Abstract
This study aims at the evaluation of different formulations of concrete made with calcined clays and limestone (LC3 cement) exposed to aggressive environments. The study includes the evaluation of fresh and hardened properties and a comprehensive evaluation of durability over 24 months. The inclusion of calcined clays in cement increases the specific surface area of the cements, and thus the water demand. However, the high reactivity of calcined clays compared to any other pozzolan, and the synergy that occurs with limestones, enables the use of cements with very low clinker content that achieve strengths similar to those of Portland. Comparisons of LC3 formulations with Portland cement and with concrete containing silica fume prove the superiority of calcined clays in terms of strength and durability. The best results are obtained with LC3-50 cement with 50% clinker produced through co-grinding. Results of concrete made with a blend of 70% Portland cement with 30% LC2 (60% calcined clay, 35% limestone, 5% gypsum, separate ground) are also promising. All concretes made with LC3 show good durability in terms of the results of effective porosity, chloride permeability, and resistivity tests.
1. Introduction
Today, the perspective of most industrial processes has changed and is increasingly focused on sustainable development. Sustainability is the quality of sustaining oneself without assistance and without depleting available resources; in an economic and social context, it refers to the efficient management of resources to meet the needs and improve the well-being of the current population without compromising the quality of life of future generations [1].
Cement is the world’s most widely used material and is indispensable for a wide range of products and building systems. In the future, cement will also play an important role in many respects for modern societies and their sustainable development [2]. World cement production has increased steadily and significantly due to population growth, continued urbanization, and infrastructure development. Global average annual consumption is approximately 4.13 Gt and is expected to grow to 4.68 Gt/year by 2050 [2,3].
Cement production is inevitably accompanied by significant energy demand and high CO2 emissions, mainly due to clinker production. At present, the cement industry is the third largest industrial consumer of energy [2] and its production accounts for up to 6%–7% of global CO2 emissions, which corresponds to 5% of anthropogenic greenhouse gas emissions in CO2 equivalents [2,3,4,5] For every ton of clinker, which is the basis of cement, one ton of CO2 is released into the air. This situation forces man to think about reducing pollution from large cement factories and for this purpose, it is mandatory to formulate cements with clinker substitutions, which contribute to reduce gas emissions into the atmosphere [6,7].
CO2 emissions in the cement manufacturing process in Ecuador, according to the application of Life Cycle Assessment (LCA) methodologies in one year, show results that require an average of about 3191.95 MJ of energy, which generate emissions of 510.57 kg CO2 [3,8]. The dominant contributions to energy are due to the consumption of limestone, fuel oil, and electricity. The unit process that generates the greatest impact is clinker production, both because of the chemical reactions that take place in the kiln and because of its fuel consumption [3,9].
In this sense, the substitution of a percentage of clinker through the use of Supplementary Cementitious Materials (SCM) has been recognized as a way to reduce CO2 emissions and energy costs associated with cement manufacture, while at the same time improving or maintaining its physical, mechanical and chemical properties. Several authors [10,11,12] indicate that energy expenditure in cement production could be reduced by 35 to 40% of the current cost.
The cement industry in Ecuador has a limited clinker substitution due to the lack of Supplementary Cementitious Materials (SCM), which come mainly from the use of volcanic ash as mineral additions of natural origin with moderate reactivity [13,14], and their use is limited to percentages of less than 29% [3,9].
On the other hand, the use of calcined clays as SCM is an attractive alternative in cement production, due to their wide availability throughout the earth’s crust [15,16,17] with a relative ease of treatment as they are activated by thermal processes that require much less energy than that required for clinker production, in addition to their proven pozzolanic properties [15,16,17].
The process is based on the substitution of a large part of the clinker used in its manufacture (30 to 50% substitution) with calcined clay and calcium carbonate, which would reduce CO2 emissions to the atmosphere by 20%–30% compared to other types of cements [18,19].
Based on the above formulations, Low Carbon Cement (LC3) is a new type of cement that can reach 50% clinker substitution, using a combination of calcined clay and limestone [20,21,22]. The obvious advantage of the clinker—calcined clay—limestone system over traditionally blended cement lies in the possibility of increasing the level of clinker substitution without compromising the final properties of the cement [23,24]. This has a direct impact on the reduction of environmental costs associated with CO2 emissions, without implying higher production values, which can even be lower without large investments [25,26].
One aspect to be taken into account for concrete, especially concrete produced with LC3 low-carbon cement, is durability, which is defined as the ability of concrete to withstand the performance for which it was designed, in addition to taking into account the physical and chemical conditions to which it will be exposed. The durability of concrete depends on different factors among which are: the water/cement ratio (w/c), the curing process to which the material is subjected, the type of cement and aggregates used; addition to: the actions of chloride ions, porosity, and carbonation [27].
This paper presents the results of a study made to assess the durability of several concrete formulations including calcined clay and limestone produced in different ways. Concrete specimens will be exposed under natural conditions. Portland cement concrete will be used as a reference, and also concrete with the addition of silica fume.
2. Materials and Methods
This research presents the evaluation of six types of concrete with LC3 cement produced with different grinding regimes. A series with an LC3-50% with 50% clinker produced through co-grinding was produced. Three series were produced by blending Portland cement with a mineral addition called “LC2” (60% calcined clay, 35% limestone, 5% clinker, separate ground) with proportions Portland Cement/LC2, 55%/45%, 70%/30%, and 85%/15%. Two reference series were cast, one with 90% Portland cement with 10% silica fume and another with Portland cement.
