Recovery of Metals from Titanium Ore Using Solvent Extraction Process: Part 1—Transition Metals
Abstract
1. Introduction
2. Materials and Methods
2.1. Materials
2.2. Reagents and Instrumentation
- The Bruker S2 PICOFOX having a Mo X-ray tube, was operating at 50 kV and 1000 µA and monochromatized with a multilayer for the characteristic Mo-Kα line at 17.5 keV, coupled with a 60 mm2 XFlash silicon drift detector and 25 position autosampler. The data was analyzed using SPECTRA software, Version 7.8.2.
- The Bruker S4 T-STAR features Mo and W X-ray tubes operating at 50 kV and 1000 µA, and is equipped with a 60 mm2 XFlash silicon drift detector and a 90-position sample changer. For the W-excitation, two monochromators are available, one for the low-energetic W-L line at 8.4 keV and one for the high-energetic W-Bremsstrahlung. The Mo-K excitation is monochromatized to the Mo-K line at 17.5 keV. Its software for analysis is called T-ESPRIT, Version 1.0.1.482.
2.3. Characterization of the Solid Samples by TXRF Techniques
2.3.1. Preparation of Powdered Samples Using the Suspension Approach for the Solid Samples
2.3.2. The Extraction Method for the Solid Samples
2.4. Method Validation for the ICP-MS Analysis
ICP-MS Characterization of the Material of the Solid Samples
2.5. Leaching of the Materials for the Solvent Extraction Studies
2.6. Examined Parameters for Solvent Extraction
The Extraction Process and Preparation of the Sample for ICP-MS Analysis
2.7. Calculations
3. Results and Discussion
3.1. Characterization of the Materials: Understanding Their Composition
