Coupled Effects of Time and Temperature on the Rheological and Pipe Flow Properties of Cemented Paste Backfill
Abstract
1. Introduction
2. Materials and Methods
2.1. Materials
2.2. Sample Preparation
2.3. Experiment Method
2.3.1. Rheological Test
2.3.2. Numerical Simulation of CPB Pipeline Transportation
3. Results and Discussion
3.1. Rheological Test Results and Analysis
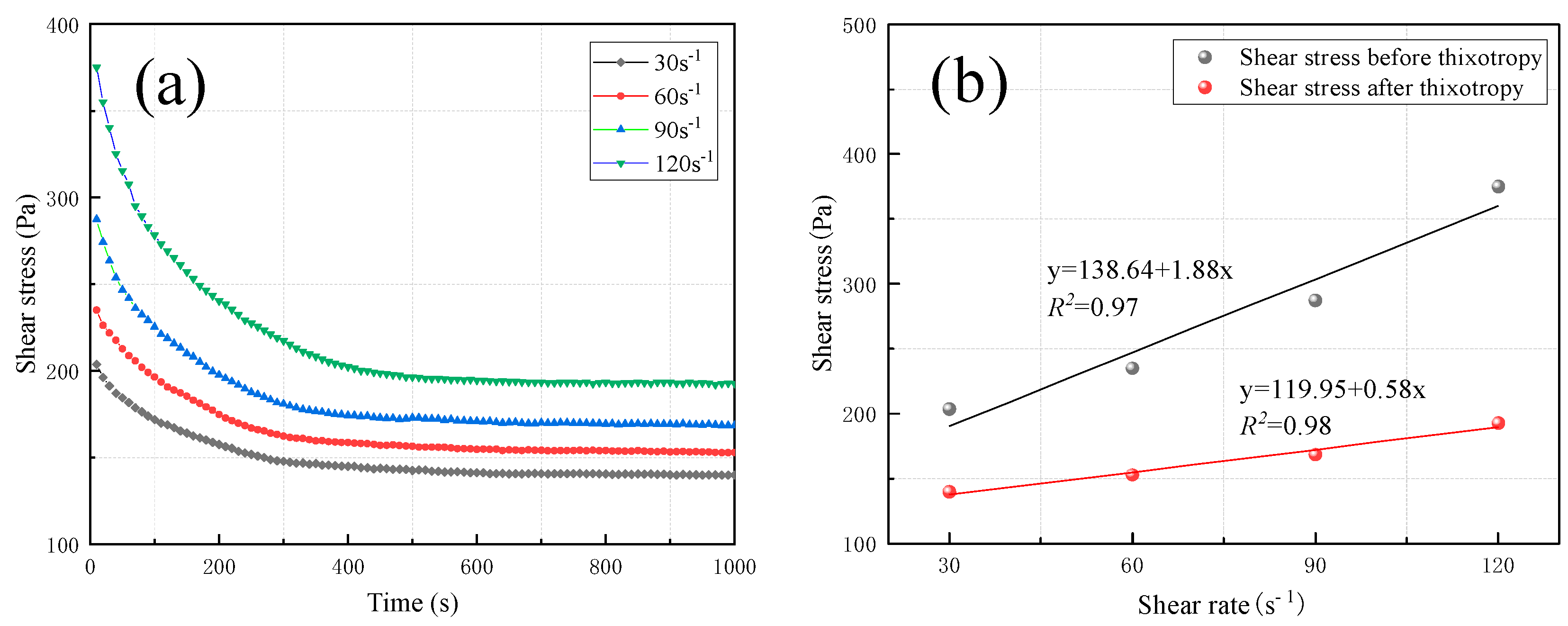
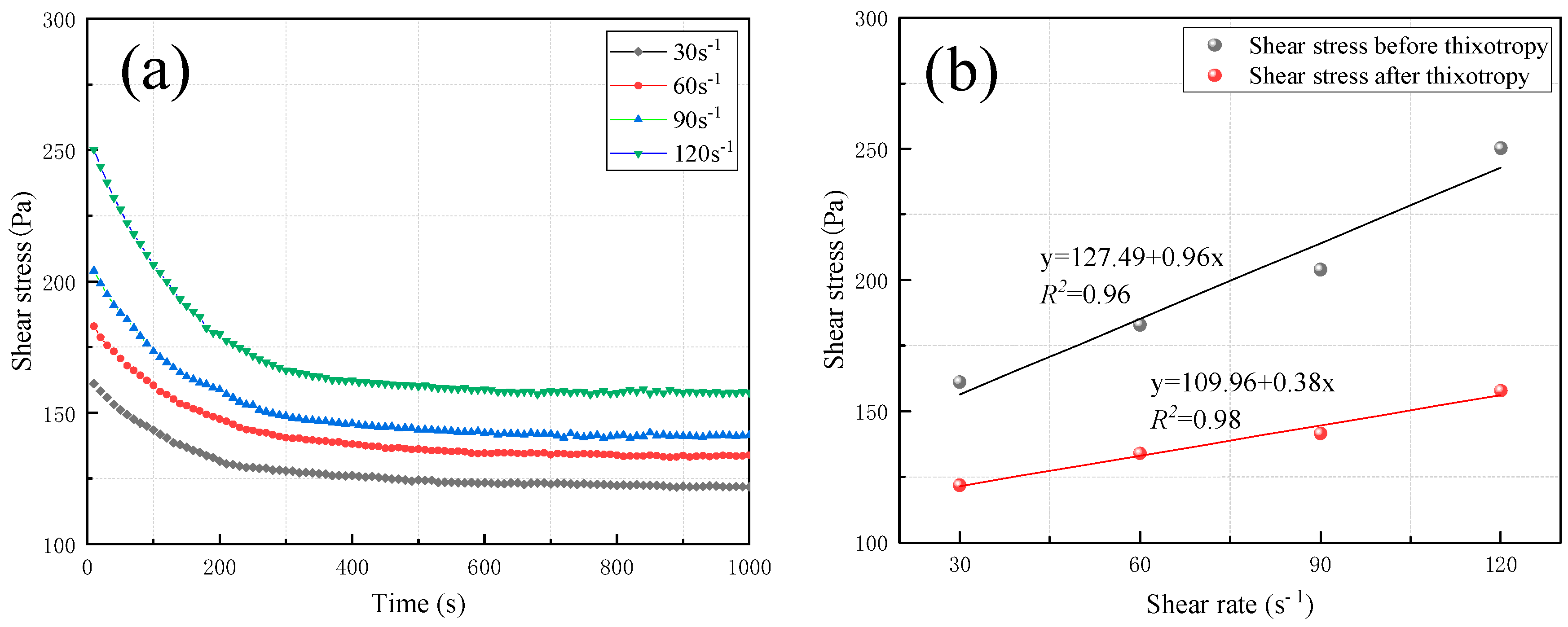
3.1.1. Shear Rate Ramp Loading Test Results and Analysis
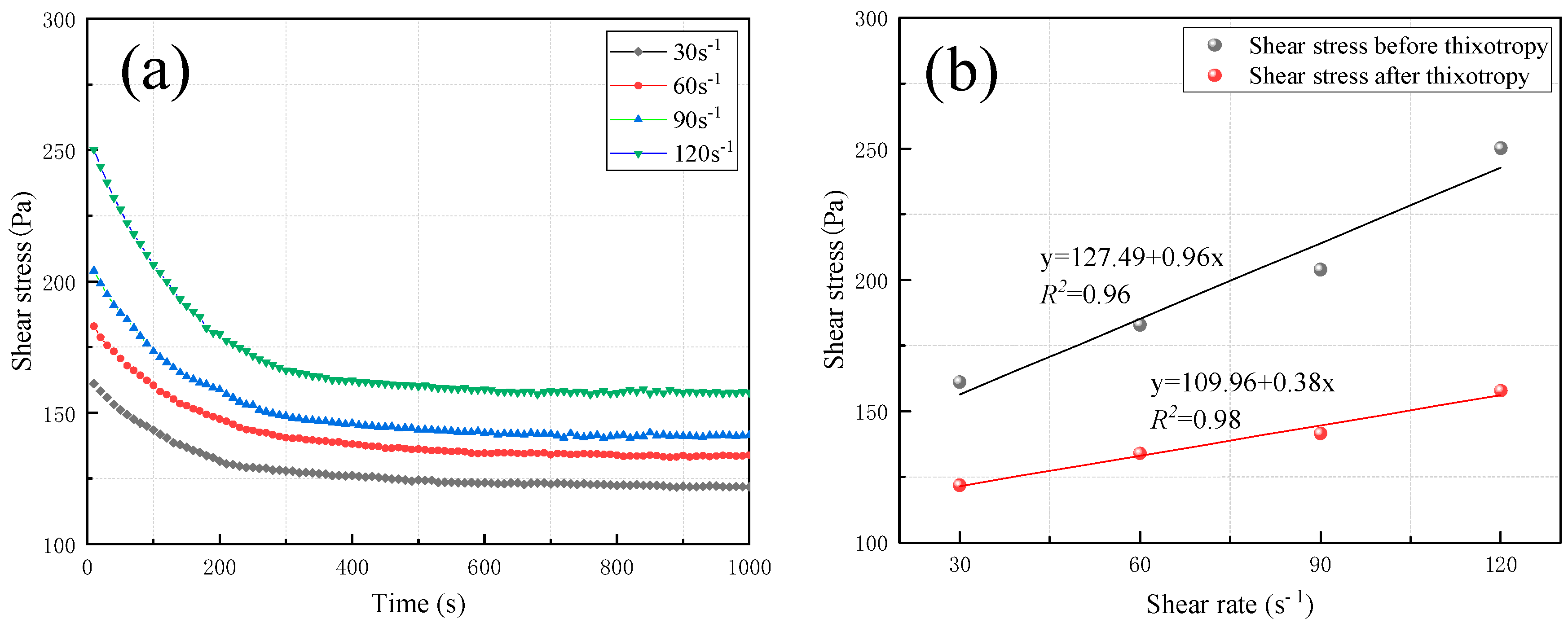
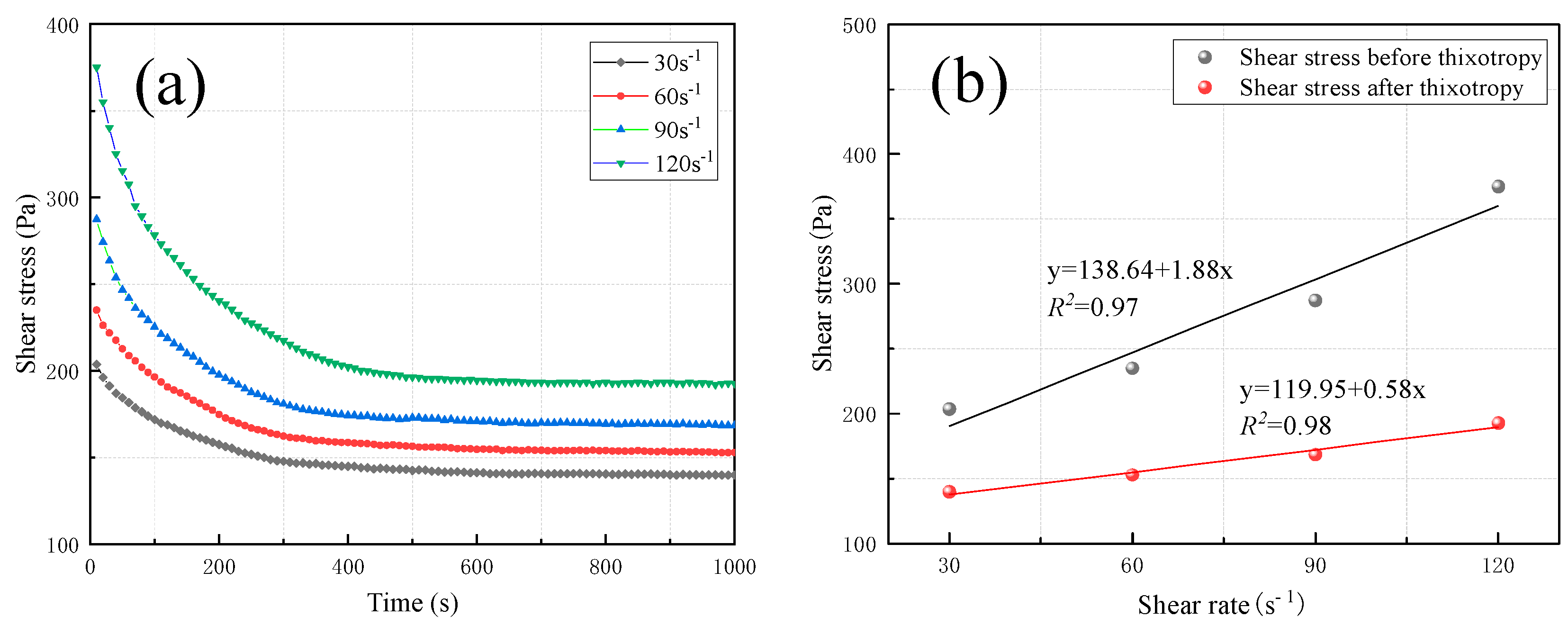
3.1.2. Shear Rate Constant Loading Test Results and Analysis
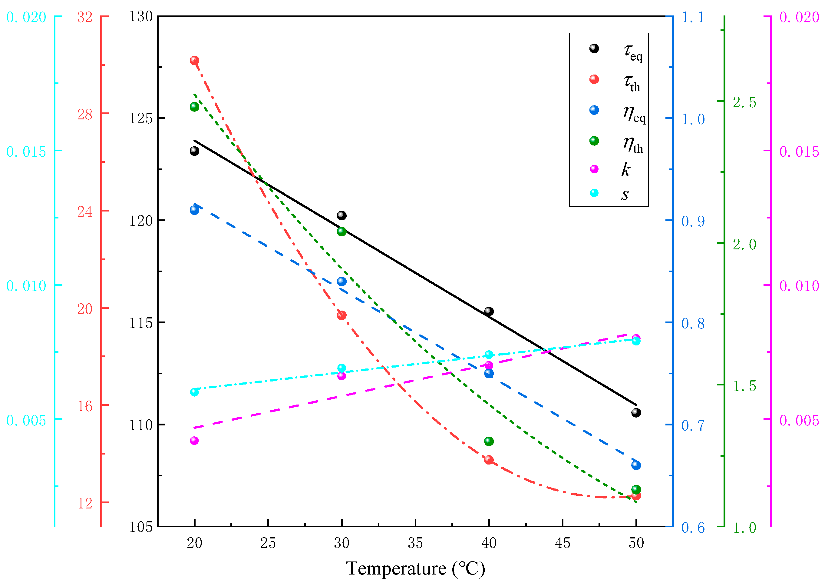
3.2. Rheological Model for CPB Considering Time-Dependent Rheological Behavior