All materials used in the formulations were properly characterized. To assess the properties of fresh concrete various protocols were followed: (i) slump using Abrams Cone according to NTE INEN 1578 [28] protocol and ASTM C143 [29], (ii) occluded air according to ASTM C231 [29], and (iii) concrete density according to ASTM C138. For hardened concrete the following protocols were followed: (a) compressive strength at 24 h, 3 days, 7 days, and 28 days, (b) capillary water absorption test standards (NTE INEN 1855-1), (ASTM C 94), and (NTE INEN 1855-2) [30], to evaluate the durability, (c) depth of carbonation, resistivity, and resistance to chloride ion penetration by NT BUILD 492 [31].
2.1. Characteristics of Raw Materials
Natural clay: The clay used in the production process of LC3 cement and LC2 mineral admixture comes from the mining area of the city of Cuenca, Ecuador (see Table 1). In this area a mixture of clay minerals of the 1:1 type (Kaolinite, Dickite, Nacrite) is identified. The content of clay minerals of the kaolinite group was quantified by Thermogravimetric Analysis (TGA) by the tangent method between 400 °C and 600 °C. Fifty mg of powdered sample were analyzed using a Mettler Toledo TGA/SDTA 851 balance with a heating rate of 10 °C/min from 30 °C to 1000 °C under a constant dinitrogen flow rate of 30 mL/min. The content of clay minerals of the kaolinite group was estimated at 55.27%, with a small presence of 2:1 type mineral The mass losses observed in the range between 200 and 300 °C are mainly associated with the presence of natural iron and aluminum hydroxides common in weathering crusts.
Table 1.
Chemical composition of raw materials.
From the chemical-mineralogical point of view, the clay gives excellent reactivity results. There is no evidence of accompanying minerals such as calcite and/or pyrite that could compromise reactivity.
Table 1 presents the chemical composition of all raw materials used for the experimental program
- Clinker: Mineralogical composition (provided by the clinker supplier) was C3S = 62.04%; C2S = 14.34%; C3A = 7.07%; C4AF = 8.48%
- Limestone: CaCO3 content is higher than 94%, so it could be considered a high-purity limestone.
- Gypsum: SO3 is around 40%, (86.1% of gypsum).
Cements used: The cements were: cement LC3-50 2:1 (50% clinker and calcined clay/limestone, ratio 2:1) crushed by inter-grinding. Combinations of Portland cements with the mineral addition LC2 2:1 (combination of calcined clay, limestone, and gypsum, calcined clay/limestone ratio 2:1). The combinations used were (Portland cement/LC2), a first reference was a pure Portland cement and a second reference was a mixture where the Portland cement was replaced by 10% of a commercial mineral addition (SikaFume) (see Table 2).
Table 2.
Proportions of the materials that were ground.
Table 3 shows the physical properties of the cements used, which were ground for 50 min by inter-grinding and 30 min by separate grinding. It is verified that the addition of calcined clays increases the specific surface.
Table 3.
Properties of the binders used.
Aggregates: The aggregates used for the manufacture of the concrete were obtained from the aggregate supplier in the city of Cuenca, the raw material is obtained by crushing pebbles. Table 4 and Figure 1 present the physical properties and grain size distribution of the aggregates used for concrete production. Both aggregates meet the specifications of Ecuadorian standards [32,33,34,35,36,37].
Table 4.
Aggregate properties.
Figure 1.
Particle size distributions of the aggregates, (a) coarse aggregate, (b) fine aggregate.
SikaFume: SikaFume® is a micro silica, a powdered addition that increases the chemical and mechanical strength of concrete and mortars. The improved characteristics of this admixture are high concrete density as it develops a microstructure with a porosity develops a microstructure with a porosity that is up to 10 times lower porosity up to 10 times lower than that obtained with conventional concrete. The decrease in the permeability of the concrete matrix prevents the penetration of aggressive agents, significantly extending the useful life of the concrete or mortar. Does not contain chlorides. This product was supplied by the company SIKA.
Superplasticizer Admixture: MasterRheobuild® 1050 (company BASF) was used. This is a high-range water-reducing admixture formulated to produce concrete with a fluid and plastic consistency. This type of admixture makes it possible to obtain concrete with a low water-cement ratio. This admixture complies with ASTM C 494 specifications for type A and F admixtures.
2.2. Sample Preparation
For the study, a concrete mix certified for a concrete production company in the city of Cuenca, Ecuador was used. Design strength was 35 MPa Table 5 presents the proportions used, as well as the water/binder ratio and slump values achieved during manufacture.
Table 5.
Dosage used in the manufacture of concrete (1 m3).
Given the low water absorption of the aggregates used, the water demand in concrete produced with Portland cement is low, and low water/binder ratios are achieved. It is also verified that the presence of calcined clays reduces the slump and increases the dosage of superplasticizer admixture for similar water demand. However, it should be clarified that all the mixes complied with the design parameters (see Table 6).
Table 6.
Physical-mechanical property results.
The mix design was modified to include the different options for the binder described above, such as the use of silica fume as an alternative for durability, LC3 as the main binder, and LC2 in various proportions with Portland cement. In all cases, the total amount of binder was the same as the original dosage used.
