Long-Lasting Magmatic, Metamorphic Events in the Cathaysia Block: Insights from the Geochronology and Geochemistry of Inherited Zircons in Jurassic A-Type Granites
Abstract
1. Introduction
2. Geological Background and Sample Description
3. Analytical Methods
3.1. Zircon U-Pb Dating and Trace-Element Analysis
3.2. Zircon Hf Isotope Analysis
4. Analytical Results
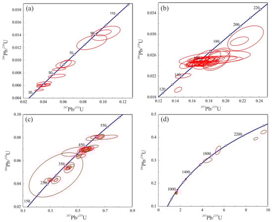
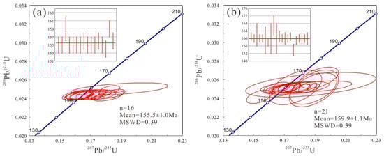
4.1. Zircon U-Pb Dating
4.2. Zircon Morphology
4.3. Zircon Trace Elements
4.4. Zircon Hf Isotope
5. Discussion
5.1. Zircon Genesis: Magmatic, Metamorphic, or Hydrothermal?
5.2. Zircon Host Rock Discrimination
5.3. Source and Tectonic Settings
5.4. Implications for Tectonic Evolution
6. Conclusions
- Based on U-Pb dating, zircons from the Laiziling and Jianfengling granites can be divided into four distinct age groups, <100 Ma, 200–100 Ma, 500–200 Ma, and >700 Ma, representing a range of geological events and processes.
- Trace element analysis revealed that the zircons aged <100 Ma are predominantly metamorphic recrystallized zircons. Those aged 200–100 Ma are primarily magmatic zircons formed during the crystallization of the Laiziling and Jianfengling A-type granites. Zircons aged 500–200 Ma and >700 Ma are inherited zircons, originally crystallized in S-type granites and basic rocks that formed in subduction-compression tectonic environments.
- The zircons in this study correspond to multiple significant tectonic events in the South China Block. Zircons older than 700 Ma crystallized in S-type granites and basic rocks formed during the Neoproterozoic amalgamation of the Yangtze and Cathaysia Blocks. Zircons aged 500–200 Ma were also crystallized in S-type granites and basic rocks during the Middle Paleozoic intracontinental orogenic event. Zircons aged 200–100 Ma represent magmatic activity linked to the subduction and exhumation of the Paleo-Pacific slab, forming the Laiziling and Jianfengling A-type granites. Zircons younger than 100 Ma indicate extensional metamorphic events from the Cretaceous to the Tertiary Eras.
- The Hf isotopic compositions of inherited zircons (500–200 Ma and >700 Ma) plot within the 1.6–2.5 Ga crustal evolution zone, suggesting that these zircons were derived from juvenile materials that originally separated from the depleted mantle reservoir during the Paleoproterozoic Era. This provides evidence for multiple re-melting events in the Paleoproterozoic basement of the Cathaysia Block.
Supplementary Materials
Author Contributions
Funding
Data Availability Statement
Acknowledgments
Conflicts of Interest
References
- Shu, X.J.; Wang, X.L.; Sun, T.; Chen, W.F.; Shen, W.Z. Crustal formation in the Nanling Range, South China craton: Hf isotope evidence of zircons from Phanerozoic granitoids. J. Asian Earth Sci. 2013, 74, 210–224. [Google Scholar] [CrossRef]
- Zhang, S.B.; Zheng, Y.F. Formation and evolution of Precambrian continental lithosphere in South China. Gondwana Res. 2013, 23, 1243–1260. [Google Scholar] [CrossRef]
- Li, X.H.; Li, Z.X.; Li, W.X. Detrital zircon U-Pb age and Hf isotope constrains on the generation and reworking of Precambrian continental crust in the Cathaysia Block, South China: A synthesis. Gondwana Res. 2014, 25, 1202–1215. [Google Scholar] [CrossRef]
- Zhao, G. Jiangnan Orogen in South China: Developing from divergent double subduction. Gondwana Res. 2015, 27, 1173–1180. [Google Scholar] [CrossRef]
