Recovery of Rare Earth Elements from Ion-Adsorption Deposits Using Electrokinetic Technology: The Soil Conductivity Mechanism Study
Abstract
1. Introduction
2. Materials and Methods
2.1. Materials
2.2. The Simulated EKM Experiments
2.3. Measurement of the Solution Conductivity
2.4. Measurement of the Soil Conductivity
2.5. Development of the Extended Archie’s Equation for Soil Conductivity
2.6. Field-Scale Experiments
3. Results and Discussion
3.1. Redistribution of the Voltage in Weathering Crust Soil during EKM
3.2. Conductivity of the Dilute Solution and Original Weathering Crust Soil
3.3. Validation of the Extended Archie’s Equation
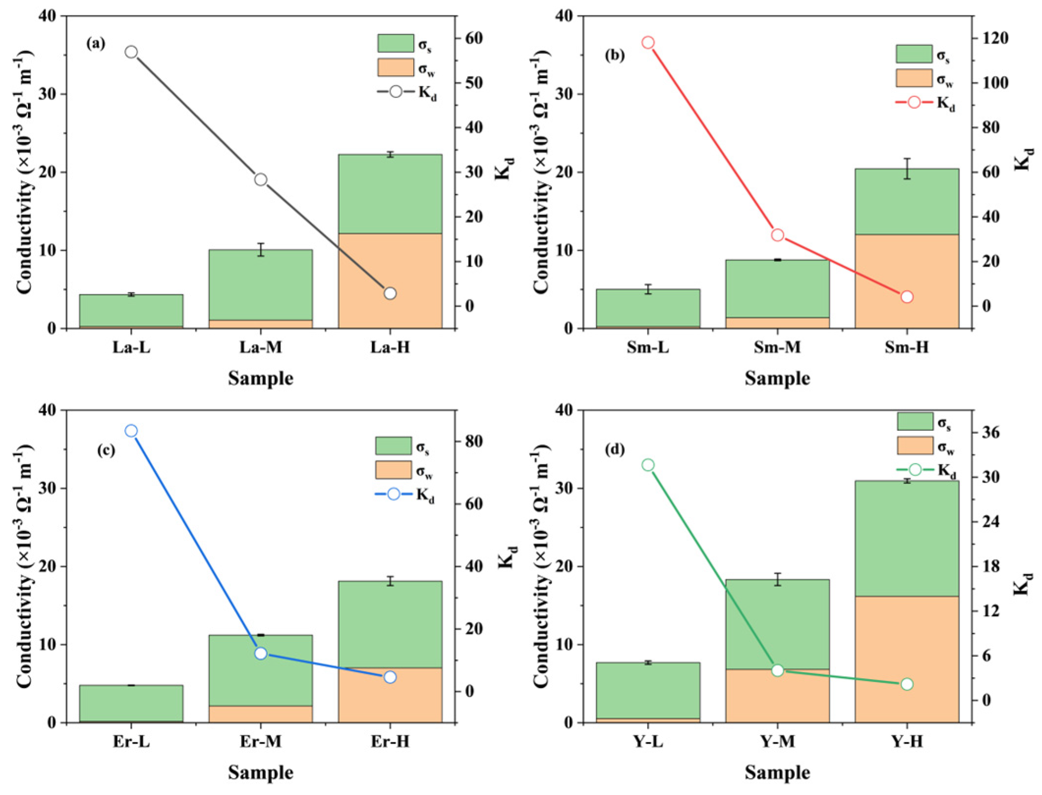
3.4. The Conductivity Mechanism of the Weathering Crust Soil
3.5. Recalculating the Voltage in Weathering Crust Soil during EKM by the Extended Archie’s Equation
3.6. Predicting Water Content in Weathering Crust Soil during EKM by the Extended Archie’s Equation
4. Conclusions
Supplementary Materials
Author Contributions
Funding
Data Availability Statement
Acknowledgments
Conflicts of Interest
Abbreviations
References
- Chen, W.; Zhang, Z.; Long, F.; Chen, Z.; Chi, R. Rare Earth Occurrence States of Weathered Crust Elution-Deposited Rare Earth Ores in Southern Yunnan. Minerals 2023, 13, 554. [Google Scholar] [CrossRef]
- Yang, X.J.; Lin, A.; Li, X.L.; Wu, Y.; Zhou, W.; Chen, Z. China’s Ion-Adsorption Rare Earth Resources, Mining Consequences and Preservation. Environ. Dev. 2013, 8, 131–136. [Google Scholar] [CrossRef]
- Hu, Q.; Yu, M.; Bi, D.; Liu, J.; Huang, M.; Zhu, A.; Song, Z.; Shi, X. Grain Size Analyses and Mineral Compositions of Core Sediments in the Western North Pacific Ocean: Implications for the Rare Earth Element and Yttrium Enrichment and Deposition Environment. Minerals 2023, 13, 1470. [Google Scholar] [CrossRef]
- Xu, C.; Kynický, J.; Smith, M.P.; Kopriva, A.; Brtnický, M.; Urubek, T.; Yang, Y.; Zhao, Z.; He, C.; Song, W. Origin of Heavy Rare Earth Mineralization in South China. Nat. Commun. 2017, 8, 14598. [Google Scholar] [CrossRef]
- Borst, A.M.; Smith, M.P.; Finch, A.A.; Estrade, G.; Villanova-de-Benavent, C.; Nason, P.; Marquis, E.; Horsburgh, N.J.; Goodenough, K.M.; Xu, C.; et al. Adsorption of Rare Earth Elements in Regolith-Hosted Clay Deposits. Nat. Commun. 2020, 11, 4386. [Google Scholar] [CrossRef]
- Zeng, X.; Zeng, B.; Huang, L.; Zhong, L.; Li, X.; Huang, W. Adsorption of Y(III) on the Interface of Kaolinite-H2O: A DFT Study. Minerals 2022, 12, 1128. [Google Scholar] [CrossRef]
- Luo, X.; Zhang, Y.; Zhou, H.; He, K.; Luo, C.; Liu, Z.; Tang, X. Review on the Development and Utilization of Ionic Rare Earth Ore. Minerals 2022, 12, 554. [Google Scholar] [CrossRef]
- Zhang, Z.; Zhou, C.; Chen, W.; Long, F.; Chen, Z.; Chi, R. Effect of Surfactant Addition on Leaching Process of Weathered Crust Elution-Deposited Rare Earth Ores with Magnesium Sulfate. Metals 2023, 113, 1112. [Google Scholar] [CrossRef]
