263. [Google Scholar] [CrossRef]
- Thomson, S.N.; Gehrels, G.E.; Ruiz, J.; Buchwaldt, R. Routine Low-Damage Apatite U-Pb Dating Using Laser Ablation-Multicollector- ICPMS. Geochem. Geophys. Geosystems 2012, 13, 1–23. [Google Scholar] [CrossRef]
- Li, C.; Zhou, L.; Zhao, Z.; Zhang, Z.; Zhao, H.; Li, X.; Qu, W. In-Situ Sr Isotopic Measurement of Scheelite Using Fs-LA-MC-ICPMS. J. Asian Earth Sci. 2018, 160, 38–47. [Google Scholar] [CrossRef]
- Yang, Y.H.; Wu, F.Y.; Yang, J.H.; Chew, D.M.; Xie, L.W.; Chu, Z.Y.; Zhang, Y.B.; Huang, C. Sr and Nd Isotopic Compositions of Apatite Reference Materials Used in U-Th-Pb Geochronology. Chem. Geol. 2014, 385, 35–55. [Google Scholar] [CrossRef]
- Xing, K.; Shu, Q. Applications of Apatite in Study of Ore Deposits: A Review. Miner. Depos. 2021, 40, 189–205. [Google Scholar] [CrossRef]
- Kaur, G.; Mitchell, R.H. Mineralogy of the P2-West ‘Kimberlite’, Wajrakarur Kimberlite Field, Andhra Pradesh, India: Kimberlite or Lamproite? Miner. Mag. 2013, 77, 3175–3196. [Google Scholar] [CrossRef]
- Kaur, G.; Mitchell, R.H. Mineralogy of the P-12 K-Ti-Richterite Diopside Olivine Lamproite from Wajrakarur, Andhra Pradesh, India: Implications for Subduction-Related Magmatism in Eastern India. Miner. Pet. 2016, 110, 223–245. [Google Scholar] [CrossRef]
- Lei, X.; Yang, Z.; Xiang, Z. Mineralogical Characteristics of Apatites in the Mengyin Kimberlite in Shandong Province and Their Genetic Significances. Bull. Mineral. Petrol. Geochem. 2019, 38, 410–417. [Google Scholar] [CrossRef]
- Giuliani, A.; Soltys, A.; Phillips, D.; Kamenetsky, V.S.; Maas, R.; Goemann, K.; Woodhead, J.D.; Drysdale, R.N.; Griffin, W.L. The Final Stages of Kimberlite Petrogenesis: Petrography, Mineral Chemistry, Melt Inclusions and Sr-C-O Isotope Geochemistry of the Bultfontein Kimberlite (Kimberley, South Africa). Chem. Geol. 2017, 455, 342–356. [Google Scholar] [CrossRef]
- Konzett, J.; Krenn, K.; Rubatto, D.; Hauzenberger, C.; Stalder, R. The Formation of Saline Mantle Fluids by Open-System Crystallization of Hydrous Silicate-Rich Vein Assemblages—Evidence from Fluid Inclusions and Their Host Phases in MARID Xenoliths from the Central Kaapvaal Craton, South Africa. Geochim. Cosmochim. Acta 2014, 147, 1–25. [Google Scholar] [CrossRef]
- Sharygin, I.S.; Litasov, K.D.; Shatskiy, A.; Golovin, A.V.; Ohtani, E.; Pokhilenko, N.P. Melting Phase Relations of the Udachnaya-East Group-I Kimberlite at 3.0–6.5 GPa: Experimental Evidence for Alkali-Carbonatite Composition of Primary Kimberlite Melts and Implications for Mantle Plumes. Gondwana Res. 2015, 28, 1391–1414. [Google Scholar] [CrossRef]
- Sun, J.; Liu, C.Z.; Tappe, S.; Kostrovitsky, S.I.; Wu, F.Y.; Yakovlev, D.; Yang, Y.H.; Yang, J.H. Repeated Kimberlite Magmatism beneath Yakutia and Its Relationship to Siberian Flood Volcanism: Insights from in Situ U-Pb and Sr-Nd Perovskite Isotope Analysis. Earth Planet. Sci. Lett. 2014, 404, 283–295. [Google Scholar] [CrossRef]
- Mitchell, R.H. Kimberlites: Mineralogy, Geochemistry, and Petrology; Springer Science and Business Media: New York, NY, USA, 1986. [Google Scholar]
- Wang, B. Characteristics and Genesis of Kimberlite Pipe in the Area of Dalian in Wafangdian Liaoning; Liaoning Technical University: Fuxin, China, 2015. [Google Scholar]
- Dong, Z. The Characteristics of Rare Earth Elements from Kimberlite in China. ACTA Petrol. Et Nineralogica 1992, 11, 126–134. [Google Scholar]
- Zhou, X.; Yang, J.; Huang, Y.; Qin, S. REE Geochemistry Characteristics of Kimberlite in Shandong and Liaoning. ACTA Petrol. Nineralogica 1990, 9, 302–308. [Google Scholar]
- Jones, A.P.; Wyllie, P.J. Minor Elements in Perovskite from Kimberlites and Distribution of the Rare Earth Elements” an Electron Probe Study. Earth Planet. Sci. Lett. 1984, 69, 128–140. [Google Scholar] [CrossRef]
