C, N, and P Stoichiometry Characteristics of Fresh and Weathered Sandstones in Longhushan Area, SE China
Abstract
1. Introduction
2. Study Area
3. Materials and Methods
3.1. Sampling
3.2. Rock Total C, N, and P Concentration Determination
3.3. Petrological Mineralogical Analysis
3.4. Data Analyses
4. Results
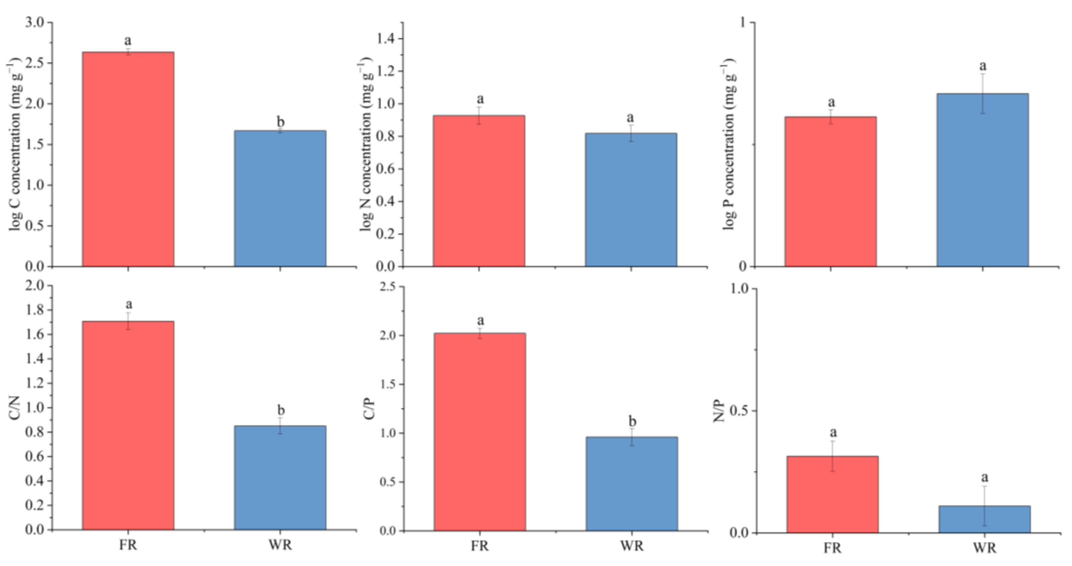
4.1. Rock Total C, N, and P Concentrations
4.2. Allometric Relationship of C, N, and P Stoichiometry between Fresh and Weathered Rocks from Longhushan Area
4.3. Petrology, Mineral Composition
5. Discussion
5.1. C, N, and P Stoichiometry of Fresh and Weathered Rocks
5.2. Allometric Relationship of Rock C, N, and P Stoichiometry Response to Weathering
5.3. Driving Mechanism of C, N, and P Stoichiometry and Allometric Relationship during Rock Weathering
6. Conclusions
Author Contributions
Funding
Data Availability Statement
Conflicts of Interest
References
- Reiners, W.A. Complementary models for ecosystems. Am. Nat. 1986, 127, 59–73. [Google Scholar] [CrossRef]
- Elser, J.J.; Fagan, W.F.; Denno, R.F.; Dobberfuhl, D.R.; Folarin, A.; Huberty, A.; Interlandi, S.; Kilham, S.S.; McCauley, E.; Schulz, K.L.; et al. Nutritional constraints in terrestrial and freshwater food webs. Nature 2000, 408, 578–580. [Google Scholar] [CrossRef] [PubMed]
- Chen, X.L.; Chen, H.Y.H. Plant mixture balances terrestrial ecosystem C:N:P stoichiometry. Nat. Commun. 2021, 12, 4562. [Google Scholar] [CrossRef] [PubMed]
- Liu, R.; Zhao, H.; Zhao, X.; Drake, S. Facilitative effects of shrubs in shifting sand on soil macro-faunal community in Horqin Sand Land of Inner Mongolia, Northern China. Eur. J. Soil Biol. 2011, 47, 316–321. [Google Scholar] [CrossRef]
- Kang, S.W. Effects of Nitrogen and Phosphorus Addition on Plant Community Strcture and Seasonal Dynamics in Typical Grassland of Inner Mongolia; Inner Mongolia University: Hohhot, China, 2019. [Google Scholar]
- Gardner, L.R. The role of rock weathering in the phosphorus budget of terrestrial watersheds. Biogeochemistry 1990, 11, 97–110. [Google Scholar] [CrossRef]
- Wu, L.J.; Li, X.; Zhao, M.L.; Bai, Y.F. Grazing regulation of phosphorus cycling in grassland ecosystems: Advances and prospects (in Chinese). China Sci. Bull. 2020, 65, 2469–2482. [Google Scholar] [CrossRef]
- Sinsabaugh, R.L.; Hill, B.H.; Follstad Shah, J.J. Ecoenzymatic stoichiometry of microbial organic nutrient acquisition in soil and sediment. Nature 2009, 462, 795–798. [Google Scholar] [CrossRef]