3.3. Validation
4. Numerical Simulation Considering Time and Temperature
4.1. Model Assumption
4.2. Control Equations
4.3. Boundary Conditions
4.4. Pipe Flow Properties of CPB
4.4.1. Velocity Distribution of CPB Pipeline Transportation
4.4.2. CPB Pipeline Transportation Resistance at Different Temperatures
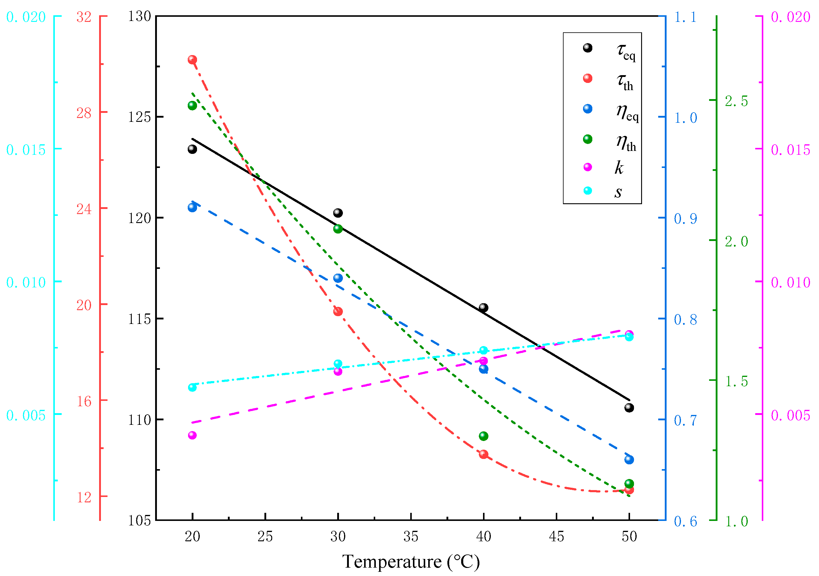
4.5. Time-Dependent Rheological Behavior of CPB
5. Conclusions
- CPB, as a non-Newtonian fluid, exhibits changes in its rheological properties influenced by both time and temperature. Traditional models overlook the time-dependent characteristics, whereas we have formulated a coupled model that incorporates the influences of temperature and time based on rheological experimental results.
