Effects of Sodium Silicate on Flotation Separation of Sphalerite and Dolomite and Its Mechanism
Abstract
1. Introduction
2. Materials and Methods
2.1. Samples and Reagents
2.2. Flotation Tests
2.3. Contact Angle Measurements
2.4. Turbidity Experiments
2.5. Slurry Rheology Measurements
2.6. Zeta Potential Measurements
2.7. EDLVO Theory Analysis
3. Results and Discussion
3.1. Micro-Flotation Experiments
3.2. Wettability Analysis
3.3. Turbidity Tests
3.4. Rheological Properties of Slurry
3.5. Zeta Potential Analysis
3.6. EDLVO Theory
3.7. Discussion
4. Conclusions
- (1)
- Sodium silicate improved the grade and recovery of sphalerite, while it reduced the floatability of dolomite, enhancing the flotation separation of sphalerite and dolomite. The surface contact angle of dolomite decreased, while that of sphalerite increased after reaction with sodium silicate. With an increase in sodium silicate dosage, the dispersion effect of slurry was improved.
- (2)
- Sodium silicate improved the dispersion of the slurry system and reduced the covering degree of dolomite on the sphalerite. In addition, it reduced the yield stress and apparent viscosity of the mixed slurry.
- (3)
- In the absence of sodium silicate, the zeta potentials on the sphalerite and dolomite surfaces were negative and positive, respectively, resulting in heterogeneous agglomeration. In both sphalerite and dolomite treated with sodium silicate, the zeta potentials turned negative, resulting in electrostatic repulsion.
- (4)
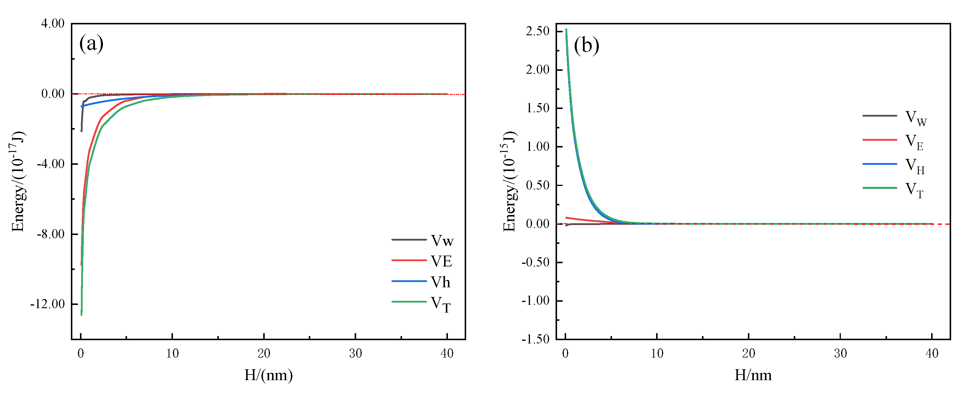
- EDLVO theoretical calculations indicated that the cover between sphalerite and dolomite particles mainly depended on electrostatic interaction energy when sodium silicate was absent. In the presence of sodium silicate, a strong mutual repulsion force between the two particles appeared.
