Next Article in Journal
Geochemistry and Zircon U–Pb Chronology of Jinchanshan Gold-Hosted Granitoids, Inner Mongolia: Implications for Petrogenesis and Geodynamic Evolution
Previous Article in Journal
Gold Mineralization at the Syenite-Hosted Anwangshan Gold Deposit, Western Qinling Orogen, Central China
 
 
Font Type:
Arial Georgia Verdana
Font Size:
Aa Aa Aa
Line Spacing:
Column Width:
Background:
Article

A Novel Technology for the Recovery and Separation of Cassiterite- and Iron-Containing Minerals from Tin-Containing Tailing

1
Faculty of Land Resource Engineering, Kunming University of Science and Technology, Kunming 650093, China
2
National and Local Joint Engineering Research Center for Green Comprehensive Utilization of Tailings Resources from Metal Ores, Kunming 650093, China
3
School of Metallurgical Engineering, Anhui University of Technology, Maanshan 243032, China
*
Authors to whom correspondence should be addressed.
Minerals 2024, 14(10), 1058; https://doi.org/10.3390/min14101058
Submission received: 23 September 2024 / Revised: 19 October 2024 / Accepted: 20 October 2024 / Published: 21 October 2024
(This article belongs to the Section Mineral Processing and Extractive Metallurgy)

Abstract

Tin-containing tailing is classified as a solid waste, but it possesses valuable resources such as tin and iron. Tin-containing tailing exhibits a fine distribution and compact symbiosis of cassiterite- and iron-containing minerals. Therefore, it is difficult to recover and separate cassiterite- and iron-containing minerals using traditional mineral processing methods. The study proposed a novel technology involving pre-concentration, reduction roasting, and magnetic separation for the treatment of tin-containing tailings with a tin grade of 0.14% and an iron grade of 12.79%. The classification pre-concentration method was achieved using a combination of shaking tables, suspension vibration cone separators, and high-gradient magnetic separation with a magnetic field strength of 1.4 T. The discarded tailings ratio reached 73.56%. The gravity pre-enriched concentrates and magnetic pre-enriched concentrates underwent reduction roasting to facilitate the conversion of hematite and goethite into magnetite, respectively. The optimal conditions for reduction roasting of the gravity pre-enriched concentrate were a 10% lignite dosage, a roasting temperature of 650 °C, and a holding time of 80 min. The optimal conditions for reduction roasting of the magnetic pre-enriched concentrate were a 8% lignite dosage, a roasting temperature of 750 °C, and a holding time of 100 min. The reduction roasted products were treated using magnetic separation with a magnetic field strength of 0.16 T. Finally, a tin-rich middling with a tin grade of 2.93% and a recovery ratio of 70.88%, as well as an iron concentrate with an iron grade of 61.95% and a recovery ratio of 68.08% were obtained. The study achieved efficient recoveries of tin and iron from tin tailings, thereby presenting a novel approach for the utilization of resources in the tailing.

