Petrogenesis and an Evaluation of the Melting Conditions of the Late Permian ELIP Picrites, SW China: Constraints Due to Primary Magma and Olivine Composition
Abstract
1. Introduction
2. Geological Setting
3. Picrite Samples and Methodology
3.1. Permian Emeishan Picrite
3.2. Methodology
4. Geochemical Characteristics
4.1. Bulk-Rock Compositions for Picrite Samples
| Location | Bulk-Rock Compositions | Olivine Compositions | ||||||||||
|---|---|---|---|---|---|---|---|---|---|---|---|---|
| MgO | 0.08 × MgO + TiO2 − 2.91 | Gd–Yb | La–Yb | TP | Data Source | Fo | 10,000 × Zn–Fe | TSc-Y | Data Source | TAl-in-olivine | Data Source | |
| wt.% | °C | mol.% | °C | °C | ||||||||
| Lijiang | 19.04–27.53 | 0.21–0.62 | 2.31–3.32 | 9.14–20.94 | 1573–1660 | [16,18,33,35] | 86–92 | 7.59–10.38 | 1455 ± 49 | [16] | 1283 ± 75 | [16,33,46] |
| Tanglanghe | 17.90–20.77 | 0.48–0.56 | 2.81–3.00 | 11.35–11.58 | 1550–1552 | [25] | 86–90 | 7.00–9.43 | 1358 ± 22 | [28] | 1247 ± 41 | [12] |
| Maoniuping | 20.40–24.07 | 0.38–0.63 | 2.85–3.12 | 8.43–19.36 | 1555–1582 | [25] | 86–91 | 6.91–9.27 | 1366 ± 31 | [28] | 1260 ± 45 | [12] |
| Yongsheng | 21.95–23.76 | 0.61–0.67 | 3.22–3.62 | 16.67–18.4 | 1614–1649 | [43] | / | / | / | / | ||
| Dali | 17.00–23.95 | (−0.52)–(−0.1) | 1.97–2.39 | 5.39–7.62 | 1506–1588 | [35,37,38,42] | 82–94 | 5.43–12.69 | 1379 ± 52 | [16,46] | 1305 ± 74 | [13,16,33,44,46] |
| Binchuan | 20.59–21.08 | 0.09–0.37 | 2.68–3.15 | 11.47–17.92 | 1581–1592 | [47] | / | / | / | 1282 ± 30 | [13,43] | |
| Wuguijing | 17.30–18.90 | 0.09–0.37 | 2.68–3.15 | 11.47–17.92 | 1523–1574 | [25] | 87–90 | 7.10–9.37 | 1352 ± 41 | [28] | 1301 ± 55 | [12] |
| Wulongba | 19.40–21.03 | (−0.22)–(−0.16) | 2.07–2.09 | 3.01–3.09 | 1516–1539 | [25] | 86–92 | 7.18–9.77 | 1376 ± 36 | [28] | 1328 ± 88 | [12] |
| Yumen | 17.80–20.30 | 0.38–0.49 | 3.11–3.77 | 11.95–14.02 | 1592–1637 | [11] | 86–92 | 8.42–11.84 | 1375 ± 49 | [28] | / | |
| Ertan | 18.30–20.90 | 0.26–0.72 | 3.12–4.57 | 13.71–24.63 | 1565–1635 | [12] | / | / | / | 1245 ± 48 | [12] | |
| Muli | 16.64–21.16 | (−0.14)–0.23 | 2.35–3.01 | 1.18–7.87 | 1555–1603 | [39] | / | / | / | / | ||
| Songsa | 13.86-22.48 | (−1.07)–(−0.63) | 1.07–1.61 | 0.47–6.06 | 1522–1631 | [12,17] | / | / | / | / | ||

4.2. Olivine Compositions
5. Discussion
5.1. Mantle Source for Picrites: Peridotite vs. Pyroxenite
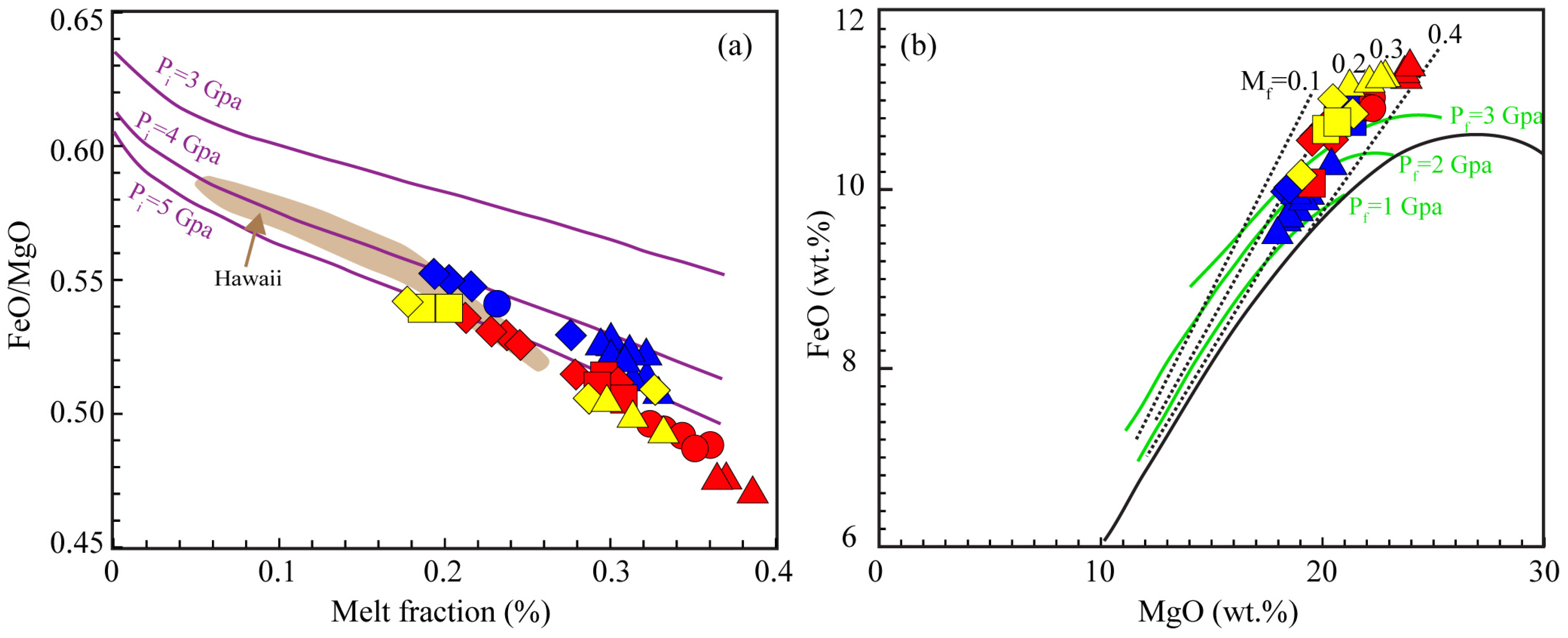
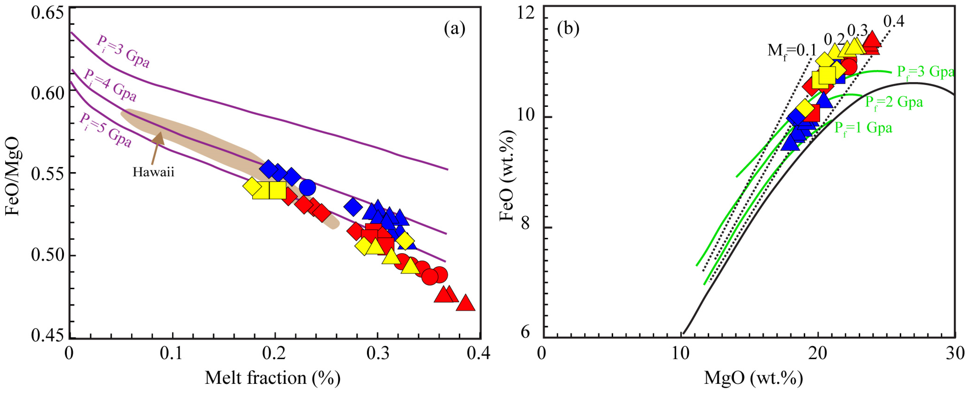
5.2. Primary Magma Composition and Mantle Potential Temperature
5.3. Olivine Crystallization Temperature: TAl-in-olivine and TSc-Y
5.4. Geodynamic Scenario for the Generation of the ELIP Picrites
6. Conclusions
Supplementary Materials
Author Contributions