Location of the Elements at the Exposure Site for Durability Studies
The experimental work was carried out at an exposure site where real concrete elements were placed under severe exposure conditions in an area located in Puerto Lucia Yacht Club, Salinas, Ecuador (see Figure 2). According to the NEC-SE-HM [38] standard, it is classified in category C2 for concrete exposed to humidity and to an external source of chlorides: salt, brackish water, seawater, or splashes of the same [38].
Figure 2.
Location of experimental exposure site.
The choice of this exposure site made it possible to evaluate the concretes in an arid tropical climate. With relatively high temperatures (between 20–27 °C), high relative humidity (above 80%), and the existence of chlorides from seawater, the concretes were subjected to harsh climatic conditions [39]. The average temperature and humidity values for the two exposure zones are presented in Table 7.
Table 7.
Climatic data of the exposure site [39].
For the evaluation in this area, a group of concrete specimens were manufactured with the dosages described above. The elements have dimensions of 300 × 300 × 200 mm so that they can guarantee high stability under the impact of coastal weather conditions (see Figure 3).
Figure 3.
Elements placed in the experimental exposure site.
Prior to the placement of the elements, a device was built with metal baskets where the elements were placed and exposed in two zones, one called “tidal zone”, where the elements are subjected to the tidal flow, and the other known as “air zone” which will be 0.5 m from the seawater (See Figure 4).
Figure 4.
Exposure zones of the elements, (a) Tidal zone, (b) Air zone.
The elements were placed and finally fixed in the baskets, where they remained for a period of 2 years from 2018 to 2020. During this period the technical team accessed the place with a frequency of 6 months, 1 year, and 2 years, where samples of the elements were extracted in each of the exhibition areas. These were taken with a core drill coupled to 100 mm diameter drill bits. Additionally, in situ tests were carried out using non-destructive methods such as resistivity measurement (see Figure 5).
Figure 5.
Sample extraction and preservation.
2.3. Experimental Procedures, Durability Protocol
For the evaluation of the durability protocol in the concrete elements produced, this study included tests related to the evaluation of porosity following the protocol of the standards NTE INEN 1855-1 (ASTM C 94), NTE INEN 1855-2 and NC-345, 2011. The carbonation evaluation was carried out based on NC 355:2004 [40]. For the evaluation of chloride permeability, NT BUILD 492 [31] was used. The resistivity of the concretes studied was evaluated using a Resipod [41,42,43,44].
- Porosity according to NC 345-2011: The objective of the study is to determine the connected porosity of a concrete specimen by measuring water absorption using the protocol of NC-345, 2011 [30].
- Surface resistivity: This test is performed with the resipod, an instrument that is designed to measure the electrical resistivity of concrete or rock using the Wenner probe principle. A current is applied to two outer probes and the potential difference between the two inner probes is measured. The current is carried by ions from the liquid in the pores. The calculated resistivity depends on the distance between the sondes [41,42,43,44]. The interpretation of the results is made taking the following reference:
- In case of ≥100 kΩcm (Negligible corrosion risk).
- In case of =50 to 100 kΩcm (Low corrosion risk).
- In case of =10 to 50 kΩcm (Moderate corrosion risk).
- In case of ≤10 kΩcm (High corrosion risk).
- Nordtest NT Build 492: The test consists of subjecting a cylindrical concrete specimen to an electric potential applied axially through it, forcing the chloride ions present in the external solutions to migrate towards the interior of the specimen. Once the penetration distance has been measured, the non-steady-state chloride migration coefficient (Dnssm) can be calculated. The interpretation of the results is carried out by taking the following reference (See Table 8)
Table 8. Nordtest NT Build 492 Data Ranges. - Carbonation depth according to NC 355: 2004: The measurement of the depth of the carbonated layer in concrete is based on the determination of the reduction of alkalinity caused by the chemical transformation derived from the carbonation process, which can be visually verified by means of the coloration changes suffered by an indicator. A 1% phenolphthalein solution dissolved in 70% ethyl alcohol will be used as an indicator.
3. Results and Discussion
3.1. Pore Structure Changes in the Concretes Studied
3.1.1. Water Absorption: Effective Porosity
Porous materials exhibit a proportional relationship between total porosity and their mechanical strength [45,46]. The porosity of the matrix depends on the type of cement used and its hydration process. It is therefore interesting to study the relationship between changes in porosity and the strength of the material.
Figure 6 presents the results of effective porosity for all series at 6, 12, and 24 months. The lowest effective porosity is reported for concretes made with LC3-50 cement by inter-grinding and those made with Portland cement +LC2 by separate grinding.
Figure 6.
Effective porosity 6–24 months exposure; (a) Air Zone; (b) Tidal Zone.
The highest porosity values are measured in concretes produced with Portland cement. The total effective porosity ratings for all concretes are significantly low, which gives a good prognosis in terms of concrete durability. The exposure conditions (tide/air) do not have a major impact on the results
3.1.2. Surface Resistivity
Figure 7 shows the resistivity values measured in the concrete elements produced. The highest values correspond equally for both the elements exposed in the air and tidal zone to the M3 mix (LC3-50 by inter-grinding, with 50% calcined clay) and the mixes made with Portland cement+LC2 produced by separate grinding, confirming again the beneficial effect of clay content on concrete durability. These series show low corrosion risks (50 to 100 kΩcm).
