Traceability of Diamonds Using UV-VIS-NIR Spectroscopy
Abstract
1. Introduction
2. Materials and Methods
3. Results and Discussion
3.1. Optical Properties of Diamonds from the Cullinan Mine
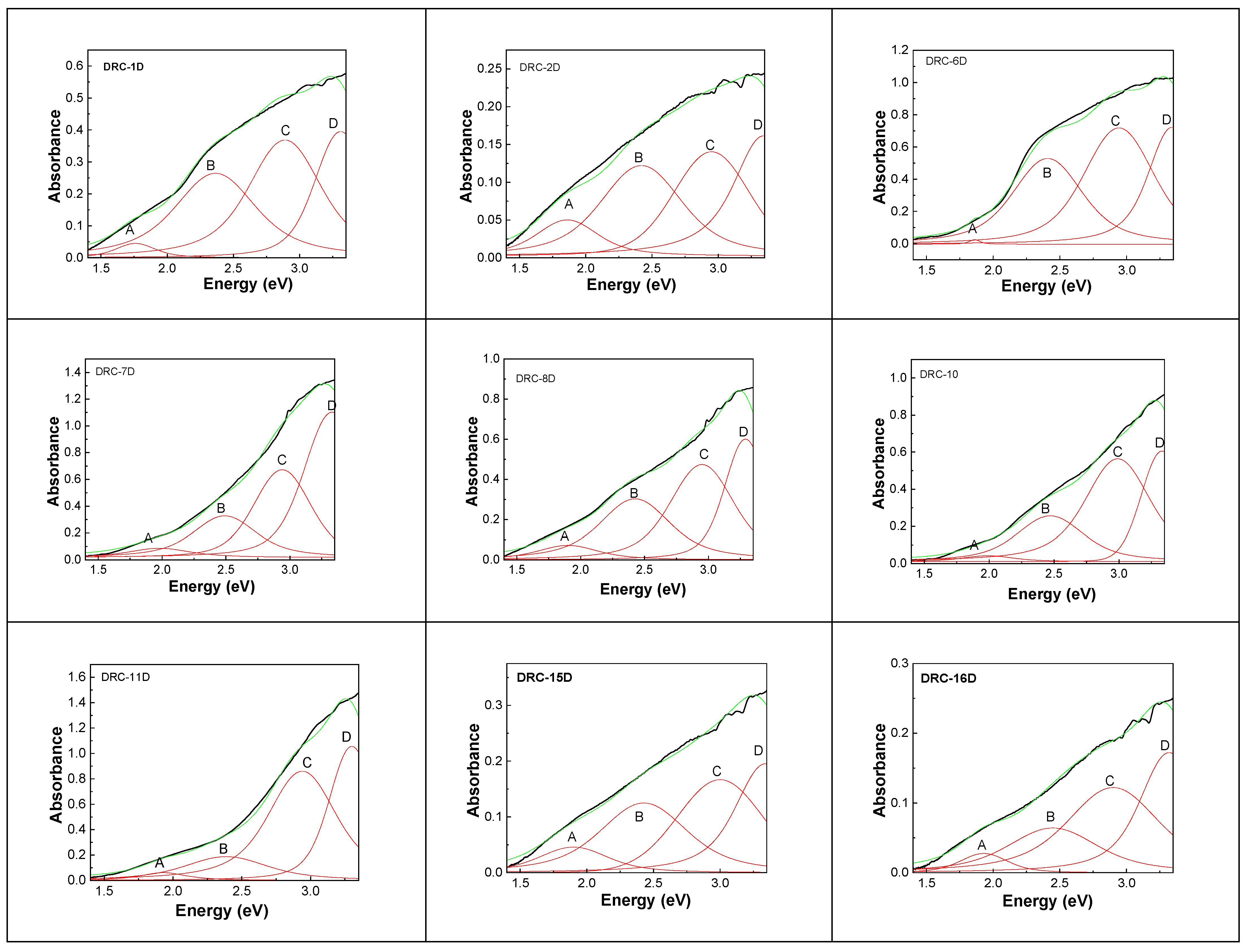
3.2. Optical Properties of Diamonds from DRC
3.3. Optical Properties of Diamonds with Unknown Geographical Origin
4. Conclusions
Supplementary Materials
Author Contributions
Funding
Data Availability Statement
Acknowledgments
Conflicts of Interest
References
- Handschuh-Wang, S.; Wang, T.; Tang, Y. Ultrathin diamond nanofilms—Development, challenges, and applications. Small 2021, 17, 2007529. [Google Scholar] [CrossRef]
- Ashfold, M.N.R.; Goss, J.P.; Green, B.L.; May, P.W.; Newton, M.E.; Peaker, C.V. Nitrogen in Diamond. Chem. Rev. 2020, 120, 5745–5794. [Google Scholar] [CrossRef]
- Jani, M.; Mrozek, M.; Nowakowska, A.M.; Leszczenko, P.; Gawlik, W.; Wojcierchowski, A.M. Role of high nitrogen-vacancy con-centration on the photoluminescence and Raman spectra of diamond. Phys. Status Solidi A Appl. Mater. Sci. 2023, 220, 2200299. [Google Scholar] [CrossRef]
- Daver, L.; Bureau, H.; Boulard, É.; Gaillou, É.; Cartigny, P.; Pinti, D.L.; Belhadj, O.; Guignot, N.; Foy, E.; Estève, I.; et al. From the lithosphere to the lower mantle: An aqueous-rich metal-bearing growth environment to form type IIb blue diamonds. Chem. Geol. 2022, 613, 121163. [Google Scholar] [CrossRef]
- De Weerdt, F.; Van Royen, J. Defects in coloured natural diamonds. Diam. Relat. Mater. 2001, 10, 474–479. [Google Scholar] [CrossRef]
- Hoal, K.O.; Appleby, S.K.; Stammer, J.G.; Palmer, C. SEM-based quantitative mineralogical analysis of peridotite, kimberlite, and concentrate. Lithos 2009, 112, 41–46. [Google Scholar] [CrossRef]
- Shirey, S.B.; Shigley, J.E. Recent advances in understanding the geology of diamonds. Gems Gemol. 2013, 49, 188–222. [Google Scholar] [CrossRef]
- Nestola, F.; Pamato, M.G.; Novella, D. Chapter 10: Going inside a diamond. In Celebrating the International Year of Mineralogy Progress and Landmark Discoveries of the Last Decades; Bindi, L., Cruciani, G., Eds.; Springer: Berlin/Heidelberg, Germany, 2023; pp. 249–263. [Google Scholar]