Funding
Data Availability Statement
Acknowledgments
Conflicts of Interest
References
- Ernst, R.E.; Jowitt, S.M. Large Igneous Provinces (LIPs) and Metallogeny. In Tectonics, Metallogeny, and Discovery: The North American Cordillera and Similar Accretionary Settings; Colpron, M., Bissig, T., Rusk, B.G., Thomspon, J.F.H., Eds.; Special Publications of the Society of Economic Geologists: Littleton, CO, USA, 2013; Volume 17, pp. 17–51. [Google Scholar]
- Zhong, H.; Campbell, I.H.; Zhu, W.G.; Allen, C.M.; Hu, R.Z.; Xie, L.W.; He, D.F. Timing and source constraints on the relationship between mafic and felsic intrusions in the Emeishan large igneous province. Geochim. Cosmochim. Acta 2011, 75, 1374–1395. [Google Scholar] [CrossRef]
- Zhu, J.; Zhang, Z.C.; Santosh, M.; Jin, Z.L. Carlin-style gold province linked to the extinct Emeishan plume. Earth Planet. Sci. Lett. 2020, 530, 115940. [Google Scholar] [CrossRef]
- Chung, S.L.; Jahn, B.M. Plume-lithosphere interaction in generation of the Emeishan flood basalts at the Permian-Triassic boundary. Geology 1995, 23, 889–892. [Google Scholar] [CrossRef]
- He, B.; Xu, Y.G.; Chung, S.L.; Xiao, L.; Wang, Y. Sedimentary evidence for a rapid, kilometer-scale crustal doming prior to the eruption of the Emeishan flood basalts. Earth Planet. Sci. Lett. 2003, 213, 391–405. [Google Scholar] [CrossRef]
- Xu, Y.G.; He, B.; Chung, S.L.; Menzies, M.A.; Frey, F.A. Geologic, geochemical, and geophysical consequences of plume involvement in the Emeishan flood-basalt province. Geology 2004, 32, 917–920. [Google Scholar] [CrossRef]
- Zhang, Z.C.; Zhi, X.C.; Chen, L.; Saunders, A.D.; Reichow, M.K. Re-Os isotopic compositions of picrites from the Emeishan flood basalt province, China. Earth Planet. Sci. Lett. 2008, 276, 30–39. [Google Scholar] [CrossRef]
- Li, H.B.; Zhang, Z.C.; Ernst, R.; Lü, L.S.; Santosh, M.; Zhang, D.Y.; Cheng, Z.G. Giant radiating mafic dyke swarm of the Emeishan large Igneous Province: Identifying the mantle plume Centre. Terra Nova 2015, 27, 247–257. [Google Scholar] [CrossRef]
- Xiao, L.; Xu, Y.G.; Mei, H.J.; Zheng, Y.F.; He, B.; Pirajno, F. Distinct mantle sources of low-Ti and high-Ti basalts from the western Emeishan large igneous province, SW China: Implications for plume-lithosphere interaction. Earth Planet. Sci. Lett. 2004, 228, 525–546. [Google Scholar] [CrossRef]
- Kamenetsky, V.S.; Maas, R.; Kamenetsky, M.B.; Yaxley, G.M.; Ehrig, K.; Zellmer, G.F.; Bindeman, I.N.; Sobolev, A.V.; Kuzmin, D.V.; Ivanov, A.V. Multiple mantle sources of continental magmatism: Insights from “high-Ti” picrites of karoo and other large igneous provinces. Chem. Geol. 2017, 455, 22–31. [Google Scholar] [CrossRef]