- Xia, Y.; Xu, X.S.; Niu, Y.L.; Liu, L. Neoproterozoic amalgamation between Yangtze and Cathaysia blocks: The magmatism in various tectonic settings and continent-arc-continent collision. Precambrian Res. 2018, 309, 56–87. [Google Scholar] [CrossRef]
- Zhao, G.C.; Cawood, P.A. Precambrian geology of China. Precambrian Res. 2012, 222–223, 12–54. [Google Scholar] [CrossRef]
- Wang, J.; Shu, L.; Santosh, M. U-Pb and Lu-Hf isotopes of detrital zircon grains from Neoproterozoic sedimentary rocks in the central Jiangnan Orogen, South China: Implications for Precambrian crustal evolution. Precambrian Res. 2017, 294, 175–188. [Google Scholar] [CrossRef]
- Yu, J.H.; Wang, L.J.; O’Reilly, S.Y.; Griffin, W.L.; Zhang, M.; Li, C.Z.; Shu, L.S. A Paleoproterozoic orogeny recorded in a long-lived cratonic remnant (Wuyishan terrane), eastern Cathaysia Block, China. Precambrian Res. 2009, 174, 347–363. [Google Scholar] [CrossRef]
- Yu, J.H.; O’Reilly, S.Y.; Zhou, M.F.; Griffin, W.L.; Wang, L.J. U-Pb geochronology and Hf-Nd isotopic geochemistry of the Badu Complex, Southeastern China: Implications for the Precambrian crustal evolution and paleogeography of the Cathaysia Block. Precambrian Res. 2012, 222–223, 424–449. [Google Scholar] [CrossRef]
- Zhao, L.; Zhou, X.W.; Zhai, M.G.; Santosh, M.; Ma, X.D.; Shan, H.X.; Cui, X.H. Paleoproterozoic tectonic transition from collision to extension in the eastern Cathaysia Block, South China: Evidence from geochemistry, zircon U-Pb geochronology and Nd-Hf isotopes of a granite-charnockite suite in southwestern Zhejiang. Lithos 2014, 184–187, 259–280. [Google Scholar] [CrossRef]
- Yu, J.H.; O’Reilly, S.Y.; Wang, L.J.; Griffin, W.L.; Zhou, M.F.; Zhang, M.; Shu, L.S. Components and episodic growth of Precambrian crust in the Cathaysia Block, South China: Evidence from U-Pb ages and Hf isotopes of zircons in Neoproterozoic sediments. Precambrian Res. 2010, 181, 97–114. [Google Scholar] [CrossRef]
- Li, H.; Wu, J.; Evans, N.J.; Jiang, W.; Zhou, Z. Zircon geochronology and geochemistry of the Xianghualing A-type granitic rocks: Insights into multi-stage Sn-polymetallic mineralization in South China. Lithos 2018, 312–313, 1–20. [Google Scholar] [CrossRef]
- Yuan, D.; Tang, X.; Shi, X.; Bao, J.; Liu, K.; Fan, J.; Guo, Y. Zircon Geochronology and Geochemistry of the Taohualing Pluton in Northern Dabieshan and Their Tectonic Implications. J. Xinyang Norm. Univ. (Nat. Sci. Ed.) 2022, 35, 97–102, (In Chinese with English Abstract). [Google Scholar]
- Yao, J.; Shu, L.; Santosh, M. Detrital zircon U-Pb geochronology, Hf-isotopes and geochemistry-New clues for the Precambrian crustal evolution of Cathaysia Block, South China. Gondwana Res. 2011, 20, 553–567. [Google Scholar] [CrossRef]
- Li, S.L.; Lai, J.Q.; Xiao, W.Z.; Belousova, E.A.; Rushmer, T.; Zhang, L.J.; Ou, Q.; Liu, C.Y. Crustal growth event in the Cathaysia Block at 2.5 Ga: Evidence from chronology and geochemistry of captured zircons in Jurassic acidic dykes. Geol. Mag. 2021, 158, 567–582. [Google Scholar] [CrossRef]
- Xiao, W.; Liu, C.; Tan, K.; Duan, X.; Shi, K.; Sui, Q.; Feng, P.; Sami, M.; Ahmed, M.S.; Zi, F. Two Distinct Fractional Crystallization Mechanisms of A-Type Granites in the Nanling Range, South China: A Case Study of the Jiuyishan Complex Massif and Xianghualing Intrusive Stocks. Minerals 2023, 13, 605. [Google Scholar] [CrossRef]
- Li, Z.; Lei, X.; Han, Z.; Qiao, Q.; Yan, J. Geomorphic Characteristics of the Tongbai-Dabie Mountain Area and Their Indicative Significance. J. Xinyang Norm. Univ. (Nat. Sci. Ed.) 2023, 36, 523–527, (In Chinese with English Abstract). [Google Scholar]