- We embedded a coupled model considering temperature and time in numerical simulation software to achieve the three-dimensional visualization of the CPB pipeline transportation process. The findings revealed that CPB exhibits plug flow during pipeline transportation. In the plug flow zone, higher temperatures correspond to a reduced flow rate, whereas in the shear flow zone, the opposite holds true. Additionally, the pipeline resistance of CPB decreases with the increase in temperature.
- Temperature affects the time-dependent rheological behavior of CPB. Within the range of 20 °C~50 °C, it was observed that the higher the temperature, the less the rheology of CPB was affected by shear time. At the same shear time, the changes in plastic viscosity and yield stress were 1.6 Pa·s and 48.15 Pa, respectively, at 20 °C. When the temperature increased to 50 °C, the change in plastic viscosity was reduced to 0.58 Pa·s, and the change in yield stress was reduced to 12.53 Pa.
Author Contributions
Funding
Data Availability Statement
Acknowledgments
Conflicts of Interest
References
- Orejarena, L.; Fall, M. The use of artificial neural networks to predict the effect of sulphate attack on the strength of cemented paste backfill. Bull. Eng. Geol. Environ. 2010, 69, 659–670. [Google Scholar] [CrossRef]
- Qi, C.C.; Ly, H.B.; Le, L.M.; Yang, X.Y.; Guo, L.; Pham, B.T. Improved strength prediction of cemented paste backfill using a novel model based on adaptive neuro fuzzy inference system and artificial bee colony. Constr. Build. Mater. 2021, 284, 122857. [Google Scholar] [CrossRef]
- Fall, M.; Benzaazoua, M. Modeling the effect of sulphate on strength development of paste backfill and binder mixture optimization. Cem. Concr. Res. 2005, 35, 301–314. [Google Scholar] [CrossRef]
- Jafari, M.; Shahsavari, M.; Grabinsky, M. Experimental Study of the Behavior of Cemented Paste Backfill under High Isotropic Compression. J. Geotech. Geoenviron. Eng. 2020, 146, 06020019. [Google Scholar] [CrossRef]
- Tana, A.E.B.; Yin, S.H.; Wang, L.M. Investigation on Mechanical Characteristics and Microstructure of Cemented Whole Tailings Backfill. Minerals 2021, 11, 592. [Google Scholar] [CrossRef]
- Wu, A.X.; Ruan, Z.E.; Wang, J.D. Rheological behavior of paste in metal mines. Int. J. Miner. Metall. Mater. 2022, 29, 717–726. [Google Scholar] [CrossRef]
- Liu, L.; Ruan, S.S.; Qi, C.C.; Zhang, B.; Tu, B.B.; Yang, Q.X.; Song, K. Co-disposal of magnesium slag and high-calcium fly ash as cementitious materials in backfill. J. Clean. Prod. 2021, 279, 123684. [Google Scholar] [CrossRef]
- Chen, Q.S.; Tao, Y.B.; Zhang, Q.L.; Qi, C.C. The rheological, mechanical and heavy metal leaching properties of cemented paste backfill under the influence of anionic polyacrylamide. Chemosphere 2022, 286, 131630. [Google Scholar] [CrossRef]
- Xue, Z.L.; Gan, D.Q.; Zhang, Y.Z.; Liu, Z.Y. Rheological behavior of ultrafine-tailings cemented paste backfill in high-temperature mining conditions. Constr. Build. Mater. 2020, 253, 119212. [Google Scholar] [CrossRef]
- Yan, Z.P.; Yin, S.H.; Chen, X.; Wang, L.M. Rheological properties and wall-slip behavior of cemented tailing-waste rock backfill (CTWB) paste. Constr. Build. Mater. 2022, 324, 126723. [Google Scholar] [CrossRef]