- Yao, J.; Zhang, G.; Wang, S.; Zhao, J. Recycling of carbon from the stagnant paleo-Pacific slab beneath Eastern China revealed by olivine geochemistry. Lithos 2021, 398, 106249. [Google Scholar] [CrossRef]
- Yu, S.Y.; Song, X.Y.; Chen, L.M. Interaction between mantle plume and subduction-modified lithospheric mantle: Geochemical evidence from the picritic lavas from the Emeishan large igneous province. Chem. Geol. 2024, 648, 121964. [Google Scholar] [CrossRef]
- Kamenetsky, V.S.; Chung, S.L.; Kamenetsky, M.B.; Kuzmin, D.V. Picrites from the emeishan large Igneous Province, SW China: A compositional continuum in primitive magmas and their respective mantle sources. J. Petrol. 2012, 53, 2095–2113. [Google Scholar] [CrossRef]
- Ren, Z.Y.; Wu, Y.D.; Zhang, L.; Nichols, A.R.; Hong, L.B.; Zhang, Y.H.; Zhang, Y.; Liu, J.Q.; Xu, Y.G. Primary magmas and mantle sources of Emeishan basalts constrained from major element, trace element and Pb isotope compositions of olivine-hosted melt inclusions. Geochim. Cosmochim. Acta 2017, 208, 63–85. [Google Scholar] [CrossRef]
- Xu, R.; Liu, Y.S.; Lambartb, S. Melting of a hydrous peridotite mantle source under the Emeishan large igneous province. Earth Sci. Rev. 2020, 207, 103253. [Google Scholar] [CrossRef]
- Wu, Y.D.; Yang, J.H.; Stagno, V.; Nekrylov, N.; Wang, J.T.; Wang, H. Redox heterogeneity of picritic lavas with respect to their mantle sources in the Emeishan large igneous province. Geochim. Cosmochim. Acta 2022, 320, 161–178. [Google Scholar] [CrossRef]
- Li, C.S.; Tao, Y.; Qi, L.; Ripley, E.M. Controls on PGE fractionation in the Emeishan picrites and basalts: Constraints from integrated lithophile-siderophile elements and Sr-Nd isotopes. Geochim. Cosmochim. Acta 2012, 90, 12–32. [Google Scholar] [CrossRef]
- Zhang, Z.C.; Mahoney, J.J.; Mao, J.W.; Wang, F.S. Geochemistry of picritic and associated basalt flows of the Western Emeishan flood basalt province. China J. Petrol. 2006, 47, 1997–2019. [Google Scholar] [CrossRef]
- Kogiso, T.; Hirschmann, M.M.; Frost, D.J. High pressure partial melting of garnet pyroxenite: Possible mafic lithologies in the source of ocean island basalts. Earth Planet. Sci. Lett. 2003, 216, 603–617. [Google Scholar] [CrossRef]
- Yang, Z.F.; Zhou, J.H. Can we identify source lithology of basalt? Sci. Rep. 2013, 3, 1856. [Google Scholar] [CrossRef]
- Yang, Z.F.; Li, J.; Liang, W.F.; Luo, Z.H. On the chemical markers of pyroxenite contributions in continental basalts in Eastern China: Implications for source lithology and the origin of basalts. Earth-Sci. Rev. 2016, 157, 18–31. [Google Scholar] [CrossRef]