Figure 7.
Electrical resistivity after 24 months.
The worst resistivity values are measured in concrete produced with Portland cement with a moderate corrosion risk classification (10 to 50 kΩcm). As the mineral addition LC2 is incorporated, the resistivity values improve significantly for each of the zones, and from 30% LC2 onwards the risk of corrosion decreases.
The reason for this phenomenon is given by the dense pore matrix formed in systems with calcined clays and the high gap-filling capacity of these systems [47,48,49]. The finest pores are filled by a low Si/Ca ratio C-A-S-H, rich in aluminum, which is responsible for the low connectivity of the system. The larger holes are filled mainly by Afm-type products (mono- and hemicarboaluminates), which are formed by aluminum from the calcined clay [47].
3.1.3. Effective Porosity vs. Surface Resistivity
Considering the effective porosity as the volume of interconnected capillary pores according to NC 345: 2011 [30] and the electrical resistivity as the firmness to the passage of electrical charges according to Asndrade [50], it can be interpreted that according to the results obtained from each of the measurements (see Figure 8).
Figure 8.
Effective porosity Vs. electrical resistivity; (a) Air Zone; (b) Tidal Zone.
All the samples made with calcined clays present a lower effective porosity than the control samples, which correlates with the results obtained in the resistivity test where the specimens made with Portland cement and silica fume offer the lowest resistance, which could indicate, as reported in the literature [51,52,53] a lower tortuosity of the techniques with Portland cement with respect to the systems with calcined clays.
3.2. Impact of Migration Properties and Their Influence on Concrete Durability
3.2.1. Chloride Migration
Figure 9 shows the effects of comparing the compressive strength in the evaluated series with the chloride permeability values using the Nordtest NT Build 492 protocol. The non-steady state chloride migration values (Dnssm) in the series produced with CP and HS are significantly higher than the series produced with calcined clays. This result is evident in both exposure zones of the samples (air and tidal zones).
Figure 9.
Compressive strength vs. Dnssm ratio (a) Air zone; (b) Tidal zone.
These values are very consistent with the results obtained for the surface resistivity measured in the concretes produced, indicating once again that the cementitious systems produced with calcined clays have a superior capacity to inhibit the entry and migration of chlorides.
In the case of the Nordtest NT Build 492 test (see Figure 10), it can be seen that the concretes made with calcined clays are in the very low chloride ion penetration range (0–3.5 × 10−12 m2/s), while the samples with CP are classified as moderate (6.75–10.5 × 10−12 m2/s).
Figure 10.
Chloride migration values recorded; (a) Air Zone; (b) Tidal Zone.
3.2.2. Chloride Migration vs. Resistivity
As in the previous cases, the samples made with calcined clays have a more favorable behavior than the samples with CP. As can be observed, the standard sample has a much lower capacity to resist the passage of current, which contrasts perfectly with the Nordtest NT Build 492 test, which shows a notably higher difference in the value of electrical charge recorded with respect to the samples made with calcined clays (Figure 11).
Figure 11.
Chloride migration Vs. resistivity; (a) Air Zone; (b) Tidal Zone.
This behavior is due to the fact that in concretes made with calcined clays, the ions must travel through tortuous paths that hinder their diffusion, confirming the advantage of these systems in environments with high chloride concentrations [54,55].
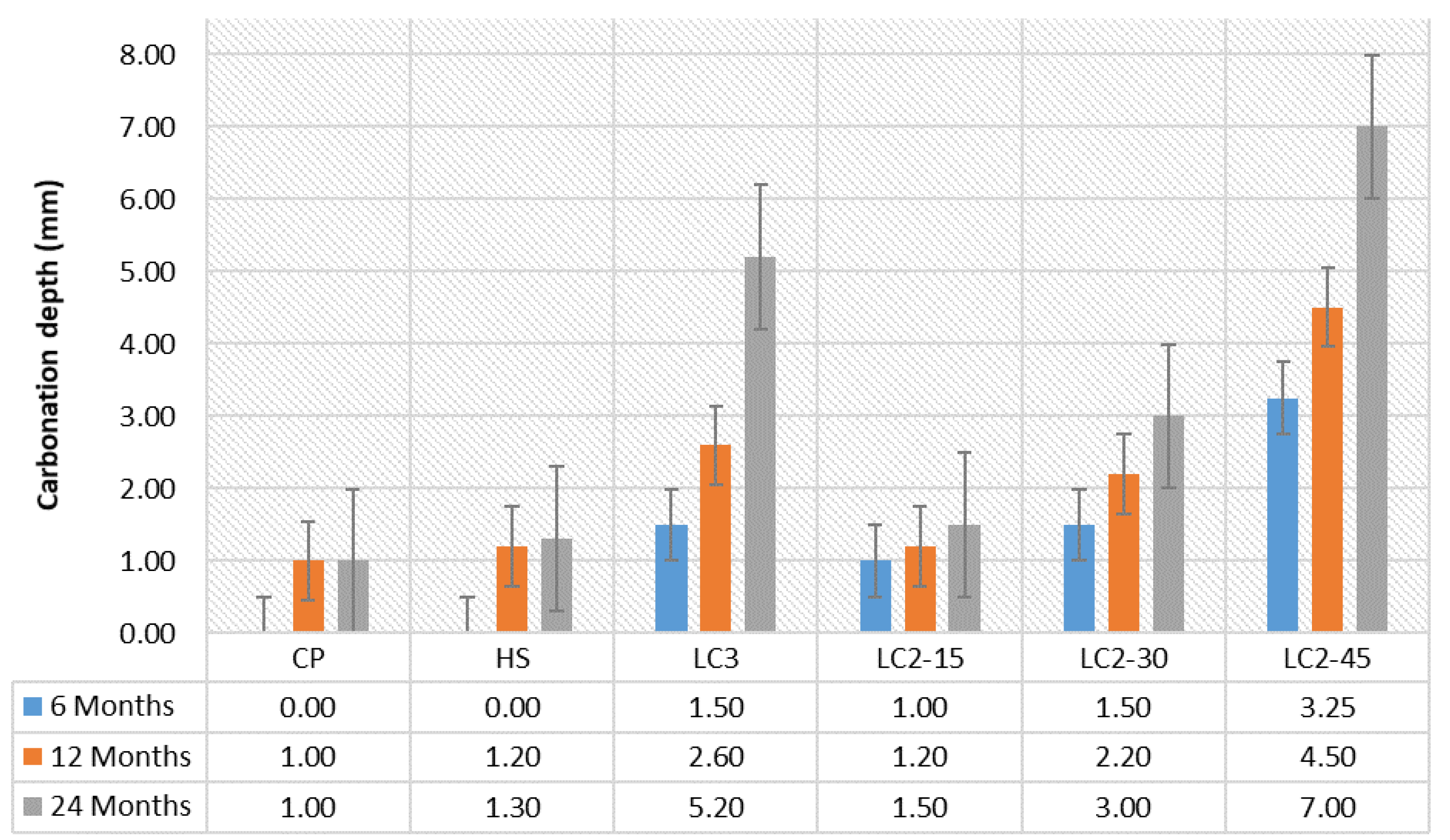