- Sterner, R.W.; Elser, J.J. Ecological Stoichiometry: Biology of Elements from Molecules to the Biosphere; Princeton University Press: Princeton, NJ, USA, 2002. [Google Scholar]
- Li, H.W.; Wang, S.J.; Bai, X.Y.; Cao, Y.; Wu, L.H. Spatiotemporal evolution of carbon sequestration of limestone weathering in China. Sci. China Earth Sci. 2019, 62, 974–991. [Google Scholar] [CrossRef]
- Sardans, J.; Rivas-Ubach, A.; Peñuelas, J. The elemental stoichiometry of aquatic and terrestrial ecosystems and its relationships with organismic lifestyle and ecosystem structure and function: A review and perspectives. Biogeochemistry 2012, 111, 1–39. [Google Scholar] [CrossRef]
- Li, J.W.; Liu, Y.L.; Hai, X.Y.; Shangguan, Z.P.; Deng, L. Dynamics of soil microbial C:N:P stoichiometry and its driving mechanisms following natural vegetation restoration after farmland abandonment, Sci. Total Environ. 2019, 693, 133613. [Google Scholar] [CrossRef]
- Buchkowski, R.W.; Shaw, A.N.; Sihi, D.; Smith, G.R.; Keiser, A.D. Constraining carbon and nutrient flows in soil with ecological stoichiometry. Front. Ecol. Evol. 2019, 7, 382. [Google Scholar] [CrossRef]
- Doi, H.; Cherif, M.; Iwabuchi, T.; Katano, I.; Stegen, J.C.; Striebel, M. Integrating elements and energy through the metabolic dependencies of gross growth efficiency and the threshold elemental ratio. Oikos 2010, 119, 752–765. [Google Scholar] [CrossRef]
- Zhao, N.; Yu, G.R. Application of metabolic theory of ecology in global carbon cycle studies. Quat. Sci. 2014, 34, 891–897. [Google Scholar]
- Peñuelas, J.; Fernández-Martínez, M.; Ciais, P.; Jou, D.; Piao, S.; Obersteiner, M.; Vicca, S.; Janssens, I.A.; Sardans, J. The bioelements, the elementome and the “biogeochemical niche”. Ecology 2019, 100, e02652. [Google Scholar] [CrossRef] [PubMed]
- Wright, I.J.; Reich, P.B.; Westoby, M.; Ackerly, D.D.; Baruch, Z.; Bongers, F.; Cavender-Bares, J.; Chapin, T.; Cornelissen, J.H.C.; Diemer, M.; et al. The worldwide leaf economics spectrum. Nature 2004, 428, 821–827. [Google Scholar] [CrossRef]
- Kerkhoff, A.J.; Fagan, W.F.; Elser, J.J.; Enquist, B.J. Phylogenetic and growth form variation in the scaling of nitrogen and phosphorus in the seed plants. Am. Nat. 2006, 168, 103–122. [Google Scholar] [CrossRef]
- Suchet, A.; Probst, J.L.; Ludwig, W. Worldwide distribution of continental rock lithology: Implications for the atmospheric/soil CO2 uptake by continental weathering and alkalinity river transport to the oceans. Glob. Biogeochem. Cycles 2003, 17, 2. [Google Scholar]