- Zhang, Q.; Ren, F.; Li, F.; Chen, G.; Yang, G.; Wang, J.; Du, K.; Liu, S.; Li, Z. Ammonia Nitrogen Sources and Pollution along Soil Profiles in an In-Situ Leaching Rare Earth Ore. Environ. Pollut. 2020, 267, 115449. [Google Scholar] [CrossRef]
- Feng, J.; Yu, J.; Huang, S.; Wu, X.; Zhou, F.; Xiao, C.; Xu, Y.; Chi, R. Effect of Potassium Chloride on Leaching Process of Residual Ammonium from Weathered Crust Elution-Deposited Rare Earth Ore Tailings. Miner. Eng. 2021, 163, 106800. [Google Scholar] [CrossRef]
- Tian, J.; Tang, X.; Yin, J.; Luo, X.; Rao, G.; Jiang, M. Process Optimization on Leaching of a Lean Weathered Crust Elution-Deposited Rare Earth Ores. Int. J. Miner. Process. 2013, 119, 83–88. [Google Scholar] [CrossRef]
- Wang, G.; Xu, J.; Ran, L.; Zhu, R.; Ling, B.; Liang, X.; Kang, S.; Wang, Y.; Wei, J.; Ma, L.; et al. A Green and Efficient Technology to Recover Rare Earth Elements from Weathering Crusts. Nat. Sustain. 2023, 6, 81–92. [Google Scholar] [CrossRef]
- Meng, X.; Zhao, H.; Zhao, Y.; Shen, L.; Gu, G.; Qiu, G. Heap Leaching of Ion Adsorption Rare Earth Ores and REEs Recovery from Leachate with Lixiviant Regeneration. Sci. Total Environ. 2023, 898, 165417. [Google Scholar] [CrossRef]
- Yang, L.; Wang, D.; Li, C.; Sun, Y.; Zhou, X.; Li, Y. Searching for a High Efficiency and Environmental Benign Reagent to Leach Ion-Adsorption Rare Earths Based on the Zeta Potential of Clay Particles. Green Chem. 2018, 20, 4528–4536. [Google Scholar] [CrossRef]
- Pires, C.M.G.; de Araújo Ponte, H.; Pereira, J.T.; de Santana Ponte, M.J.J. Yttrium Extraction from Soils by Electric Field Assisted Mining Applying the Evolutionary Operation Technique. J. Clean. Prod. 2019, 227, 272–279. [Google Scholar] [CrossRef]
- Pires, C.M.G.; Pereira, J.T.; Ribeiro, A.B.; Ponte, H.A.; Ponte, M.J.J.S. Optimization of Electric Field Assisted Mining Process Applied to Rare Earths in Soils. Appl. Sci. 2021, 11, 6316. [Google Scholar] [CrossRef]
- Pires, C.M.G.; Ribeiro, A.B.; Mateus, E.P.; Ponte, H.A.; Ponte, M.J.J.S. Extraction of Rare Earth Elements via Electric Field Assisted Mining Applying Deep Eutectic Solvents. Sustain. Chem. Pharm. 2022, 26, 100638. [Google Scholar] [CrossRef]
- Martens, E.; Prommer, H.; Sprocati, R.; Sun, J.; Dai, X.; Crane, R.; Jamieson, J.; Tong, P.O.; Rolle, M.; Fourie, A. Toward a More Sustainable Mining Future with Electrokinetic in Situ Leaching. Sci. Adv. 2021, 7, eabf9971. [Google Scholar] [CrossRef]
- Fu, Y.; Horton, R.; Ren, T.; Heitman, J.L. A General Form of Archie’s Model for Estimating Bulk Soil Electrical Conductivity. J. Hydrol. 2021, 597, 126160. [Google Scholar] [CrossRef]
- Hasan, M.F.; Abuel-Naga, H. Effect of Temperature and Water Salinity on Electrical Surface Conduction of Clay Particles. Minerals 2023, 13, 1110. [Google Scholar] [CrossRef]
- Cai, J.; Wei, W.; Hu, X.; Wood, D.A. Electrical Conductivity Models in Saturated Porous Media: A Review. Earth-Sci. Rev. 2017, 171, 419–433. [Google Scholar] [CrossRef]