3.2.3. Evaluation of Carbonation under Natural Exposure Conditions
Table 9 shows the carbonation values of the concretes produced at 6, 12, and 24 months for the exposure of elements in the aerial zone. In the tidal zone, no carbonation values were observed for any of the periods in which measurements were taken; this behavior is mainly due to the fact that they are located in a tropical marine zone where the constant effect of the tides makes the relative humidity very high (above 80%), achieving saturation of the porous system, thus hindering the entry and dissolution of CO2 in the matrix [56,57,58,59,60]. These conditions are typical of marine environments where concretes produced with calcined clays show excellent behavior against chlorides, the main source of aggression in these environments.
Table 9.
Total Carbonation Depth.
The elements exposed in the air zone show a trend of higher carbonation in the systems produced with calcined clays compared to the values for the series with Portland cement and silica fume. As the total cement content decreases, the carbonation depth increases with time [59,60] (See Figure 12).
Figure 12.
Carbonation in Air zone concrete.
For the case of concretes made with calcined clays, although the remaining amount of calcium hydroxide is sufficient to maintain high alkalinity conditions within the concrete, the percentage of the alkaline reserve is reduced being more susceptible to carbonation [52,60]. As exposure conditions move away from water where the pore system is no longer fully saturated and the gas-liquid interface is favored where ambient CO2 can dissolve and penetrate the cementitious matrix, causing further carbonation.
4. Conclusions
- The exposure of the concrete on site, under the conditions described in the NEC-SE-HM standard and its subsequent evaluation, allows the advantages of the use of ternary cements with calcined clays to be verified.
- The concretes produced show high durability proven by tests of porosity, permeability to chlorides, carbonation, and electrical resistivity. The best results are obtained with LC3-50 cement with 50% clinker by internal grinding, and all the samples with the mineral addition LC2.
- The carbonation profiles of the concretes at ages 6, 12, and 24 months confirm the trend towards higher carbonation in the systems produced with calcined clays when compared to the values of the CP and HS series.
- As exposure conditions move away from water, the pore system becomes partially saturated, favoring the gas-liquid interface where ambient CO2 can dissolve and penetrate the cementitious matrix, leading to increased carbonation.
- In conditions of high chloride aggressiveness, for example: in the air zone, the carbonation values of the series with calcined clays are in a higher range than the series produced with CP and HS. As the exposure conditions move away from water, where the pore system is no longer fully saturated, and the gas-liquid interface is favored where ambient CO2 can dissolve and penetrate the cementitious matrix, causing further carbonation. However, in these systems, the permeability to chlorides is markedly lower, so the danger of chloride corrosion is lower.
Author Contributions
Conceptualization, J.F.M.H.; Methodology, J.F.G.-V., Y.D.-C. and J.F.M.H.; Formal analysis, J.F.G.-V. and Y.D.-C.; Investigation, J.F.G.-V., Y.D.-C. and J.F.M.H.; Writing—original draft, J.F.G.-V.; Writing—review & editing, Y.D.-C. and J.F.M.H.; Supervision, Y.D.-C. and J.F.M.H. All authors have read and agreed to the published version of the manuscript.
Funding
This research received no external funding.
Data Availability Statement
The data are contained in the article.
Conflicts of Interest
The authors declare no conflicts of interest.