- Jiang, C.S. Study on Release Laws of Nutrient during Purple Rock Weathering and the Mechanism of its Fragments Fertilizing; Southwest University: Chongqing, China, 2001. [Google Scholar]
- Hahm, W.J.; Riebe, C.S.; Lukens, C.E.; Araki, S. Bedrock composition regulates mountain ecosystems and landscape evolution. Proc. Natl. Acad. Sci. USA 2014, 111, 3338–3343. [Google Scholar] [CrossRef]
- Uhlig, D.; Amelung, W.; von Blanckenburg, F. Mineral nutrients sourced in deep regolith sustain long-term nutrition of mountainous temperate forest ecosystems. Glob. Biogeochem. Cycles 2020, 34, e2019GB006513. [Google Scholar] [CrossRef]
- Morford, S.L.; Houlton, B.Z.; Dahlgren, R.A. Increased forest ecosystem carbon and nitrogen storage from nitrogen rich bedrock. Nature 2011, 477, 78–81. [Google Scholar] [CrossRef]
- Houlton, B.Z.; Morford, S.L.; Dahlgren, R.A. Convergent evidence for widespread rock nitrogen sources in Earth’s surface environment. Science 2018, 360, 58–62. [Google Scholar] [CrossRef] [PubMed]
- Zhang, H.F.; He, G.; Sun, Q.B.; Ji, X.H.; Ouyang, J.P.; He, Z.Y.; Kang, M.R.; Chen, Y. Diversity of dark septate endophytes in cliff-top plant roots in Longhu Mountain, Jiangxi Province, East China. Mycosystema 2021, 40, 2700–2715. [Google Scholar]
- Xu, C.B.; Qiu, J.T.; Zhong, Q.L.; Li, B.Y.; Cheng, D.L.; Zeng, H.Z.; Chang, Y.N.; Yu, H.; Zheng, W.T.; Zou, Y.X.; et al. Reflectance spectroscopy applied in sandstone weathering and nitrogen excretion: A case study in Longhushan Mountain, Jiangxi province. Spectriscopy Spectr. Anal. 2019, 39, 3801–3808. [Google Scholar]
- Liu, X.; Guo, F.S.; Chen, L.Q.; Li, X.M.; Liu, F.J. Lithologic control on the development of Danxia landscapes in red basins. Mt. Res. 2019, 37, 214–221. [Google Scholar]
- Wu, B.J.; Peng, B.; Zhang, K.; Kuang, X.L.; Tu, X.L.; Fang, X.H.; Zeng, D.Z. A new chemical index of identifying the weathering degree of black shales. Acta Geol. Sin. 2016, 90, 818–832. [Google Scholar]
- Chang, Y.N.; Li, B.Y.; Zhong, Q.L.; Wang, G.B.; Shen, Q.S.; Xu, C.B.; Zhang, S.H. Biomass allocation of three functional types of forest tree seedlings and their relationship with nutrients in fine roots and leaves. Chin. J. Ecol. 2022, 41, 2090–2097. [Google Scholar]
- Liu, X.S.; Siemann, E.; Cui, C.; Liu, Y.Q.; Guo, X.M.; Zhang, L. Moso bamboo (Phyllostachys edulis) invasion effects on litter, soil and microbial PLFA characteristics depend on sites and invaded forests. Plant Soil 2019, 438, 85–99. [Google Scholar] [CrossRef]
- Yang, H.S.; Zhang, Q.; Dai, Y.J.; Liu, Q.; Tang, J.J.; Bian, X.M.; Chen, X. Effects of arbuscular mycorrhizal fungi on plant growth depend on root system: A meta-analysis. Plant Soil 2015, 389, 361–374. [Google Scholar] [CrossRef]