Author Contributions
Funding
Data Availability Statement
Conflicts of Interest
References
- Nayak, A.; Jena, M.S.; Mandre, N.R. Beneficiation of Lead-Zinc Ores—A Review. Miner. Process. Extr. Metall. Rev. 2022, 43, 564–583. [Google Scholar] [CrossRef]
- Jia, C.Y.; Wei, D.Z.; Li, P.J.; Li, X.J.; Tai, P.D.; Liu, W.; Gong, Z.Q. Selective adsorption of Mycobacterium Phlei on pyrite and sphalerite. Colloids Surf. B Biointerfaces 2011, 83, 214–219. [Google Scholar] [CrossRef] [PubMed]
- Feng, B.; Lu, Y.-p.; Feng, Q.-M.; Ding, P.; Luo, N. Mechanisms of surface charge development of serpentine mineral. Trans. Nonferrous Met. Soc. China 2013, 23, 1123–1128. [Google Scholar] [CrossRef]
- Yu, Z.; Liu, Z.; Ye, F.; Xia, L. Corrosion mechanism of magnesia-chrome and alumina-chrome refractories in E-scrap smelting. Ceram. Int. 2022, 48, 2693–2703. [Google Scholar] [CrossRef]
- Cao, J.; Tian, X.-D.; Luo, Y.-C.; Hu, X.-Q.; Xu, P.-F. The effect of graphene oxide on the slime coatings of serpentine in the flotation of pentlandite. Colloids Surf. A Physicochem. Eng. Asp. 2017, 522, 621–627. [Google Scholar] [CrossRef]
- Chen, Y.; Zhang, G.; Shi, Q.; Yang, S.; Liu, D. Utilization of tetrasodium iminodisuccinate to eliminate the adverse effect of serpentine on the flotation of pyrite. Miner. Eng. 2020, 150, 106235. [Google Scholar] [CrossRef]
- Liu, C.; Zheng, Y.; Yang, S.; Fu, W.; Chen, X. Exploration of a novel depressant polyepoxysuccinic acid for the flotation separation of pentlandite from lizardite slimes. Appl. Clay Sci. 2021, 202, 105939. [Google Scholar] [CrossRef]
- Tang, X.; Chen, Y. Using oxalic acid to eliminate the slime coatings of serpentine in pyrite flotation. Miner. Eng. 2020, 149, 106228. [Google Scholar] [CrossRef]
- Yang, C.; Song, G.; Zhang, P.; Wang, C.; Gao, X.; Li, M. Exploration of a novel depressant pullulan gum for the flotation separation of specularite from aegirite. Miner. Eng. 2024, 210, 108666. [Google Scholar] [CrossRef]
- Malysiak, V.; O’Connor, C.T.; Ralston, J. Pentlandite-feldspar interaction and its effect on separation by flotation. Int. J. Miner. Process. 2002, 66, 89–106. [Google Scholar] [CrossRef]
- Khraisheh, M.; Holland, C.; Creany, C.; Harris, P.; Parolis, L. Effect of molecular weight and concentration on the adsorption of CMC onto talc at different ionic strengths. Int. J. Miner. Process. 2005, 75, 197–206. [Google Scholar] [CrossRef]
- McFadzean, B.; Dicks, P.; Groenmeyer, G.; Harris, P.; O’Connor, C. The effect of molecular weight on the adsorption and efficacy of polysaccharide depressants. Miner. Eng. 2011, 24, 463–469. [Google Scholar] [CrossRef]
- Morris, G.E.; Fornasiero, D.; Ralston, J. Polymer depressants at the talc–water interface: Adsorption isotherm, microflotation and electrokinetic studies. Int. J. Miner. Process. 2002, 67, 211–227. [Google Scholar] [CrossRef]
- Shortridge, P.G.; Harris, P.J.; Bradshaw, D.J.; Koopal, L.K. The effect of chemical composition and molecular weight of polysaccharide depressants on the flotation of talc. Int. J. Miner. Process. 2000, 59, 215–224. [Google Scholar] [CrossRef]
- Zhao, K.; Gu, G.; Wang, C.; Rao, X.; Wang, X.; Xiong, X. The effect of a new polysaccharide on the depression of talc and the flotation of a nickel–copper sulfide ore. Miner. Eng. 2015, 77, 99–106. [Google Scholar] [CrossRef]