- Howarth, G.H.; Harris, C. Discriminating between pyroxenite and peridotite sources for continental flood basalts (CFB) in southern Africa using olivine chemistry. Earth Planet. Sci. Lett. 2017, 475, 143–151. [Google Scholar] [CrossRef]
- Cao, Y.; Wang, C.Y. Contrasting oxidation states of low-Ti and high-Ti magmas control Ni-Cu sulfide and Fe-Ti oxide mineralization in Emeishan large igneous province. Geosci. Front. 2022, 13, 41–58. [Google Scholar] [CrossRef]
- Herzberg, C.; Asimow, P.D. PRIMELT3 MEGA.XLSM software for primary magma calculation: Peridotite primary magma MgO contents from the liquidus to the solidus. Geochim. Cosmochim. Acta 2015, 16, 563–578. [Google Scholar] [CrossRef]
- Yu, S.Y.; Chen, L.M.; Lan, J.B.; He, Y.S.; Song, X.Y. Controls of mantle source and condition of melt extraction on generation of the picritic lavas from the Emeishan large igneous province, SW China. J. Asian Earth Sci. 2020, 203, 104534. [Google Scholar] [CrossRef]
- Anh, T.V.; Pang, K.N.; Chung, S.L.; Lin, H.M.; Hoa, T.T.; Anh, T.T.; Yang, H.J. The Song Da magmatic suite revisited: A petrologic, geochemical and Sr–Nd isotopic study on picrites, flood basalts and silicic volcanic rocks. J. Asian Earth Sci. 2011, 42, 1341–1355. [Google Scholar] [CrossRef]
- Tang, Q.Y.; Li, C.S.; Zhang, M.J.; Lin, Y. U-Pb age and Hf isotopes of zircon from basaltic andesite and geochemical fingerprinting of the associated picrites in the Emeishan large igneous province, SW China. Mineral. Petrol. 2015, 109, 103–114. [Google Scholar] [CrossRef]
- Yao, J.H.; Zhu, W.G.; Li, C.S.; Zhong, H.; Yu, S.Y.; Ripley, E.M.; Bai, Z.J. Olivine O isotope and trace element constraints on source variation of picrites in the Emeishan flood basalt province, SW China. Lithos 2019, 338–339, 87–98. [Google Scholar] [CrossRef]
- McKenzie, D.; Bickle, M.J. The volume and composition of melt generated by extension of the lithosphere. J. Petrol. 1988, 29, 625–679. [Google Scholar] [CrossRef]
- Xu, Y.G.; Chung, S.L.; Jahn, B.M.; Wu, G.Y. Petrologic and geochemical constraints on the petrogenesis of Permian-Triassic Emeishan flood basalts in southwestern China. Lithos 2001, 58, 145–168. [Google Scholar] [CrossRef]
- Tao, Y.; Putirka, K.; Hu, R.Z.; Li, C.S. The magma plumbing system of the Emeishan large igneous province and its role in basaltic magma differentiation in a continental setting. Am. Mineral. 2015, 100, 2509–2517. [Google Scholar] [CrossRef]
- Glotov, A.I.; Polyakov, G.V.; Hoa, T.T.; Balykin, P.A.; Akimtsev, V.R.; Krivenko, A.P.; Tolstykh, N.D.; Phuong, N.T.; Thanh, H.H.; Hung, T.Q.; et al. The Ban Phuc Ni-Cu-PGE deposit related to the Phanerozoic komatiite-basalt association in the Song Da rift, northwestern Vietnam. Can. Mineral. 2001, 39, 573–589. [Google Scholar] [CrossRef]
