You are currently viewing a new version of our website. To view the old version click .
Minerals
  • Article
  • Open Access

25 June 2021

Multiphysics Modeling Simulation and Optimization of Aerodynamic Drum Magnetic Separator

,
,
,
,
,
and
1
Ansteel Beijing Research Institute Co., Ltd., Beijing 102200, China
2
School of Minerals Processing & Bioengineering, Central South University, Changsha 410083, China
*
Author to whom correspondence should be addressed.
This article belongs to the Section Mineral Processing and Extractive Metallurgy

Abstract

Aerodynamic Drum Magnetic Separator (ADMS) uses an adjustable air flow to enhance the separation of magnetic particles from gangue. In order to explore the matching relationship between the magnetic field, the flow field, and the gravity field, as well as the capture and separation behavior of particles under the action of multi-physics, a related simulation model is established using the finite element software COMSOL Multiphysics and the accuracy of the simulation results is verified by measurement, formula calculation, and magnetic separation experiment. The trajectories and capture probabilities of particles in different magnetic fields and flow fields are calculated, as well as the critical airflow velocity corresponding to a specific capture probability. In addition, the magnetic field characteristics and particle capture effect of N-S alternate arrangement and N-N homopolar arrangement are compared by optimizing the permutation of magnetic poles. This model may provide a reference for the accurate control of magnetic separation enhanced by a coupling force field.

1. Introduction

The drum magnetic separator is widely used in the separation of magnetic minerals [1,2,3,4], but its effect of separating fine materials under dry conditions is poor [5,6,7], mainly due to the poor fluidity and the strong interaction between particles [8,9,10]. In this case, only relying on gravity and the centrifugal force of the drum is not enough to effectively separate fine materials [11]. With the continuous development of composite force field equipment, the introduction of aerodynamics, a cheap and convenient way to enhance separation, has attracted more and more attention, and related reports in the fields of coal preparation, iron selection, and non-metallic iron removal are also common [12,13,14,15,16,17,18]. The Aerodynamic Drum Magnetic Separator (ADMS) modifies the aerodynamic field perpendicular to the surface of separation drum into the magnetic field and uses the synergistic effect of air flow drag and magnetic field to realize the accurate control of material flow state and force difference between particles in the separation process, thus strengthening the separate effect of magnetic particles and non-magnetic particles. At present, the equipment has achieved good results in fine-grained magnetic separation test [11,19].
Because the trajectory of particles in the separation process mostly depends on qualitative judgment, it is difficult to obtain the analytical equation and the operation parameters when the particles are in the best force field state only by artificial experience Thus, it is difficult to accurately control the matching relationship among the force fields. Once the force field conditions or the properties of the material change, we need to re-run exploratory experiments to determine the operating parameters. Therefore, it is necessary to establish a particle motion model that can solve different parameter conditions in the coupled force field.
The finite element analysis method is a mathematical approximation method that simulates the real physical field by solving partial differential equations. In recent years, it has been widely used in various engineering and technical fields [20,21,22,23,24]. Although in the field of magnetic separation, ANSYS is a more widely used finite element analysis software, it mostly stays in the simulation of a single physical field [18,25,26,27,28,29]. When multiple physical fields are involved, the coupling and secondary development based on ANSYS becomes difficult [30,31]. Compared with ANSYS, the biggest advantage of COMSOL is that it can easily realize the coupling of any multi-physics. Its rich physics interface can be freely combined according to specific needs, and all its links (from geometric modeling to solution calculation to results processing) are integrated, which can greatly simplify the operation steps and reduce the operation cost. At present, particle behavior simulation calculations based on the coupling of COMSOL multiphysics have been applied more and more [32,33,34,35]. In this study, we used the “Magnetic field, no current” module, “Laminar flow” module, and “Fluid flow particle tracking” module of COMSOL 5.3a to calculate the magnetic field, the flow field, and the gravity field of ADMS. Moreover, the trajectory, dispersion, and collection behavior of the particles under different parameters are determined through the calculation of the forces on the particles in the sorting zone.