1. Introduction

Tin is widely used in the electrical, electronic, and aerospace industries [1,2]. Therefore, tin consumption increases year by year, leading to its reserve gradually decreasing [3]. Tin is a siderophile element, and tin-containing minerals and iron-containing minerals are closely related in the geological mineralization process [4]. However, tin is a harmful element during the steelmaking process. The tin will deteriorate the properties of steel and alloy products. Therefore, the tin grade in the iron concentrate before smelting should be in the range of less than 0.08% [5]. Moreover, the reduction of iron oxide minerals will consume lots of reductant during the tin smelting, and tin–iron alloy is easy to form [6].
With the gradual consumption of the tin-rich ores, the resources of tin tailings have become the focus of attention [7,8]. The contents of tin and iron in tin tailings range from 0.1% to 1.0% and 10% to 20%, respectively. Tin mainly exists in the form of cassiterite, and iron minerals mainly include hematite and limonite in tin tailings. Tin-containing minerals and iron-containing minerals have a fine distribution and compact symbiosis. Therefore, it is difficult to separate tin-containing minerals and iron-containing minerals using traditional mineral processing methods, such as gravity separation, flotation, and magnetic separation [9].
Pyrometallurgical smelting technology is an effective method for achieving efficient separation of tin-containing minerals and iron-containing minerals from the tin tailing, including sulfidation volatilization [10,11,12], chlorination volatilization [13,14,15], and reduction volatilization [16,17,18,19]. However, the use of pyrometallurgical technology alone results in high costs and serious pollution. Recently, combined technologies of mineral processing and metallurgy have been reported with the low processing costs and high separation efficiency of tin and iron. The commonly employed combined technologies of mineral processing and metallurgy for the separation of tin and iron includes reduction roasting and magnetic separation technologies [20,21,22]. Reduction roasting refers to reducing iron phases into magnetite under high temperatures and a reducing atmosphere. The general required temperature is 600 °C~900 °C [21,23]. Regarding the utilization of tin tailings, there are relatively few studies on the separation of tin and iron. If all tailings are magnetized at full particle scale, the cost still limits its large-scale industrial application. Therefore, it is urgent to develop a novel approach that not only further reduces the roasting cost but also realizes the resource utilization of tin tailings.
In the study, a novel technology of pre-concentration, reducing roasting, and magnetic separation was proposed to treat the tin tailing to obtain a gravity pre-enriched concentrate and a magnetic pre-enriched concentrate. The classification pre-concentration method was adopted to enrich tin and iron and discard gangue minerals in advance, resulting in cost reductions. Magnetization roasting was employed to convert weakly magnetic hematite and goethite into strong magnetic magnetite, which could be recovered by magnetic separation. The effects of temperature, dosages of reducing reagent, and holding time on separation efficiency of tin and iron was investigated using roasting and magnetic separation experiments. The rule of phase evolution during the roasting process and the morphology of the roasted products were determined using XRD and SEM-EDS analyses. In addition, the process and parameters of enhancing the separation of cassiterite- and iron-bearing minerals in the magnetic separation were ascertained. Finally, the separation of cassiterite- and iron-bearing minerals in tin tailings was achieved. The study offers a novel idea for the comprehensive utilization of tin tailings.

2. Materials and Methods

2.1. Materials

The tin tailings in the study were obtained from Yunnan province, China. Chemical multielement analysis found that the contents of total iron and tin were 12.79% and 0.14%, respectively. Lignite was used as the reducing reagent during the reduction roasting process. The XRD (X-ray diffraction analyzer, Rigaku D/max-2200, Rigaku, Tokyo, Japan) pattern of the tailing is shown in Figure 1a. Iron was mainly found in the form of hematite (Fe2O3) and goethite (FeOOH). Calcite (CaCO3), dolomite (CaMg(CO3)2), and quartz (SiO2) were identified as the primary gangue minerals. Given that the contents of tin-containing minerals were less than the XRD detection limit, it was not detected [24]. The relationship between major minerals of the tailings was examined using a scanning electron microscope with energy dispersive X-ray spectroscopy (PHILIPS/FEI Quanta600 SEM with EDS, FEI Company, Hillsboro, OR, USA), and the results are presented in Figure 1b. It was found that cassiterite was closely associated with hematite in the tailing, suggesting that it was difficult to separate cassiterite and hematite using traditional beneficiation technologies.

2.2. Experimental Methods

The pre-enrichment treatment of the tin tailings was carried out using the combined technology of gravity separation and magnetic separation. The tin tailings were divided into three particle sizes, including fine particles in the range of less than 0.05 mm, medium- grained particles in the range of 0.05 to 0.15 mm, and coarse-grained particles in the range of more than 0.15 mm. The coarse-grained particles underwent grinding to achieve a particle size of −0.074 mm, accounting for 95%. After that, grinding products were enriched using shaking tables. The medium-grained particles were processes directly using shaking tables. The fine particles went into the suspended vibration cone separators (Deshang mining, LXZ-1200, Kunming, China). The three concentrate products obtained above were mixed to yield the gravity pre-enriched concentrate. The tailings subject to gravity separation were treated using a high-gradient magnetic separator (HGMS, Jinhuan, Slon-100, Ganzhou, China) with 1.4 T magnetic field strength to obtain magnetic pre-enriched concentrates, and the magnetic tailings were discarded. The gravity pre-enriched concentrate was subject to reduction roasting convert hematite into magnetite. After that, the roasting products were treated using a low-intensity magnetic separator (LIMS, Liyuan, XCGS-Φ50, Nanchang, China) to obtain the iron concentrate Ⅰ and tin-rich middling. The magnetic pre-enriched concentrate was treated using reduction roasting and LIMS to obtain the iron concentrate Ⅱ. The technical route of treatment of the tin tailing is charted in Figure 2.