- Batumike, J.M.; Griffin, W.L.; Belousova, E.A.; Pearson, N.J.; O’Reilly, S.Y.; Shee, S.R. LAM-ICPMS U-Pb Dating of Kimberlitic Perovskite: Eocene-Oligocene Kimberlites from the Kundelungu Plateau, D.R. Congo. Earth Planet. Sci. Lett. 2008, 267, 609–619. [Google Scholar] [CrossRef]
- Cox, R.A.; Wilton, D.H.C. U-Pb Dating of Perovskite by LA-ICP-MS: An Example from the Oka Carbonatite, Quebec, Canada. Chem. Geol. 2006, 235, 21–32. [Google Scholar] [CrossRef]
- Donnelly, C.L.; Griffin, W.L.; O’Reilly, S.Y.; Pearson, N.J.; Shee, S.R. The Kimberlites and Related Rocks of the Kuruman Kimberlite Province, Kaapvaal Craton, South Africa. Contrib. Mineral. Petrol. 2011, 161, 351–371. [Google Scholar] [CrossRef]
- Zindler, A.; Hart, S. CHEMICAL GEODYNAMICS. Annu. Rev. Earth Planet Sci. 1986, 14, 493–571. [Google Scholar] [CrossRef]
- Mitchell, R.H. Petrology of Hypabyssal Kimberlites: Relevance to Primary Magma Compositions. J. Volcanol. Geotherm. Res. 2008, 174, 1–8. [Google Scholar] [CrossRef]
- Sarkar, C.; Storey, C.D.; Hawkesworth, C.J. Using Perovskite to Determine the Pre-Shallow Level Contamination Magma Characteristics of Kimberlite. Chem. Geol. 2014, 363, 76–90. [Google Scholar] [CrossRef]
- Chakhmouradian, A.R.; Reguir, E.P.; Mitchell, R.H. Strontium-Apaiite: New Occurrences, and the Extent of Sr-for-Ca Substitution in Apatite-Group Minerals. Can. Mineral. 2002, 40, 121–136. [Google Scholar] [CrossRef]
- Chen, Y.; Yang, Z.; Huang, S.; Lei, X.; Li, X.; Zeng, X. Microfabrics of Perovskites in the Menyin Kimberlites and Their Geological Implications. Bull. Mineral. Petrol. Geochem. 2018, 37, 741–749. [Google Scholar]
- Belousova, E.A.; Griffin, W.L.; O’Reilly, S.Y.; Fisher, N.I. Apatite as an Indicator Mineral for Mineral Exploration: Trace-Element Compositions and Their Relationship to Host Rock Type. J. Geochem. Explor. 2002, 76, 45–69. [Google Scholar] [CrossRef]
- Liu, L.; Wu, D. Geological Characteristics and Prospecting Predictions of No.50 Kimberlite Pipe in Wafangdian Diamond Deposit of Liaoning Province. Geol. Surv. China 2020, 7, 34–41. [Google Scholar] [CrossRef]
- Klemme, S. Dalpe Claude Trace-Element Partitioning between Apatite and Carbonatite Melt. Am. Mineral. 2003, 88, 639–646. [Google Scholar] [CrossRef]
- Watson, E.B.; Green, T.H. Apatite/Liquid Partition Coefficients for the Rare Earth Elements and Strontium. Earth Planet. Sci. Lett. 1981, 56, 405–421. [Google Scholar] [CrossRef]
- Prowatke, S.; Klemme, S. Trace Element Partitioning between Apatite and Silicate Melts. Geochim. Cosmochim. Acta 2006, 70, 4513–4527. [Google Scholar] [CrossRef]
- Ayers, J.C.; Watson, E.B. Apatite/Fluid Partitioning of Rare-Earth Elements and Strontium: Experimental Results at 1.0 GPa and 1000 °C and Application to Models of Fluid-Rock Interaction. Chem. Geol. 1993, 110, 299–314. [Google Scholar] [CrossRef]
- Howarth, G.H.; Giuliani, A. Contrasting Types of Micaceous Kimberlite-Lamproite Magmatism from the Man Craton (West Africa): New Insights from Petrography and Mineral Chemistry. Lithos 2020, 362–363, 105483. [Google Scholar] [CrossRef]
- Webster, J.D.; Kinzler, R.J.; Mathez, E.A. Chloride and Water Solubility in Basalt and Andesite Melts and Implications for Magmatic Degassing. Geochim. Cosmochim. Acta 1999, 63, 729–738. [Google Scholar] [CrossRef]
- Webster, J.D.; De Vivo, B. Experimental and Modeled Solubilities of Chlorine in Aluminosilicate Melts, consequences of Magma Evolution, and Implications for Exsolution of Hydrous Chloride Melt at Mt. Somma-Vesuvius. Am. Mineral. 2002, 87, 1046–1061. [Google Scholar] [CrossRef]