3.2. Solvent Extraction Analysis
3.2.1. ICP-MS Measurements of the Aqueous Media Before Solvent Extraction Processes
3.2.2. Measurements of the Aqueous Media Before Extraction Using TXRF Methods
3.2.3. ICP-MS Analysis of the Influence of Ligand Concentration in the Extraction of the Transition Metals
3.2.4. Effect of pH Change in the Recovery of the Transition Metals Based on ICP-MS Measurements
3.2.5. The Impact of Temperature Variation on the Extraction of the Metal Ions (ICP-MS Analysis)
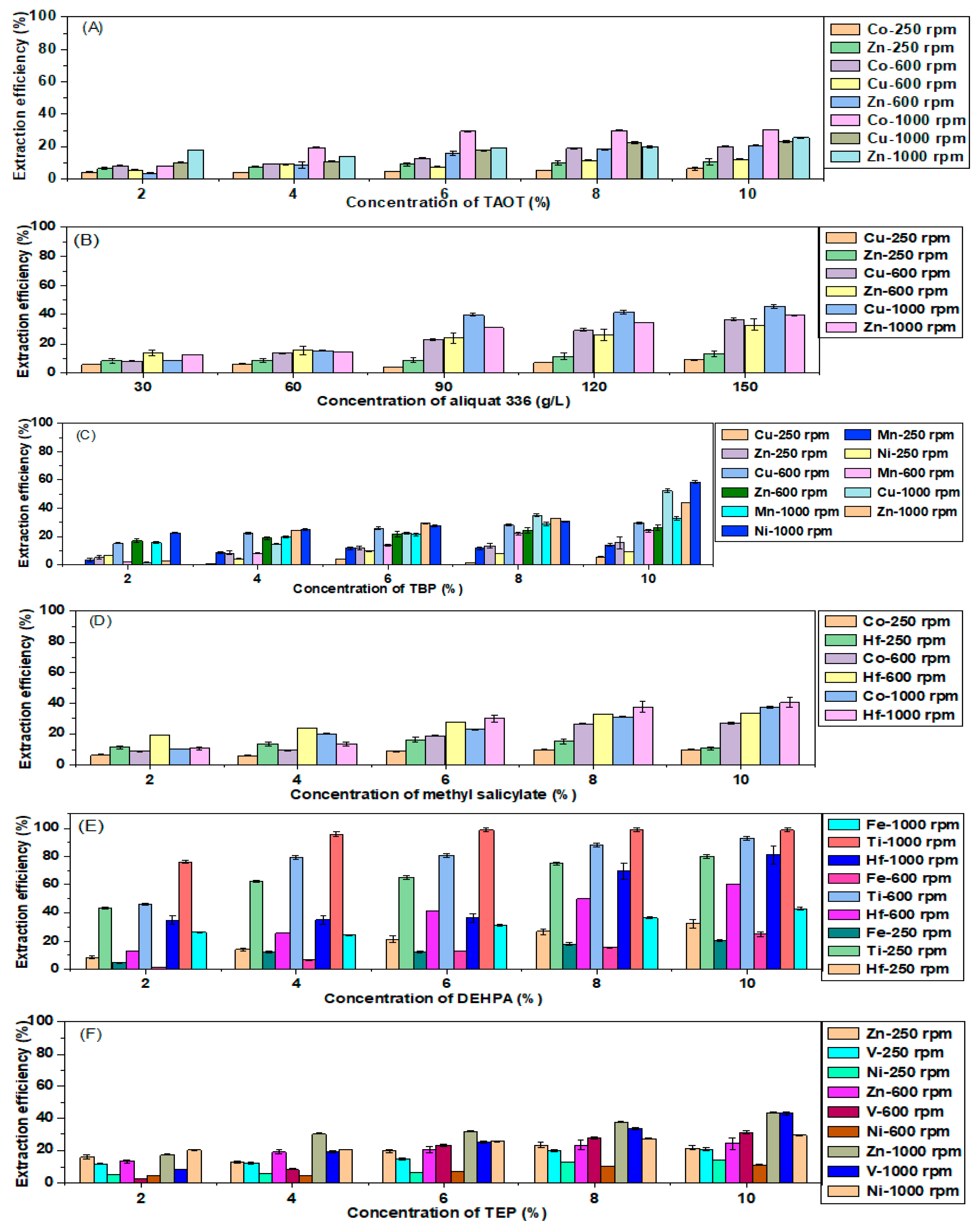
3.2.6. ICP-MS Analysis of the Influence of the Mixing Rate of the Solution on the Extraction of the Metal Ions
4. Conclusions
Author Contributions
Funding
Data Availability Statement
Conflicts of Interest
References
- Van der Merwe, L.; Ruthven, G.; Von Leipzig, K. The study and design of a national supply chain for the aerospace titanium components manufacturing industry. J. Transp. Supply Chain Manag. 2012, 6, 15–34. [Google Scholar] [CrossRef]
- Charlier, B.; Duchesne, J.C.; Vander Auwera, J. Magma chamber processes in the Tellnes ilmenite deposit (Rogaland Anorthosite Province, SW Norway) and the formation of Fe-Ti ores in massif-type anorthosites. Chem. Geol. 2006, 234, 264–290. [Google Scholar] [CrossRef]
- Korneliussen, A.; McEnroe, S.; Nilsson, L.P.; Gautneb, H.; Meyer, G.B.; Schiellerup, H.; Størseth, L.R. An Overview of Titanium Deposits in Norway. Nor. Geol. Undersøkelse Bull. 2000, 436, 27–38. Available online: https://www.ngu.no/FileArchive/102/Bulletin436_3.pdf (accessed on 2 October 2024).