3. Results and Discussion

3.1. Pre-Enrichment Treatment of Tin Tailings

The pre-enrichment process for the tin-containing tailings is shown in Figure 3. Cassiterite- and iron-bearing minerals have a large specific gravity, so they can be effectively enriched using gravity separation equipment, such as a shaking table and suspended vibration cone separators. Hematite is a weakly magnetic mineral [25], so it can be recovered using high-gradient magnetic separation with a 1.4 T magnetic field strength. In the gravity pre-enriched concentrate, the grade and recovery of iron were 32.03% and 27.76%, respectively, while for tin, the grade and recovery were 1.06% and 74.59%, respectively. Additionally, in the magnetic pre-enriched concentrate, the grade and recovery of iron were measured at 29.41% and 53.93%, respectively. The total discarded tailings ratio obtained using the pre-enrichment process for the tin-containing tailings reached 73.56%. Therefore, the high efficiency enrichments of cassiterite- and iron-bearing minerals were realized using the pre-concentration technology combining gravity separation and magnetic separation.

3.2. Tin and Iron Separation Experiments Using the Gravity Pre-Enriched Concentrate

3.2.1. Effects of Roasting Temperatures

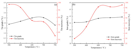
In order to clarify the effects of roasting temperatures on the separation of tin and iron, magnetic separation tests were carried out on the products obtained at different roasting temperatures. The lignite dosage was fixed at 10%, and the holding time was 40 min. The roasting temperatures were conditioned at 550, 600, 650, 700, and 750 °C. The results are presented in Figure 4. As shown in Figure 4a, the tin grade in the magnetic separation tailings gradually increased from 1.88% to 2.53% when the roasting temperature increased from 550 °C to 700 °C. However, the tin grade decreased to 1.79% when the roasting temperature rose to 750 °C. The tin recovery for the pre-enriched concentrate in the magnetic separation tailings gradually decreased from 97.65% to 55.24% when the roasting temperatures increased from 550 °C to 750 °C, suggesting that the conversion of SnO2 into SnO and its subsequent volatilization occurred readily under high temperatures [20]. The possible reactions of cassiterite at high temperatures are shown in Equations (1) and (2) [26].
C + CO2 = 2CO
SnO2 + CO = SnO + CO2
Figure 4b exhibits the effects of temperatures on the iron recovery from the magnetic separation concentrate. It can be seen that the grade of iron reached over 61%, and the roasting temperatures slightly promoted the increase in the grade of iron in the iron concentrate. Nevertheless, the iron recovery for the pre-enriched concentrate in the magnetic separation concentrate sharply increased from 29.78% to 91.61% when the roasting temperatures increased from 550 °C to 650 °C. Then, the iron recovery for the pre-enriched concentrate gradually increased to 95.56%. The possible reaction of iron-bearing minerals at high temperature is presented in Equation (3). These results indicated that increasing the temperature was conducive to the formation of magnetite.
3Fe2O3 + CO = 2Fe3O4 + CO2(g)
The XRD patterns of the roasted products at different temperatures are presented in Figure 5. Given that the contents of tin-containing minerals were less than the XRD detection limit, it was not detected [24]. However, it was observed that the diffraction peaks corresponding to hematite and magnetite were detected at a roasting temperature of 600 °C, indicating an incomplete reduction of hematite in the gravity pre-enriched concentrate during the reduction roasting process. As the temperature increased from 600 °C to 650 °C, the diffraction peak intensity of hematite gradually weakened, while that of magnetite increased. This was because the increase in the temperature promoted the transformation from hematite to magnetite, and the crystallization of magnetite gradually strengthens [27]. At temperatures as high as 700 °C or even 750 °C, no diffraction peaks associated with hematite were observed, confirming complete conversion of hematite into magnetite [28].

3.2.2. Effects of the Reducing Reagent

In order to clarify the effects of the dosages of lignite as the reducing reagent on the separation of tin and iron, roasting experiments were conducted using varying amounts of lignite (6%, 8%, 10%, 12%, and 14%) at a fixed roasting temperature of 650 °C with a holding time of 40 min. The results are shown in Figure 6. As illustrated in Figure 6a, when the amount of lignite increased from 6% to 10%, the tin grade in the magnetic separation tailing increased from 1.93% to 2.55%. As the amount of lignite increased from 10% to 14%, the tin grade fluctuated slightly. However, tin recovery for the pre-enriched concentrate in the magnetic separation tailing presented a decreasing trend from 95.18% to 73.18% as the dosage of lignite increased from 6% to 12%. As noted in Figure 6b, the grade of iron in the magnetic separation concentrate increased from 60.29% to 61.68%, and the iron recovery for the pre-enriched concentrates sharply increased from 37.91% to 90.84% when the dosage of lignite increased from 6% to 10%. When the dosage of lignite increased, sufficient reducing reagents provided a strong reducing atmosphere for the reduction roasting of hematite [29]. Therefore, with the increase in the dosage of lignite, the conversion of hematite to magnetite was promoted, and the recovery ratio and grade of iron significantly increased. As the dosage of lignite increased from 10% to 14%, the grade and recovery of iron in the magnetic separation concentrate were almost constant. These results demonstrate that the dosage of lignite exhibited a significant effect on the transformation of hematite and goethite into magnetite, and the phase evolution could not be completed when the amount was insufficient.