2. Methods

2.1. Modeling

2.1.1. Structure

As shown in Figure 1, ADMS is mainly composed of the magnetic system, drum, and aerodynamic system. The magnetic system is composed of seven groups of square magnetic poles, which are arranged in a circular single polarity way. The magnetic envelope angle is 180° and the single group of magnetic poles is 100 mm long, 20 mm wide, and 30 mm thick. The magnetic source material can be replaced by Nd-Fe-B with different performance parameters. The drum is a dense microporous structure, which can permeate the air flow released from the inside of the drum. The velocity of the air flow at the drum surface can be adjusted by changing the flowrate inside the drum. The magnetic particles are adhered on the drum surface by the magnetic force when the feeding material reaches the drum surface, and then fall with the gravity in the non-magnetic area; the non-magnetic particles are thrown away from the drum surface by the airflow drag and other competitive forces.
Figure 1. Structure and working principle of Aerodynamic Drum Magnetic Separator (ADMS).

2.1.2. Magnetic Field

Using the Magnetic Fields, No Currents (mfnc) interface of COMSOL, the numerical solution of magnetic field distribution is obtained by solving the Gauss law of magnetic field with scalar magnetic potential as the dependent variable.
Magnetic field intensity H and magnetic induction intensity B are commonly used physical quantities to describe magnetic fields. The relationship between the two in vacuum is
B = μ 0 H
where μ 0 is the vacuum permeability. For a static magnetic field without current, the divergence of B and H is zero, and the conditional relationship satisfies
· B = 0
· H = 0
H = V m
where V m is the scalar magnetic potential. Comprehensive Formulas (1)–(4) can get the Laplace equation:
2 V m = 0
The yoke of the fixed pole is made of soft iron material, and its constitutive relationship satisfies the B–H curve:
B = f ( H ) H H
where H H represents the unit vector of the magnetic field intensity, H is the modulus of H , and the magnetic induction intensity B is a function of H. Its functional relationship depends on the built-in material selected in COMSOL, and the direction of B is consistent with the direction of H . Specify the direction and size of the remanence in the rectangular domain formed by each group of magnetic poles and use a refined grid for this area during grid division to obtain a more accurate solution.

2.1.3. Flow Field

The air at low flow rate is regarded as an incompressible fluid, which can be described by the linearization formula of Navier–Stokes equation and continuity equation:
ρ V t = P + ρ F + μ Δ V
ρ · V = 0
where P is the pressure, ρ is the fluid density, V is the fluid velocity, and μ is the hydrodynamic viscosity. In ADMS, as the micropores of the drum are evenly distributed and the output airflow is stable, in order to simplify the calculation, the flow field inside the drum can be ignored and the flow field outside the drum can be regarded as a laminar flow model. The direction perpendicular to the surface of the drum is set as the inlet direction, and the velocity V 0 is specified. The circular boundary farther from the surface of the drum is set as the outlet, and the extra pressure at the outlet is set to 0.

2.1.4. Particle Dynamic Tracking

Particle tracking in fluid flow is a transient study. The position of particles changes with time, and their movement follows Newton’s second law. In the COMSOL model development window, specify the particle properties (density and diameter), inlet and release conditions, wall conditions, and forces. For non-magnetic particles, their trajectory is mainly affected by the fluid drag force F d and gravity F g :
F d = 1 8 C D π d 2 ρ ( u V ) 2
F g = π 6 d 3 g ρ ρ ρ
where d is the particle diameter; u is the initial particle velocity (set to 0 in this study); g is the acceleration of gravity; ρ and ρ are the particle density and fluid density, respectively; C D is the drag coefficient of the fluid, which is related to Reynolds number ( R e ); and Formula (11) is the calculation formula of R e . Through calculation, the R e involved in this study is from 1 to 500, thus C D meets the Allen formula, namely, Formula (12).
R e = d ρ ( u V ) μ
C D = 18.5 R e 0.6
Equation (10) refers to the effective gravity after subtracting the buoyancy of the particles.
For magnetic particles, in addition to the drag force F d and gravity F g , they are also attracted by the magnetic force F m [36]:
F m = π 2 d 3 μ 0 μ r κ H · H
κ = μ r , p μ r μ r , p + 2 μ r
where μ r and μ r , p are the relative permeability of air and magnetic particles, respectively, and κ is the Clausius–Mossotti coefficient related to the permeability. In addition, it was found in our previous research [11] that when there is a strong magnetic field and flow field, the centrifugal force on fine particles can be ignored. For particles that are captured and reach the drum surface, the wall condition is set to adhere, and for particles that reach the outer boundary of the sorting area, the wall condition is set to freeze.

