Analysis of Long-Term Thermo–Hydro–Mechanical Behavior in the Near-Field of a Deep Geological Repository System
Abstract
1. Introduction
2. Description of the Investigated Hypothetical DGR
3. Conceptual and Numerical Modeling of the DGR
3.1. Modeling Methodology of HM and TM Analysis
- The results of the saturation distribution obtained at the end of the preclosure stage were applied as initial conditions for the postclosure stage;
- A water saturation of 60% was assigned for bentonite backfill materials;
- Subsequently, the model was simulated until full saturation was achieved.
3.2. Governing Equations
3.2.1. Hydraulic Model
3.2.2. Thermal Model
3.2.3. Mechanical Model
3.2.4. Hydromechanical Coupling
3.2.5. Thermomechanical Coupling
3.3. Geometry of the Analyzed Model
3.4. Initial and Boundary Conditions
3.5. Material Properties and Model Parameters
Heat Source
4. Results
4.1. Hydraulic Response
4.2. Development of Stress Distributions
4.3. Sensitivity Analysis of HM Response
4.3.1. Effect of Permeability of the Rock Formation
4.3.2. Effect of Permeability of Bentonite
4.3.3. Effect of the NSM Parameter
4.4. Thermal Response
4.5. Thermomechanical Plastic Failure Analysis
4.6. Thermomechanical Analysis—Temperature-Dependent Modulus of Elasticity
4.7. Summary of Sensitivity Analysis of Key Parameters in DGR Systems
5. Conclusions
Author Contributions
Funding
Data Availability Statement
Conflicts of Interest
References
- NWMO. RD 2019–NWMO’s Program for Research and Development for Long-Term Management of Used Nuclear Fuel; NWMO: Toronto, ON, Canada, 2019. [Google Scholar]
- NWMO. OPG’s Deep Geologic Repository for Low and Intermediate Level Waste: Preliminary Safety Report; NWMO: Toronto, ON, Canada, 2011. [Google Scholar]
- Abootalebi, P.; Siemens, G. Thermal Properties of Engineered Barriers for a Canadian Deep Geological Repository. Can. Geotech. J. 2018, 55, 759–776. [Google Scholar] [CrossRef]
- Wang, Q.; Tang, A.M.; Cui, Y.J.; Delage, P.; Gatmiri, B. Experimental Study on the Swelling Behaviour of Bentonite/Claystone Mixture. Eng. Geol. 2012, 124, 59–66. [Google Scholar] [CrossRef]
- Plúa, C.; Vu, M.N.; Armand, G.; Rutqvist, J.; Birkholzer, J.; Xu, H.; Guo, R.; Thatcher, K.E.; Bond, A.E.; Wang, W.; et al. A Reliable Numerical Analysis for Large-Scale Modelling of a High-Level Radioactive Waste Repository in the Callovo-Oxfordian Claystone. Int. J. Rock Mech. Min. Sci. 2021, 140, 104574. [Google Scholar] [CrossRef]
- Lee, C.; Lee, J.; Park, S.; Kwon, S.; Cho, W.J.; Kim, G.Y. Numerical Analysis of Coupled Thermo-Hydro-Mechanical Behavior in Single- and Multi-Layer Repository Concepts for High-Level Radioactive Waste Disposal. Tunn. Undergr. Space Technol. 2020, 103, 103452. [Google Scholar] [CrossRef]
- Radakovic-Guzina, Z.; Damjanac, B.; Lam, T.; Kasani, H.A. Numerical Simulation of Long-Term Performance of Deep Geological Repository Placement Rooms in Crystalline and Sedimentary Rocks. Comput Geotech 2023, 157, 105348. [Google Scholar] [CrossRef]
- Guo, R. Thermal Response of a Mark II Conceptual Deep Geological Repository in Crystalline Rock; Nuclear Waste Mangement Organization (NWMO): Toronto, ON, Canada, 2016. [Google Scholar]
- Nasir, O.; Brennan, G.; Oh, W.T. Near-Field Thermo-Mechanical Coupled Processes in Host Rocks of High-Level Waste Deep Geological Repositories. In Proceedings of the 72nd Canadian Geotechnical Conference (GeoSt. John’s 2019), St. John’s, NL, Canada, 29 September–2 October 2019. [Google Scholar]
- Thatcher, K.E.; Bond, A.E.; Robinson, P.; McDermott, C.; Fraser Harris, A.P.; Norris, S. A New Hydro-Mechanical Model for Bentonite Resaturation Applied to the SEALEX Experiments. Env. Earth Sci. 2016, 75, 974. [Google Scholar] [CrossRef]
