Phase Guard: A False Positive Filter for Automatic Rietveld Quantitative Phase Analysis Based on Counting Statistics in HighScore Plus
Abstract
1. Introduction
2. Materials and Methods
2.1. Materials
2.2. Method
3. Results
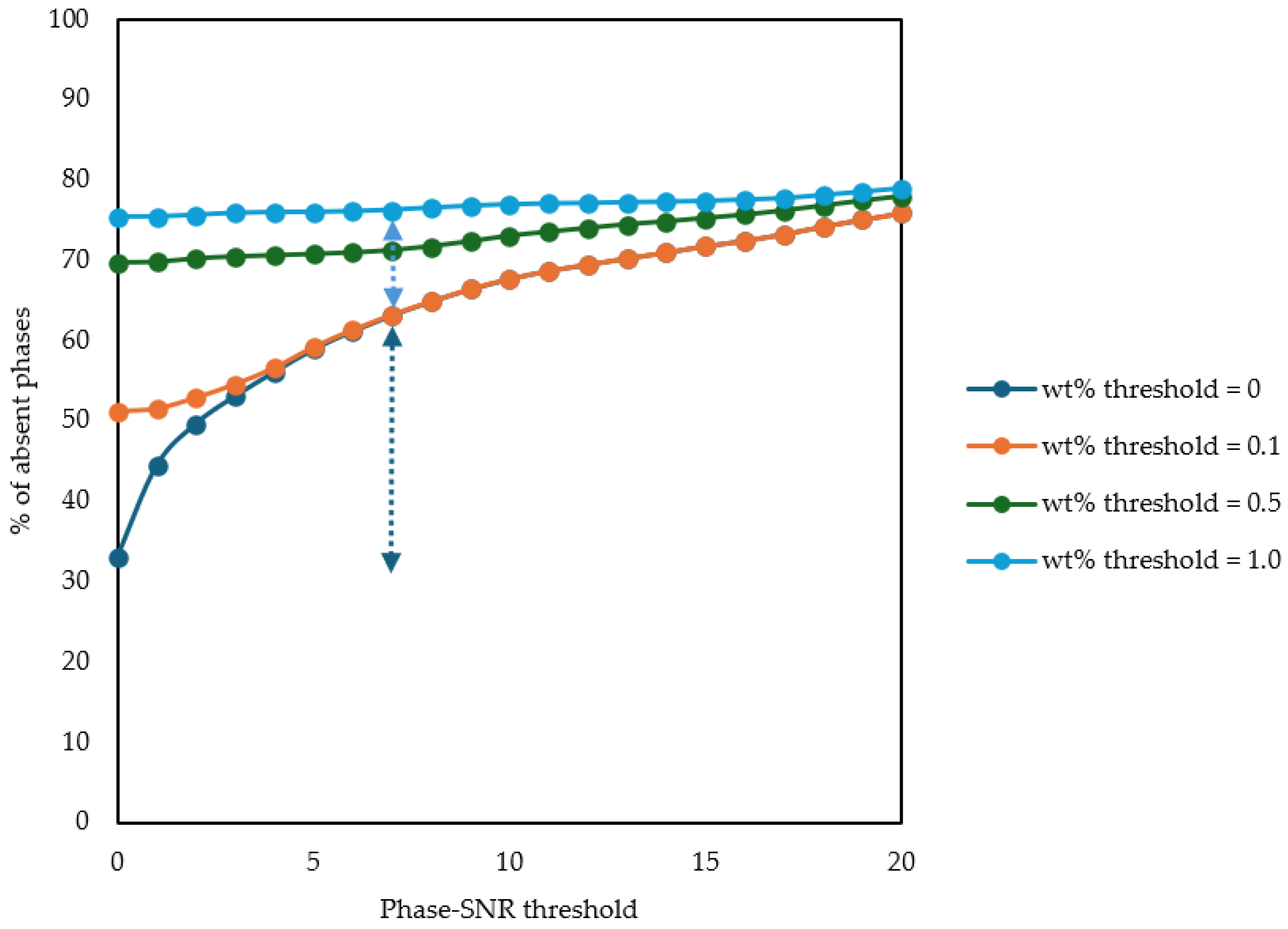
3.1. Case Study 1: Effect of Scanning Time on Analysis of Cement VDZ100
3.2. Case Study 2: QXRD of Complex Blended Cements with Low CO2
3.3. Case Study 3: Automatic QXRD in the Mineral Industry: Copper
3.4. Case Study 4: Automatic QXRD in the Mineral Industry: Aluminum
4. Discussion
5. Conclusions
Author Contributions
Funding
Data Availability Statement
Acknowledgments
Conflicts of Interest
Abbreviations
| XRD | X-ray Diffraction |
| PXRD | Powder X-ray Diffraction |
| QXRD | Quantitative X-Ray Diffraction |
| WPPD | Whole Powder Pattern Decomposition |
| SNR | Signal-to-Noise Ratio |
| LOD | Limit Of Detection |
| LOQ | Limit Of Quantification |
| CEM | Cement |
| CC | Calcined Clay |
| RIR | Reference Intensity Ratio |
| MAC | Mass Absorption Coefficient |
| VDZ | Verein Deutscher Zementwerke |
| ICP-OES | Inductively Coupled Plasma Optical Emission Spectrometry |
References
- Dinnebier, R.E.; Billinge, S.J.L. Powder Diffraction: Theory and Practice; The Royal Society of Chemistry: London, UK, 2008; ISBN 978-0-85404-231-9. [Google Scholar]
- O’Connor, B.H.; Raven, M.D. Application of the Rietveld Refinement Procedure in Assaying Powdered Mixtures. Powder Diffr. 1988, 3, 2–6. [Google Scholar] [CrossRef]
- Chung, F.H. Quantitative Interpretation of X-Ray Diffraction Patterns of Mixtures. I. Matrix-Flushing Method for Quantitative Multicomponent Analysis. J. Appl. Crystallogr. 1974, 7, 519–525. [Google Scholar] [CrossRef]
- Hill, R.J.; Howard, C.J. Quantitative Phase Analysis from Neutron Powder Diffraction Data Using the Rietveld Method. J. Appl. Crystallogr. 1987, 20, 467–474. [Google Scholar] [CrossRef]
- Rietveld, H.M. A Profile Refinement Method for Nuclear and Magnetic Structures. J. Appl. Crystallogr. 1969, 2, 65–71. [Google Scholar] [CrossRef]
- Pernechele, M.; López, Á.; Davoise, D.; Maestre, M.; König, U.; Norberg, N. Value of Rapid Mineralogical Monitoring of Copper Ores. Minerals 2021, 11, 1142. [Google Scholar] [CrossRef]