- Li, Z.; Li, X.; Raiguel, S.; Binnemans, K. Separation of transition metals from rare earths by non-aqueous solvent extraction from ethylene glycol solutions using Aliquat 336. Sep. Purif. Technol. 2018, 201, 318–326. [Google Scholar] [CrossRef]
- Lommelen, R.; Vander Hoogerstraete, T.; Onghena, B.; Billard, I.; Binnemans, K. Model for Metal Extraction from Chloride Media with Basic Extractants: A Coordination Chemistry Approach. Inorg. Chem. 2019, 58, 12289–12301. [Google Scholar] [CrossRef]
- Alvial-Hein, G.; Mahandra, H.; Ghahreman, A. Separation and recovery of cobalt and nickel from end-of-life products via solvent extraction technique: A review. J. Clean. Prod. 2021, 297, 126592. [Google Scholar] [CrossRef]
- Vo, Q.N. Molecular-Level Understanding of Metal Extraction via Simulation and Experiments for Sustainable Energy Application. Ph.D. Thesis, University of California, Los Angeles, CA, USA, 2018. Available online: https://escholarship.org/uc/item/6fd9z7hh (accessed on 2 October 2024).
- El-Nadi, Y.A. Solvent Extraction and Its Applications on Ore Processing and Recovery of Metals: Classical Approach. Sep. Purif. Rev. 2016, 46, 195–215. [Google Scholar] [CrossRef]
- Gorzin, H.; Ghaemi, A.; Hemmati, A.; Maleki, A. Studies on effective interaction parameters in extraction of Pr and Nd using Aliquat 336 from NdFeB magnet-leaching solution: Multiple response optimizations by desirability function. J. Mol. Liq. 2021, 324, 115123. [Google Scholar] [CrossRef]
- Wilson, A.M.; Bailey, P.J.; Tasker, P.A.; Turkington, J.R.; Grant, R.A.; Love, J.B. Solvent extraction: The coordination chemistry behind extractive metallurgy. Chem. Soc. Rev. 2013, 43, 123–134. [Google Scholar] [CrossRef]
- Zhang, J.; Zhao, B.; Schreiner, B. Solvent Extraction in Metal Hydrometallurgy. In Separation Hydrometallurgy of Rare Earth Elements; Springer: Berlin/Heidelberg, Germany, 2016; pp. 55–78. [Google Scholar] [CrossRef]
- Kumari, R. Hydrolysis Product Analysis of Methyl Salicylate in Nitrogenous and Non-Nitrogenous Medium. IOSR J. Appl. Chem 2020, 15, 13–15. [Google Scholar]
- Kurniawati, S.; Santoso, M.; Lestiani, D.D.; Adventini, N.; Syahfitri, W.Y.N. Analytical capabilities of EDXRF for determination of rare earth elements. Indones. J. Nucl. Sci. Technol. 2021, 22, 1–6. [Google Scholar] [CrossRef]
- Moens, L.; Dams, R. NAA and ICP-MS: A comparison between two methods for trace and ultra-trace element analysis. J. Radioanal. Nucl. Chem. Artic. 1995, 192, 29–38. [Google Scholar] [CrossRef]
- Marguí, E.; Queralt, I.; Andrey, D.; Perring, L. Analytical potential of total reflection X-ray fluorescence (TXRF) instrumentation for simple determination of major and trace elements in milk powder samples. Food Chem. 2022, 383, 132590. [Google Scholar] [CrossRef] [PubMed]
- Zhao, J.; Yang, T.; Zhang, H.; Sun, G.; Cui, Y. Preferential extraction of hafnium over zirconium with D2EHPA through selective complexation of organic acids. J. Radioanal. Nucl. Chem. 2019, 321, 333–339. [Google Scholar] [CrossRef]