References
- Alderete, N.M.; Zaccardi, Y.A.V.; Maio, Á.A. Propiedades De Transporte De Hormigones Con Adiciones Minerales. Cienc. Tecnol. Mater. 2015, 5, 33–43. [Google Scholar]
- Schneider, M. Cement and Concrete Research The cement industry on the way to a low-carbon future. Cem. Concr. Res. 2019, 124, 105792. [Google Scholar] [CrossRef]
- León-Velez, A.; Guillén-Mena, V. Energía contenida y emisiones de CO2 en el proceso de fabricación del cemento en Ecuador. Ambiente Construído 2020, 20, 611–625. [Google Scholar] [CrossRef]
- Wang, H.; Hou, P.; Li, Q.; Adu-Amankwah, S.; Chen, H.; Xie, N.; Zhao, P.; Huang, Y.; Wang, S.; Cheng, X. Synergistic effects of supplementary cementitious materials in limestone and calcined clay-replaced slag cement. Constr. Build. Mater. 2021, 282, 122648. [Google Scholar] [CrossRef]
- European Green. El Sector Cementero a Escala Mundial Explora el Camino a Seguir Para Lograr Las Emisiones Cero en 2050. 2020, pp. 4–7. Available online: https://www.cicconstruccion.com/texto-diario/mostrar/2743285/sector-cementero-escala-mundial-explora-camino-seguir-lograr-emisiones-cero-2050 (accessed on 20 March 2024).
- Nazari, A.; Sanjayan, J.G. Handbook of Low Carbon Concrete; Elsevier: Amsterdam, The Netherlands, 2017. [Google Scholar]
- Scrivener, K.L. Future Cements Options for the future of cement. Indian Concr. J. 2014, 88, 11–21. [Google Scholar]
- Mccaffrey, R. Global Cement Directory 2022. Global Cement, 2022. Available online: https://www.cfic.dz/images/telechargements/eGCJan2022ns.pdf (accessed on 20 March 2024).
- FICEM. Informe Estadistico 2018. Cemento & Concreto. 2018. Available online: https://ficem.org/wp-content/uploads/2021/06/00_Informe-estadistico-2019.pdf (accessed on 20 March 2024).
- Díaz, Y.C.; Berriel, S.S.; Heierli, U.; Favier, A.R.; Machado, I.R.S.; Scrivener, K.L.; Hernández, J.F.M.; Habert, G. Limestone calcined clay cement as a low-carbon solution to meet expanding cement demand in emerging economies. Dev. Eng. 2017, 2, 82–91. [Google Scholar] [CrossRef]
- Gettu, R.; Patel, A.; Rathi, V.; Prakasan, S.; Basavaraj, A.; Maity, S. Sustainability Assessment of Cements and Concretes in the Indian Context: Influence of Supplementary Cementitious Materials. Sustain. Constr. Mater. Technol. 2016, 4, 142–1150. [Google Scholar]
- Yanguatin, H.; Tobón, J.; Ramírez, J. Pozzolanic reactivity of kaolin clays, a review. React. Puzolánica De Arcillas Caoliníticas Una Revisión 2017, 32, 13–24. [Google Scholar]
- Túpez, J.A.L. Determinación Actividad Puzolanica Por DRX; Cementos Pacasmayo S.A.A. 2010, pp. 1–13. Available online: https://www.slideshare.net/jlujant/determinacion-actividad-puzolanica-por-drx (accessed on 20 March 2024).
- Ilić, B.; Radonjanin, V.; Malešev, M.; Zdujić, M.; Mitrović, A. Effects of mechanical and thermal activation on pozzolanic activity of kaolin containing mica. Appl. Clay Sci. 2016, 123, 173–181. [Google Scholar] [CrossRef]
- Hollanders, S.; Adriaens, R.; Skibsted, J.; Cizer, Ö.; Elsen, J. Pozzolanic reactivity of pure calcined clays. Appl. Clay Sci. 2016, 132–133, 552–560. [Google Scholar] [CrossRef]
- Antoni, M.; Rossen, J.; Martirena, F.; Scrivener, K. Cement substitution by a combination of metakaolin and limestone. Cem. Concr. Res. 2012, 42, 1579–1589. [Google Scholar] [CrossRef]
- Fernandez, R.; Martirena, F.; Scrivener, K.L. The origin of the pozzolanic activity of calcined clay minerals: A comparison between kaolinite, illite and montmorillonite. Cem. Concr. Res. 2011, 41, 113–122. [Google Scholar] [CrossRef]
- Alujas, A.; Fernández, R.; Quintana, R.; Scrivener, K.L.; Martirena, F. Pozzolanic reactivity of low grade kaolinitic clays: Influence of calcination temperature and impact of calcination products on OPC hydration. Appl. Clay Sci. 2015, 108, 94–101. [Google Scholar] [CrossRef]
- Favier, A.; Zunino, F.; Katrantzis, I.; Scrivener, K. The effect of limestone on the performance of ternary blended cement LC3: Limestone, calcined clays and cement. RILEM Bookseries 2018, 16, 170–175. [Google Scholar] [CrossRef] [PubMed]
- Bishnoi, S.; Maity, S.; Mallik, A.; Joseph, S.; Krishnan, S. Pilot scale manufacture of limestone calcined clay cement: The Indian experience. Indian Concr. J. 2014, 88, 22–28. [Google Scholar]
- Rocha, D.; Almenares, R.; Sanchez, S.; Alujas, A.; Martirena, F. Standardization strategy of low carbon cement in Cuba. In Case Study for “Siguaney” Cement Factory; Springer: Dordrecht, The Netherlands, 2018; p. 16. [Google Scholar]
- Martirena, F.; Scrivener, K. Low Carbon Cement LC 3 in Cuba: Ways to Achieve a Sustainable Growth of Cement Production Identification of Suitable Clay Deposits. In Calcined Clays for Sustainable Concrete, Proceedings of the 2nd International Conference on Calcined Clays for Sustainable Concrete, La Havana, Cuba, 5–7 December 2017; Springer: Dordrecht, The Netherlands, 2018; Volume 2, pp. 3–6. [Google Scholar]
- Tang, S.W.; Yao, Y.; Andrade, C.; Li, Z.J. Recent durability studies on concrete structure. Cem. Concr. Res. 2015, 78, 143–154. [Google Scholar] [CrossRef]
- NTE INEN 1578; Hormigón de Cemento Hidráulico. Determinación Del Asentamiento. Quito: Quito, Ecuador, 2010; Volume 1578.