- Park, S.S.; Hwang, M.J.; Moon, S.S.; Youn, H.Y. An Efficient VoD Scheme Providing Service Continuity for Mobile IPTV in Heterogeneous Networks. In Proceedings of the 2010 10th IEEE International Conference on Computer and Information Technology, 7th IEEE International Conference on Embedded Software and Systems (ICESS-2010), Bradford, UK, 29 June–1 July 2010; Volume 180, pp. 2589–2595. [Google Scholar]
- Su, F.; Wu, J.; Wang, D.; Zhao, H.; Wang, Y.; He, X. Moisture Movement, Soil Salt Migration, and Nitrogen Transformation under Different Irrigation Conditions: Field Experimental Research. Chemosphere 2022, 300, 134569. [Google Scholar] [CrossRef]
- Samouëlian, A.; Cousin, I.; Tabbagh, A.; Bruand, A.; Richard, G. Electrical Resistivity Survey in Soil Science: A Review. Soil Tillage Res. 2005, 83, 173–193. [Google Scholar] [CrossRef]
- Brunner, G. Properties of Pure Water. In Supercritical Fluid Science and Technology; Elsevier: Amsterdam, The Netherlands, 2014; Volume 5, ISBN 9780444594136. [Google Scholar]
- Kusim, A.S.; Abdullah, N.E.; Hashim, H.; Beeran Kutty, S. Effects of Salt Content on Measurement of Soil Resistivity. In Proceedings of the 2013 IEEE 7th International Power Engineering and Optimization Conference (PEOCO), Langkawi, Malaysia, 3–4 June 2013; pp. 124–128. [Google Scholar]
- El Alam, J.; Revil, A.; Dick, P. Influence of the Water Content on the Complex Conductivity of Bentonite. Eng. Geol. 2023, 322, 107183. [Google Scholar]
- Saarenketo, T. Electrical Properties of Water in Clay and Silty Soils. J. Appl. Geophys. 1998, 40, 73–88. [Google Scholar] [CrossRef]
- Lee, S.S.; Fenter, P.; Nagy, K.L.; Sturchio, N.C. Real-Time Observation of Cation Exchange Kinetics and Dynamics at the Muscovite-Water Interface. Nat. Commun. 2017, 8, 15826. [Google Scholar] [CrossRef]
- Ko, H.; Choo, H.; Ji, K. Effect of Temperature on Electrical Conductivity of Soils—Role of Surface Conduction. Eng. Geol. 2023, 321, 107147. [Google Scholar] [CrossRef]
- Sikiru, S. Ionic Transport and Influence of Electromagnetic Field Interaction within Electric Double Layer in Reservoir Sandstone. J. Mol. Liq. 2021, 344, 117675. [Google Scholar] [CrossRef]
- Keh, H.J.; Hsu, W.T. Electric Conductivity of a Suspension of Charge Colloidal Spheres with Thin but Polarized Double Layers. Colloid. Polym. Sci. 2002, 280, 922–928. [Google Scholar] [CrossRef]
- Mojid, M.A.; Cho, H. Wetting Solution and Electrical Double Layer Contributions to Bulk Electrical Conductivity of Sand–Clay Mixtures. Vadose Z. J. 2008, 7, 972–980. [Google Scholar] [CrossRef]
- Whittaker, M.L.; Comolli, L.R.; Gilbert, B.; Banfield, J.F. Layer Size Polydispersity in Hydrated Montmorillonite Creates Multiscale Porosity Networks. Appl. Clay Sci. 2020, 190, 105548. [Google Scholar] [CrossRef]