- Makvandi, S.; Pernechele, M.; Koenig, U.; Wang, L.; Zhang, G. High-Throughput Bauxite Characterization and Process Monitoring via Automated QXRD Integrated with Cluster Analysis and PLSR Modeling. In Proceedings of the TRAVAUX 54, Proceedings of the 43rd International ICSOBA, Nanning, China, 26–31 October 2025. [Google Scholar]
- Feret, F.R. Selected Applications of Rietveld-XRD Analysis for Raw Materials of the Aluminum Industry. Powder Diffr. 2013, 28, 112–123. [Google Scholar] [CrossRef]
- König, U.; Norberg, N.; Gobbo, L. From iron ore to iron sinter—Process control using X-ray Diffraction (XRD). In Proceedings of the Anais dos Seminários de Redução, Minério de Ferro e Aglomeração, Ouro Preto, Brazil, 10–13 September 2017; Editora Blucher: São Paulo, Brazil, 2017; pp. 146–153. [Google Scholar]
- Meier, R.; Anderson, J.; Verryn, S. Industrial X-Ray Diffraction Analysis of Building Materials. Rev. Mineral. Geochem. 2012, 74, 147–167. [Google Scholar] [CrossRef]
- Alexander, L.; Klug, H.P. Basic Aspects of X-Ray Absorption: In Quantitative Diffraction Analysis of Powder Mixtures. Anal. Chem. 1948, 20, 886–889. [Google Scholar] [CrossRef]
- Scarlett, N.V.Y.; Madsen, I.C. Quantification of Phases with Partial or No Known Crystal Structures. Powder Diffr. 2006, 21, 278–284. [Google Scholar] [CrossRef]
- Wang, X.; Hart, R.D.; Li, J.; McDonald, R.G.; Van Riessen, A. Quantitative Analysis of Turbostratically Disordered Nontronite with a Supercell Model Calibrated by the PONKCS Method. J. Appl. Crystallogr. 2012, 45, 1295–1302. [Google Scholar] [CrossRef]
- Toraya, H. A New Method for Quantitative Phase Analysis Using X-Ray Powder Diffraction: Direct Derivation of Weight Fractions from Observed Integrated Intensities and Chemical Compositions of Individual Phases. J. Appl. Crystallogr. 2016, 49, 1508–1516. [Google Scholar] [CrossRef]
- Wang, X.; Spratt, H. Incorporating the Direct Derivation Method and Molecular Scattering Power Method into the Rietveld Quantitative Phase Analysis Routine in TOPAS. J. Appl. Crystallogr. 2025, 58, 1159–1173. [Google Scholar] [CrossRef] [PubMed]
- Brindley, G.W. XLV. The Effect of Grain or Particle Size on x-Ray Reflections from Mixed Powders and Alloys, Considered in Relation to the Quantitative Determination of Crystalline Substances by X-Ray Methods. Lond. Edinb. Dublin Philos. Mag. J. Sci. 1945, 36, 347–369. [Google Scholar] [CrossRef]