- Stachel, T.; Aulbach, S.; Harris, J.W. Mineral inclusions in lithospheric diamonds. Rev. Miner. Geochem. 2022, 88, 307–391. [Google Scholar] [CrossRef]
- Day, M.C.; Pamato, M.G.; Novella, D.; Nestola, F. Imperfections in natural diamond: The key to understanding diamond genesis and the mantle. Riv. Nuovo C. 2023, 46, 381–471. [Google Scholar] [CrossRef]
- Badzian, A. The displacement disorder of atoms in diamond crystals revealed by X-ray imaging plate detector. Diam. Relat. Mater. 2016, 69, 19–32. [Google Scholar] [CrossRef]
- Kozlov, A.V.; Vasilev, E.A.; Ivanov, A.S.; Bushuev, Y.Y.; Kolyadina, A.I. Genetic geological model of diamond-bearing fluid magmatic system. J. Min. Inst. 2024, 269, 708–720. [Google Scholar]
- Dongre, A.; Tappe, S. Kimberlite and carbonatite dykes within the Premier diatreme root (Cullinan Diamond Mine, South Africa): New insights to mineralogical-genetic classifications and magma CO2 degassing. Lithos 2019, 338–339, 155–173. [Google Scholar] [CrossRef]
- Riches, A.J.V.; Ickert, R.B.; Pearson, D.G.; Stern, R.A.; Jackson, S.E.; Ishikawa, A.; Kjarsgaard, B.A.; Gurney, J.J. In situ oxygen-isotope, major-, and trace-element constraints on the metasomatic modification and crustal origin of a diamondiferous eclogite from Roberts Victor, Kaapvaal Craton. Geochim. Cosmochim. Acta 2016, 174, 345–359. [Google Scholar] [CrossRef]
- Korolev, N.; Kopylova, M.; Gurney, J.J.; Moore, A.E.; Davidson, J. The origin of Type II diamonds as inferred from Cullinan mineral inclusions. Miner. Pet. 2018, 112, 275–289. [Google Scholar] [CrossRef]
- Pivin, M.; Féménias, O.; Demaiffe, D. Metasomatic mantle origin for Mbuji-Mayi and Kundelungu garnet and clinopyroxene megacrysts (Democratic Republic of Congo). Lithos 2009, 112, 951–960. [Google Scholar] [CrossRef]
- De Magneé Y, Présence de kimberlite dans la zone diamantifère de Bakwanga (Kasai, Congo Belge). Bull. Soc. Belge Geol. 1946, LVI, 127–132.