- Ramirez, A.; Rojas, A.; Gutierrez, L.; Laskowski, J.S. Sodium hexametaphosphate and sodium silicate as dispersants to reduce the negative effect of kaolinite on the flotation of chalcopyrite in seawater. Miner. Eng. 2018, 125, 10–14. [Google Scholar] [CrossRef]
- Li, W.; Li, Y. Improved understanding of chalcopyrite flotation in seawater using sodium hexametaphosphate. Miner. Eng. 2019, 134, 269–274. [Google Scholar] [CrossRef]
- Bai, J.; Wang, J.; Yin, W.; Chen, X. Influence of Sodium Phosphate Salts with Different Chain Length on the Flotation Behavior of Magnesite and Dolomite. Minerals 2020, 10, 1031. [Google Scholar] [CrossRef]
- Dho, H.; Iwasaki, I. Role of sodium silicate in phosphate flotation. Min. Metall. Explor. 1990, 7, 215–221. [Google Scholar] [CrossRef]
- Zhao, K.; Yan, W.; Wang, X.; Wang, Z.; Gao, Z.; Wang, C.; He, W. Effect of a novel phosphate on the flotation of serpentine-containing copper-nickel sulfide ore. Miner. Eng. 2020, 150, 106276. [Google Scholar] [CrossRef]
- Yang, S.; Xu, Y.; Kang, H.; Li, K.; Li, C. Investigation into starch adsorption on hematite and quartz in flotation: Role of starch molecular structure. Appl. Surf. Sci. 2023, 623, 157064. [Google Scholar] [CrossRef]
- Dong, J.; Liu, Q.; Subhonqulov, S.H. Effect of dextrin on flotation separation and surface properties of chalcopyrite and arsenopyrite. Water Sci. Technol. 2020, 83, 152–161. [Google Scholar] [CrossRef] [PubMed]
- Feng, B.; Zhang, W.; Guo, Y.; Peng, J.; Ning, X.; Wang, H. Synergistic effect of acidified water glass and locust bean gum in the flotation of a refractory copper sulfide ore. J. Clean. Prod. 2018, 202, 1077–1084. [Google Scholar] [CrossRef]
- Lu, J.; Sun, M.; Yuan, Z.; Qi, S.; Tong, Z.; Li, L.; Meng, Q. Innovative insight for sodium hexametaphosphate interaction with serpentine. Colloids Surf. A Physicochem. Eng. Asp. 2019, 560, 35–41. [Google Scholar] [CrossRef]
- Wu, W.; Chen, T.; Shao, Y.; Ye, G.; Tong, X. The flotation separation of molybdenite from talc using zinc sulfate in sodium silicate system and related mechanism. Colloids Surf. A Physicochem. Eng. Asp. 2022, 641, 128451. [Google Scholar] [CrossRef]
- Long, T.; Zhao, H.; Wang, Y.; Yang, W.; Deng, S.; Xiao, W.; Lan, X.; Wang, Q. Synergistic mechanism of acidified water glass and carboxymethyl cellulose in flotation of nickel sulfide ore. Miner. Eng. 2022, 181, 107547. [Google Scholar] [CrossRef]
- Liu, M.; Hu, B.; Zhang, C.; Wang, Q.; Sun, Z.; He, P.; Chen, Y.; Chen, D.; Zhu, J. Effect of sodium silicate on the flotation separation of chalcopyrite and galena using sodium sulfite and sulfonated lignin as depressant. Miner. Eng. 2022, 182, 107563. [Google Scholar] [CrossRef]
- Jin, J.; Gao, H.; Chen, X.; Peng, Y. The separation of kyanite from quartz by flotation at acidic pH. Miner. Eng. 2016, 92, 221–228. [Google Scholar] [CrossRef]
- Gomez-Flores, A.; Park, H.; Hong, G.; Nam, H.; Gomez-Flores, J.; Kang, S.; Heyes, G.W.; Leal Filho, L.d.S.; Kim, H.; Lee, J.M.; et al. Flotation separation of lithium–ion battery electrodes predicted by a long short-term memory network using data from physicochemical kinetic simulations and experiments. J. Ind. Inf. Integr. 2024, 42, 100697. [Google Scholar] [CrossRef]