- ASTM C143; Standard Test Method for Slump of Hydraulic-Cement Concrete 1. 2010; pp. 8–11. Available online: https://owlcation.com/humanities/ASTM-C143-The-Concrete-Slump-Test (accessed on 20 March 2024).
- 2011 NC 345; Hormigón Endurecido—Determinación de la Absorción de Agua Por Capilaridad. 2011; pp. 830–835. Available online: https://docplayer.es/85308079-Hormigon-endurecido-determinacion-de-la-absorcion-de-agua-por-capilaridad-hardened-concrete-determination-of-the-water-absorption-by-capillarity.html (accessed on 20 March 2024).
- Build, N.T. 492: Concrete, Mortar and Cement-Based Repair Materials: Chloride Migration Coefficient from Non-Steady-State Migration Experiments. Measurement 1999, 492, 1–8. [Google Scholar]
- NTE INEN 697; Áridos. Determinación Del Material Más Fino Que Pasa el Tamiz Con Aberturas de 75 um (No. 200), Mediante Lavado. Quito: Quito, Ecuador, 2010.
- NTE INEN 856; Áridos. Determinación de la Densidad, Densidad Relativa (Gravedad Específica) y Absorción Del Árido Fino. Quito: Quito, Ecuador,, 2010.
- NTE INEN 857; Áridos. Determinación de la Densidad, Densidad Relativa (Gravedad Específica) y Absorción Del Árido Grueso. Quito: Quito, Ecuador, 2010.
- NTE INEN 858; Áridos. Determinación de la Masa Unitaria (Peso Volumétrico) y el Porcentaje de Vacíos. Quito: Quito, Ecuador, 2010.
- NTE INEN 862; Áridos Para Hormigón. Determinación Del Contenido Total De Humedad. Quito: Quito, Ecuador, 2011.
- NTE INEN-696; Áridos. Análisis Granulométrico en Los Áridos, Fino y Grueso. Quito: Quito, Ecuador, 2011.
- Melorose, J.; Perroy, R.; Careas, S. Norma Ecuatoriana De La Construcción—Estructuras De Hormigon Armado. In Climate Change 2013 – The Physical Science Basis; Cambridge University Press: Cambridge, UK, 2015; Volume 1, p. 31. [Google Scholar] [CrossRef]
- Salinas Climate-Data, Clima Salinas. 2021. Available online: https://es.climate-data.org/america-del-sur/ecuador/santa-elena-province/salinas-25474/ (accessed on 31 January 2024).
- NC-355; Determination of the Carbonation Depth of Hardened Concretes and Placed in Service, Cuba. 2004. Available online: https://descargas.epconsgtmo.co.cu/Normalizacion%20Actualizadas/Normas%20de%20la%20construccion/Normas%20Materias%20Primas/Hormigon/NC%20355.pdf (accessed on 31 January 2024).