- Mao, J.W.; Xie, G.Q.; Guo, C.L.; Chen, Y.C. Large-scale tungsten-tin mineralization in the Nanling region, South China: Metallogenic ages and corresponding geodyamic processes. Acta Petrol. Sin. 2007, 23, 2329–2338, (In Chinese with English Abstract). [Google Scholar]
- Xie, L.; Wang, Z.; Wang, R.; Zhu, J.; Che, X.; Gao, J.; Zhao, X. Mineralogical constraints on the genesis of W-Nb-Ta mineralization in the Laiziling granite (Xianghualing district, south China). Ore Geol. Rev. 2018, 95, 695–712. [Google Scholar] [CrossRef]
- Diao, X.; Wu, M.; Zhang, D.; Liu, J. Textural features and chemical evolution of Ta-Nb-W-Sn oxides in the Jianfengling Deposit, South China. Ore Geol. Rev. 2022, 142, 104690. [Google Scholar] [CrossRef]
- Liu, Y.; Gao, S.; Hu, Z.; Gao, C.; Zong, K.; Wang, D. Continental and oceanic crust recycling-induced melt-peridotite interactions in the trans-North china orogen: U-Pb dating, Hf isotopes and trace elements in zircons from mantle xenoliths. J. Petrol. 2010, 51, 537–571. [Google Scholar] [CrossRef]
- Hu, Z.; Liu, Y.; Chen, L.; Zhou, L.; Li, M.; Zong, K. Contrasting matrix induced elemental fractionation IN NIST SRM and rock glasses during laser ablation ICP-MS analysis at high spatial resolution. J. Anal. At. Spectrom. 2011, 26, 425–430. [Google Scholar] [CrossRef]
- Liu, Y.S.; Hu, Z.C.; Zong, K.Q.; Gao, C.G.; Gao, S.; Xu, J. Reappraisement and refinement of zircon U-Pb isotope and trace element analyses by LA-ICP-MS. Sci. Bull. 2010, 55, 1535–1546. [Google Scholar] [CrossRef]
- Andersen, T. Correction of common lead in U-Pb analyses that do not report 204Pb. Chem. Geol. 2002, 192, 59–79. [Google Scholar] [CrossRef]
- Ludwig, K.R. User’s Manual for Isoplot 3.00, A Geochronological Toolkit for Microsoft Excel; Berkeley Geo-chronology Center: Berkeley, CA, USA, 2003; Special Publication no. 4. [Google Scholar]
- Sun, S.S.; and Mcdonough, W.F. Chemical and isotopic systematics of oceanic basalts: Implications for mantle composition and processes. Geol. Soc. Lond. Spec. Publ. 1989, 42, 313–345. [Google Scholar] [CrossRef]
- Wu, Y.B.; Zheng, Y.F. Research on the zircon genetic mineralogy and constrains of the its U-Pb ages. Chin. Sci. Bull. 2004, 49, 1589–1604. (In Chinese) [Google Scholar] [CrossRef]
- Xiao, W.; Lai, J.; Jeffrey, M.; Mao, X.; Chen, Y.; Ou, Q.; Xie, F.; Zeng, R. Tectonic affinity and evolution of the Alxa Block during the Neoproterozoic: Constraints from zircon U-Pb. dating, trace elements, and Hf isotopic composition. Geol. J. 2018, 54, 3700–3719. [Google Scholar] [CrossRef]
- Zhang, C.; Li, C.; Jiang, J.; Qin, H.; Liu, M.; Zhou, H.; Shi, X. Geochemical Characteristics of REE and Trace Elements Compositions and Geological Significance of Longhuo Gold-antimony Deposit in Guangxi. J. Xinyang Norm. Univ. (Nat. Sci. Ed.) 2022, 35, 103–107, (In Chinese with English Abstract). [Google Scholar]
- Zhang, C.; Liu, Y.; Yao, Y.; Yan, Y.; Shi, X. Characteristics of Mineralogy and Its Implications for Ore-forming Mechanism of the Apalieke Cu-polymetallic Deposit in Xinjiang. J. Xinyang Norm. Univ. (Nat. Sci. Ed.) 2023, 36, 76–81, (In Chinese with English Abstract). [Google Scholar]
- Yang, F.; Santosh, M.; Tsunogae, T.; Tang, L.; Teng, X. Multiple magmatism in an evolving suprasubduction zone mantle wedge: The case of the composite mafic–ultramafic complex of Gaositai, North China Craton. Lithos 2017, 284–285, 525–544. [Google Scholar] [CrossRef]