2.1.5. Meshing

The physical field control or users’ control can be selected for the mesh generation, in order to get more suitable mesh size and distribution, the latter is selected in this study. The overall mesh type is free triangle mesh, and the size is predefined/extremely refined, then the outer area of the drum is calibrated to hydrodynamics. The customized cell size is selected in the inner area of the drum and the magnetic system area, and the maximum cell size is limited to 1 mm to form a finer mesh. Figure 2 shows the 2D structure of the main body of ADMS and the results of mesh generation.
Figure 2. 2D structure and mesh generation of the main body of ADMS.

2.2. Verification

2.2.1. Verification of Magnetic Field

In order to verify the accuracy of the magnetic field simulation results, it is necessary to measure the magnetic induction of each point around the magnetic system, and then compare with the simulation results. There are many ways to measure the magnetic field [37,38,39], among which the use of Tesla meter is relatively simple and accurate. In this study, HM-100 Tesla meter was used, as shown in Figure 3. The measuring position is shown in Figure 4, and the points are evenly taken at 75 mm (at the surface of the magnetic pole), 83 mm (at the surface of the drum), and 91 mm from the center of the magnetic system, with an interval of 30°. Take the average value after each measurement three times [40,41].
Figure 3. HM-100 Tesla meter for measurement.
Figure 4. Measurement position of magnetic induction intensity.
In addition, the magnetic field gradient on the surface of the drum along the axis of symmetry in the X direction can be calculated by using the Sochenev formula [42]:
H y = H 0 e c y
c = π l + 1 R
where H y is the magnetic field intensity at a distance of y (m) from the surface of the magnetic system, c is the nonuniformity coefficient of magnetic field, l is magnetic pole pitch, and R is the radius around which the magnetic poles are arranged.
Then, calculate the derivative of H y to get the magnetic field gradient at any position, and finally calculate the error between the simulated value and the theoretical value:
H y = d H d y = c H 0 e c y
δ = | H H y H y | × 100 %
where δ is the error, and H and H y are the magnetic field gradient values calculated by COMSOL finite element method and Sochenev formula, respectively.

2.2.2. Magnetite Separation Experiment

In order to verify the accuracy of particle tracking simulation results under a multi-physical field, magnetic separation experiments were carried out after grinding pure magnetite to a certain particle size. The recovery rate of magnetic particles at different initial velocity of air flow was calculated and compared with the capture probability of magnetic particles calculated by simulation under the same conditions.

3. Results and Discussion

For the convenience of description, the variable values involved in the calculation of model are listed in Table 1.
Table 1. Values of parameters for modeling calculation.

3.1. Magnetic Field Distribution

The calculation results are imported into Origin software, and the change curve of magnetic induction intensity B is drawn. The results are shown in Figure 5. The three curves represent the change of B along the circumference at 75 mm (magnetic system surface), 83 mm (drum surface), and 91 mm, respectively. It can be seen that the magnetic induction intensity changes periodically with angle. The magnetic induction intensity B at the edges and corners of the two ends of the magnetic pole is the largest, and the smallest when the angle points to the gap between the magnetic poles. In addition, the value of B decreases sharply with the increase of the distance from the surface of the magnetic system. Therefore, in order to ensure the recovery of magnetic particles, the release position of materials should not be too far from the surface of the magnetic system.
Figure 5. Comparison between simulated and measured values of magnetic induction intensity.
Figure 5 also shows the magnetic induction intensity measured with the Tesla meter. It can be seen that the simulation value is close to the measured value, and the change trend is the same. Using the relevant parameters in Table 1 and substituting them into Formulas (16) and (17), we can get the magnetic field gradient of the magnetic drum surface along the direction of X symmetry axis is H y = 1.16 × 10 7 A / m 2 , and Figure 6 shows the curve of H with X direction obtained by numerical simulation. At the drum surface (83 mm), H = 1.12 × 10 7 A / m 2 ; thus, the relative error δ between the value of simulation theoretical calculation is as follows:
δ = | 1.12 × 10 7 1.16 × 10 7 1.16 × 10 7 | × 100 % = 3.45 %
It proves that the simulation results are of high credibility.
Figure 6. ∇H simulation value change curve in the X direction.
The magnitude of magnetic force can be represented by the product of magnetic field intensity and magnetic field gradient ( H · H ), but H · H cannot be obtained directly in COMSOL, and can only be obtained by user-defined function, as shown in Formulas (20)–(22):
H x = H x  
H y = H y
H = ( | H x | ) 2 + ( | H y | ) 2
where H x is the component in X direction,   H y is the component in Y direction, and “ |   | ”represents the calculation of modulus.
Figure 7 shows the change of magnetic strength and direction intuitively. It can be seen that the magnetic strength is the largest at the edges and corners of the magnetic system, and the magnetic vector points from the surrounding to the center of the magnetic system, which is the most important factor determining the trapping behavior of magnetic particles. However, at the gap between the magnetic poles, the magnetic strength is small, and a small number of vector arrows point in the opposite direction, which may cause some magnetic particles to deviate.
Figure 7. H · H vector direction and intensity distribution cloud map.