- Pokhilenko, L.; Pokhilenko, N.; Malkovets, V.; Alifirova, T. The earliest generation of diamond: The first find of a diamond inclusion in kimberlitic olivine. Minerals 2022, 13, 36. [Google Scholar] [CrossRef]
- Qin, L.; Shi, G.; Zhao, X.; Chen, Z. The study of olivine inclusions in diamonds from Liaoning, China and the evaluation of related thermometers. Minerals 2024, 14, 850. [Google Scholar] [CrossRef]
- Scarralt, K.; Shor, R. The Cullinan diamond centennial: A history and gemological analysis of Cullinan I and II. Gems Gemol. 2006, 42, 120–132. [Google Scholar] [CrossRef]
- Korolev, N.; Kopylova, M.; Bussweiler, Y.; Pearson, D.; Gurney, J.; Davidson, J. The uniquely high-temperature character of Cullinan diamonds: A signature of the Bushveld mantle plume? Lithos 2018, 304–307, 362–373. [Google Scholar] [CrossRef]
- Kopylova, M.; Navon, O.; Dubrovinsky, L.; Khachatryan, G. Carbonatitic mineralogy of natural diamond-forming fluids. Earth Planet. Sci. Lett. 2010, 291, 126–137. [Google Scholar] [CrossRef]
- Jin, S.; Renfro, N.D.; Palke, A.C.; Ardon, T.; Homkrajae, A. Application of UV-Vis-NIR spectroscopy to gemology. Gems Gemol. 2024, 60, 456–473. [Google Scholar] [CrossRef]
- Breeding, C.M.; Eaton-Magana, S.; Shigley, J.E. Natural-color green diamonds: A beautiful conundrum. Gems Gemol. 2018, 54, 2–27. [Google Scholar] [CrossRef]
- Breeding, C.M.; Eaton-Magana, S.; Shigley, J.E. Naturally colored yellow and orange gem diamonds: The nitrogen factor. Gems Gemol. 2020, 56, 194–219. [Google Scholar] [CrossRef]
- Manson, N.B.; Beha, K.; Batalov, A.; Rogers, L.J.; Doherty, M.W.; Bratschitsch, R.; Leitenstorfer, A. Assignment of the NV0 575-nm zero-phonon line in diamond to a 2E-2A2 transition. Phys. Rev. B 2013, 87, 155209. [Google Scholar] [CrossRef]
- Eaton-Magana, S.; Ardon, T.; Smit, K.V.; Breeding, C.M.; Shigley, J.E. Natural-color pink, purple, red and brown diamonds: Band of many colors. Gems Gemol. 2019, 54, 352–377. [Google Scholar] [CrossRef]
- Sischler, B. Impurity defects in diamond. In Handbook of Spectral lines in Diamond; Springer: Berlin/Heidelberg, Germany, 2012; pp. 303–367. [Google Scholar]
- Doherthy, M.V.; Manson, M.B.; Delaney, P.; Jelezko, F.; Wrachtrup, J.; Hollenberg, L.C.L. The nitrogen-vacancy colour center in diamond. Phys. Rep. 2013, 528, 1–45. [Google Scholar] [CrossRef]
- Davies, G.; Nazare, M.H. Uniaxial stress splitting of E to E transitions at trigonal centres in cubic crystals: The 594 nm band in diamond. J. Phys. C Solid State Phys. 1980, 13, 4127–4136. [Google Scholar] [CrossRef]
- King, J.M.; Shigley, J.E.; Gelb, T.H.; Guhin, S.S.; Hall, M.; Wang, W. Characterization and grading of natural-color yellow diamonds. Gems Gemol. 2005, 41, 88–115. [Google Scholar] [CrossRef]
- Kehayias, P.; Doherty, M.W.; English, D.; Fischer, R.; Jarmola, A.; Jensen, K.; Leefer, N.; Manson, J.N.B.; Budker, D. Infrared ab-sorption band and vibronic structure of the nitrogen-vacancy center in diamond. Phys. Rev. B 2013, 88, 165202-1–165202-5. [Google Scholar] [CrossRef]