3.2.3. Effects of Holding Time

The effects of holding time on the separation of tin and iron were investigated under the conditions of a roasting temperature of 650 °C and a lignite content of 10%, and the results are presented in Figure 7.
From Figure 7a, it was found that the tin recovery for the pre-enriched concentrates gradually decreased from 84.37% to 72.79% when the holding time during the roasting increased from 20 min to 100 min. As the holding time increased from 20 min to 60 min, the tin grade was almost constant. Nevertheless, the tin grade increased to 3.04% when the holding time was extended to 80 min. From Figure 7b, it can be observed that the recovery of iron increased first and then decreased, but the overall iron grade showed a slow decreasing trend. This situation may be due to the excessive holding time, which inevitably produced some magnetic inclusions, thereby reducing the recovery ratio and grade of the concentrate [30]. The iron grade and recovery for the pre-enriched concentrates in the magnetic separation concentrate were 60.62% and 92.41% when the holding time was fixed as 80 min. The results suggested that the roasting reaction required a certain holding time. A sufficient holding time was conducive to the improvement in iron recovery [31].

3.2.4. Morphology of Roasted Products

In order to reveal the mechanism of the separation of tin and iron, the morphology of the gravity pre-enriched concentrate before and after roasting under the optimal roasting conditions (roasting temperature of 650 °C, lignite dosage of 10%, holding time of 80 min) was compared, and the results are presented in Figure 8.
Comparing Figure 8a with Figure 8b, it can be seen that the cracks appeared between the mineral phase interfaces after the roasting treatment, which are thought to be due to the differences in the heat absorption rate of gangue minerals, iron oxides, and cassiterite. In addition, the hematite was reduced to magnetite due to dehydration in the reduction roasting process, resulting in the formation of pores at different degrees in the mineral phase interface [24]. As a result, the structures of the minerals were loose after the roasting, making cassiterite easy to separate from other minerals, and improving the grindability of the ores. Combining the results of the XRD, EDS (Figure 8c,d), and low-intensity magnetic separation experiments, it was inferred that the roasted product was magnetite, and the gangue mineral was mainly lime from the decomposition of calcite.

3.2.5. Enhancing the Separation of Tin and Iron

In order to further reduce the loss ratio of tin in the magnetic separation concentrate, the regrinding process and the second-stage low-intensity magnetic separation process were carried out, as charted in Figure 9a. The effects of regrinding fineness on the separation of tin and iron were studied, and the results are shown in Figure 9b. When the grinding fineness increased from 35% to 95% for particles smaller than 74 μm, the iron grade in the iron concentrate Ⅰ was maintained above 62%, but the iron recovery gradually decreased from 25.28% to 21.48%. Additionally, it was observed that the tin grade in the tin-rich middling Ⅱ reached 2.52%, and the overall recovery was 13.63% when the regrinding fineness was fixed at −74 μm accounting for 95%. Through grinding, other minerals can be further dissociated from the target mineral, thereby improving the recovery ratio of the target mineral [32]. Correspondingly, the grade and comprehensive recovery for iron in the iron concentrate Ⅰ reached 62.88% and 21.48%, respectively. Combining the tin-rich middling Ⅰ with tin grade of 3.04% and a comprehensive recovery of 57.25%, the average grade of tin and the comprehensive recovery from the tin-rich middling reached 2.93% and 70.88%, respectively.