- Soltys, A.; Giuliani, A.; Phillips, D. Apatite Compositions and Groundmass Mineralogy Record Divergent Melt/Fluid Evolution Trajectories in Coherent Kimberlites Caused by Differing Emplacement Mechanisms. Contrib. Mineral. Petrol. 2020, 175, 49. [Google Scholar] [CrossRef]
- Sommerauer, J.; Katz-Lehnert, K. A New Partial Substitution Mechanism of CO3 2-/CO3OH3- and SiO4- for the PO3- Group in Hydroxyapatite from the Kaiserstuhl Alkaline Complex (SW-Germany). Contrib. Mineral. Petrol. 1985, 91, 360–368. [Google Scholar] [CrossRef]
- Kjarsgaard, B.A.; Pearson, D.G.; Tappe, S.; Nowell, G.M.; Dowall, D.P. Geochemistry of Hypabyssal Kimberlites from Lac de Gras, Canada: Comparisons to a Global Database and Applications to the Parent Magma Problem. Lithos 2009, 112, 236–248. [Google Scholar] [CrossRef]
- Kopylova, M.G.; Matveev, S.; Raudsepp, M. Searching for Parental Kimberlite Melt. Geochim. Cosmochim. Acta 2007, 71, 3616–3629. [Google Scholar] [CrossRef]
- Price, S.E.; Russell, J.K.; Kopylova, M.G. Primitive Magma From the Jericho Pipe, N.W.T., Canada: Constraints on Primary Kimberlite Melt Chemistry. J. Petrol. 2000, 41, 789–808. [Google Scholar] [CrossRef]
- Tovey, M.; Giuliani, A.; Phillips, D.; Moss, S. Controls on the Explosive Emplacement of Diamondiferous Kimberlites: New Insights from Hypabyssal and Pyroclastic Units in the Diavik Mine, Canada. Lithos 2020, 360–361, 105410. [Google Scholar] [CrossRef]
- Giuliani, A. Insights into Kimberlite Petrogenesis and Mantle Metasomatism from a Review of the Compositional Zoning of Olivine in Kimberlites Worldwide. Lithos 2018, 312–313, 322–342. [Google Scholar] [CrossRef]
- Lim, E.; Giuliani, A.; Phillips, D.; Goemann, K. Origin of Complex Zoning in Olivine from Diverse, Diamondiferous Kimberlites and Tectonic Settings: Ekati (Canada), Alto Paranaiba (Brazil) and Kaalvallei (South Africa). Miner. Pet. 2018, 112, 539–554. [Google Scholar] [CrossRef]
- Clement, C.R. A Comparative Geological Study of Some MajorKimberlite Pipes in the Northern Cape and Orange Free State; University of Cape Town: Cape Town, South Africa, 1982. [Google Scholar]
- Scott Smith, B.H.; Nowicki, J.K.; Russell, K.J.; Webb, R.H.; Mitchell, R.H.; Hetman, C.M.; Harder, M.; Skinner, E.M.W.; Robey, J.A. Kimberlite Terminology and Classification. In Proceedings of the 10th International Kimberlite Conference, Bangalore, India, 5–11 February 2012; Springer: New Delhi, India, 2013; Volume 2, pp. 1–17. [Google Scholar]
- Brown, R.J.; Manya, S.; Buisman, I.; Fontana, G.; Field, M.; Niocaill, C.M.; Sparks, R.S.J.; Stuart, F.M. Eruption of Kimberlite Magmas: Physical Volcanology, Geomorphology and Age of the Youngest Kimberlitic Volcanoes Known on Earth (the Upper Pleistocene/Holocene Igwisi Hills Volcanoes, Tanzania). Bull Volcanol 2012, 74, 1621–1643. [Google Scholar] [CrossRef]
- Brooker, R.A.; Sparks, R.S.J.; Kavanagh, J.L.; Field, M. The Volatile Content of Hypabyssal Kimberlite Magmas: Some Constraints from Experiments on Natural Rock Compositions. Bull Volcanol 2011, 73, 959–981. [Google Scholar] [CrossRef]
- Russell, J.K.; Porritt, L.A.; Lavallé, Y.; Dingwell, D.B. Kimberlite Ascent by Assimilation-Fuelled Buoyancy. Nature 2012, 481, 352–356. [Google Scholar] [CrossRef]
Disclaimer/Publisher’s Note: The statements, opinions and data contained in all publications are solely those of the individual author(s) and contributor(s) and not of MDPI and/or the editor(s). MDPI and/or the editor(s) disclaim responsibility for any injury to people or property resulting from any ideas, methods, instructions or products referred to in the content. |
© 2024 by the authors. Licensee MDPI, Basel, Switzerland. This article is an open access article distributed under the terms and conditions of the Creative Commons Attribution (CC BY) license (https://creativecommons.org/licenses/by/4.0/).