- Parawer, S.; Nemanich, R.J. Raman spectroscopy of diamond and doped diamond. Philosoph. Transact. R Soc. A Math. Phys. Eng. Sci. 2004, 362, 2537–2565. [Google Scholar] [CrossRef] [PubMed]
- Surovtsev, N.V.; Kupriyanov, I.N.; Malinovsky, V.K.; Gusev, M.A.V.; Pal’Yanov, Y.N. Effect of nitrogen impurities on the Raman line width in diamonds. J. Phys. Condens. Matter 1999, 11, 4767–4774. [Google Scholar] [CrossRef]
















| Sample Number | Weight (cts) | Size (L × W or D) (mm) | Polish Grade | Clarity Grade |
|---|---|---|---|---|
| C-1 | 0.042 | 1.63 × 1.4 | Unpolished | VS2 |
| C-2 | 0.284 | 3.63 × 3.3 | Unpolished; Rough | VS2 |
| C-3 | 0.299 | 4.12 × 1.82 | Unpolished; Rough-Macle | VS2 |
| C-5 | 0.138 | 3.34 × 2.62 | Unpolished; Rough | SI2 |
| C-1E | 0.67 | 4.10 × 4.05 | Unpolished; Rough | SI2 |
| C-2E | 0.33 | 3.3 × 3.15 | Unpolished; Rough | SI2 |
| C-3E | 0.60 | 4.08 × 4.00 | Unpolished; Rough | SI2 |
| C-4E | 0.2 | 2.72 × 2.42 | Unpolished; Rough | SI2 |
| C-5E | 0.18 | 2.84 × 2.73 | Unpolished; Rough | SI2 |
| C-7E | 0.28 | 3.47 × 3.03 | Unpolished; Rough | SI2 |
| C-8E | 0.23 | 2.81 × 2.61 | Unpolished; Rough | SI2 |
| C-9E | 0.29 | 3.50 × 3.26 | Unpolished; Rough | SI2 |
| C-1.1 | 0.33 | 3.79 × 3.06 | Unpolished; Rough | SI2 |
| C-2.1 | 0.31 | 5.42 × 2.79 | Unpolished; Rough | SI2 |
| C-3.1 | 0.46 | 3.50 × 3.06 | Unpolished; Rough | SI2 |
| C-4.1 | 0.47 | 5.15 × 4.43 | Unpolished; Rough | SI2 |
| C-4B | 0.54 | 0.49 | Unpolished; Spherical | SI2 |
| C-5B | 0.54 | 5.59 | Unpolished; Spherical | SI2 |
| C-7B | 1.15 | 7.80 × 5.06 | Unpolished; Rough | SI2 |
| C-8B | 4.43 | 7.26 × 7.23 | Unpolished; Rough-Octahedron | VS2 |
| C-9B | 0.909 | 5.11 × 4.65 | Unpolished; Rough-Octahedron | SI1 |
| C-10B | 0.653 | 4.32 × 3.96 | Unpolish; Rough | SI1 |
| C-11B | 0.931 | 3.63 × 3.25 | Unpolished; Rough | SI2 |
| C-12B | 0.335 | 3.103 × 3.01 | Unpolished; Rough | SI2 |
| C-13B | 0.356 | 4.00 × 3.20 | Unpolished; Rough | SI1 |
| C-14B | 0.639 | 6.05 × 5.04 | Unpolished; Rough | SI2 |
| C-15B | 1.52 | 7.80 × 4.50 | Unpolished; Rough | SI1 |
| C-16B | 0.56 | 4.61 × 3.85 | Unpolished; Rough | I1 |
| C-17B | 0.594 | 4.82 × 4.63 | Unpolished; Rough | I1 |
| C-18B | 1.616 | 7.85 × 6.00 | Unpolished; Rough | VS1 |
| C-19B | 0.647 | 6.06 × 4.63 | Unpolished; Rough | SI2 |
| C-20B | 0.634 | 5.25 × 5.08 | Unpolished; Rough-Cube | SI1 |
| C-21B | 2.37 | 6.85 × 5.36 | Unpolished; Rough | SI1 |
| C-22B | 2.96 | 7.41 × 6.13 | Unpolished; Rough | SI1 |
| C-23B | 3.91 | 7.72 × 6.45 | Unpolished; Rough | VS2 |
| C-24B | 3.20 | 8.63 × 6.73 | Unpolished; Rough | SI1 |
| C-25B | 2.28 | 5.81 × 5.20 | Unpolished; Rough-Cube | VS1 |
| C-9C | 1.60 | 7.68 × 6.87 | Unpolished; Spherical | VS1 |
| C-10C | 1.29 | 4.7 | Unpolished; Rough | SI2 |
| C-11C | 0.77 | 5.33 × 4.78 | Unpolished; Rough | VS2 |
| C-12C | 1.37 | 4.66 | Unpolished; Rough-Cube | VS1 |
| C-12D | 0.75 | 4.89 × 3.74 | Unpolished; Rough | VS2 |
| C-13C | 0.15 | 3.31 | Polished; Brilliant Cut | I1 |
| C-13D | 0.83 | 4.28 × 4.25 | Unpolished; Rough | VS2 |