- Tang, X.; Yang, W.; Yan, Y.; Guo, Y.; Zhang, Y.; Yang, L. Characteristics of Trace Elements in Pyrite and Their Implications for the Genesis of Yindongpo Gold Deposit in Henan Province. J. Xinyang Norm. Univ. (Nat. Sci. Ed.) 2023, 36, 445–450, (In Chinese with English Abstract). [Google Scholar]
- Zhao, K.D.; Jiang, S.Y.; Ling, H.F.; Palmer, M.R. Reliability of LA-ICP-MS U-Pb dating of zircons with high U concentrations: A case study from the U-bearing Douzhashan Granite in South China. Chem. Geol. 2014, 389, 110–121. [Google Scholar] [CrossRef]
- Zhao, Z.D.; Liu, D.; Wang, Q.; Zhu, D.C.; Dong, G.C.; Zhou, S.; Mo, X.X. Zircon trace elements and their use in probing deep processes. Earth Sci. Front. 2018, 25, 124–135, (In Chinese with English Abstract). [Google Scholar]
- Zeng, R.; Allen, B.M.; Mao, X.; Lai, J.; Yan, J.; Wu, J. Whole-rock and zircon evidence for evolution of the Late Jurassic high-Sr/Y Zhoujiapuzi granite, Liaodong Peninsula, North China Craton. Solid Earth 2022, 13, 1259–1280. [Google Scholar] [CrossRef]
- Hoskin, P.W.O.; Kinny, P.D.; Wyborn, D.; Chappell, B.W. Identifying accessory mineral saturation during differentiation in granitoid magmas: An integrated approach. J. Petrol. 2000, 41, 1365–1396. [Google Scholar] [CrossRef]
- Hoskin, P.W.O. Trac-element composition of hydrothermal zircon and the alteration of Hadean zircon from the Jack Hills, Australia. Geochim. Cosmochim. Acta 2005, 69, 637–648. [Google Scholar] [CrossRef]
- Hoskin, P.W.O.; Schaltegger, U. The composition of zircon and igneous and metamorphic petrogenesis. Rev. Mineral. Geochem. 2003, 53, 27–62. [Google Scholar] [CrossRef]
- Rollinson, H.R.; Windley, B.F. Selective elemental depletion during metamorphism of Archean granulites, Contrib. Mineral. Petrol. 1980, 72, 257–263. [Google Scholar] [CrossRef]
- Nozhkin, A.D.; Turkina, O.M. Radiogeochemistry of the charnokite-granulite complex, Sharyzhalgay Window, Siberian Platform. Geochem. Int. 1995, 32, 62–78. [Google Scholar]
- Keay, S.; Lister, G.; Buick, I. The timing of partial melting, Barrovian metamorphism and granite intrusion in the Naxos metamorphic core complex, Cyclades, Aegean Sea, Greece. Tectonophysics 2001, 342, 275–312. [Google Scholar] [CrossRef]
- Rubatto, D.; Gebauer, D. Use of cathodoluminescence for U-Pb zircon dating by IOM Microprobe: Some examples from the western Alps. In Cathodoluminescence in Geoscience; Springer: Berlin/Heidelberg, Germany, 2000; pp. 373–400. [Google Scholar]
- Vavra, G.; Schmid, R.; Gebauer, D. Internal morphology, habit and U-Th-Pb microanalysis of amphibole to granulite facies zircon: Geochronology of the Ivren Zone (Southern Alps). Contrib. Mineral. Petrol. 1999, 134, 380–404. [Google Scholar] [CrossRef]
- Pidgeon, R.T.; Nemchin, A.A.; Hitchen, G.J. Internal structures of zircons from Archaean granites from the Darling Range batholith: Implications for zircon stability and the interpretation of zircon U-Pb ages. Contrib. Mineral. Petrol. 1998, 132, 288–299. [Google Scholar] [CrossRef]
- Hoskin, P.W.O.; Black, L.P. Metamorphic zircon formation by solid-state recrystallization of protolith igneous zircon. J. Metamorph. Geol. 2000, 18, 423–439. [Google Scholar] [CrossRef]
- Tomaschek, F.; Kennedy, A.K.; Villa, I.M.; Lagos, M.; Ballhaus, C. Zircons from Syros, Cyclades, Greece-recrystallization and mobilization of zircon during high-pressure metamorphism. J. Petrol. 2003, 44, 1977–2002. [Google Scholar] [CrossRef]
- Belousova, E.; Griffin, W.; O’Reilly, S.Y.; Fisher, N. Igneous zircon: Trace element composition as an indicator of source rock type. Contrib. Mineral. Petrol. 2002, 143, 602–622. [Google Scholar] [CrossRef]