- León-Reina, L.; Garciá-Maté, M.; Álvarez-Pinazo, G.; Santacruz, I.; Vallcorba, O.; De La Torre, A.G.; Aranda, M.A.G. Accuracy in Rietveld Quantitative Phase Analysis: A Comparative Study of Strictly Monochromatic Mo and Cu Radiations. J. Appl. Crystallogr. 2016, 49, 722–735. [Google Scholar] [CrossRef] [PubMed]
- Shrivastava, A.; Gupta, V. Methods for the Determination of Limit of Detection and Limit of Quantitation of the Analytical Methods. Chron. Young Sci. 2011, 2, 21. [Google Scholar] [CrossRef]
- Chung, F.H.; Smith, D.K. Industrial Applications of X-Ray Diffraction; Marcel Dekker: New York, NY, USA, 2000; ISBN 9780824719920. [Google Scholar]
- Scrivener, K.L.; Füllmann, T.; Gallucci, E.; Walenta, G.; Bermejo, E. Quantitative Study of Portland Cement Hydration by X-Ray Diffraction/Rietveld Analysis and Independent Methods. Cem. Concr. Res. 2004, 34, 1541–1547. [Google Scholar] [CrossRef]
- Schottky, W. Über Spontane Stromschwankungen in Verschiedenen Elektrizitätsleitern. Ann. Phys. 1918, 362, 541–567. [Google Scholar] [CrossRef]
- Sakhatskyi, K.; Turedi, B.; Matt, G.J.; Wu, E.; Sakhatska, A.; Bartosh, V.; Lintangpradipto, M.N.; Naphade, R.; Shorubalko, I.; Mohammed, O.F.; et al. Stable Perovskite Single-Crystal X-Ray Imaging Detectors with Single-Photon Sensitivity. Nat. Photonics 2023, 17, 510–517. [Google Scholar] [CrossRef]
- Degen, T.; Sadki, M.; Bron, E.; König, U.; Nénert, G. The HighScore Suite. In Powder Diffraction; Cambridge University Press: Singapore, 2014; Volume 29, pp. S13–S18. [Google Scholar]
- ICH. Guidance for Industry, Q2B, Validation of Analytical Procedures: Methodology; ICH: Geneva, Switzerland, 1997. [Google Scholar]



















| Phase | Reference Values [wt%] | Rietveld Results [wt%] |
|---|---|---|
| Alite | 59 (0.6) | 58.9 |
| Belite | 14.1 (0.5) | 14.0 |
| Ferrite | 6.9 (0.5) | 6.8 |
| Aluminate_Cubic | 5.9 (0.3) | 6.0 |
| Aluminate_Ortho | 2.3 (0.3) | 2.3 |
| FreeLime | 0.3 (0.1) | 0.2 |
| Portlandite | 2 (0.3) | 2.0 |
| Periclase | 0.1 (0.1) | 0.15 |
| Arcanite | 0.3 (0.1) | 0.2 |
| Aphthitalite | 0.2 (0.1) | 0.3 |
| Calciolangbeinite | n.a. | 0.0 |
| Gypsum | 0.2 (0.1) | 0.1 |
| Hemihydrate | 1.8 (0.3) | 1.5 |
| Anhydrite | 2.6 (0.3) | 2.5 |
| Calcite | 4.4 (0.4) | 4.8 |
| Quartz | 0.2 (1) | 0.2 |
| Phase | Rietveld Results [wt%] | “c” in Phase-SNR = c∙sqrt[time] | Phase-SNR in 5 min | Phase-SNR in 10 min | Time [min] for Phase-SNR = 7 |
|---|---|---|---|---|---|
| Alite | 58.9 | 168.17 | 376 | 532 | <0.01 |