| Absorption Band (nm) | Centers | Reference |
|---|---|---|
| 376–384 | N10 | [28] |
| 530; 751 | N1+ | [26] |
| 575–594; 503 | NV0 & ZPL | [2,26,29,30] |
| 637; 503 | NV− & ZPL | [2,26,29] |
| 478; 503 | N2V0 & ZPL | [2] |
| 451, 476 & 415 | N3V0 &ZPL | [27,31] |
| 405–410; | N4V & ZPL | [24] |
| 545 & 496 | N4V2 & ZPL | [5] |
| 550 | plastic deformation | [5] |
| 536, 730, 836 | H-related defects (NVH) | [32] |
| Sample Name | Peak A nm (eV) | Peak B nm (eV) | Peak C&D nm (eV) | Peaks of Vibronic Structure nm (eV) | Assignment of Peaks [2,5,24,26,29,30,31,32] |
|---|---|---|---|---|---|
| 1 | 596 (2.08) | 463 (2.68) | 384 (3.23); 376 (3.3) | 415 (2.985); 406 (3.076); 395 (3.14) | NV0, N3V0, N10, N4V0 |
| 2 | 596 (2.08) | 466 (2.66) | 386 (3.21); 376 (3.3) | 415 (2.985); 406 (3.076); 395 (3.14) | NV0, N3V0, N10, N4V0 |
| 3 | 596 (2.08) | 463 (2.68) | 373 (3.22); 376 (3.3) | 415 (2.985); 406 (3.076); 395 (3.14) | NV0, N3V0, N10, N4V0 |
| 5 | 588 (2.11) | 473 (2.62) | 412 (3.01); 374 (3.32) | - | NV0, N3V0, N10 |
| 1E | 646 (1.92) | 496 (2.5) | 413 (3); 374 (3.32) | - | NV−, N4V2, N3V0, N10 |
| 2E | 653 (1.9) | 484 (2.56) | 416 (2.98); 374 (3.32) | - | NV−, N4V2, N3V0, N10 |
| 3E | 636 (1.95) | 496 (2.5) | 419 (2.96); 371 (3.34) | - | NV−, N4V2, N3V0, N10 |
| 4E | 599 (2.07) | 468 (2.65) | 405 (3.06); 371 (3.34) | - | NV0, N3V0, N4V0,N10 |
| 5E | 602 (2.06) | 479 (2.59) | 416 (2.98); 372 (3.33) | - | NV0, N3V0, N4V0, N10 |
| 7E | 596 (2.08) | 486 (2.55) | 416 (2.98); 374 (3.32) | - | NV0, N3V0, N4V0, N10 |
| 8E | 611 (2.03) | 484 (2.56) | 383 (3.24); 372 (3.33) | 415 (2.985); 406 (3.076); 395 (3.14) | NV−, N3V0, N10, N4V0 |
| 9E | 629 (1.97) | 477 (2.6) | 381 (3.25); 374 (3.32) | - | NV−, N3V0, N10 |
| 1.1 | 629 (1.97) | 494 (2.51) | 383 (3.24) | 415 (2.985); 406 (3.076); 395 (3.14) | NV−, N4V2, N10, N4V0 |
| 2.1 | 636 (1.95) | 488 (2.54) | 384 (3.23); 374 (3.32) | 415 (2.985); 406 (3.076); 395 (3.14) | NV−, N3V0, N10, N4V0 |
| 3.1 | 623 (1.99) | 490 (2.53) | 410 (3.02); 383 (3.24) | - | NV−, N3V0, N4V0, N10 |
| 4.1 | 593 (2.09) | 464 (2.67) | 410 (3.02); 383 (3.24) | - | NV0, N3V0, N4V0, N10 |
| 4B | 590 (2.1) | 471 (2.63) | 392 (3.16); 381 (3.25) | 415 (2.985); 406 (3.076); 395 (3.14) | NV0, N3V0, N10, N4V0 |
| 5B | 617 (2.01) | 490 (2.53) | 435 (2.85); 374 (3.31) | 415 (2.985); 406 (3.076); 395 (3.14) | NV−, N3V0, N10, N4V0 |
| 7B | 620 (2.00) | 481 (2.58) | 433 (2.86); 385 (3.22) | 415 (2.985); 406 (3.076); 395 (3.14) | NV−, N3V0, N10, N4V0 |
| 8B | 596 (2.08) | 463 (2.68) | 385 (3.22); 373 (3.32) | 415 (2.985); 406 (3.076); 395 (3.14) | NV0, N3V0, N10, N4V0 |
| 9B | 584 (2.12) | 466 (2.66) | 384 (3.23); 375 (3.31) | 415 (2.985); 406 (3.076); 395 (3.14) | NV0, N3V0, N10, N4V0 |
| 10B | 599 (2.07) | 477 (2.60) | 412 (3.01); 373 (3.32) | - | NV0, N3V0, N4V, N10 |
| 11B | 617 (2.01) | 490 (2.53) | 416 (2.98); 373 (3.32) | - | NV−, N4V2, N4V0,N10 |
| 12B | 620 (2.00) | 477 (2.60) | 416 (2.98); 373 (3.32) | - | NV−, N3V, N4V0,N10 |