- Zhang, L.; Ren, Z.Y.; Zhang, L.; Wu, Y.D.; Qian, S.P.; Xia, X.P.; Xu, Y.G. Nature of the mantle plume under the Emeishan large igneous province: Constraints from olivine-hosted melt inclusions of the Lijiang picrites. J. Geophys. Res. Solid Earth 2021, 126, e2020JB021022. [Google Scholar] [CrossRef]
- Zhang, Y.X.; Luo, Y.N.; Yang, C.X. Panxi Rift; Geological Publishing House: Beijing, China, 1988. [Google Scholar]
- Hanski, E.; Kamenetsky, V.S.; Luo, Z.Y.; Xu, Y.G.; Kuzmin, D.V. Primitive magmas in the Emeishan large igneous province, southwestern China and northern Vietnam. Lithos 2010, 119, 75–90. [Google Scholar] [CrossRef]
- Yu, S.Y.; Shen, N.P.; Song, X.Y.; Ripley, E.M.; Li, C.S.; Chen, L.M. An integrated chemical and oxygen isotopic study of primitive olivine grains in picrites from the Emeishan large igneous province, SW China: Evidence for oxygen isotope heterogeneity in mantle sources. Geochim. Cosmochim. Acta 2017, 215, 263–276. [Google Scholar] [CrossRef]
- Wu, Y.D.; Ren, Z.Y.; Handler, M.R.; Zhang, L.; Qian, S.P.; Xu, Y.G.; Wang, C.Y.; Wang, Y.; Chen, L.L. Melt diversity and magmatic evolution in the Dali picrites, Emeishan large igneous province. J. Geophys. Res. Solid Earth 2018, 123, 9635–9657. [Google Scholar] [CrossRef]
- Li, J.; Wang, X.C.; Ren, Z.Y.; Xu, J.F.; He, B.; Xu, Y.G. Chemical heterogeneity of the Emeishan mantle plume: Evidence from highly siderophile element abundances in picrites. J. Asian Earth Sci. 2014, 79, 191–205. [Google Scholar] [CrossRef]
- Li, J.; Xu, J.F.; Suzuki, K.; He, B.; Xu, Y.G.; Ren, Z.Y. Os, Nd and Sr isotope and trace element geochemistry of the Muli picrites: Insights into the mantle source of the Emeishan Large Igneous Province. Lithos 2010, 119, 108–122. [Google Scholar] [CrossRef]
- Coogan, L.A.; Saunders, A.D.; Wilson, R.N. Aluminum-in-olivine thermometry of primitive basalts: Evidence of an anomalously hot mantle source for large igneous provinces. Chem. Geol. 2014, 368, 1–10. [Google Scholar] [CrossRef]
- Mallmann, G.; O’Neill, H.S.C. Calibration of an empirical thermometer and oxy-barometer based on the partitioning of Sc, Y, and V between olivine and silicate melt. J. Petrol. 2013, 54, 933–949. [Google Scholar] [CrossRef]
- Liu, J.; Xia, Q.K.; Kuritani, T.; Hanski, E.; Yu, H.R. Mantle hydration and the role of water in the generation of large igneous provinces. Nat. Commun. 2017, 8, 1824. [Google Scholar] [CrossRef]
- Liu, J.; Xia, Q.K.; Sun, H.; Hanski, E.; Kuritani, T.; Gu, X.Y.; Chen, H. Compositional variation of picrites in the Emeishan large igneous province modulated by water in the mantle plume. J. Geophys. Res. Solid Earth 2022, 127, e2021JB023584. [Google Scholar] [CrossRef]