3.2. Flow Field Distribution

For the airflow with different initial velocity V 0 , the velocity and pressure changes around the drum are also different. Figure 8 and Figure 9 show the velocity change and pressure gradient change in X direction, respectively. The calculation of pressure gradient P is similar to that of magnetic field gradient, which is also obtained by user-defined function, as shown in Equations (23)–(25):
P x = P x  
P y = P y
P = ( P x ) 2 + ( P y ) 2
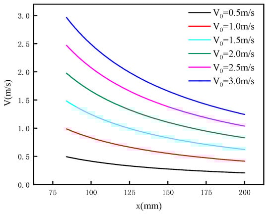
Figure 8. The velocity change of the air flow along the x direction with different initial velocity.
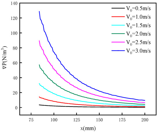
Figure 9. The pressure gradient change of the air flow along the x direction with different initial velocity.
It can be seen that the airflow velocity decays the fastest near the surface of the drum (Figure 8), and the greater the initial velocity is, the greater the pressure gradient it generates (Figure 9); at the same time, the pressure gradient P decays rapidly as the distance x increases (Figure 9).
In order to explore the influence of the drum rotation velocity on the surrounding airflow distribution, the flow field vectors when V 0 = 1.0 m/s and the drum rotation velocity is, respectively, 3, 6, 9, 12 rad/s, and the results are shown in Figure 10. It can be seen that the rotation velocity of the drum has a certain influence on the direction of the airflow. When the rotating velocity of the drum exists, the direction flow filed is not along the normal direction of the drum, but a corresponding deviation is generated in the tangential direction, that is, the direction of the sum of the drum linear velocity vector and the air velocity vector. Obviously, the greater the rotation velocity of the drum, the greater the deflection amplitude of the airflow direction, which is not conducive to the separation of non-magnetic particles toward the radial direction of the drum.
Figure 10. Air distribution around the drum at different velocities when V 0 = 1.0 m/s: (a) 3 rad/s, (b) 6 rad/s, (c) 9 rad/s, and (d) 12 rad/s.