| 13B | 602 (2.06) | 459 (2.70) | 410 (3.02); 373 (3.32) | - | NV−, N3V0, N4V0, N10 |
| 14B | 620 (2.00) | 464 (2.67) | 412 (3.01); 372 (3.33) | - | NV−, N3V0, N4V0, N10 |
| 15B | 620 (2.00) | 463 (2.68) | 413 (3.00); 373 (3.32) | - | NV−, N3V0, N4V0, N10 |
| 16B | 596 (2.08) | 463 (2.68) | 410 (3.02); 372 (3.33) | - | NV0, N3V0, N4V0, N10 |
| 17B | 605 (2.05) | 463 (2.68) | 409 (3.03); 371 (3.34) | - | NV−, N3V0, N4V0, N10 |
| 18B | 617 (2.01) | 477 (2.60) | 413 (3.00); 371 (3.34) | - | NV−, N3V0, N4V0, N10 |
| 19B | 585 (2.12) | 459 (2.70) | 406 (3.05); 371 (3.34) | - | NV0, N3V0, N4V0, N10 |
| 20B | 582 (2.13) | 459 (2.70) | 409 (3.03); 371 (3.34) | - | NV0, N3V0, N4V0, N10 |
| 21B | 626 (1.98) | 500 (2.48) | 416 (2.98); 371 (3.34) | - | NV−, N4V2, N4V0, N10 |
| 22B | 639 (1.94) | 492 (2.52) | 408 (3.04); 371 (3.34) | - | NV−, N4V2, N4V0,N10 |
| 23B | 571 (2.17) | 454 (2.73) | 406 (3.05); 371(3.34) | - | NV0, N3V0,N4V0, N10 |
| 24B | 588 (2.11) | 475 (2.61) | 409 (3.03); 371 (3.34) | - | NV0, N3V0, N4V0,N10 |
| 25B | 558 (2.22) | 457 (2.71) | 405 (3.06); (371 3.34) | - | plastic deformation, N3V0, N4V0, N10 |
| 9C | 636 (1.95) | 494 (2.51) | 440 (2.82); 380 (3.26) | 415 (2.985); 406 (3.076); 395 (3.14) | NV−, N4V2, N3V0, N10 |
| 10C | 636 (1.95) | 496 (2.5) | 423 (2.93); 376 (3.3) | - | NV−, N4V2, N3V0, N10 |
| 11C | 629 (1.97) | 492 (2.52) | 416 (2.98); 371 (3.34) | - | NV−, N4V2, N3V0, N10 |
| 12C | 653 (1.90) | 481 (2.58) | 408 (3.04); 371 (3.34) | - | NV−, N2V0, N4V0, N10 |
| 12D | 614 (2.02) | 475 (2.61) | 408 (3.04); 371(3.34) | - | NV−, N3V0, N4V0, N10 |
| 13C | 590 (2.10) | 468 (2.65) | 402 (3.08); 372 (3.33) | - | NV0, N3V0, N4V0, N10 |
| 13D | 649 (1.91) | 475 (2.61) | 402 (3.08); 369 (3.36) | - | NV−, N3V0, N4V0, N10 |
| Sample Name | FWHM (cm−1) | Wavenumber of Raman Line (cm−1) | Nitrogen Concentration (ppm) |
|---|---|---|---|
| 1 | 1.68 | 1333.2 | 113 |
| 2 | 1.7 | 1333.3 | 134 |
| 3 | 1.65 | 1333.4 | 82 |
| 5 | 1.67 | 1333.3 | 103 |
| 1E | 1.7 | 1333.2 | 134 |
| 2E | 1.72 | 1333.2 | 154 |
| 3E | 1.65 | 1333.2 | 82 |
| 4E | 1.7 | 1333.2 | 134 |
| 5E | 1.7 | 1333.1 | 134 |
| 7E | 1.66 | 1333.2 | 93 |
| 8E | 1.65 | 1333.2 | 82 |
| 9E | 1.68 | 1333.2 | 113 |
| 1.1 | 1.62 | 1333.2 | 51 |
| 2.1 | 1.71 | 1333.2 | 175 |
| 3.1 | 1.67 | 1333.2 | 103 |
| 4.1 | 1.68 | 1333.1 | 113 |
| 4B | 1.71 | 1333 | 144 |
| 5B | 1.73 | 1333.3 | 165 |
| 7B | 1.74 | 1333.3 | 175 |
| 8B | 1.72 | 1333.2 | 154 |
| 9B | 1.63 | 1333.1 | 62 |
| 10B | 1.67 | 1333 | 103 |
| 11B | 1.68 | 1333.2 | 113 |
| 12B | 1.69 | 1333.2 | 124 |
| 13B | 1.61 | 1333.2 | 41 |
| 14B | 1.75 | 1333.2 | 185 |
| 15B | 1.67 | 1333.2 | 103 |
| 16B | 1.68 | 1333 | 113 |
| 17B | 1.72 | 1333.2 | 154 |
| 18B | 1.7 | 1333 | 134 |
| 19B | 1.72 | 1333.2 | 154 |
| 20B | 1.67 | 1333.2 | 103 |
| 21B | 1.7 | 1333.1 | 134 |
| 22B | 1.67 | 1333.2 | 103 |
| 23B | 1.75 | 1333.1 | 185 |
| 24B | 1.71 | 1333.2 | 144 |
| 25B | 1.7 | 1333 | 134 |
| 9C | 1.61 | 1333.3 | 41 |
| 10C | 1.7 | 1333.2 | 134 |
| 11C | 1.61 | 1333.2 | 51 |
| 12C | 1.72 | 1333.2 | 154 |
| 12D | 1.64 | 1333.2 | 72 |