3.3. Iron Recovery from the Magnetic Pre-Enriched Concentrate

Reduction roasting experiments of the magnetic pre-enriched concentrate were carried out to further recover iron resources from the tailing. The effects of temperature, lignite dosage, and holding time on iron recovery from the magnetic concentrate were investigated, and the results are presented in Figure 10. Figure 10a shows the effects of the temperatures on the iron recovery from the magnetic concentrate. As the temperature increased from 550 °C to 750 °C, the iron grade decreased from 58.69% to 50.01%, but the iron recovery from the magnetic pre-enriched concentrate increased from 42.25% to 89.03%. The results indicated that appropriate temperatures promoted the conversion of hematite and limonite into magnetite. When the temperatures increased from 750 °C to 850 °C, the iron grade gradually increased to 53.60%, but the iron recovery gradually decreased to 86.22%.
The effects of the lignite dosage on the iron recovery from the magnetic concentrate were conducted under a roasting temperature of 750 °C. The corresponding results are illustrated in Figure 10b. It was found that the iron grade slightly increased as the dosage of lignite increased. However, the iron recovery showed a trend of first increasing and then decreasing. When the dosage of lignite reached 8%, the grade and recovery of iron achieved 54.04% and 91.96%, respectively. Figure 10c presents the effects of holding time during the reduction roasting on the iron recovery from the magnetic concentrate, when the roasting temperature and dosage of lignite were conditioned at 750 °C and 8%, respectively. As the holding time increased from 20 min to 100 min, the iron grade gradually increased from 53.76% to 56.09%. In addition, the iron recovery significantly increased from 86.53% to 92.32%. Therefore, a sufficient holding time is conducive to promoting the occurrence of the magnetization reaction. Therefore, according to the above results, it was determined that the optimal roasting conditions for the magnetic pre-enriched concentrate were a lignite dosage of 8%, a roasting temperature of 750 °C, and a roasting time of 100 min.
To further improve the iron grade in the magnetic concentrate, the products obtained using one-stage magnetic separation were treated by regrinding and two-stage magnetic separation. The magnetic field intensity for two-stage low-intensity magnetic separation remained fixed at 0.16 T. The effects of regrinding fineness on the iron recovery were investigated, and the results are shown in Figure 10d. The results demonstrated that the iron grade achieved was 61.48% and the comprehensive recovery was 46.60% when the grinding fineness of −74 μm accounted for 45%. However, with an increase in the regrinding fineness of −74 μm from 45% to 95%, both the iron grade and recovery exhibited a gradual decline due to a reduction in the magnetic properties observed in the fine-grained particles. Combining the above iron concentrate Ⅰ, the iron grade and comprehensive recovery could reach 61.95% and 68.08%, respectively.

4. Conclusions

In order to achieve the separation and enrichment of tin and iron in tin tailings, the study proposed a novel technology of pre-concentration, reduction roasting, and magnetic separation for the treatment of tin tailings. Some conclusions were drawn as follows:
(1) The contents of tin and iron in the tailing were 0.14% and 12.79%, respectively. Iron was in the form of hematite and goethite. Calcite, dolomite, and quartz were identified as the primary gangue minerals. The cassiterite was closely associated with hematite.
(2) The classification pre-concentration method was achieved using combination of shaking tables, suspension vibration cone separators, and high-gradient magnetic separation, and the discarded tailings ratio reached 73.56%. In the gravity pre-enriched concentrate, the grade and recovery of iron were 32.03% and 27.76%, respectively, while for tin, the grade and recovery were 1.06% and 74.59%, respectively. Additionally, in the magnetic pre-enriched concentrates, the grade and recovery of iron reached 29.41% and 53.93%, respectively.
(3) Increased temperatures were conducive to the formation and crystallization of magnetite. At temperatures as high as 700 °C or even 750 °C, the hematite completely converted into magnetite. The dosage of lignite had a significant effect on the transformation of hematite and goethite into magnetite. The separation of tin and iron in the gravity pre-enriched concentrate was enhanced by the increase in regrinding fineness and magnetic separation.
(4) A tin-rich middling with a tin grade of 2.93% and a recovery ratio of 70.88%, as well as an iron concentrate with an iron grade of 61.95% and a recovery ratio of 68.08% was obtained upon treatment with a novel technology involving pre-concentration, reducing roasting, and magnetic separation for the tin tailing. The study realized the enrichment and separation of tin and iron from the tailings.

Author Contributions

Writing—original draft, Data curation, Conceptualization, Y.L.; Supervision, Project administration, Funding acquisition, J.L. and Y.Z.; Validation, Investigation, Z.L. and L.Q. All authors have read and agreed to the published version of the manuscript.

Funding

This research was funded by Yunnan Major Scientific and Technological Projects (Grant No. 202202AG050010), Yunnan Fundamental Research Projects (Grant No. 202101BE070001-036), and Young Talent Project of “Xingdian Talent Support Plan” of Yunnan Province (No. KKRD202221039).

Data Availability Statement

The data that support the findings of this study are available from the corresponding author upon reasonable request.

Conflicts of Interest

The authors declare no conflict of interest.