- Gobien, M.; Garisto, F.; Kremer, E. Fifth Case Study: Reference Data and Codes; Nuclear Waste Mangement Organization (NWMO): Toronto, ON, Canada, 2013. [Google Scholar]
- Gobien, M.; Garisto, F.; Kremer, E.; Medri, C. Sixth Case Study Reference Data and Codes; NWMO-TR-2016-10 M; Nuclear Waste Mangement Organization (NWMO): Toronto, ON, Canada, 2016. [Google Scholar]
- Coulson, C.T.L. Experimental and Numerical Investigation of Coupled Thermo-Mechanical Processes in Porous Media, with Applications to Deep Geological Repositories. Master’s Thesis, University of New Brunswick, Fredericton, NB, Canada, 2023. [Google Scholar]
- Bajestani, M.S.; Nasir, O. An Experimental Investigation on Thermal Properties of Compacted Bentonite. In Proceedings of the 74th Canadian Geotechnical Conference (GeoNiagara 2021), Niagara Falls, ON, Canada, 26–29 September 2021. [Google Scholar]
- Jung, Y.; Pau, G.S.H.; Finsterle, S.; Doughty, C. TOUGH3 User’s Guide; University of California: Berkeley, CA, USA, 2018; Volume 31. [Google Scholar]
- van Genuchten, M.T. Closed-Form Equation for Predicting the Hydraulic Conductivity of Unsaturated Soils. Soil Sci. Soc. Am. J. 1980, 44, 892–898. [Google Scholar] [CrossRef]
- Mualem, Y. Hysteretical Models for Prediction of the Hydraulic Conductivity of Unsaturated Porous Media. Water Resour. Res. 1976, 12, 1248–1254. [Google Scholar] [CrossRef]
- Nasir, O.; Calder, N.; Walsh, R.; Avis, J. A Concept for Modelling Evolution of Permeability in Re-hydrating Bentonite. In Proceedings of the 70th Canadian Geotechnical Conference (GeoOttawa 2017), Ottawa, ON, Canada, 1–4 October 2017. [Google Scholar]
- Xie, M.; Agus, S.S.; Schanz, T.; Kolditz, O. An Upscaling Method and a Numerical Analysis of Swelling/Shrinking Processes in a Compacted Bentonite/Sand Mixture. Int. J. Numer. Anal. Methods Geomech. 2004, 28, 1479–1502. [Google Scholar] [CrossRef]
- Campbell, A.; Hanania, J.; Jenden, J.; Donev, J. Law of Conservation of Energy. Retrieved from Energy Education. 2020. Available online: https://energyeducation.ca/encyclopedia/law_of_conservation_of_energy (accessed on 1 September 2024).
- Nguyen, T.S. Computational Modelling of Thermal-Hydrological-Mechani. Ph.D. Thesis, McGill University, Montreal, QC, Canada, 1995. [Google Scholar]
- Nasir, O. Coupled Thermo-Hydro-Mechanical-Chemical (THMC) Responses of Ontario’s Host Sedimentary Rocks for Nuclear Waste Repositories to Past and Future Glaciations and Deglaciations. Ph.D. Thesis, University of Ottawa-Faculty of Engineering, Ottawa, ON, Canada, 2013. [Google Scholar]
- Itasca Consulting Group, Inc. FLAC3D—Fast Lagrangian Analysis of Continua in Three-Dimensions, Ver. 7.0; Itasca: Minneapolis, MN, USA, 2019. [Google Scholar]
- Bajestani, M.S.; Nasir, O. New Swelling Constitutive Model in FLAC3D. In Proceedings of the 6th Itasca Symposium on Applied Numerical Modeling, Minneapolis, MN, USA, 2 June 2024; Hazzard, J., Nelson, M., Katsaga, T., Sanftenberg, J., Eds.; Itasca International, Inc.: Minneapolis, MN, USA, 2024. ISBN 978-0-9767577-6-4. [Google Scholar]
- Bajestani, M.S.; Nasir, O. Numerical and Experimental Investigation of Bentonite-Sand Mixtures. In Proceedings of the 73rd Canadian Geotechnical Conference (GeoVirtual 2020), Virtual, 14–16 September 2020. [Google Scholar]
- Calder, N.; Calder, N.; Avis, J.; Raven, K.; Jackson, D.; Parmenter, A. Technical Report Two-Phase Flow Parameters Determined from DGR-2, DGR-3 and DGR-4 Laboratory Petrophysical Data, TR-08-33March 2011. Available online: https://archive.opg.com/pdf_archive/Deep%20Geologic%20Repository%20Documents/Site%20Characterization%20Technical%20Reports/D130_TR-08-33_DGR-3_and_DGR-4_Two_Phase_Flow_Parameters_R0.pdf (accessed on 30 May 2022).