- El-Bialy, M.Z.; Ali, K.A. Zircon trace element geochemical constraints on the evolution of the Ediacaran (600–614 Ma) post-collisional Dokhan Volcanics and Younger Granites of SE Sinai, NE Arabian–Nubian Shield. Chem. Geol. 2013, 360–361, 54–73. [Google Scholar] [CrossRef]
- Wu, Q.; Cao, J.; Kong, H.; Shao, Y.; Li, H.; Xi, X.; Deng, X. Petrogenesis and tectonic setting of the early Mesozoic Xitian granitic pluton in the middle Qin-Hang Belt, South China: Constraints from zircon U-Pb ages and bulk-rock trace element and Sr-Nd-Pb isotopic compositions. J. Asian Earth Sci. 2016, 128, 130–148. [Google Scholar] [CrossRef]
- Wang, Q.; Zhu, D.C.; Zhao, Z.D.; Qi, G.; Zhang, X.Q.; Sui, Q.L.; Hu, Z.C.; Mo, X.X. Magmatic zircons from I-, S- and A-type granitoids in Tibet: Trace element characteristics and their application to detrital zircon provenance study. J. Asia Earth Sci. 2012, 54, 59–66. [Google Scholar] [CrossRef]
- Xie, F.; Xiao, W.; Sami, M.; Sanislav, V.I.; Ahmed, S.M.; Zhang, C.; Wang, Y.; Yan, B.; Hu, B.; Li, N.; et al. Tectonic evolution of the Northeastern Paleo-Tethys Ocean during the late Triassic: Insights from depositional environment and provenance of the Xujiahe formation. Front. Earth Sci. 2023, 12, 1444679. [Google Scholar] [CrossRef]
- Schultz, B.; Klemd, R.; Brätz, H. Host rock compositional controls on zircon trace element signatures in metabasites from the Austroalpine basement. Geochim. Cosmochim. Acta 2006, 70, 697–710. [Google Scholar] [CrossRef]
- Grimes, C.B.; John, B.E.; Kelemen, P.N.; Mazdab, F.K.; Wooden, J.L.; Cheadle, M.J.; Hanghoj, K.; Schwartz, J.J. Trace element chemistry of zircons from oceanic crust: A method for distinguishing detrital zircon provenance. Geology 2007, 35, 643–646. [Google Scholar] [CrossRef]
- Carley, T.L.; Miller, C.F.; Wooden, J.L.; Padilla, A.J.; Schmitt, A.K.; Economos, R.C.; Bindeman, I.N.; Jordan, B.T. Iceland is not a magmatic analog for the Hadean: Evidence from the zircon record. Earth Planet. Sci. Lett. 2014, 405, 85–97. [Google Scholar] [CrossRef]
- Grimes, C.B.; Wooden, J.L.; Cheadle, M.J.; John, B.E. “Fingerprinting” tectono-magmatic provenance using trace elements in igneous zircon. Contrib. Mineral. Petrol. 2015, 170, 46. [Google Scholar] [CrossRef]
- Yao, J.L.; Shu, L.S.; Santosh, M.; Zhao, G. Neoproterozoic arc-related mafic-Ultramafic rocks and syn-collision granite from the western segment of the Jiangnan Orogen, South China: Constraints on the Neoproterozoic assembly of the Yangtze and Cathaysia Blocks. Precambrian Res. 2014, 243, 39–62. [Google Scholar] [CrossRef]
- Wang, G.G.; Ni, P.; Yao, J.; Wang, X.L.; Zhao, K.D.; Zhu, R.Z.; Xu, Y.F.; Pan, J.Y.; Li, L.; Zhang, Y.H. The link between subduction-modified lithosphere and the giant Dexing porphyry copper deposit, South China: Constraints from high-Mg adakitic rocks. Ore Geol. Rev. 2015, 67, 109–126. [Google Scholar] [CrossRef]
- Wang, Y.; Zhang, F.; Fan, W.; Zhang, G.; Chen, S.; Cawood, P.A.; Zhang, A. Tectonic setting of the South China Block in the early paleozoic: Resolving intracontinental and ocean closure models from detrital zircon U-Pb geochronology. Tectonics 2010, 29, 1–16. [Google Scholar] [CrossRef]
- Faure, M.; Shu, L.S.; Wang, B.; Charvet, J.; Choulet, F.; Monie, P. Intracontinental subduction: A possible mechanism for the early palaeozoic orogen of SE China. Terra Nova 2009, 21, 360–368. [Google Scholar] [CrossRef]