- Xian, Z.; Hao, Y.; Zhao, Y.; Song, S. Quantitative Determination of Isomorphous Substitutions on Clay Mineral Surfaces through AFM Imaging: A Case of Mica. Colloids Surfaces A Physicochem. Eng. Asp. 2017, 533, 55–60. [Google Scholar] [CrossRef]
- Naseri Boroujeni, S.; Liang, X.; Maribo-Mogensen, B.; Kontogeorgis, G.M. Comparison of Models for the Prediction of the Electrical Conductivity of Electrolyte Solutions. Ind. Eng. Chem. Res. 2022, 61, 3168–3185. [Google Scholar] [CrossRef]
- Yang, M.; Liang, X.; Ma, L.; Huang, J.; He, H.; Zhu, J. Adsorption of REEs on Kaolinite and Halloysite: A Link to the REE Distribution on Clays in the Weathering Crust of Granite. Chem. Geol. 2019, 525, 210–217. [Google Scholar] [CrossRef]
- Nouveau, M.; Grandjean, G.; Leroy, P.; Philippe, M.; Hedri, E.; Boukcim, H. Electrical and Thermal Behavior of Unsaturated Soils: Experimental Results. J. Appl. Geophys. 2016, 128, 115–122. [Google Scholar] [CrossRef]
- Lide, D.R.; Baysinger, G. CRC Handbook of Chemistry and Physics; CRC Press: Boca Raton, FL, USA, 2005. [Google Scholar]
- Corwin, D.L.; Scudiero, E. Field-Scale Apparent Soil Electrical Conductivity. Soil Sci. Soc. Am. J. 2020, 84, 1405–1441. [Google Scholar] [CrossRef]
- Li, H.; Liu, X.; Hu, B.; Biswas, A.; Jiang, Q.; Liu, W.; Wang, N.; Peng, J. Field-Scale Characterization of Spatio-Temporal Variability of Soil Salinity in Three Dimensions. Remote Sens. 2020, 12, 4043. [Google Scholar] [CrossRef]
- Olaojo, A.A.; Oladunjoye, M.A. Field-Scale Apparent Electrical Conductivity Mapping of Soil Properties in Precision Agriculture. Rev. Bras. Geofis. 2022, 40, 1–31. [Google Scholar] [CrossRef]
- Archie, G.E. The Electrical Resistivity Log as an Aid in Determining Some Reservoir Characteristics. Trans. AIME 1942, 146, 54–62. [Google Scholar] [CrossRef]
- Shah, S.A.; Shah, S.H.; Bibi, A.; Jadoon, Q.K.; Latif, K. Petrophysical Evaluation Using the Geometric Factor Theory and Comparison with Archie Model. J. Nat. Gas Sci. Eng. 2020, 82, 103465. [Google Scholar] [CrossRef]
- Mctigue, D.; Horton, R.; Illman, W.A.; Helmke, M.F. Physical Properties of Rocks. Dev. Pet. Sci. 1982, 12, 147–253. [Google Scholar]
- Martinho, E. Electrical Resistivity and Induced Polarization Methods for Environmental Investigations: An Overview; Springer International Publishing: Berlin/Heidelberg, Germany, 2023; Volume 234, ISBN 0123456789. [Google Scholar]
- Zhang, F.; Zhang, C. Probing Water Partitioning in Unsaturated Weathered Rock Using Nuclear Magnetic Resonance. Geophysics 2021, 86, WB131–WB147. [Google Scholar] [CrossRef]
- Rostami, H.; Osouli, A. Electrical Resistivity Changes in Wet and Dry Side of Optimum Moisture Content for Soils with Low to High Fines Content BT—Advances in Transportation Geotechnics IV; Tutumluer, E., Nazarian, S., Al-Qadi, I., Qamhia, I.I.A., Eds.; Springer International Publishing: Cham, Switzerland, 2022; ISBN 978-3-030-77234-5. [Google Scholar]










| Element | La3+ | Sm3+ | Er3+ | Y3+ |
|---|---|---|---|---|