3.3. Particle Motion Behavior

Figure 11 shows the trajectory of particles with a diameter of 45 μm after being randomly released on the surface of the drum ( B r = 1.2 T, ω = 3 rad/s) when the initial air velocity V 0 is different. Black represents magnetic particles, and red represents non-magnetic particles. The dynamic process of particle motion can be obtained by viewing the Video S1.
Figure 11. Particle trajectory under different airflow velocity: (a) V 0 = 0 m/s, (b) V 0 = 1 m/s, (c) V 0 = 2 m/s, and (d) V 0 = 3 m/s.
It can be seen that when V 0 = 0 m/s, the non-magnetic particles fall vertically due to gravity; the magnetic particles are all adhered on the surface of the drum under the action of magnetic force, and the magnetic particles are adhered more at the edges of the magnetic pole and less at the gap, which is consistent with the H H distribution of the magnetic field. When V 0 reaches a certain degree, the trajectory of non-magnetic particles is parabolic, and some magnetic particles are separated from the drum surface, and with the increase of V 0 , the parabolic opening increases, the falling points of non-magnetic particles become farther, and the number of magnetic particles falling off also increases. In particular, as the magnetic force at the magnetic pole gap below the drum is weak (refer to the previous magnetic field analysis results), and the airflow drag force is almost the same as the direction of gravity, the magnetic particles at this position are the most likely to fall off.
In order to explore the matching relationship among air the flow field, the magnetic field and the gravity field, the global calculation function of COMSOL postprocessing is used to calculate the magnetic particle capture probability when B r is 1.0, 1.2, 1.4, and 1.6 T, and V 0 is 0~3 m/s, respectively. The results are shown in Figure 12.
Figure 12. Variation of magnetic particle capture probability with air velocity under different remanence conditions: (a) B r = 1.0 T, (b) B r = 1.2 T, (c) B r = 1.4 T, and (d) B r = 16 T.
At the same time, to verify the reliability of the simulation results, experiments were carried out using pure magnetite minerals with an average particle size of 23.83 μm. The results are shown in Figure 13. It can be seen that the recovery rate of magnetite obtained in the experiment is compared with the particles obtained in the global calculation. The capture probability is highly consistent, which proves that the simulation results are highly reliable.
Figure 13. Comparison of magnetite verification experiment results and simulation results.
Generally speaking, the remanence intensity B r of the magnetic source material directly determines the magnetic field intensity in the separation zone. As shown in Figure 12a, when B r = 1.0 T and V 0 = 3.0 m/s, the capture probability of magnetic particles with diameter of 23 μ m almost decreases to 0; with the increase of B r , the capture probability of magnetic particles at higher flow velocity increases significantly. Table 2 shows the critical flow velocity when the capture probability of fine magnetic particles (d = 23 μ m) is 80% under different remanence conditions. When B r = 1.0 T, the flow velocity must be less than 0.95 m/s to ensure that more than 80% of magnetic particles can be recovered. When B r = 1.6 T, the critical flow velocity increases to 2.77 m/s. As can be seen from Figure 11 above, the higher the airflow velocity is, the more favorable the separation of non-magnetic particles is. Therefore, the use of magnetic source materials with large remanence can ensure the recovery of magnetic particles and increase the airflow velocity to a critical level, which can separate magnetic particles and non-magnetic particles to the greatest extent.
Table 2. Critical velocity of magnetic particles (d = 23 μm) with 80% capture probability under different remanence conditions.
In addition, the larger the diameter of magnetic particles, the greater the probability of being captured. With the increase in flow velocity, the decrease of capture probability of coarse particles is much smaller than that of fine particles. Although the increase of particle volume will lead to the increase in magnetic force, drag force, and gravity at the same time, it is obvious that this factor is more conducive to the recovery of magnetic particles from the results in Figure 12.

3.4. Optimization Calculation of Magnetic System Structure

As the ADMS magnetic system adopts the N-N arrangement with the same polarity, the magnetic force decays fast in the radial direction. For this reason, under other conditions unchanged, we calculated the magnetic field distribution and particle capture situation when the magnetic system structure is N-S arrangement.
Figure 14 and Figure 15 show the magnetic field line distribution and H·∇H value when the magnetic system is N-N arrangement and N-S arrangement, respectively. It can be seen that after adopting the N-S arrangement, the H·∇H value on the surface of the drum and its vicinity increases significantly, especially at the position corresponding to the magnetic pole gap, the fluctuation of intensity value is relatively small, and the overall distribution of H·∇H is also more uniform. It can be predicted that the magnetic force received by the magnetic particles will be greatly enhanced, and the probability of being captured will also increase. The statistical results of Figure 16 and Figure 17 confirm this point. The N-S alternative arrangement of magnetic system makes the airflow velocity that magnetic particles withstand greatly increase, which means that the force difference between magnetic particles and non-magnetic particles will be increased, and better effect of separation will be obtained.
Figure 14. Comparison of distribution of magnetic lines of force between N-N arrangement (a) and N-S arrangement (b) ( B r = 1.2 T).
Figure 15. H · H value of N-N arrangement (a) and N-S arrangement (b) ( B r = 1.2 T).
Figure 16. Change of magnetic particle (d = 23 μ m) capture probability with airflow velocity in N-S arrangement.
Figure 17. Comparison of critical airflow velocity when the capture probability of magnetic particles (d = 23 μ m) is 80% under different arrangement of magnetic system.
As the magnetic particles are close to the drum surface and the thickness of the material layer is not considered in the simulation calculation, the particles are subjected to the complete magnetic field force. In actual operation, the airflow velocity should be appropriately reduced, so that to ensure the recovery of the magnetic particles in the outer layer of the material.