- Charvet, J.; Shu, L.S.; Faure, M.; Choulet, F.; Bo, W.; Lu, H.; Breton, N.L. Structural development of the lower Paleozoic belt of South China: Genesis of an intracontinental orogeny. J. Asian Earth Sci. 2010, 39, 309–330. [Google Scholar] [CrossRef]
- Ou, Q.; Lai, J.Q.; Carvalho, B.B.; Zi, F.; Kong, H.; Li, B.; Jiang, Z.Q. Different response to middle-Palaeozoic magmatism during intracontinental orogenic processes: Evidence from southeastern South China Block. Int. Geol. Rev. 2019, 61, 1504–1521. [Google Scholar] [CrossRef]
- Mao, J.; Cheng, Y.; Chen, M.; Pirajno, F. Major types and time-space distribution of Mesozoic ore deposits in South China and their geodynamic settings. Miner. Depos. 2013, 48, 267–294. [Google Scholar]
- Li, H.; Palinkaš, A.L.; Watanabe, K.; Xi, X.S. Petrogenesis of Jurassic A-type granites associated with Cu-Mo and W-Sn deposits in the central Nanling region, South China: Relation to mantle upwelling and intra-continental extension. Ore Geol. Rev. 2018, 92, 449–462. [Google Scholar] [CrossRef]
- Liu, Y.; Lai, J.; Xiao, W.; Jeffrey, M.D.; Du, R.; Li, S.; Liu, C.; Wen, C.; Yu, X. Petrogenesis and mineralization significance of two-stage A-type granites in Jiuyishan, South China: Constraints from whole-rock geochemistry, mineral composition and zircon U-Pb-Hf isotopes. Acta Geol. Sin. (Engl. Ed.) 2019, 93, 874–900. [Google Scholar] [CrossRef]
- Hu, R.Z.; Bi, X.W.; Su, W.C.; Peng, J.T.; Li, C.Y. The relationship between uranium metallogenesis and crustal extension during the cretaceous-tertiary in South China. Earth Sci. Front. 2008, 11, 153–160. [Google Scholar]














Disclaimer/Publisher’s Note: The statements, opinions and data contained in all publications are solely those of the individual author(s) and contributor(s) and not of MDPI and/or the editor(s). MDPI and/or the editor(s) disclaim responsibility for any injury to people or property resulting from any ideas, methods, instructions or products referred to in the content. |
© 2024 by the authors. Licensee MDPI, Basel, Switzerland. This article is an open access article distributed under the terms and conditions of the Creative Commons Attribution (CC BY) license (https://creativecommons.org/licenses/by/4.0/).
Share and Cite
Xiao, W.; Zi, F.; Zhang, C.; Xie, F.; Sanislav, I.V.; Fnais, M.S.; Sami, M. Long-Lasting Magmatic, Metamorphic Events in the Cathaysia Block: Insights from the Geochronology and Geochemistry of Inherited Zircons in Jurassic A-Type Granites. Minerals 2024, 14, 1247. https://doi.org/10.3390/min14121247
Xiao W, Zi F, Zhang C, Xie F, Sanislav IV, Fnais MS, Sami M. Long-Lasting Magmatic, Metamorphic Events in the Cathaysia Block: Insights from the Geochronology and Geochemistry of Inherited Zircons in Jurassic A-Type Granites. Minerals. 2024; 14(12):1247. https://doi.org/10.3390/min14121247
Chicago/Turabian StyleXiao, Wenzhou, Feng Zi, Chenguang Zhang, Fenquan Xie, Ioan V. Sanislav, Mohammed S. Fnais, and Mabrouk Sami. 2024. "Long-Lasting Magmatic, Metamorphic Events in the Cathaysia Block: Insights from the Geochronology and Geochemistry of Inherited Zircons in Jurassic A-Type Granites" Minerals 14, no. 12: 1247. https://doi.org/10.3390/min14121247
APA StyleXiao, W., Zi, F., Zhang, C., Xie, F., Sanislav, I. V., Fnais, M. S., & Sami, M. (2024). Long-Lasting Magmatic, Metamorphic Events in the Cathaysia Block: Insights from the Geochronology and Geochemistry of Inherited Zircons in Jurassic A-Type Granites. Minerals, 14(12), 1247. https://doi.org/10.3390/min14121247