- Zhang, L.; Zhang, T.; Lv, G.; Zhang, W.; Sui, Q. Extraction Separation of Ti (IV) and Fe(II) Using D2EHPA from the Raffinate Obtained After Extraction of Scandium from Titanium Dioxide Waste Acid. JOM 2022, 74, 1061–1069. [Google Scholar] [CrossRef]
- Swain, N.; Mishra, S. A review on the recovery and separation of rare earths and transition metals from secondary resources. J. Clean. Prod. 2019, 220, 884–898. [Google Scholar] [CrossRef]
- Jorjani, E.; Shahbazi, M. The production of rare earth elements group via tributyl phosphate extraction and precipitation stripping using oxalic acid. Arab. J. Chem. 2016, 9, S1532–S1539. [Google Scholar] [CrossRef]
- Shanmugakala, R.; Tharmaraj, P.; Sheela, C.D. Synthesis and spectral studies on metal complexes of s-triazine based ligand and non-linear optical properties. J. Mol. Struct. 2014, 1076, 606–613. [Google Scholar] [CrossRef]
- Drew, M.G.B.; Hill, C.; Hudson, M.J.; Iveson, P.B.; Madic, C.; Youngs, T.G.A. Solvent extraction and lanthanide complexation studies with new terdentate ligands containing two 1,3,5-triazine moieties. Dalton Trans. 2004, 2, 244–251. [Google Scholar] [CrossRef]
- Therrien, B. Coordination chemistry of 2,4,6-tri(pyridyl)-1,3,5-triazine ligands. J. Organomet. Chem. 2011, 696, 637–651. [Google Scholar] [CrossRef]
- Bari, F.; Begum, N.; Jamaludin, S.B.; Hussin, K. Synthesis of sol-gel silica chemically bonded with cyanex 272 for the removal of Cu(II), Ni(II), and Zn(II). J. Mater. Sci. 2009, 44, 2628–2636. [Google Scholar] [CrossRef]
- Kaya, M. Recycling Technologies for Secondary Zn-Pb Resources: The Minerals, Metals & Materials Series; Springer: Berlin/Heidelberg, Germany, 2023. [Google Scholar] [CrossRef]
- Alizadeh, S.; Abdollahy, M.; Darban, A.K.; Mohseni, M. Thermodynamics of the Selective Separation of La(III) and Y(III) from Nitrate Medium by D2EHPA in the Presence of Al(III) and Ca(II) Impurities. Min. Metall. Explor. 2021, 38, 2255–2270. [Google Scholar] [CrossRef]
- Yudaev, P.A.; Kolpinskaya, N.A.; Chistyakov, E.M. Organophosphorous extractants for metals. Hydrometallurgy 2021, 201, 105558. [Google Scholar] [CrossRef]
- Lee, L.Y.; Morad, N.; Ismail, N.; Talebi, A.; Rafatullah, M. Optimization for liquid-liquid extraction of Cd (II) over Cu (II) ions from aqueous solutions using ionic liquid Aliquat 336 with tributyl phosphate. Int. J. Mol. Sci. 2020, 21, 6860. [Google Scholar] [CrossRef]
- Soeezi, A. Solvent Extraction of Ni and Cu from Synthetic Solution Containing Ni, Cu, Fe and Zn by Using D2EHPA. Mater. Sci. Metall. Eng. 2019, 6, 1–5. [Google Scholar] [CrossRef]









| Element | ICP−MS | Suspension- PICOFOX TXRF | Extraction-PICOFOX TXRF | Suspension- T STAR | Extraction-T STAR |
|---|---|---|---|---|---|
| Sc | 80 ± 5 | 123 ± 10 | 100 ± 0.1 | 123 ± 0.1 | 42 ± 10 |
| Ti | 375,200 ± 700 | 42,497 ± 6698 | 6014 ± 41 | 65,577 ± 3621 | 6075 ± 2 |
| V | 1188 ± 34 | 623 ± 110 | 93 ± 2 | 1126 ± 96 | 144 ± 2 |
| Cr | − | 35 ± 3 | 86 ± 2 | 49 ± 19 | 93 ± 4 |