| Belite | 14.0 | 17.55 | 39 | 56 | 0.16 |
| Ferrite | 6.8 | 16.84 | 38 | 53 | 0.17 |
| Aluminate_Cubic | 6.0 | 28.82 | 64 | 91 | 0.06 |
| Aluminate_Ortho | 2.3 | 10.08 | 23 | 32 | 0.48 |
| FreeLime | 0.2 | 1.05 | 2 | 3 | 44.84 |
| Portlandite | 2.0 | 3.73 | 8 | 12 | 3.53 |
| Periclase | 0.15 | 2.10 | 5 | 7 | 11.13 |
| Arcanite | 0.2 | 1.41 | 3 | 4 | 24.61 |
| Aphthitalite | 0.3 | 1.53 | 3 | 5 | 20.94 |
| Calciolangbeinite | 0.0 | 0.00 | 0 | 0 | n.a. |
| Gypsum | 0.1 | 1.25 | 3 | 4 | 31.33 |
| Hemihydrate | 1.5 | 5.58 | 12 | 18 | 1.57 |
| Anhydrite | 2.5 | 24.75 | 55 | 78 | 0.08 |
| Calcite | 4.8 | 50.32 | 113 | 159 | 0.02 |
| Quartz | 0.2 | 2.01 | 4 | 6 | 12.14 |
| Rietveld Results | Phase-SNR | Rietveld Results After Phase Guard | ||||
|---|---|---|---|---|---|---|
| Sample | CC [%] | Slag [%] | CC | Slag | CC [%] | Slag [%] |
| CEM-I | 0.0 | 5.0 | 0.0 | 3.6 | 0.0 | 0.0 |
| CEM-I + 10% CC | 6.1 | 7.6 | 4.0 | 4.9 | 0.0 | 0.0 |
| CEM-I + 20% CC | 18.9 | 5.9 | 12.1 | 3.7 | 19.5 | 0.0 |
| CEM-I + 30% CC | 30.4 | 3.5 | 19.3 | 2.1 | 30.6 | 0.0 |
| CEM-I + 20% slag | 0.0 | 20.0 | 0.0 | 13.6 | 0.0 | 20.0 |
| CEM-I + 25% CC + 15% slag | 24.3 | 15.9 | 13.6 | 10.4 | 24.3 | 15.9 |
| Mineral name | ICDD PDF # | RIR | Hardness | Slope wt% vs. Phase-SNR | LOQ (when Phase-SNR = 7) |
|---|---|---|---|---|---|
| Sphalerite | 01-091-2007 | 8.47 | 3½–4 | 0.0110 (1) | 0.0769 (4) |
| Rutile | 04-007-4874 | 3.66 | 6–6½ | 0.0273 (1) | 0.191 (1) |
| Pyrite | 04-007-0632 | 2.82 | 6–6½ | 0.031 (2) | 0.022 (1) |
| Chalcopyrite | 01-086-4137 | 7.07 | 3½–4 | 0.0341 (2) | 0.239 (2) |
| Barite | 01-070-7037 | 2.85 | 3 | 0.0418 (3) | 0.292 (2) |
| Galena | 04-004-4329 | 14.7 | 2½ | 0.0443 (2) | 0.310 (1) |
| Tetrahedrite-(Cu) | 01-074-0270 | 7.62 | 3½–4 | 0.0446 (6) | 0.312 (4) |
| Quartz | 01-075-8322 | 3.01 | 7 | 0.047 (2) | 0.33 (1) |
| Siderite | 04-015-6716 | 3.6 | 3½–4½ | 0.0533 (8) | 0.373 (5) |
| Gypsum | 04-015-8262 | 1.73 | 2 | 0.0604 (7) | 0.423 (5) |
| Dolomite | 04-025-4258 | 2.53 | 3½–4 | 0.0669 (3) | 0.468 (2) |
| Arsenopyrite | 04-019-1454 | 1.91 | 5½–6 | 0.0766 (5) | 0.536 (3) |
| Digenite | 04-007-8857 | 3.44 | 2½–3 | 0.201 (5) | 1.41 (4) |
| Covellite | 04-008-8229 | 3.39 | 1½–2 | 0.2485 (4) | 1.740 (3) |
| Muscovite | 04-023-1597 | 1.08 | 2½ | 0.264 (3) | 1.85 (2) |
| Mineral Name | ICDD PDF # | RIR | Hardness | Slope wt% vs. Phase-SNR | LOQ (When Phase-SNR = 7) |