4. Conclusions

In this paper, COMSOL multiphysics is used to simulate the movement of particles in the magnetic field, the flow field, and the multi-physical field of AMDS, and the accuracy of the simulation is verified by experiments. The magnetic field simulation results show that the magnetic induction intensity at each point of the magnetic system is basically consistent with the measured value, and the error between the result of magnetic field gradient and theoretical calculation is 3.45%. The flow field simulation results show that the airflow velocity decreases rapidly with the increase of the distance from the drum surface, and the pressure gradient on the drum surface is the largest; the distribution of the flow field is affected by the drum velocity, and its vector direction deflects towards the tangent direction with the change of the drum velocity. The simulation results of particle motion show that the effect of high-speed airflow on the removal of non-magnetic particles is obvious, but the capture rate of fine-grained magnetic particles also decreases significantly when the remanence (magnetic field intensity) of the magnetic system is low. Increasing the magnetic field intensity with high remanence material will improve the critical velocity of fine-grained magnetic particles, and further strengthen the separation effect. In addition, the arrangement of N-S alternate polarity is better than that of N-N same polarity, which can achieve a better effect of separation between particles. The simulation model has reference significance for particle dynamic tracking under multi physical fields and determination of operation parameters under different conditions.

Supplementary Materials

The following are available online at https://www.mdpi.com/article/10.3390/min11070680/s1, Video S1: Dynamic process of particle motion.

Author Contributions

Conceptualization, J.L. and Z.X.; methodology, J.L. and D.L.; software, J.L. and Z.X.; validation, Z.D. and X.M.; formal analysis, X.Y.; investigation, Y.F.; data curation, X.Y. and Y.F.; writing–original draft, J.L.; project administration, D.L. All authors have read and agreed to the published version of the manuscript.

Funding

This research was funded by the National Natural Science Foundation of China, grant number 51804341, 51674290, 51974366; Natural Science Foundation of Hunan Province, grant number 2019JJ50833; Co-Innovation Center for Clean and Efficient Utilization of Strategic Metal Mineral Resources.

Data Availability Statement

This study did not report any data.

Acknowledgments

This research work was financially supported by the National Natural Science Foundation of China (Grant No. 51804341; No. 51674290; No. 51974366), Natural Science Foundation of Hunan Province (Grant No. 2019JJ50833), and the Co-Innovation Center for Clean and Efficient Utilization of Strategic Metal Mineral Resources.

Conflicts of Interest

The authors declare no conflict of interest.