- Hao, L.B.; Dong, J.; Zhao, Y.Y.; Lu, J.L.; Bi, X.G. Geochemical Characteristics of Granite Weathering in central Jilin Province. J. Jilin Univ. (Earth Sci. Ed.) 2011, 41, 1441–1447. [Google Scholar]
- Mcqueen, K.G.; Scott, K.M. Rock weathering and structure of the Regolith. In Regolith Science; Scott, K.M., Pain, C.F., Eds.; CSIRO Publishing: Melbourne, Australia, 2008; pp. 103–124. [Google Scholar]
- Zhang, Z.H.; Mao, J.W. Ammonium content ans nitrogen istope constraint on metallogenetic and diageneticenvironment. Geol. Rev. 2002, 48, 634–641. [Google Scholar]
- Dynarski, K.A.; Morford, S.L.; Mitchell, S.A.; Houlton, B.Z. Bedrock Nitrogen Weathering Stimulates Biological Nitrogen Fixation. Ecology 2019, 100, e02741. [Google Scholar] [CrossRef] [PubMed]
- Porder, S.; Vitousek, P.M.; Chadwick, O.A.; Chamberlain, C.P.; Hilley, G.E. Uplift, erosion, and phosphorus limitation in ter restrial ecosystems. Ecosystems 2007, 10, 158–170. [Google Scholar] [CrossRef]
- Uhlig, D.; Schuessler, J.A.; Bouchez, J.; Dixon, J.L.; von Blanckenburg, F. Quantifying nutrient uptake as driver of rock weathering in forest ecosystems by magnesium stable isotopes. Biogeosciences 2017, 14, 3111–3128. [Google Scholar] [CrossRef]
- Garrels, R.M.; Mackenzie, F.T.; Hunt, C.A. Chemical Cycles and the Global Environment; William Kaufman, Inc.: Los Altos, CA, USA, 1975; p. 206. [Google Scholar]
- Meybeck, M. Carbon, nitrogen and phosphorus transport by world rivers. Am. J. Sci. 1982, 282, 401–450. [Google Scholar] [CrossRef]
- Aciego, S.M.; Riebe, C.S.; Hart, S.C.; Blakowski, M.A.; Carey, C.J.; Aarons, S.M.; Dove, N.C.; Botthoff, J.K.; Sims, K.W.W.; Aronson, E.L. Dust outpaces bedrock in nutrient supply to montane forest ecosystems. Nat. Commun. 2017, 8, 14800. [Google Scholar] [CrossRef] [PubMed]
- Walker, T.W.; Syers, J.K. The fate of phosphorus during pedogenesis. Geoderma 1976, 15, 1–19. [Google Scholar] [CrossRef]
- Sun, H.Y. Soil Microbial Communities and Its Relationship With Phosphorus along Altitudinal Gradient of Gongga Mountain; Graduate School of Chinese Academy of Sciences: Beijing, China, 2014. [Google Scholar]
- Wilson, M.J. Weathering of the primary rock-forming minerals: Processes, products and rates. Clay Miner. 2004, 39, 233–266. [Google Scholar] [CrossRef]
- Taylor, P.G.; Townsend, A.R. Stoichiometric control of organic carbon–nitrate relationships from soils to the sea. Nature 2010, 464, 1178–1181. [Google Scholar] [CrossRef]