|---|---|---|---|---|---|
| Quartz | 01-075-8322 | 3.01 | 7 | 0.0227 (7) | 0.159 (5) |
| Rutile | 04-007-4874 | 3.66 | 6–6½ | 0.0260 (6) | 0.182 (4) |
| Calcite | 01-083-3288 | 3.28 | 3 | 0.0308 (1) | 0.216 (1) |
| Siderite | 04-015-6716 | 3.6 | 3½–4½ | 0.0360 (2) | 0.252 (2) |
| Dolomite | 04-023-8808 | 2.52 | 3½–4 | 0.0445 (8) | 0.312 (6) |
| Anatase | 04-011-0664 | 4.49 | 5½–6 | 0.048 (2) | 0.34 (1) |
| Mica | 04-023-1597 | 1.08 | 2½ | 0.0646 (6) | 0.453 (4) |
| Hematite | 01-080-5405 | 3.11 | 5–6 | 0.083 (2) | 0.58 (2) |
| Boehmite | 01-073-9093 | 2.59 | 3½ | 0.0911 (3) | 0.64 (2) |
| Crandallite | 04-011-6651 | 1.52 | 5 | 0.147 (2) | 1.03 (2) |
| Goethite | 01-084-8278 | 2.54 | 5–5½ | 0.205 (12) | 1.44 (8) |
| Kaolinite | 04-013-2815 | 1.14 | 2–2½ | 0.24 (1) | 1.71 (7) |
Disclaimer/Publisher’s Note: The statements, opinions and data contained in all publications are solely those of the individual author(s) and contributor(s) and not of MDPI and/or the editor(s). MDPI and/or the editor(s) disclaim responsibility for any injury to people or property resulting from any ideas, methods, instructions or products referred to in the content. |
© 2025 by the authors. Licensee MDPI, Basel, Switzerland. This article is an open access article distributed under the terms and conditions of the Creative Commons Attribution (CC BY) license (https://creativecommons.org/licenses/by/4.0/).
Share and Cite
Pernechele, M.; Makvandi, S. Phase Guard: A False Positive Filter for Automatic Rietveld Quantitative Phase Analysis Based on Counting Statistics in HighScore Plus. Minerals 2025, 15, 1041. https://doi.org/10.3390/min15101041
Pernechele M, Makvandi S. Phase Guard: A False Positive Filter for Automatic Rietveld Quantitative Phase Analysis Based on Counting Statistics in HighScore Plus. Minerals. 2025; 15(10):1041. https://doi.org/10.3390/min15101041
Chicago/Turabian StylePernechele, Matteo, and Sheida Makvandi. 2025. "Phase Guard: A False Positive Filter for Automatic Rietveld Quantitative Phase Analysis Based on Counting Statistics in HighScore Plus" Minerals 15, no. 10: 1041. https://doi.org/10.3390/min15101041
APA StylePernechele, M., & Makvandi, S. (2025). Phase Guard: A False Positive Filter for Automatic Rietveld Quantitative Phase Analysis Based on Counting Statistics in HighScore Plus. Minerals, 15(10), 1041. https://doi.org/10.3390/min15101041