References

  1. Yang, C.; Li, J.; Tan, Q.; Liu, L.; Dong, Q. Green Process of Metal Recycling: Coprocessing Waste Printed Circuit Boards and Spent Tin Stripping Solution. ACS Sustain. Chem. Eng. 2017, 5, 3524–3534. [Google Scholar] [CrossRef]
  2. Yang, C.; Tan, Q.; Liu, L.; Dong, Q.; Li, J. Recycling Tin from Electronic Waste: A Problem That Needs More Attention. ACS Sustain. Chem. Eng. 2017, 5, 9586–9598. [Google Scholar] [CrossRef]
  3. Zhou, Y.; Li, J.; Wang, G.; Chen, S.; Xing, W.; Li, T. Assessing the short-to medium-term supply risks of clean energy minerals for China. J. Clean. Prod. 2019, 215, 217–225. [Google Scholar] [CrossRef]
  4. Angadi, S.I.; Sreenivas, T.; Jeon, H.-S.; Baek, S.-H.; Mishra, B.K. A review of cassiterite beneficiation fundamentals and plant practices. Miner. Eng. 2015, 70, 178–200. [Google Scholar] [CrossRef]
  5. Su, Z.; Zhang, Y.; Liu, B.; Chen, Y.; Li, G.; Jiang, T. Effect of CaF2 on the reduction volatilization of tin oxide under CO-CO2 atmosphere. Miner. Process. Extr. Metall. Rev. 2017, 38, 207–213. [Google Scholar] [CrossRef]
  6. Liao, B.; Li, L.; Wang, H.; Sang, X.L. Thermodynamic Study on the Sulfidation-Magnetic Roasting of the Hematite Type of Tin-Bearing Iron Ore. Appl. Mech. Mater. 2014, 472, 596–602. [Google Scholar]
  7. Su, Z.; Zhang, Y.; Liu, B.; Lu, M.; Li, G.; Jiang, T. Extraction and separation of tin from tin-bearing secondary resources: A review. Jom 2017, 69, 2364–2372. [Google Scholar] [CrossRef]
  8. Wang, G.; Xiao, H.; Liang, G.; Zhu, J.; He, C.; Ma, S.; Shuai, Z.; Komarneni, S. Leaching characteristics and stabilization of heavy metals in tin-polymetallic tailings by sodium diethyl dithiocarbamate intercalated montmorillonite (DDTC-Mt). J. Clean. Prod. 2022, 344, 131041. [Google Scholar] [CrossRef]
  9. Peng, W.; Zheng, Y.; Wei, Y.; Wang, H.; Liu, G.; Yu, Y. An effective method for recovering ultrafine SnO2, MgSn(OH)6, and Zn from complex iron tailings. J. Mater. Res. Technol. 2024, 28, 468–477. [Google Scholar] [CrossRef]
  10. Yu, Y.; Li, L.; Wang, J. Sn recovery from a tin-bearing middling with a high iron content and the transformation behaviours of the associated As, Pb, and Zn. Sci. Total Environ. 2020, 744, 140863. [Google Scholar] [CrossRef]
  11. Li, L.; Xu, Z.; Wang, S. Tin Removal from Tin-Bearing Iron Concentrate with a Roasting in an Atmosphere of SO2 and CO. Metals 2022, 12, 1974. [Google Scholar] [CrossRef]
  12. Yu, Y.; Li, L. Transformation behaviour of sulfur from gypsum waste (CaSO4· 2H2O) while roasting with tin-bearing iron concentrate for tin removal and iron recovery. ISIJ Int. 2020, 60, 2291–2300. [Google Scholar] [CrossRef]
  13. Brocchi, E.A.; Moura, F.J. Chlorination methods applied to recover refractory metals from tin slags. Miner. Eng. 2008, 21, 150–156. [Google Scholar] [CrossRef]
  14. Li, M.; Yang, J.; Liang, S.; Hou, H.; Wang, J.; Hu, G.; Li, Z.; Hu, J.; Xiao, K.; Liu, B. Ammonia chloride assisted air-chlorination recovery of tin from pyrometallurgical slag of spent lead-acid battery. Resour. Conserv. Recycl. 2021, 170, 105611. [Google Scholar] [CrossRef]
  15. Liu-Gen, S.; Hai-Hui, H.; Xiao-Hui, X.U.; Yao-Chao, C.; Qi-Jin, W.J.N.M. Study on Recovery of Valuable Metals from Roasting. Cyanidation Residue 2017, 15–18. [Google Scholar] [CrossRef]
  16. Su, Z.; Zhang, Y.; Liu, B.; Chen, J.; Li, G.; Jiang, T. Behavior of SnO2 in the tin-bearing iron concentrate during a reduction sintering process. J. Min. Metall. Sect. B Metall. 2017, 53, 67–74. [Google Scholar] [CrossRef]
  17. Yu, Y.; Li, H.J.; Li, L. Reduction behavior of tin-containing phase in tin-bearing iron concentrates under CO-CO2 mixed gases. J. Min. Metall. B Metall. 2019, 55, 177–185. [Google Scholar] [CrossRef]