- Li, Z.H.; Liu, X.L.; Zhu, Y.Q.; Zhang, Q.; Luo, Y.; Zhang, C.Z.; Chen, J.H.; Wang, S.S.; Yang, F.C. Difference between komatiites and picrites and a discussion on some Late Paleozoic “komatiites”. Geol. Bull. Chi. 2019, 38, 1971–1980, (In Chinese with English Abstract). [Google Scholar]
- He, Q.; Xiao, L.; Balta, B.; Gao, R.; Chen, J.Y. Variety and complexity of the Late-Permian Emeishan basalts: Reappraisal of plume–lithosphere interaction processes. Lithos 2010, 119, 91–107. [Google Scholar] [CrossRef]
- Cai, W.C.; Zhang, Z.C.; Zhu, J.; Santosh, M.; Pan, R.H. Genesis of high-Ni olivine phenocrysts of the Dali picrites in the Central Emeishan large igneous province. Geol. Mag. 2021, 158, 985–994. [Google Scholar] [CrossRef]
- Yu, H.R.; Liu, J.; Xia, Q.K.; Gu, X.Y.; Wang, Z.Z.; Bi, Y. Water content of the Binchuan picrites: Implications for the genesis of Emeishan large igneous province. Geol. J. China Univ. 2019, 25, 24–32. (In Chinese) [Google Scholar]
- McDonough, W.F.; Sun, S.S. The composition of the Earth. Chem. Geol. 1995, 120, 223–253. [Google Scholar] [CrossRef]
- Foley, S.F.; Prelevic, D.; Rehfeldt, T.; Jacob, D.E. Minor and trace elements in olivines as probes into early igneous and mantle melting processes. Earth Planet. Sci. Lett. 2013, 363, 181–191. [Google Scholar] [CrossRef]
- Wang, C.Y.; Zhou, M.F.; Yang, S.; Qi, L.; Sun, Y. Geochemistry of the Abulangdang intrusion: Cumulates of high-Ti picritic magmas in the Emeishan large igneous province, SW China. Chem. Geol. 2014, 378–379, 24–39. [Google Scholar] [CrossRef]
- Herzberg, C.; Asimow, P.D.; Ionov, D.A.; Vidito, C.; Geist, D. Nickel and helium evidence for melt above the core-mantle boundary. Nature 2013, 493, 393–397. [Google Scholar] [CrossRef]
- Walter, M.J. Melting of garnet peridotite and the origin of komatiite and depleted lithosphere. J. Petrol. 1998, 39, 29–60. [Google Scholar] [CrossRef]
- Hofmann, A.W. Chemical differentiation of the Earth: The relationship between mantle, continental crust, and oceanic crust. Earth Planet. Sci. Lett. 1988, 90, 297–314. [Google Scholar] [CrossRef]
- Rudnick, R.L.; Gao, S. The Composition of the Continental crust. In The Crust; Rudnick, R.L., Ed.; Elsevier-Pergamon: Oxford, UK, 2003; pp. 1–64. [Google Scholar]
- Wedepohl, H. The composition of the continental crust. Geochim. Cosmochim. Acta 1995, 59, 1217–1239. [Google Scholar] [CrossRef]
- Le Roux, V.; Lee, C.T.; Turner, S. Zn/Fe systematics in mafic and ultramafic systems: Implications for detecting major element heterogeneities in the Earth’s mantle. Geochim. Cosmochim. Acta 2010, 74, 2779–2796. [Google Scholar] [CrossRef]