- Yoon, R.-H.; Mao, L. Application of Extended DLVO Theory, IV: Derivation of Flotation Rate Equation from First Principles. J. Colloid. Interface Sci. 1996, 181, 613–626. [Google Scholar] [CrossRef]
- Gomez-Flores, A.; Solongo, S.K.; Heyes, G.W.; Ilyas, S.; Kim, H. Bubble−particle interactions with hydrodynamics, XDLVO theory, and surface roughness for flotation in an agitated tank using CFD simulations. Miner. Eng. 2020, 152, 106368. [Google Scholar] [CrossRef]
- Ramirez, A.; Gutierrez, L.; Laskowski, J.S. Use of “oily bubbles” and dispersants in flotation of molybdenite in fresh and seawater. Miner. Eng. 2020, 148, 106197. [Google Scholar] [CrossRef]
- Hao, H.; Li, L.; Yuan, Z.; Liu, J. Comparative effects of sodium silicate and citric acid on the dispersion and flotation of carbonate-bearing iron ore. J. Mol. Liq. 2018, 271, 16–23. [Google Scholar] [CrossRef]
- Brookes, G.F.; Bethell, P.J. Zeta potential, contact angle and the use of amines in the chemical dewatering of froth-floated coal. Powder Technol. 1984, 40, 207–214. [Google Scholar] [CrossRef]
- Zhang, X.-G.; Zhang, J.; Ye, W.-l.; Pan, C.-L.; Wei, X.-X.; Hu, X.-Q.; Luo, Y.-C.; Xu, P.-F. Studies on the application of N,N-bis(phosphonomethyl)-sulfamic acid in the selective flotation separation of pyrite from serpentine. Miner. Eng. 2022, 183, 107602. [Google Scholar] [CrossRef]
- Wang, X.; Yuan, S.; Liu, J.; Zhu, Y.; Han, Y. Nanobubble-enhanced flotation of ultrafine molybdenite and the associated mechanism. J. Mol. Liq. 2022, 346, 118312. [Google Scholar] [CrossRef]
- Spaull, A.J.B. An Introduction to Rheology By H. A. Barnes, J. F. Hutton and K. Walters, Elsevier Science Publishers, Amsterdam, 1989. 200 pp, price US$92.00/Dfl. 175.00 (Hardcover), US$60.50/Dfl. 115.00 (Paperback). ISBN 0 444 87140 3 (Hardcover), ISBN 0–444–87469-0 (Paperback). J. Chem. Technol. Biotechnol. 1991, 50, 437. [Google Scholar] [CrossRef]
- Li, D.; Yin, W.; Liu, Q.; Cao, S.; Sun, Q.; Zhao, C.; Yao, J. Interactions between fine and coarse hematite particles in aqueous suspension and their implications for flotation. Miner. Eng. 2017, 114, 74–81. [Google Scholar] [CrossRef]
- Li, Q.; Liao, C.; Hou, J.; Wang, W.; Zhang, J. A mathematic model based on eDLVO and Lifshitz theory calculating interparticle interactions in coal water slurry. Fuel 2022, 316, 123271. [Google Scholar] [CrossRef]
- Ma, X.; Nguyen, N.N.; Nguyen, A.V.; Miller, J.D. An investigation of mineral floatability versus mineral surface exposure and hydrophobicity by high-resolution X-ray microcomputed tomography, film flotation, contact angles, and modeling. Miner. Eng. 2023, 200, 108139. [Google Scholar] [CrossRef]
- Wang, C.; Liu, R.; Xie, F.; Zhai, Q.; Sun, W.; Wen, X.; Li, J. Separation of sphalerite and dolomite using sodium alginate as an environmentally friendly depressant in a carbonate-hosted Pb-Zn ore system. J. Clean. Prod. 2022, 380, 135107. [Google Scholar] [CrossRef]
- Subrahmanyam, T.V.; Prestidge, C.A.; Ralston, J. Contact angle and surface analysis studies of sphalerite particles. Miner. Eng. 1996, 9, 727–741. [Google Scholar] [CrossRef]