  18. Zhang, R.-J.; Li, L.; Yu, Y. Reduction roasting of tin-bearing iron concentrates using pyrite. ISIJ Int. 2016, 56, 953–959. [Google Scholar] [CrossRef]
  19. Yu, Y.; Wang, H.; Hu, J.; Zhong, D. An environmentally-friendly process for recovering, solidifying As and preparing bronze material from tin-bearing middling. J. Clean. Prod. 2021, 323, 129036. [Google Scholar]
  20. Yu, Y.; Zhang, F.; Wang, H.; Hu, J. Co-roasting of tin tailings and waste cathode carbon for the recovery of Sn, Zn, Pb and F. J. Mater. Res. Technol. 2022, 21, 2815–2826. [Google Scholar] [CrossRef]
  21. Tong, X.; Zhou, Y.C.; Lv, J.F.; Xie, X.; Li, G.D. Recovering tin and iron from vein tin tailings in Yunnan tin group by roasting-cohesion-magnetic separation technology. Chin. J. Nonferrous Met. 2011, 21, 1676–1704. [Google Scholar]
  22. Su, Z.; Zhang, Y.; Chen, J.; Liu, B.; Li, G.; Jiang, T. Selective separation and recovery of iron and tin from high calcium type tin-and iron-bearing tailings using magnetizing roasting followed by magnetic separation. Sep. Sci. Technol. 2016, 51, 1900–1912. [Google Scholar] [CrossRef]
  23. Su, Z.; Tu, Y.; Chen, X.; Zhang, Y.; Han, B.; Anderson, C.; Jiang, T. A value-added multistage utilization process for the gradient-recovery tin, iron and preparing composite phase change materials (C-PCMs) from tailings. Sci. Rep. 2019, 9, 14097. [Google Scholar] [CrossRef] [PubMed]
  24. Zhou, Y.; Tong, X.; Song, S.; Deng, Z.; Wang, X.; Xie, X.; Xie, F. Beneficiation of Cassiterite and Iron Minerals From a Tin Tailing with Magnetizing Roasting-Magnetic Separation Process. Sep. Sci. Technol. 2013, 48, 1426–1432. [Google Scholar] [CrossRef]
  25. Ronglin, W.; Mingjun, L.; Luping, C.; Liujun. Study on Beneficiation Technology of a Hematite Abroad. Modern Mining. 2023, 39, 172–175. [Google Scholar] [CrossRef]
  26. Fosu, A.Y.; Bartier, D.; Diot, F.; Kanari, N. Insight into the Extractive Metallurgy of Tin from Cassiterite. Materials 2024, 17, 3312. [Google Scholar] [CrossRef]
  27. Ponomar, V.P.; Dudchenko, N.O.; Brik, A.B. Reduction roasting of hematite to magnetite using carbohydrates. Int. J. Miner. Process. 2017, 164, 21–25. [Google Scholar] [CrossRef]
  28. Jing, J.; Guo, Y.; Chen, F.; Zheng, F.; Yang, L. Study on Volatizing Tin from Tin-Bearing Middling by Carbothermic Reduction in Rotary Kiln. In 10th International Symposium on High-Temperature Metallurgical Processing; Springer: Cham, Switzerland, 2019; pp. 211–219. [Google Scholar]
  29. Yu, K.; Zou, W.; Kou, J.; Sun, C.; Xu, H.; Dong, H.; Rao, B.; Sun, T. Utilization of low metamorphic degree bituminous coal in direct reduction of high-phosphorus oolitic hematite and its mechanism. Fuel 2024, 375, 132497. [Google Scholar] [CrossRef]
  30. Zhang, H.; Gao, P.; Yuan, S.; Qin, Y. Enhancement of magnetization roasting of hematite ore by high voltage pulse discharge. Miner. Eng. 2023, 203, 108360. [Google Scholar] [CrossRef]
  31. Zhou, W.; Sun, Y.; Han, Y.; Gao, P.; Li, Y. Recycling iron from oolitic hematite via microwave fluidization roasting and magnetic separation. Miner. Eng. 2021, 164, 106851. [Google Scholar] [CrossRef]
  32. Tukarambai, M.; Varma, M.S.H.; Raju, C.A.I. Batch grinding studies by a ball mill for hematite ore. Mater. Today Proc. 2020, 26, 825–832. [Google Scholar] [CrossRef]
Figure 1. XRD pattern (a) and SEM (b) of the tin tailings.
Figure 1. XRD pattern (a) and SEM (b) of the tin tailings.
Minerals 14 01058 g001
Figure 2. Technical route of treatment of the tin tailing.
Figure 2. Technical route of treatment of the tin tailing.
Minerals 14 01058 g002