- Fan, H.B.; Wu, J.P.; Liu, W.F.; Yuan, Y.H.; Hu, L.; Cai, Q.K. Linkages of plant and soil C:N:P stoichiometry and their relationships to forest growth in subtropical plantations. Plant Soil 2015, 392, 127–138. [Google Scholar] [CrossRef]





| Index (y − x) | Type | Slope (95%CI) | Intercept (95%CI) | R2 | p | Common Slope | p | Intercept |
|---|---|---|---|---|---|---|---|---|
| C-N concentrations | fresh | −0.70 (−0.98, −0.50) | 3.29 (3.04, 3.53) | 0.01 | 0.50 | −0.66 (−0.93, −0.49) | 0.45 | 3.2 a |
| weathered | −0.49 (−1.31, −0.18) | 2.07 (1.60, 2.54) | 0.31 | 0.25 | 2.2 b | |||
| C-P concentrations | fresh | −1.29 (−1.80, −0.92) | 3.43 (3.14, 3.71) | 0.04 | 0.24 | 0.02 | ||
| weathered | −0.31 (−0.94, −0.10) | 1.88 (1.57, 2.20) | 0.02 | 0.77 | ||||
| C concentration-C/N | fresh | 0.55 (0.42, 0.71) | 1.70 (1.45, 1.96) | 0.40 | <0.001 | 0.51 (0.40, 0.67) | 0.28 | 1.8 a |
| weathered | 0.37 (0.17, 0.80) | 1.36 (1.08, 1.63) | 0.62 | 0.065 | 1.2 b | |||
| C concentration-C/P | fresh | 0.72 (0.60, 0.87) | 1.18 (0.89, 1.46) | 0.70 | <0.001 | 0.69 (0.58, 0.85) | 0.078 | 1.2 a |
| weathered | 0.28 (0.10, 0.80) | 1.40 (1.05, 1.75) | 0.18 | 0.40 | 1.0 b | |||
| C concentration-N/P | fresh | −0.60 (−0.85, −0.43) | 2.83 (2.70, 2.95) | 0.01 | 0.98 | −0.54 (−0.78, −0.40) | 0.088 | 2.8 a |
| weathered | −0.22 (−0.69, −0.07) | 1.69 (1.59, 1.80) | 0.02 | 0.79 | 1.7 b | |||
| N-P concentrations | fresh | −1.84 (−2.58, −1.30) | 2.05 (1.63, 2.47) | 0.01 | 0.81 | −1.61 (−2.36, −1.19) | 0.055 | 1.9 a |
| weathered | −0.62 (−1.81, −0.21) | 1.26 (0.67, 1.85) | 0.15 | 0.45 | 1.9 a | |||
| N concentration-C/N | fresh | −0.78 (−0.94, −0.64) | 2.26 (2.00, 2.51) | 0.71 | <0.001 | −0.77 (−0.91, −0.65) | 0.83 | 2.2 a |
| weathered | −0.75 (−1.13, −0.50) | 1.45 (1.18, 1.73) | 0.91 | 0.003 | 1.5 b | |||
| N concentration-C/P | fresh | −1.03 (−1.45, −0.73) | 3.01 (2.27, 3.75) | 0.01 | 0.73 | −0.95 (−1.36, −0.70) | 0.29 | 2.8 a |
| weathered | 0.57 (0.19, 1.74) | 0.27 (−0.50, 1.04) | 0.04 | 0.71 | 1.7 b | |||
| N concentration-N/P | fresh | 0.86 (0.73, 1.02) | 0.66 (0.59, 0.73) | 0.78 | <0.001 | 0.84 (0.72, 0.99) | 0.12 | 0.67 a |
| weathered | 0.46 (0.20, 1.05) | 0.77 (0.65, 0.89) | 0.55 | 0.094 | 0.73 a | |||
| P concentration-C/N | fresh | −0.42 (−0.60, −0.30) | 1.34 (1.07, 1.60) | 0.01 | 0.65 | −0.48 (−0.64, −0.33) | 0.072 | 1.4 a |
| weathered | 1.20 (0.40, 3.64) | −0.31(−1.73, 1.10) | 0.05 | 0.66 | 1.1 b | |||
| P concentration-C/P | fresh | −0.56 (−0.72, −0.44) | 1.75 (1.46, 2.03) | 0.50 | <0.001 | 0.027 | ||