| K | 0.0899 ± 0.004 | 0.0747 ± 0.0011 | 0.0716 ± 0.0008 | 0.1262 ± 0017 |
| R2 | 0.9993 | 0.9977 | 0.9987 | 0.9980 |
| λ (10−4 m2 S mol−1) [43] | 69.7 | 68.5 | 65.9 | 62.0 |
| Parameters | Origin | La3+ | Sm3+ | Er3+ | Y3+ |
|---|---|---|---|---|---|
| K1 | 71.2069 ± 59.6974 | 3.0512 ± 0.3148 | 4.9333 ± 0.4155 | 3.1722 ± 0.7320 | 2.4583 ± 0.3453 |
| K2 | 0.0428 | 0.0436 | 0.0363 | 0.0348 | 0.0613 |
| K3 | 0.0006 ± 0.0008 | 0.0127 ± 0.0022 | 0.0061 ± 0.0009 | 0.0120 ± 0.0039 | 0.0257 ± 0.0065 |
| K4 | 0.0100 | 0.0100 | 0.0100 | 0.0100 | 0.0100 |
| R2 | 0.9630 | 0.9708 | 0.9749 | 0.9555 | 0.9714 |
| Model | La3+ | Sm3+ | Er3+ | Y3+ | ||
|---|---|---|---|---|---|---|
| Archie’s | 200 ppm | R2 | 0.5518 | 0.5955 | 0.9195 | 0.9588 |
| EMSE | 77.6029 | 42.2672 | 13.0930 | 2.5608 | ||
| 400 ppm | R2 | 0.8764 | 0.5481 | 0.7512 | 0.9898 | |
| EMSE | 13.2102 | 98.4102 | 28.0224 | 1.6515 | ||
| Linear | 200 ppm | R2 | −1.1453 | −1.2282 | −0.2263 | −1.9304 |
| EMSE | 309.5636 | 194.0355 | 166.2313 | 151.6652 | ||
| 400 ppm | R2 | −2.1521 | −0.7130 | −0.7731 | −1.4903 | |
| EMSE | 280.7236 | 310.8721 | 151.6652 | 335.1074 | ||
Disclaimer/Publisher’s Note: The statements, opinions and data contained in all publications are solely those of the individual author(s) and contributor(s) and not of MDPI and/or the editor(s). MDPI and/or the editor(s) disclaim responsibility for any injury to people or property resulting from any ideas, methods, instructions or products referred to in the content. |
© 2024 by the authors. Licensee MDPI, Basel, Switzerland. This article is an open access article distributed under the terms and conditions of the Creative Commons Attribution (CC BY) license (https://creativecommons.org/licenses/by/4.0/).
Share and Cite
Kang, S.; Ling, B.; Liang, X.; Wang, G.; Xu, J.; Xu, Y.; Zhu, R.; Wei, J.; Zhu, J.; He, H. Recovery of Rare Earth Elements from Ion-Adsorption Deposits Using Electrokinetic Technology: The Soil Conductivity Mechanism Study. Minerals 2024, 14, 491. https://doi.org/10.3390/min14050491
Kang S, Ling B, Liang X, Wang G, Xu J, Xu Y, Zhu R, Wei J, Zhu J, He H. Recovery of Rare Earth Elements from Ion-Adsorption Deposits Using Electrokinetic Technology: The Soil Conductivity Mechanism Study. Minerals. 2024; 14(5):491. https://doi.org/10.3390/min14050491
Chicago/Turabian StyleKang, Shichang, Bowen Ling, Xiaoliang Liang, Gaofeng Wang, Jie Xu, Yongjin Xu, Runliang Zhu, Jingming Wei, Jianxi Zhu, and Hongping He. 2024. "Recovery of Rare Earth Elements from Ion-Adsorption Deposits Using Electrokinetic Technology: The Soil Conductivity Mechanism Study" Minerals 14, no. 5: 491. https://doi.org/10.3390/min14050491
APA StyleKang, S., Ling, B., Liang, X., Wang, G., Xu, J., Xu, Y., Zhu, R., Wei, J., Zhu, J., & He, H. (2024). Recovery of Rare Earth Elements from Ion-Adsorption Deposits Using Electrokinetic Technology: The Soil Conductivity Mechanism Study. Minerals, 14(5), 491. https://doi.org/10.3390/min14050491