- Gao, R.G.; Zhou, K.P.; Zhou, Y.L.; Yang, C. Research on the fluid characteristics of cemented backfill pipeline transportation of mineral processing tailings. Alex. Eng. J. 2020, 59, 4409–4426. [Google Scholar] [CrossRef]
- Jiang, H.Q.; Qi, Z.J.; Yilmaz, E.; Han, J.; Qiu, J.P.; Dong, C.L. Effectiveness of alkali-activated slag as alternative binder on workability and early age compressive strength of cemented paste backfills. Constr. Build. Mater. 2019, 218, 689–700. [Google Scholar] [CrossRef]
- Zhao, Y.; Taheri, A.; Karakus, M.; Chen, Z.W.; Deng, A. Effects of water content, water type and temperature on the rheological behavior of slag-cement and fly ash-cement paste backfill. Int. J. Min. Sci. Technol. 2020, 30, 271–278. [Google Scholar] [CrossRef]
- Haruna, S.; Fall, M. Time- and temperature-dependent rheological properties of cemented paste backfill that contains superplasticizer. Powder Technol. 2020, 360, 731–740. [Google Scholar] [CrossRef]
- Cao, S.; Yilmaz, E.; Song, W.D. Evaluation of Viscosity, Strength and Microstructural Properties of Cemented Tailings Backfill, Minerals. Minerals 2018, 8, 352. [Google Scholar] [CrossRef]
- Xu, W.B.; Tian, M.M.; Li, Q.L. Time-dependent rheological properties and mechanical performance of fresh cemented tailings backfill containing flocculants. Miner. Eng. 2020, 145, 106064. [Google Scholar] [CrossRef]
- Xu, W.B.; Zhang, Y.L.; Zuo, X.H.; Hong, M. Time-dependent rheological and mechanical properties of silica fume modified cemented tailings backfill in low temperature environment. Cem. Concr. Compos. 2020, 114, 103804. [Google Scholar] [CrossRef]
- Zhou, Z.B.; Liu, J.H.; Zhou, Q.; Wu, A.X.; Wang, H.J. A New High Charge Density Superplasticizer Regulates the Rheological Properties of Tailings Slurry and Cemented Paste Backfill Materials. Min. Metall. Explor. 2022, 39, 749–759. [Google Scholar]
- Deng, X.J.; Klein, B.; Zhang, J.X.; Hallbom, D.; de Wit, B. Time-dependent rheological behavior of cemented backfill mixture. Int. J. Min. Reclam. Environ. 2018, 32, 145–162. [Google Scholar] [CrossRef]
- Mendes, P.R.D.S.; Abedi, B.; Thompson, R.L. Constructing a thixotropy model from rheological experiments. J. Non-Newton. Fluid Mech. 2018, 261, 1–8. [Google Scholar] [CrossRef]
- Ali, G.; Fall, M.; Alainachi, I. Time- and Temperature-Dependence of Rheological Properties of Cemented Tailings Backfill with Sodium Silicate. J. Mater. Civ. Eng. 2021, 33, 04020498. [Google Scholar] [CrossRef]
- Wang, X.M.; Li, J.X.; Xiao, Z.Z.; Xiao, W.G. Rheological properties of tailing paste slurry. J. Cent. South Univ. Technol. 2004, 11, 75–79. [Google Scholar] [CrossRef]
- Wang, J.D.; Wu, A.X.; Ruan, Z.E.; Burger, R.; Wang, Y.M.; Wang, S.Y.; Zhang, P.F.; Gao, Z.Q. Optimization of Parameters for Rheological Properties and Strength of Cemented Paste Backfill Blended with Coarse Aggregates. Minerals 2022, 12, 374. [Google Scholar] [CrossRef]
- Wu, D.; Cai, S.J.; Huang, G. Coupled effect of cement hydration and temperature on rheological properties of fresh cemented tailings backfill slurry. Trans. Nonferrous Met. Soc. China 2014, 24, 2954–2963. [Google Scholar] [CrossRef]