- Takahashi, E.; Shimazaki, T.; Tsuzaki, Y.; Yoshida, H. Melting study of a peridotite KLB-1 to 6.5 GPa and the origin of basaltic magmas. Philos. Trans. R. Soc. Lond. A 1993, 342, 105–120. [Google Scholar]
- Hirose, K.; Kushiro, I. Partial melting of dry peridotites at high pressures: Determination of compositions of melts segregated from peridotite using aggregates of diamond. Earth Planet. Sci. Lett. 1993, 114, 477. [Google Scholar] [CrossRef]
- Herzberg, C.; Asimow, P.D.; Arndt, N.; Niu, Y.L.; Lesher, C.M.; Fitton, J.G.; Cheadle, M.J.; Saunders, A.D. Temperatures in ambient mantle and plumes: Constraints from basalts, picrites, and komatiites. Geochem. Geophys. Geosys. 2007, 8, Q02006. [Google Scholar] [CrossRef]
- Herzberg, C.; Asimow, P.D. Petrology of some oceanic island basalts: PRIMELT2. XLS software for primary magma calculation. Geochem. Geophys. Geosyst. 2008, 9, Q09001. [Google Scholar] [CrossRef]











Disclaimer/Publisher’s Note: The statements, opinions and data contained in all publications are solely those of the individual author(s) and contributor(s) and not of MDPI and/or the editor(s). MDPI and/or the editor(s) disclaim responsibility for any injury to people or property resulting from any ideas, methods, instructions or products referred to in the content. |
© 2024 by the authors. Licensee MDPI, Basel, Switzerland. This article is an open access article distributed under the terms and conditions of the Creative Commons Attribution (CC BY) license (https://creativecommons.org/licenses/by/4.0/).
Share and Cite
Bao, X.-S.; Zhang, R.-R.; Wang, S.-B.; He, X.-Y.; Zhu, X.-H. Petrogenesis and an Evaluation of the Melting Conditions of the Late Permian ELIP Picrites, SW China: Constraints Due to Primary Magma and Olivine Composition. Minerals 2024, 14, 984. https://doi.org/10.3390/min14100984
Bao X-S, Zhang R-R, Wang S-B, He X-Y, Zhu X-H. Petrogenesis and an Evaluation of the Melting Conditions of the Late Permian ELIP Picrites, SW China: Constraints Due to Primary Magma and Olivine Composition. Minerals. 2024; 14(10):984. https://doi.org/10.3390/min14100984
Chicago/Turabian StyleBao, Xin-Shang, Rui-Rui Zhang, Shao-Bo Wang, Xiao-Yuan He, and Xiao-Hui Zhu. 2024. "Petrogenesis and an Evaluation of the Melting Conditions of the Late Permian ELIP Picrites, SW China: Constraints Due to Primary Magma and Olivine Composition" Minerals 14, no. 10: 984. https://doi.org/10.3390/min14100984
APA StyleBao, X.-S., Zhang, R.-R., Wang, S.-B., He, X.-Y., & Zhu, X.-H. (2024). Petrogenesis and an Evaluation of the Melting Conditions of the Late Permian ELIP Picrites, SW China: Constraints Due to Primary Magma and Olivine Composition. Minerals, 14(10), 984. https://doi.org/10.3390/min14100984