- Man, A.; Martino, J.B. Thermal, Hydraulic and Mechanical Properties of Sealing Materials; Atomic Energy of Canada Limited: Chalk River, ON, Canada, 2009. [Google Scholar]
- Tait, J.C.; Morrison, C.A.; Roman, H. Characteristics and Radionuclide Inventories of Used Fuel from OPG Nuclear Generating Stations; Ontario Power Generation: Toronto, ON, Canada, 2000. [Google Scholar]
- Cheng, Y.C.; Jiang, P. Sensitive Analysis of Factors Affecting Soil Slope Stability. Appl. Mech. Mater. 2012, 170–173, 1072–1075. [Google Scholar] [CrossRef]
- Yong, S.; Maloney, S. An Update to the Canadian Shield Stress Database; Nuclear Waste Management Organization (NWMO): Toronto, ON, Canada, 2015. [Google Scholar]
- ANDRA. Available online: https://www.andra.fr/ (accessed on 30 May 2022).
- NWMO. Available online: https://www.nwmo.ca/ (accessed on 30 May 2022).
- SKB. Available online: https://www.skb.com/ (accessed on 30 May 2022).
- Cui, Y.J.; Tang, A.M.; Loiseau, C.; Delage, P. Determining the Unsaturated Hydraulic Conductivity of a Compacted Sand–Bentonite Mixture Under Constant-Volume and Free-Swell Conditions. Phys. Chem. Earth Parts A/B/C 2008, 33, S462–S471. [Google Scholar] [CrossRef]
- Wang, Q.; Cui, Y.J.; Tang, A.M.; Barnichon, J.D.; Saba, S.; Ye, W.M. Hydraulic Conductivity and Microstructure Changes of Compacted Bentonite/Sand Mixture during Hydration. Eng. Geol. 2013, 164, 67–76. [Google Scholar] [CrossRef]
- Dixon, D.A.; Gray, M.N.; Graham, J. Swelling and Hydraulic Properties of Bentonites from Japan, Canada and the USA. In Proceedings of the Environmental Geotechnics, Osaka, Japan, 5–8 November 1996; pp. 43–48. [Google Scholar]
- Komine, H.; Ogata, N. Experimental Study on Swelling Characteristics of Sand-Bentonite Mixture for Nuclear Wastw Disposal. Chem. Pharm. Bull. 1999, 17, 1460–1462. [Google Scholar]
- NWMO. Adaptive Phased Management Postclosure Safety Assessment of a Used Fuel Repository in Sedimentary Rock; Pre-Projec.; NWMO: Toronto, ON, Canada, 2013. [Google Scholar]






























| Stage | Modeling Process | Initial Conditions | Boundary Conditions |
|---|---|---|---|
| Preclosure | Mechanical | In situ stress is applied at a depth of 500 m including 23 MPa and 15 MPa in the x and y directions, respectively [8]. | The top boundary is free, the bottom boundary is fixed, and the side boundaries are roller. Inside the room is free. |
| Hydraulic | The hydrostatic pore water is applied and fully saturated. | Zero pressure is applied at the top boundary and saturation of 80% at the boundary of the room. | |