References

  1. Dworzanowski, M. Optimizing the performance of wet drum magnetic separators. J. S. Afr. Inst. Min. Metall. 2010, 110, 643–653. [Google Scholar]
  2. Tripathy, S.K.; Banerjee, P.K.; Suresh, N. Separation analysis of dry high intensity induced roll magnetic separator for concentration of hematite fines. Powder Technol. 2014, 264, 527–535. [Google Scholar] [CrossRef]
  3. Singh, V.; Nag, S.; Tripathy, S.K. Particle flow modeling of dry induced roll magnetic separator. Powder Technol. 2013, 244, 85–92. [Google Scholar] [CrossRef]
  4. Fu, Y.F.; Yin, W.Z.; Yang, B.; Li, C.; Zhu, Z.L.; Li, D. Effect of sodium alginate on reverse flotation of hematite and its mechanism. Int. J. Miner. Metall. Mater. 2018, 25, 1113–1122. [Google Scholar] [CrossRef]
  5. Tripathy, S.K.; Banerjee, P.K.; Suresh, N.; Murthy, Y.R.; Singh, V. Dry high-intensity magnetic separation in mineral industry-a review of present status and future prospects. Min Proc. Ext. Metall. Rev. 2017, 38, 339–365. [Google Scholar] [CrossRef]
  6. Xiong, D.; Lu, L.; Holmes, R.J. Developments in the physical separation of iron ore: Magnetic separation. In Iron Ore; Woodhead Publishing: Southston, UK, 2015; pp. 283–307. [Google Scholar]
  7. Elder, J.; Sherrell, I. Dry versus wet magnetic separation-horses for courses. In Eight International Heavy Minerals Conference 2011; Curran Associates, Inc.: New York, NY, USA, 2011; pp. 99–106. [Google Scholar]
  8. Li, Z.J.; Tian, Y.S.; Wang, X.G. Experimental study on cohesion mechanism of mine dust. Min. Saf. Environ. Prot. 2006, 33, 10, 11, 14, 87. [Google Scholar] [CrossRef]
  9. Ku, J.G.; Liu, X.Y.; Chen, H.H.; Deng, R.D.; Yan, Q.X. Interaction between two magnetic dipoles in a uniform magnetic field. Aip Adv. 2016, 6, 025004. [Google Scholar] [CrossRef]
  10. Lim, J.K.; Yeap, S.P.; Low, S.C. Challenges associated to magnetic separation of nanomaterials at low field gradient. Sep. Purif. Technol. 2014, 123, 171–174. [Google Scholar] [CrossRef]
  11. Liu, J.J.; Lu, D.F.; Wang, Y.H.; Zheng, X.Y.; Li, X.D.; Cheng, Z.Y. Effect of dry magnetic separator on pre-selection of magnetite under wind power. Chin. J. Nonferrous Met. 2020, 30, 2482–2491. [Google Scholar]
  12. Song, S.; Zhang, G.; Luo, Z.; Lv, B. Development of a fluidized dry magnetic separator and its separation performance tests. Miner. Process. Extr. Metall. Rev. 2019, 40, 307–313. [Google Scholar] [CrossRef]
  13. Mishima, F.; Yamazaki, S.; Yoshida, K.; Nakane, H.; Yoshizawa, S.; Takeda, S. A study on the development of an open-gradient magnetic separator under dry condition. IEEE Trans. Appl. Supercon. 2004, 14, 1561–1564. [Google Scholar] [CrossRef]
  14. Cheng, K.; Yang, L.L.; Zhang, Z.H. A study on separation iron ore by suspension magnetic separator. Min. Metall. 2008, 17, 20–23. [Google Scholar]
  15. Wang, S.; Xin, Q. Development and application research of a new type of dry magnetic separator for pulverized ore. Mod. Min 2019, 35, 133–135. [Google Scholar]
  16. Liu, W.S. Research on air jigging system for dry coal separation. Min. Process. Equip. 2010, 38, 95–98. [Google Scholar]
  17. Emmanuel, B.; Christopher, K.; Jonas, A.; William, S. Assessing the performance of a novel pneumatic magnetic separator for the beneficiation of magnetite ore. Miner. Eng. 2020, 156, 106483. [Google Scholar]
  18. Zhang, Z.; Ling, X.; Ma, J. Numerical study on the flow field and separation efficiency of a rotary drum separator. Powder Technol. 2020, 371, 13–25. [Google Scholar] [CrossRef]
  19. Lu, D.; Liu, J.; Cheng, Z.; Li, X.; Wang, Y. Development of an open-gradient magnetic separator in the aerodynamic field. Physicochem. Probl. Miner. Process. 2020, 56, 325–337. [Google Scholar]
  20. Geppert, B.; Groeneveld, D.; Loboda, V. Finite-element simulations of a thermoelectric generator and their experimental validation. Acta Crystallogr. 2015, 2, 751–767. [Google Scholar] [CrossRef]
  21. Huang, H.W.; Wang, J.; Zhao, C.; Mo, Y.L. Two-dimensional finite-element simulation of periodic barriers. J. Eng. Mech. 2021, 147, 04020150. [Google Scholar] [CrossRef]
  22. Liu, Y.; Cameron, A.T.; Gonzalez, M. Modeling granular material blending in a Tote blender using a finite element method and advection-diffusion Equ. multi-scale model. Powder Technol. 2018, 340, 428–439. [Google Scholar] [CrossRef]
  23. Lefevre, Y.; Henaux, C.; Llibre, J.F. Magnetic field continuity conditions in finite-element analysis. IEEE Trans. Magn. 2018, 54, 7400304. [Google Scholar] [CrossRef] [Green Version]