| weathered | −0.92 (−1.34, −0.63) | 1.59 (1.24, 1.93) | 0.92 | 0.002 | ||||
| P concentration-N/P | fresh | −0.47 (−0.63, −0.35) | 0.76 (0.69, 0.83) | 0.26 | 0.002 | −0.54 (−0.69, −0.39) | 0.12 | 0.79 a |
| weathered | −0.73 (−1.27, −0.42) | 0.79 (0.67, 0.91) | 0.82 | 0.012 | 0.77 a | |||
| C/N-C/P | fresh | 1.32 (0.98, 1.78) | −0.97 (−1.79, −0.15) | 0.25 | 0.002 | 1.25 (0.95, 1.70) | 0.33 | −0.82 a |
| weathered | 0.76 (0.25, 2.37) | 0.12 (−0.94, 1.18) | 0.01 | 0.99 | −0.35 a | |||
| C/N-N/P | fresh | −1.11 (−1.42, −0.86) | 2.06 (1.91, 2.20) | 0.47 | <0.001 | −1.05 (−1.36, −0.83) | 0.20 | 2.0 a |
| weathered | −0.61 (−1.58, −0.23) | 0.91 (0.72, 1.11) | 0.36 | 0.21 | 0.97 b | |||
| C/P-N/P | fresh | 0.84 (0.60, 1.16) | 1.76 (1.60, 1.91) | 0.08 | 0.097 | 0.83 (0.62, 1.11) | 0.89 | 1.8 a |
| weathered | 0.80 (0.37, 1.72) | 0.87 (0.68, 1.06) | 0.63 | 0.060 | 0.87 b |
Disclaimer/Publisher’s Note: The statements, opinions and data contained in all publications are solely those of the individual author(s) and contributor(s) and not of MDPI and/or the editor(s). MDPI and/or the editor(s) disclaim responsibility for any injury to people or property resulting from any ideas, methods, instructions or products referred to in the content. |
© 2023 by the authors. Licensee MDPI, Basel, Switzerland. This article is an open access article distributed under the terms and conditions of the Creative Commons Attribution (CC BY) license (https://creativecommons.org/licenses/by/4.0/).
Share and Cite
Chang, Y.; Xu, C.; Qiu, J.; Peñuelas, J.; Sardans, J.; Zeng, H.; Zhong, Q.; Li, B. C, N, and P Stoichiometry Characteristics of Fresh and Weathered Sandstones in Longhushan Area, SE China. Minerals 2023, 13, 483. https://doi.org/10.3390/min13040483
Chang Y, Xu C, Qiu J, Peñuelas J, Sardans J, Zeng H, Zhong Q, Li B. C, N, and P Stoichiometry Characteristics of Fresh and Weathered Sandstones in Longhushan Area, SE China. Minerals. 2023; 13(4):483. https://doi.org/10.3390/min13040483
Chicago/Turabian StyleChang, Yunni, Chaobin Xu, Junting Qiu, Josep Peñuelas, Jordi Sardans, Hanzhao Zeng, Quanlin Zhong, and Baoyin Li. 2023. "C, N, and P Stoichiometry Characteristics of Fresh and Weathered Sandstones in Longhushan Area, SE China" Minerals 13, no. 4: 483. https://doi.org/10.3390/min13040483
APA StyleChang, Y., Xu, C., Qiu, J., Peñuelas, J., Sardans, J., Zeng, H., Zhong, Q., & Li, B. (2023). C, N, and P Stoichiometry Characteristics of Fresh and Weathered Sandstones in Longhushan Area, SE China. Minerals, 13(4), 483. https://doi.org/10.3390/min13040483