| Postclosure | Mechanical | The stress distribution of the end of 50 years of excavation is applied. | The top boundary is free, the bottom boundary is fixed, and the side boundaries are roller. |
| Hydraulic | The pore water and saturation distribution of the end of 50 years of excavation are applied with a saturation of 60% at the room backfill. | Zero pressure is applied at the top boundary. | |
| Thermal | A temperature of 5 °C is maintained at the ground surface with a 0.012 °C/m gradient downwards through the model, resulting in a temperature of 11 °C at the elevation of the room bottom. | A fixed temperature is maintained at the top and bottom sides, while the other sides are free. |
| Parameter | Buffer Box | Backfill | Gap Fill | UFC | Rock |
|---|---|---|---|---|---|
| Density (kg/m3) | 1700 | 1400 | 1400 | 7800 | 2500 |
| (-) | 0.4 | 0.48 | 0.48 | - | 0.015 |
| (-) | 0.38 | 0.38 | 0.38 | - | - |
| and (-) | = 1.1 and = 1 | = 1.1 and = 1 | = 1.1 and = 1 | - | - |
| (saturated permeability, m2) | 3.5 × 10−19 | 3.5 × 10−19 | 3 × 10−18 | - | 9 × 10−20 |
| 4 × 10−19 | 1 × 10−18 | 1 × 10−18 | - | - | |
| 2 × 10−18 | 2 × 10−17 | 2 × 10−17 | - | - | |
| van Genuchten parameter | m = 0.29, n = 2.5, α = 1.4 × 10−7, and Slr = 1 × 10−3 | m = 0.29, n = 2.5, α = 1.4 × 10−7, and Slr = 1 × 10−3 | m = 0.29, n = 2.5, α = 1.4 × 10−7, and Slr = 1 × 10−3 | - | m = 1.69, n = 3.136, α = 1.62 × 10−8, and Slr = 0.06 |
| Modulus of elasticity (GPa) | 0.1 | 0.1 | 0.1 | 200 | 45 |
| Poisson’s ratio | 0.1 | 0.1 | 0.1 | - | 0.25 |
| Swell model parameters | a1 = 0.05, c1 = 0.07, SPCV =3 MPa | a1 = 0.05, c1 = 0.07 SPCV =3 MPa | a1 = 0.05, c1 = 0.07, SPCV = 3 MPa | - | - |
| Hoek–Brown parameters | - | - | - | - | mb = 11.5, si = 0.5, ai = 0.619, = 210 MPa |
| Thermal conductivity (W/mK) | 1.0 | 2 | 0.4 | 60.5 | 3 |
| Specific heat capacity (kJ/m3K) | 1280 | 1060 | 870 | 434 | 845 |
| Temperature (°C) | Rock Modulus Elasticity (MPa) | Bentonite Modulus Elasticity (MPa) |
|---|---|---|
| 20 | 8.55 | 168.11 |
| 50 | 7.71 | 132.33 |
| 75 | 8.60 | 67.63 |
| 100 | 8.22 | 56.20 |
| Time After Placement (Years) | Heat Output (W/Container) (Q/m3) | Volumetric Heat Output | Time After Placement (Years) | Heat Output (W/Container) (Q/m3) | Volumetric Heat Output |
|---|---|---|---|---|---|
| 0 | 169.092 | 290.98 | 120 | 46.108 | 79.34 |
| 5 | 155.232 | 267.13 | 130 | 44.075 | 75.85 |
| 10 | 142.296 | 244.87 | 170 | 38.716 | 66.62 |
| 15 | 131.208 | 225.79 | 270 | 32.802 | 56.45 |
| 20 | 121.968 | 209.89 | 470 | 26.888 | 46.27 |
| 25 | 112.728 | 193.99 | 970 | 18.665 | 32.11 |