  24. Ouili, M.; Mehasni, R.; Feliachi, M.; Belounis, A.; Latreche, M.E. A simultaneous separation of magnetic and conductive particles in a designed permanent magnet drum separator. Int. J. Appl. Electromagn. Mech. 2019, 61, 137–155. [Google Scholar] [CrossRef]
  25. Lu, D.; Wang, Y.; He, P.; Sun, W.; Hu, Y. Simulation of magnetic field on tracked permanent magnetic separator based on ANSYS. Chin. J. Nonferrous Met. 2014, 24, 2188–2194. [Google Scholar]
  26. Zheng, Y.; Li, M.; Cui, R.; Guo, N.; Yan, Y.; Zhang, B. Effect of saturation magnetization of magnetic matrices on performance of high gradient magnetic separator. Met. Mine 2013, 42, 108. [Google Scholar]
  27. Hu, M.; Wu, B.; Chen, J.; Zeng, J. Numerical simulation of flow field of inflation pressure for large complex sulfide mineral of low-tin flotation machine. Appl. Mech. Mater. 2013, 2516, 333–336. [Google Scholar]
  28. Wang, X. A Dissertation Submitted in Partial Fulfillment of the Requirements for the Professional Degree of Master in Engineering. Master’s Thesis, Wuhan University of Science and Technology, Wuhan, China, 2017. [Google Scholar]
  29. Zeng, F.; Wang, Y.; Lu, D.; Li, X.; Zheng, X. Application of self-made reflux classifier in gravity preconcentration of lateritic nickel and flow field simulation thereof. Min. Metall. Eng. 2017, 37, 52–56. [Google Scholar]
  30. Hu, Y. Analysis on simulation of magnetic separation process using dynamic coupled FEM, CFD and DEM model. Nonferr. Met. Miner. Process. Sect. 2016, 68–72, 82. [Google Scholar] [CrossRef]
  31. Murariu, V. Simulating a Low Intensity Magnetic Separator Model (LIMS) Using DEM, CFD and FEM Magnetic Design Software. Comput. Modeling 2013. Available online: http://www.researchgate.net/publication/248393907_Simulating_a_Low_Intensity_Magnetic_Separator_Model_LIMS_using_DEM_CFD_and_FEM_Magnetic_Design_Software (accessed on 21 June 2021).
  32. Karimi, P.; Darban, A.K.; Mansourpour, Z. A finite element model to simulate magnetic field distribution and laboratory studies in wet low-intensity magnetic separator. J. Min. Environ. 2019, 10, 717–727. [Google Scholar]
  33. Wang, F.; Tang, D.; Gao, L.; Dai, H.; Wang, P.; Gong, Z. Magnetic entrainment mechanism of multi-type intergrowth particles for Low-Intensity magnetic separation based on a multiphysics model. Miner. Eng. 2020, 149, 106264. [Google Scholar] [CrossRef]
  34. Wang, F.; Dai, H.; Lv, Y.; Zhang, L. Dynamic capture behavior of ferromagnetic particles based on fully coupled multiphysics model of particle-fluid interactions. Miner Eng. 2019, 138, 238–245. [Google Scholar] [CrossRef]
  35. Xue, Z.; Wang, Y.; Zheng, X.; Lu, D.; Li, X. Particle capture of special cross-section matrices in axial high gradient magnetic separation: A 3D simulation. Sep. Purif. Technol. 2019, 237, 116375. [Google Scholar] [CrossRef]
  36. Zheng, X.; Wang, Y.; Lu, D. Effect of matrix shape on the capture of fine weakly magnetic minerals in high-gradient magnetic separation. IEEE Trans. Magn. 2016, 52, 7005111. [Google Scholar] [CrossRef]
  37. Matko, V.; Milanović, M. High Resolution Switching Mode Inductance-to-Frequency Converter with Temperature Compensation. Sensors 2014, 14, 19242–19259. [Google Scholar] [CrossRef] [PubMed]
  38. Matko, V.; Safarič, R. Major improvements of quartz crystal pulling sensitivity and linearity using series reactance. Sensors 2009, 9, 8263–8270. [Google Scholar] [CrossRef]
  39. Yang, S.; Tan, M.; Yu, T.; Li, X.; Wang, X.; Zhang, J. Hybrid Reduced Graphene Oxide with Special Magnetoresistance for Wireless Magnetic Field Sensor. Nano-Micro Lett. 2020, 12, 69. [Google Scholar] [CrossRef] [PubMed] [Green Version]
  40. Avdeev, B.; Dema, R.; Chernyi, S. Study and Modeling of the Magnetic Field Distribution in the Fricker Hydrocyclone Cylindrical Part. Computation 2020, 8, 42. [Google Scholar] [CrossRef]
  41. Zhang, G. Dynamic Characteristics of Magnetic Separation and Segregation Mechanism of Particles in a Gas-solid Fluidized Magnetic Separator. Ph.D. Thesis, China University of Mining and Technology, Beijing, China, 2019. [Google Scholar]
  42. Yuan, Z.; Wang, C. Magnetoelectric Mineral Processing, 2nd ed.; Metallurgical Industry Press: Beijing, China, 2015; pp. 12–23. [Google Scholar]
Publisher’s Note: MDPI stays neutral with regard to jurisdictional claims in published maps and institutional affiliations.

Article Metrics

Citations

Article Access Statistics

Multiple requests from the same IP address are counted as one view.