- Lang, L.; Song, K.I.; Lao, D.Z.; Kwon, T.H. Rheological Properties of Cemented Tailing Backfill and the Construction of a Prediction Model. Materials 2015, 8, 2076–2092. [Google Scholar] [CrossRef]
- Mewis, J.; Wagner, N.J. Thixotropy. Adv. Colloid Interface Sci. 2009, 147, 214–227. [Google Scholar] [CrossRef]
- Liu, K.Q.; Yang, Y.; Zhang, X.N.; Zhu, K.L.; Wang, J.S.; Li, L.K.; Tu, Q.; Ma, R.R.; Cheng, X.W.; Zhang, X.G. Time-varying characteristics and mechanisms of hydrostatic pressure descent of Portland cement slurry. Powder Technol. 2021, 385, 434–443. [Google Scholar] [CrossRef]
- Mendes, P.R.D.S. Modeling the thixotropic behavior of structured fluids. J. Non-Newton. Fluid Mech. 2009, 164, 66–75. [Google Scholar] [CrossRef]
- Kaushal, D.R.; Thinglas, T.; Tomita, Y.; Kuchii, S.; Tsukamoto, H. CFD modeling for pipeline flow of fine particles at high concentration. Int. J. Multiph. Flow 2012, 43, 85–100. [Google Scholar] [CrossRef]
- Liu, L.; Fang, Z.Y.; Qi, C.C.; Zhang, B.; Guo, L.J.; Song, K. Numerical study on the pipe flow characteristics of the cemented paste backfill slurry considering hydration effects. Powder Technol. 2019, 343, 454–464. [Google Scholar] [CrossRef]
- Yin, S.H.; Shao, Y.J.; Wu, A.X.; Wang, H.J.; Liu, X.H.; Wang, Y. A systematic review of paste technology in metal mines for cleaner production in China. J. Clean. Prod. 2020, 247, 119590. [Google Scholar] [CrossRef]
- Rao, N.D.; Thatoi, D.N.; Biswal, S.K. Rheological study and numerical analysis of high concentration iron ore slurry pipeline transportation. Mater. Today Proc. 2020, 22, 3197–3202. [Google Scholar]
- Cheng, H.Y.; Wu, S.C.; Li, H.; Zhang, X.Q. Influence of time and temperature on rheology and flow performance of cemented paste backfill. Constr. Build. Mater. 2020, 231, 117117. [Google Scholar] [CrossRef]
- Al-Zahrani, S.M. A generalized rheological model for shear thinning fluids. J. Pet. Sci. Eng. 1997, 17, 211–215. [Google Scholar] [CrossRef]
- Qian, Y.; Kawashima, S. Use of creep recovery protocol to measure static yield stress and structural rebuilding of fresh cement pastes. Cem. Concr. Res. 2016, 90, 73–79. [Google Scholar] [CrossRef]
- Huang, D.M.; Xing, D.Q.; Chang, X.K.; Zhu, Y.Y.; Gao, C.J. Analysis and Application of Filling Mining Technology in China’s Mining Area: A Case Study of Yuxing Coal Mine. Arch. Min. Sci. 2021, 66, 611–624. [Google Scholar]
- Li, M.Z.; He, Y.P.; Liu, Y.D.; Huang, C. Effect of interaction of particles with different sizes on particle kinetics in multi-sized slurry transport by pipeline. Powder Technol. 2018, 338, 915–930. [Google Scholar] [CrossRef]
- Liu, Z.Y.; Gan, D.Q.; Gan, Z. Dynamic regimes of cemented backfill at early-age. J. Cent. South Univ. 2021, 28, 2079–2090. [Google Scholar] [CrossRef]
- He, M.Z.; Wang, Y.M.; Forssberg, E. Slurry rheology in wet ultrafine grinding of industrial minerals: A review. Powder Technol. 2004, 147, 94–112. [Google Scholar] [CrossRef]



















| Chemical Composition | TFe | SiO2 | CaO | MgO | Al2O3 | S | P | Other |
|---|---|---|---|---|---|---|---|---|