| 30 | 105.336 | 181.27 | 1970 | 12.751 | 21.94 |
| 40 | 91.568 | 157.57 | 4970 | 9.24 | 15.9 |
| 45 | 85.932 | 147.88 | 9970 | 6.44 | 11.43 |
| 50 | 80.85 | 139.13 | 19,970 | 3.844 | 6.61 |
| 60 | 72.257 | 124.34 | 34,970 | 2.097 | 3.61 |
| 70 | 65.327 | 112.42 | 49,970 | 1.321 | 2.27 |
| 80 | 59.783 | 102.88 | 99,970 | 0.38 | 0.65 |
| 105 | 49.988 | 86.02 | 999,970 | 0.137 | 0.24 |
| Room Spacing (m) | Max Temp at Point A (°C) | Max Temp at Point B (°C) | Max Temp at Point C (°C) | Max Temp at Point D (°C) | Max Temp at Point E (°C) |
|---|---|---|---|---|---|
| 25 | 81.2 | 74.4 | 70.9 | 67.6 | 64 |
| 20 | 81.8 | 76.2 | 73.5 | 70.7 | 67.3 |
| 15 | 115 | 109.4 | 106.6 | 103.4 | 98.6 |
| 10 | 159.4 | 154.5 | 151.7 | 148.2 | 141.4 |
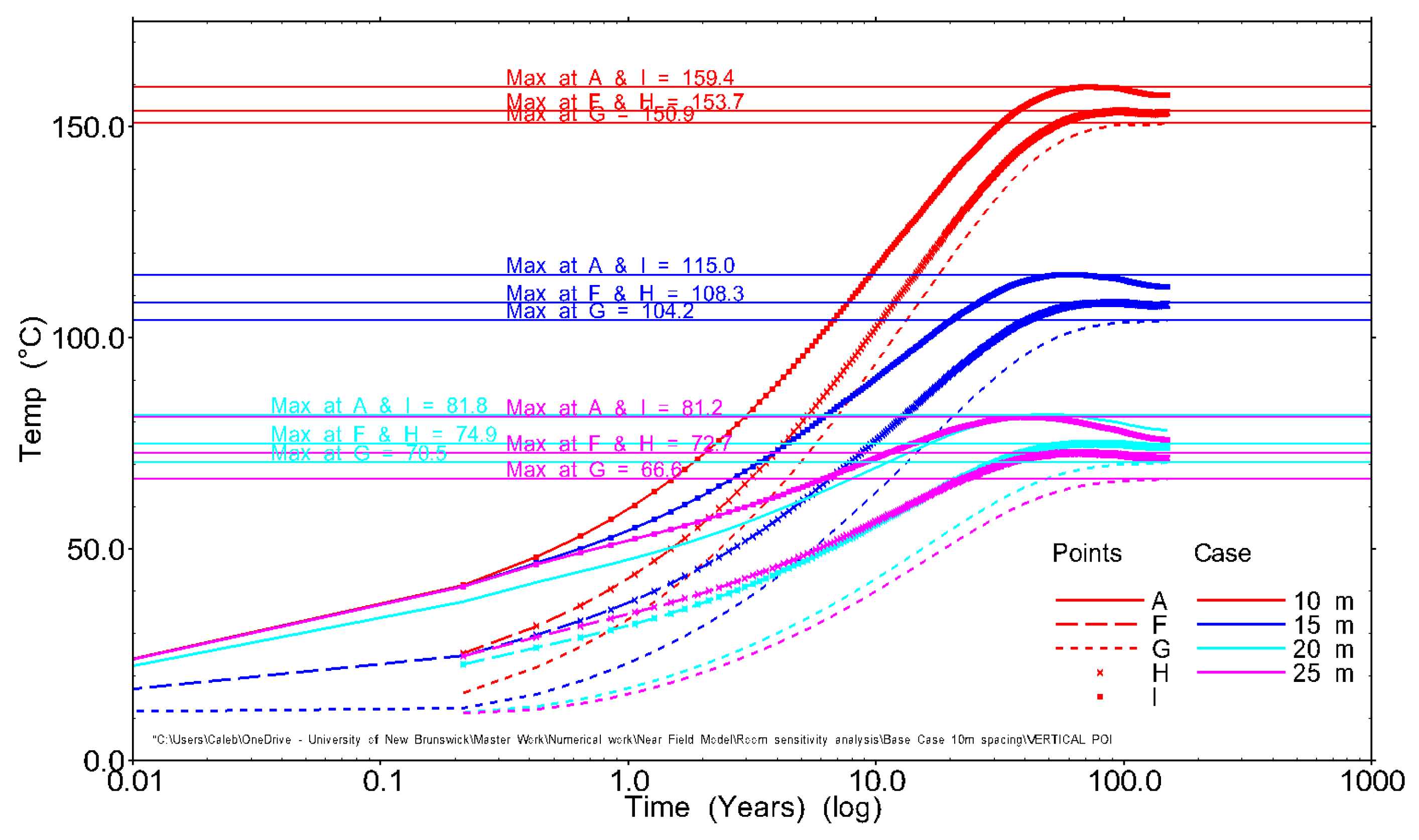
| Room Spacing (m) | Max Temp at Point A and I (°C) | Max Temp at Point F and H (°C) | Max Temp at Point G (°C) |
|---|---|---|---|
| 25 | 81.2 | 72.7 | 66.6 |
| 20 | 81.8 | 74.9 | 70.5 |
| 15 | 115 | 108.3 | 104.2 |
| 10 | 159.4 | 153.7 | 150.9 |
| Time | Minimum FOS |
|---|---|
| 1 day | 16.43 |
| 1 year | 14.39 |
| 10 years | 21.25 |
| 45 years | 13.69 |
| 100 years | 14.71 |
| 150 years | 13.66 |
| Section | Location of Section | Minimum FOS | Time of min FOS |
|---|---|---|---|
| a | 1 m above rooms | 16.8 | 45 years |
| b | Top of the rooms | 15.2 | 1 year |
| c | Center of rooms | 13.6 | 150 years |
| d | Bottom of rooms | 18.8 | 150 years |
| e | 1 m below rooms | 19.2 | 150 years |
| Time | Minimum FOS |
|---|---|
| 1 day | 18.35 |
| 1 year | 18.33 |
| 10 years | 15.77 |
| 45 years | 13.02 |
| 100 years | 13.77 |
| 150 years | 13.27 |
| Section | Location of Section | Minimum FOS | Time of min FOS |
|---|---|---|---|
| a | 1 m above rooms | 14.0 | 45 years |
| b | Top of the rooms | 13.6 | 1 year |
| c | Center of rooms | 13.0 | 150 years |
| d | Bottom of rooms | 13.6 | 150 years |
| e | 1 m below rooms | 14.0 | 150 years |
| Parameter | Variation/Range | Metric | Results | Key Observations |
|---|---|---|---|---|
| Permeability of Rock | to m2 | Saturation Time | - High permeability: 500 years - Low permeability: 20,000 years | Lower rock permeability significantly increases saturation time, reducing water flow into the system. |
| Permeability of Bentonite | to m2 | Saturation Time | - High permeability: 7500 years - Low permeability: 11,000 years | Lower bentonite permeability increases saturation time, impacting hydration efficiency. |