| Mn | 2299 ± 122 | 256 ± 73 | 57 ± 6 | 244 ± 13 | 235 ± 5 |
| Fe | 350,000 ± 20,000 | 48,777 ± 12,080 | 22,122 ± 470 | 64,878 ± 3421 | 23,505 ± 1110 |
| Co | 119 ± 4 | − | − | 153 ± 15 | − |
| Ni | 174 ± 66 | 30 ± 11 | 14 ± 1 | 27 ± 8 | 26 ± 1.5 |
| Cu | 130 ± 50 | 22 ± 1 | 9 ± 1 | 11 ± 4 | 127 ± 3 |
| Zn | 413 ± 15 | 42 ± 11 | 10 ± 1 | 39 ± 11 | 4 ± 0.8 |
| Rb | − | 20 ± 1 | 3 ± 0.1 | 6 ± 1 | 2 ± 1 |
| Sr | − | 7 ± 0.4 | 1 ± 1 | 10 ± 4 | 21 ± 2 |
| Hf | 1 ± 0.002 | − | − | − | − |
| La | 1.1 ± 0.01 | 249 ± 25 | 85 ± 3 | − | − |
| Ce | 3 ± 0.2 | 13 ± 2 | 4 ± 0.2 | − | − |
| Nd | 2 ± 0.2 | − | 6 ± 1 | − | |
| Pb | − | 226 ± 39 | 38 ± 2 | 10 ± 2 | 38 ± 3 |
| Th | − | 11 ± 6 | 3 ± 0.1 | 12 ± 2 | 3 ± 1 |
| Nb | − | 1 ± 0.003 | − | 19 ± 3 | − |
| Y | 20 ± 2 | − | − | − | − |
| Pr | 0.4 ± 0.01 | − | − | − | − |
| Sm | 0.5 ± 0.01 | − | − | − | − |
| Eu | 0.2 ± 0.01 | − | − | − | − |
| Gd | 0.5 ± 0.01 | − | − | − | − |
| Tb | 0.1 ± 0.01 | − | − | − | − |
| Dy | 0.4 ± 0.01 | − | − | − | − |
| Ho | 0.1 ± 0.01 | − | − | − | − |
| Er | 0.3 ± 0.01 | − | − | − | − |
| Tm | 0.1 ± 0.01 | − | − | − | − |
| Yb | 0.3 ± 0.01 | − | − | − | − |
| Lu | 0.1 ± 0.01 | − | − | − | − |
Disclaimer/Publisher’s Note: The statements, opinions and data contained in all publications are solely those of the individual author(s) and contributor(s) and not of MDPI and/or the editor(s). MDPI and/or the editor(s) disclaim responsibility for any injury to people or property resulting from any ideas, methods, instructions or products referred to in the content. |
© 2024 by the authors. Licensee MDPI, Basel, Switzerland. This article is an open access article distributed under the terms and conditions of the Creative Commons Attribution (CC BY) license (https://creativecommons.org/licenses/by/4.0/).
Share and Cite
Rotich, N.K.; Herdzik-Koniecko, I.; Smolinski, T.; Kalbarczyk, P.; Sudlitz, M.; Rogowski, M.; Stosnach, H.; Chmielewski, A.G. Recovery of Metals from Titanium Ore Using Solvent Extraction Process: Part 1—Transition Metals. Minerals 2024, 14, 1212. https://doi.org/10.3390/min14121212
Rotich NK, Herdzik-Koniecko I, Smolinski T, Kalbarczyk P, Sudlitz M, Rogowski M, Stosnach H, Chmielewski AG. Recovery of Metals from Titanium Ore Using Solvent Extraction Process: Part 1—Transition Metals. Minerals. 2024; 14(12):1212. https://doi.org/10.3390/min14121212
Chicago/Turabian StyleRotich, Nelson Kiprono, Irena Herdzik-Koniecko, Tomasz Smolinski, Paweł Kalbarczyk, Marcin Sudlitz, Marcin Rogowski, Hagen Stosnach, and Andrzej G. Chmielewski. 2024. "Recovery of Metals from Titanium Ore Using Solvent Extraction Process: Part 1—Transition Metals" Minerals 14, no. 12: 1212. https://doi.org/10.3390/min14121212
APA StyleRotich, N. K., Herdzik-Koniecko, I., Smolinski, T., Kalbarczyk, P., Sudlitz, M., Rogowski, M., Stosnach, H., & Chmielewski, A. G. (2024). Recovery of Metals from Titanium Ore Using Solvent Extraction Process: Part 1—Transition Metals. Minerals, 14(12), 1212. https://doi.org/10.3390/min14121212