| 13C | 1.61 | 1333.2 | 51 |
| 13D | 1.61 | 1333.4 | 51 |
| Sample Number | Weight (cts) | Size (L × W, or D) (mm) | Polish Grade | Clarity Grade |
|---|---|---|---|---|
| DRC-1D | 0.98 | 8.80 × 6.73 | Polished; Pear Cut | I1 |
| DRC-2D | 1.24 | 8.76 × 6.97 | Polished; Pear Cut | I1 |
| DRC–6D | 0.79 | 6.86 × 4.87 | Unpolished; Rough | SI2 |
| DRC–7D | 0.84 | 6.94 × 5.11 | Unpolished; Rough | I1 |
| DRC–8D | 1.62 | 7.80 × 6.92 | Unpolished; Rough-Spherical | I1 |
| DRC-10 | 0.73 | 5.88 × 4.26 | Unpolished; Rough | SI1 |
| DRC–11D | 1.66 | 5.00 | Unpolished; Rough-Cube | VS2 |
| DRC-15D | 0.31 | 3.17 | Unpolished; Rough | VS1 |
| DRC-16D | 0.39 | 3.5 | Unpolished; Rough | VS1 |
| Sample Name | Peak A nm (eV) | Peak B nm (eV) | Peaks C&D nm (eV) | Assignments [2,5,24,26,29,30,31,32] |
|---|---|---|---|---|
| DRC-1D | 704 (1.76) | 523 (2.37) | 429 (2.89); 376 (3.30) | NVH, N1+, N3V0, N10 |
| DRC-2D | 670 (1.85) | 512 (2.42) | 420 (2.95); 371 (3.34) | NV−, N3V0, N10 |
| DRC-6D | 667 (1.86) | 514 (2.41) | 422 (2.94); 371 (3.34) | NV−, N3V0, N10 |
| DRC-7D | 626 (1.98) | 498 (2.49) | 422 (2.94); 372 (3.33) | NV−, N3V0, N10 |
| DRC-8D | 653 (1.9) | 510 (2.43) | 420 (2.95); 377 (3.29) | NV−, N3V0, N10 |
| DRC-10 | 623 (1.99) | 502 (2.47) | 415 (2.99); 372 (3.33) | NV−, N3V0, N10 |
| DRC-11D | 642 (1.93) | 521 (2.38) | 422 (2.94); 374 (3.31) | NV−, NVH, N3V0, N10 |
| DRC-15D | 653 (1.9) | 510 (2.43) | 413 (3.00); 371 (3.34) | NV−, N3V0, N10 |
| DRC-16D | 642 (1.93) | 506 (2.45) | 427 (2.9); 373 (3.32) | NV−, N3V0, N10 |
| Sample Number | Weight (cts) | Size (L × W or D) (mm) | Polish Grade | Clarity Grade |
|---|---|---|---|---|
| U-5 | 0.15 | 4 × 2 | Polished; Baguette Cut | VS1 |
| U-6 | 0.042 | 1.98 × 1.84 | Unpolished; Rough | SI1 |
| U-6R | 0.82 | 4.74 × 4.65 | Unpolished; Rough-Octahedron | VS2 |
| U-7 | 0.12 | 3.2 | Polished; Brilliant Cut | VS1 |
| U-8 | 0.11 | 3.1 | Polished; Brilliant Cut | VS1 |
| U-14 | 0.35 | 4.5 | Polished; Brilliant Old Cut | SI1 |
| U-17 | 0.4 | 10 × 8 | Polished; Emerald Cut | VS1 |
| U-18 | 0.18 | 3.2 | Polished; Brilliant Cut | VS1 |
| U-19 | 0.26 | 4.00 | Polished; Brilliant Cut | VS1 |
| U-20 | 0.22 | 3.9 | Polished; Brilliant Old European Cut | SI1 |
| U-21 | 0.092 | 3.00 | Polished; Brilliant Cut | SI2 |
| U-24 | 0.20 | 3.8 | Polished; Brilliant Cut | VS1 |
| Sample Name | Peak A nm (eV) | Peak B nm (eV) | Peak C&D nm (eV) | Other Peaks nm (eV) | Assignments [2,5,24,26,29,30,31,32] |
|---|---|---|---|---|---|
| U5 | 593 (2.09) | 455 (2.72) | 385 (3.22); 377 (3.29) | 415 (2.987), 403 (3.076), 394 (3.147) | NV0, N3V0, N10, N4V0 |
| U6 | 646 (1.92) | 551 (2.25) | 457 (2.71); 371 (3.34) | NV−, N4V2, N3V0, N10 | |
| U-6R | 700 (1.77) | 569 (2.18) | 464 (2.67); 410 (3.02) | NVH, N4V2, N3V0, N4V0 | |
| U7 | 588 (2.11) | 446 (2.78) | 385 (3.22); 374 (3.31) | 415 (2.987), 403 (3.077), 394 (3.147) | NV0, N3V0, N10, N4V0 |
| U8 | 590 (2.10) | 494 (2.51) | 384 (3.23); 376 (3.3) | 415 (2.987), 403 (3.077), 393 (3.156) | NV0, N4V2, N10, N4V0 |