- Liu, D.; Zhang, G.; Gao, Y. New perceptions into the detrimental influences of serpentine on Cu-Ni sulfide flotation through rheology studies and improved the separation by applying garnet. Miner. Eng. 2021, 171, 107110. [Google Scholar] [CrossRef]
- Liu, D.; Zhang, G.; Chen, Y.; Chen, W.; Gao, Y. A Novel Method to Limit the Adverse Effect of Fine Serpentine on the Flotation of Pyrite. Minerals 2018, 8, 582. [Google Scholar] [CrossRef]
- Gao, Y.; Zhang, G.; Wang, M.; Liu, D. The Critical Role of Pulp Density on Flotation Separation of Nickel-Copper Sulfide from Fine Serpentine. Minerals 2018, 8, 317. [Google Scholar] [CrossRef]
- Zhou, H.; Xu, L.; Wang, D.; Xue, K.; Tian, J. Selective adsorption mechanism of SHMP onto fine fluorite in bastnaesite flotation system. Colloids Surf. A Physicochem. Eng. Asp. 2023, 670, 131527. [Google Scholar] [CrossRef]









| Categories | Depressants | Other Reagents | Research Technique | Application | Ref. |
|---|---|---|---|---|---|
| Organic reagents | Starch | Acetic acid | Zeta potential | Lab | [21] |
| HCl/NaOH | XPS | ||||
| Dodecyl amine | AFM | ||||
| Dextrin | HCl/NaOH | Zeta potential | Lab | [22] | |
| NaBX | Infrared spectroscopic | ||||
| Terpenic oil | Adsorption experiments | ||||
| Locust bean gum | PBX | Zeta potential | Lab | [23] | |
| SHMP | Turbidity tests | ||||
| Pine oil | |||||
| Inorganic reagents | Sodium hexametaphosphate | HCl/NaOH | Zeta potential | Lab/Plant | [24] |
| CMC | FTIR | ||||
| MIBC | Absorption and ion release | ||||
| Sodium silicate | Zinc sulfate | FTIR | Lab/Plant | [25] | |
| Kerosene | Zeta potential | ||||
| Terpinol oil | ToF-SIMS |
| Van der Waals interaction energy | A11 = 5.45 × 10−20; A22 = 4.87 × 10−20; A33 = 3.7 × 10−20 | |
| Electrostatic interaction energy | . | C = 0.01 mol/L; = 6.95 × 10−10 C2J−1m−1 = −44.14 × 10−3 = −39.45 × 10−3 |
| Hydrophobic interaction energy | . | ; |
Disclaimer/Publisher’s Note: The statements, opinions and data contained in all publications are solely those of the individual author(s) and contributor(s) and not of MDPI and/or the editor(s). MDPI and/or the editor(s) disclaim responsibility for any injury to people or property resulting from any ideas, methods, instructions or products referred to in the content. |
© 2025 by the authors. Licensee MDPI, Basel, Switzerland. This article is an open access article distributed under the terms and conditions of the Creative Commons Attribution (CC BY) license (https://creativecommons.org/licenses/by/4.0/).
Share and Cite
Ni, L.; Lv, J.; Kong, L.; Qin, L. Effects of Sodium Silicate on Flotation Separation of Sphalerite and Dolomite and Its Mechanism. Minerals 2025, 15, 82. https://doi.org/10.3390/min15010082
Ni L, Lv J, Kong L, Qin L. Effects of Sodium Silicate on Flotation Separation of Sphalerite and Dolomite and Its Mechanism. Minerals. 2025; 15(1):82. https://doi.org/10.3390/min15010082
Chicago/Turabian StyleNi, Longqian, Jinfang Lv, Lingyu Kong, and Longwei Qin. 2025. "Effects of Sodium Silicate on Flotation Separation of Sphalerite and Dolomite and Its Mechanism" Minerals 15, no. 1: 82. https://doi.org/10.3390/min15010082
APA StyleNi, L., Lv, J., Kong, L., & Qin, L. (2025). Effects of Sodium Silicate on Flotation Separation of Sphalerite and Dolomite and Its Mechanism. Minerals, 15(1), 82. https://doi.org/10.3390/min15010082