| Maximum Swelling Pressure (SPCV) | 1.5 MPa to 5.5 MPa | Strength/Stress Ratio | - High SPCV: Increased stress concentration near the room boundary. - Low SPCV: Stable strength/stress ratio. | High SPCV values increase swelling pressure, raising induced stress and failure risks. |
| Room Spacing (Geometry) | 25 m, 20 m, 15 m, 10 m | Maximum Temperature | - Wider spacing (25 m): Lower temperatures. - Narrower spacing (10 m): Higher temperatures. | Reducing room spacing increases temperature development, affecting thermal performance. |
| Model domain size | Far-field, near-field | Maximum Temperature | The far-field model had maximum temperatures at A of approximately 62.1 °C, while the near-field model reached peak temperatures of 81.8 °C. | Near-field model (simplified size, and detailed model) produced a higher and conservative case |
| Temperature-dependent mechanical properties | Elastic and plastic properties are temperature-dependent | Strength/Stress Ratio | FOS from the time of initial placement to the time of maximum temperature (approximately 45 years post placement) reduced by about 5% | Negligible effect |
Disclaimer/Publisher’s Note: The statements, opinions and data contained in all publications are solely those of the individual author(s) and contributor(s) and not of MDPI and/or the editor(s). MDPI and/or the editor(s) disclaim responsibility for any injury to people or property resulting from any ideas, methods, instructions or products referred to in the content. |
© 2024 by the authors. Licensee MDPI, Basel, Switzerland. This article is an open access article distributed under the terms and conditions of the Creative Commons Attribution (CC BY) license (https://creativecommons.org/licenses/by/4.0/).
Share and Cite
Bajestani, M.S.; Nasir, O.; Coulson, C. Analysis of Long-Term Thermo–Hydro–Mechanical Behavior in the Near-Field of a Deep Geological Repository System. Minerals 2024, 14, 1262. https://doi.org/10.3390/min14121262
Bajestani MS, Nasir O, Coulson C. Analysis of Long-Term Thermo–Hydro–Mechanical Behavior in the Near-Field of a Deep Geological Repository System. Minerals. 2024; 14(12):1262. https://doi.org/10.3390/min14121262
Chicago/Turabian StyleBajestani, Mahsa Shafaei, Othman Nasir, and Caleb Coulson. 2024. "Analysis of Long-Term Thermo–Hydro–Mechanical Behavior in the Near-Field of a Deep Geological Repository System" Minerals 14, no. 12: 1262. https://doi.org/10.3390/min14121262
APA StyleBajestani, M. S., Nasir, O., & Coulson, C. (2024). Analysis of Long-Term Thermo–Hydro–Mechanical Behavior in the Near-Field of a Deep Geological Repository System. Minerals, 14(12), 1262. https://doi.org/10.3390/min14121262