| Content (%) | 6.00 | 67.58 | 4.04 | 5.60 | 7.30 | 0.21 | 0.16 | 9.11 |
| Sample ID | Shear Rate/s−1 | Temperature/°C | Shear Time/s |
|---|---|---|---|
| R-20 | 0–100 | 20 | 100 |
| R-30 | 0–100 | 30 | |
| R-40 | 0–100 | 40 | |
| R-50 | 0–100 | 50 |
| Group ID | Sample ID | Shear Rate/s−1 | Temperature/°C | Shear Time/s |
|---|---|---|---|---|
| C-20 | C-20-30 | 30 | 20 | 1000 |
| C-20-60 | 60 | |||
| C-20-90 | 90 | |||
| C-20-120 | 120 | |||
| C-30 | C-30-30 | 30 | 30 | |
| C-30-60 | 60 | |||
| C-30-90 | 90 | |||
| C-30-120 | 120 | |||
| C-40 | C-40-30 | 30 | 40 | |
| C-40-60 | 60 | |||
| C-40-90 | 90 | |||
| C-40-120 | 120 | |||
| C-50 | C-50-30 | 30 | 50 | |
| C-50-60 | 60 | |||
| C-50-90 | 90 | |||
| C-50-120 | 120 |
| Sample ID | Temperature /°C | Plastic Viscosity /(Pa·s) | Yield Stress /Pa | R2 |
|---|---|---|---|---|
| R-20 | 20 | 0.85 | 128.355 | 0.99 |
| R-30 | 30 | 0.77 | 117.7 | 0.99 |
| R-40 | 40 | 0.69 | 99.28 | 0.99 |
| R-50 | 50 | 0.62 | 88.78 | 0.99 |
| Solid Content /% | Temperature /°C | /Pa | /Pa | k | R2 |
|---|---|---|---|---|---|
| 66 | 20 | 123.39 | 30.18 | 0.0042 | 0.98 |
| 30 | 120.23 | 19.69 | 0.0066 | 0.99 | |
| 40 | 115.53 | 13.74 | 0.0070 | 0.99 | |
| 50 | 110.57 | 12.27 | 0.0080 | 0.98 |
| Solid Content /% | Temperature /°C | /Pa | /Pa | s | R2 |
|---|---|---|---|---|---|
| 66 | 20 | 0.91 | 2.48 | 0.0060 | 0.98 |
| 30 | 0.84 | 2.04 | 0.0069 | 0.98 | |
| 40 | 0.75 | 1.30 | 0.0074 | 0.99 | |
| 50 | 0.66 | 1.13 | 0.0079 | 0.99 |
| Time-Dependent Parameters | Fitting Equation | R2 |
|---|---|---|
| 0.99 | ||
| 0.99 | ||
| 0.99 | ||
| 0.98 | ||
| k | 0.95 | |
| s | 0.98 |
Disclaimer/Publisher’s Note: The statements, opinions and data contained in all publications are solely those of the individual author(s) and contributor(s) and not of MDPI and/or the editor(s). MDPI and/or the editor(s) disclaim responsibility for any injury to people or property resulting from any ideas, methods, instructions or products referred to in the content. |
© 2024 by the authors. Licensee MDPI, Basel, Switzerland. This article is an open access article distributed under the terms and conditions of the Creative Commons Attribution (CC BY) license (https://creativecommons.org/licenses/by/4.0/).
Share and Cite
Liu, B.; Zhang, Y.; Zou, X.; Zhang, C.; Chang, Y. Coupled Effects of Time and Temperature on the Rheological and Pipe Flow Properties of Cemented Paste Backfill. Minerals 2024, 14, 1221. https://doi.org/10.3390/min14121221
Liu B, Zhang Y, Zou X, Zhang C, Chang Y. Coupled Effects of Time and Temperature on the Rheological and Pipe Flow Properties of Cemented Paste Backfill. Minerals. 2024; 14(12):1221. https://doi.org/10.3390/min14121221
Chicago/Turabian StyleLiu, Bo, Yaoping Zhang, Xionggang Zou, Chaomei Zhang, and Yingjie Chang. 2024. "Coupled Effects of Time and Temperature on the Rheological and Pipe Flow Properties of Cemented Paste Backfill" Minerals 14, no. 12: 1221. https://doi.org/10.3390/min14121221
APA StyleLiu, B., Zhang, Y., Zou, X., Zhang, C., & Chang, Y. (2024). Coupled Effects of Time and Temperature on the Rheological and Pipe Flow Properties of Cemented Paste Backfill. Minerals, 14(12), 1221. https://doi.org/10.3390/min14121221