| U14 | 558 (2.22) | 446 (2.78) | 381 (3.25); 376 (3.3)) | 415 (2.987), 403 (3.077), 393 (3.156) | N4V2, N3V0, N10, N4V0 |
| U17 | 585 (2.12) | 457 (2.71) | 385 (3.22); 376 (3.3.) | 415 (2.987), 403 (3.077), 394 (3.147) | NV0, N3V0, N10, N4V0 |
| U18 | 577(2.15) | 468 (2.65) | 395 (3.14); 385 (3.22) | 415 (2.987), 403 (3.077), 394 (3.144) | NV0, N3V0, N10, N4V0 |
| U19 | 571 (2.17) | 448 (2.77) | 384 (3.23); 374 (3.31) | 415 (2.987), 403 (3.077), 394 (3.144) | NV0, N3V0, N10, N4V0 |
| U20 | 599 (2.07) | 459 (2.7) | 384 (3.23); 374 (3.31) | 415 (2.987), 403 (3.077), 394 (3.147) | NV0, N3V0, N10, N4V0 |
| U21 | 663 (1.87) | 528 (2.35) | 385 (3.22); 374 (3.31) | 415 (2.987), 403 (3.077), 394 (3.147) | NV−, N1+, N10, N4V0 |
| U24 | 577(2.15) | 451 (2.75) | 385 (3.22); 376 (3.3) | 415 (2.987), 403 (3.077), 394 (3.147) | NV0, N3V0, N10, N4V0 |
| Sample Name | FWHM (cm−1) | Wavenumber (cm−1) | Nitrogen Concentration (ppm) |
|---|---|---|---|
| DRC-1 | 1.98 | 1333.5 | 250 |
| DRC-2 | 1.91 | 1333.4 | 204 |
| DRC-6 | 1.95 | 1333.2 | 230 |
| DRC-7 | 2 | 1333.5 | 263 |
| DRC-8 | 2.1 | 1333.2 | 329 |
| DRC-10 | 2.08 | 1333 | 315 |
| DRC-11 | 2.06 | 1333.2 | 303 |
| DRC-15 | 2.1 | 1333.2 | 329 |
| DRC-16 | 2.11 | 1333.2 | 336 |
| Sample Name | FWHM (cm−1) | Wavenumber (cm−1) | Nitrogen Concentration (ppm) |
|---|---|---|---|
| U-5 | 1.62 | 1333.2 | 51 |
| U-6 | 2 | 1333.3 | 263 |
| U-6R | 2.1 | 1333.3 | 329 |
| U-7 | 1.67 | 1333.2 | 103 |
| U-8 | 1.61 | 1333.2 | 41 |
| U-14 | 1.65 | 1333.2 | 82 |
| U-17 | 1.61 | 1333.3 | 41 |
| U-18 | 1.61 | 1333.3 | 41 |
| U-19 | 1.61 | 1333.2 | 41 |
| U-20 | 1.61 | 1333.2 | 41 |
| U-21 | 1.71 | 1333.2 | 175 |
| U-24 | 1.63 | 1333.3 | 62 |
Disclaimer/Publisher’s Note: The statements, opinions and data contained in all publications are solely those of the individual author(s) and contributor(s) and not of MDPI and/or the editor(s). MDPI and/or the editor(s) disclaim responsibility for any injury to people or property resulting from any ideas, methods, instructions or products referred to in the content. |
© 2025 by the authors. Licensee MDPI, Basel, Switzerland. This article is an open access article distributed under the terms and conditions of the Creative Commons Attribution (CC BY) license (https://creativecommons.org/licenses/by/4.0/).
Share and Cite
Giurgiu, D.; Smaranda, I.; Udrescu, A.; Baibarac, M. Traceability of Diamonds Using UV-VIS-NIR Spectroscopy. Minerals 2025, 15, 1091. https://doi.org/10.3390/min15101091
Giurgiu D, Smaranda I, Udrescu A, Baibarac M. Traceability of Diamonds Using UV-VIS-NIR Spectroscopy. Minerals. 2025; 15(10):1091. https://doi.org/10.3390/min15101091
Chicago/Turabian StyleGiurgiu, David, Ion Smaranda, Adelina Udrescu, and Mihaela Baibarac. 2025. "Traceability of Diamonds Using UV-VIS-NIR Spectroscopy" Minerals 15, no. 10: 1091. https://doi.org/10.3390/min15101091
APA StyleGiurgiu, D., Smaranda, I., Udrescu, A., & Baibarac, M. (2025). Traceability of Diamonds Using UV-VIS-NIR Spectroscopy. Minerals, 15(10), 1091. https://doi.org/10.3390/min15101091