- Andrade, C. Resistivity, Resistivity test criteria for durability design and quality control of concrete in chloride exposures. Concr. Aust. 2012, 40, 57–64. [Google Scholar]
- Hunkeler, F. The resistivity of pore water solution-a decisive parameter of rebar corrosion and repair methods. Constr. Build. Mater. 1996, 10, 381–389. [Google Scholar] [CrossRef]
- Angst, U.M.; Elsener, B. On the applicability of the wenner method for resistivity measurements of concrete. ACI Mater. J. 2014, 11, 661–672. [Google Scholar] [CrossRef]
- Díaz, B.; Freire, L.; Nóvoa, X.R.; Puga, B.; Vivier, V. Cement and Concrete Research Resistivity of cementitious materials measured in diaphragm migration cells: The effect of the experimental set-up. Cem. Concr. Res. 2010, 40, 1465–1470. [Google Scholar] [CrossRef]
- Poon, C.S.; Kou, S.C.; Lam, L. Compressive strength, chloride diffusivity and pore structure of high performance metakaolin and silica fume concrete. Constr. Build. Mater. 2006, 20, 858–865. [Google Scholar] [CrossRef]
- Glasser, F.P.; Marchand, J.; Samson, E. Durability of concrete—Degradation phenomena involving detrimental chemical reactions. Cem. Concr. Res. 2008, 38, 226–246. [Google Scholar] [CrossRef]
- Dhandapani, Y.; Santhanam, M. Investigation on the microstructure-related characteristics to elucidate performance of composite cement with limestone-calcined clay combination. Cem. Concr. Res. 2020, 129, 105959. [Google Scholar] [CrossRef]
- Scrivener, K.; Avet, F.; Maraghechi, H.; Zunino, F.; Ston, J.; Hanpongpun, W.; Favier, A. Impacting factors and properties of limestone calcined clay cements (LC3). Green Mater. 2019, 7, 3–14. [Google Scholar] [CrossRef]
- Scrivener, K.; Martirena, F.; Bishnoi, S.; Maity, S. Calcined clay limestone cements (LC3). Cem. Concr. Res. 2018, 114, 49–56. [Google Scholar] [CrossRef]
- Andrade, C.; Andrea, R.D. La resistividad eléctrica como parámetro de control del hormigón y de su durabilidad. Alconpat 2012, 2, 186–199. [Google Scholar] [CrossRef][Green Version]
- Díaz, E.; González, R.; Rocha, D.; Alujas, A.; Martirena, F. Carbonation of concrete with low carbon cement LC3 exposed to different environmental conditions. RILEM Bookseries 2018, 16, 141–146. [Google Scholar] [CrossRef]
- Vizcaíno Andrés, L.M. Cemento de Bajo Carbono a Partir del Sistema Cementicio Ternario Clínquer-Arcilla Calcinada-Caliza; Universidad Central Marta Abreu De Las Villas: Santa Clara, Cuba, 2014. [Google Scholar]
- Hernández, A.P. Influencia de Los Procedimientos de Molienda del Cemento de Bajo Carbono Sobre la Distribución de Tamaño de Partículas y Su Impacto en Las Propiedades del Cemento y del Hormigón en Estado Fresco y Endurecido; Universidad Central Marta Abreu De Las Villas: Santa Clara, Cuba, 2019. [Google Scholar]
- Antoni, M.; Henocq, P.; Scrivener, K. Transport Properties of Blends including High Amount of Calcined Clays and Limestone. 2013. Available online: https://infoscience.epfl.ch/record/190756?v=pdf (accessed on 20 March 2024).
- Maraghechi, H.; Avet, F.; Wong, H.; Kamyab, H.; Scrivener, K. Performance of Limestone Calcined Clay Cement (LC3) with various kaolinite contents with respect to chloride transport. Mater. Struct. 2018, 51, 125. [Google Scholar] [CrossRef]
- Thiery, M. Modélisation de la Carbonatation Atmosphérique des Matériaux Cimentaires: Prise en Compte des Effets Cinétiques et des Modifications Microstructurales et Hydriques. 2005. Available online: https://www.semanticscholar.org/paper/Mod%C3%A9lisation-de-la-carbonatation-atmosph%C3%A9rique-des-Thiery-Dangla/f184c78fc52816e534e4bab45e8ccc080b93d5ac (accessed on 20 March 2024).
- Martínez-Ramírez, S.; Fernández-Carrasco, L. Carbonation of ternary cement systems. Constr. Build. Mater. 2012, 27, 313–318. [Google Scholar] [CrossRef]
- Costa, A.; Appleton, J. Concrete carbonation and chloride penetration in a marine environment. Concr. Sci. Eng. 2001, 3, 242–249. [Google Scholar]
- Glasser, F.P.; Matschei, T. Interactions Between Portland Cement and Carbon Dioxide. In Proceedings of the 12th International Congress on the Chemistry of Cement, Montreal, QC, Canada, 8–13 July 2007. [Google Scholar]
- Saetta, A.V.; Schrefler, B.A.; Vitaliani, R.V. Moisture, heat and carbon dioxide flow. Cem. Concr. Res. 1993, 23, 761–772. [Google Scholar] [CrossRef]
- Frías, M.; Goñi, S. Accelerated carbonation effect on behaviour of ternary Portland cements. Compos. Part B Eng. 2013, 48, 122–128. [Google Scholar] [CrossRef]
- Kanamarlapudi, L. Different Mineral Admixtures in Concrete—A Review—Enhanced Reader; Springer Nature: Berlin, Germany, 2020; Volume 2, p. 760. [Google Scholar]
- Ayub, T.; Shafiq, N.; Khan, S.U.; Nuruddin, M.F. Durability of Concrete with Different Mineral Admixtures: A Review. Civ. Sci. Eng. 2013, 7. [Google Scholar]
- Licor Cebey, A. Título Evaluación de la Carbonatación en Hormigones Elaborados con Cemento de Bajo Carbono LC 3; Universidad Central Marta Abreu de Las Villas: Santa Clara, Cuba, 2016. [Google Scholar]
Disclaimer/Publisher’s Note: The statements, opinions and data contained in all publications are solely those of the individual author(s) and contributor(s) and not of MDPI and/or the editor(s). MDPI and/or the editor(s) disclaim responsibility for any injury to people or property resulting from any ideas, methods, instructions or products referred to in the content. |
© 2024 by the authors. Licensee MDPI, Basel, Switzerland. This article is an open access article distributed under the terms and conditions of the Creative Commons Attribution (CC BY) license (https://creativecommons.org/licenses/by/4.0/).