Figure 3. Pre-enrichment process for the tin-containing tailings.
Figure 3. Pre-enrichment process for the tin-containing tailings.
Minerals 14 01058 g003
Figure 4. Effects of roasting temperatures on tin recovery from the magnetic separation tailing (a) and iron recovery from the magnetic separation concentrate (b) (lignite dosage of 10%, holding time of 40 min).
Figure 4. Effects of roasting temperatures on tin recovery from the magnetic separation tailing (a) and iron recovery from the magnetic separation concentrate (b) (lignite dosage of 10%, holding time of 40 min).
Minerals 14 01058 g004
Figure 5. XRD patterns of roasted products at different temperatures.
Figure 5. XRD patterns of roasted products at different temperatures.
Minerals 14 01058 g005
Figure 6. Effects of lignite dosages on tin recovery from the magnetic separation tailing (a) and iron recovery from the magnetic separation concentrate (b) (roasting temperature of 650 °C, holding time of 40 min).
Figure 6. Effects of lignite dosages on tin recovery from the magnetic separation tailing (a) and iron recovery from the magnetic separation concentrate (b) (roasting temperature of 650 °C, holding time of 40 min).
Minerals 14 01058 g006
Figure 7. Effects of holding time on tin recovery from the magnetic separation tailing (a) and iron recovery from the magnetic separation concentrate (b) (roasting temperature of 650 °C, lignite dosage of 10%).
Figure 7. Effects of holding time on tin recovery from the magnetic separation tailing (a) and iron recovery from the magnetic separation concentrate (b) (roasting temperature of 650 °C, lignite dosage of 10%).
Minerals 14 01058 g007
Figure 8. Morphology of the gravity pre-enriched concentrate (a) and roasted products (bd).
Figure 8. Morphology of the gravity pre-enriched concentrate (a) and roasted products (bd).
Minerals 14 01058 g008
Figure 9. The flow diagram of enhanced separation (a), and the effects of regrinding fineness on the separation of tin and iron (b).
Figure 9. The flow diagram of enhanced separation (a), and the effects of regrinding fineness on the separation of tin and iron (b).
Minerals 14 01058 g009
Figure 10. Effects of temperature (a), lignite dosage (b), holding time (c), and regrinding fineness (d) on iron recovery from the magnetic concentrate.
Figure 10. Effects of temperature (a), lignite dosage (b), holding time (c), and regrinding fineness (d) on iron recovery from the magnetic concentrate.
Minerals 14 01058 g010
Disclaimer/Publisher’s Note: The statements, opinions and data contained in all publications are solely those of the individual author(s) and contributor(s) and not of MDPI and/or the editor(s). MDPI and/or the editor(s) disclaim responsibility for any injury to people or property resulting from any ideas, methods, instructions or products referred to in the content.

Share and Cite

MDPI and ACS Style

Li, Y.; Lv, J.; Li, Z.; Zhou, Y.; Qin, L. A Novel Technology for the Recovery and Separation of Cassiterite- and Iron-Containing Minerals from Tin-Containing Tailing. Minerals 2024, 14, 1058. https://doi.org/10.3390/min14101058

AMA Style

Li Y, Lv J, Li Z, Zhou Y, Qin L. A Novel Technology for the Recovery and Separation of Cassiterite- and Iron-Containing Minerals from Tin-Containing Tailing. Minerals. 2024; 14(10):1058. https://doi.org/10.3390/min14101058

Chicago/Turabian Style

Li, Yi, Jinfang Lv, Zhiyuan Li, Yongcheng Zhou, and Longwei Qin. 2024. "A Novel Technology for the Recovery and Separation of Cassiterite- and Iron-Containing Minerals from Tin-Containing Tailing" Minerals 14, no. 10: 1058. https://doi.org/10.3390/min14101058

APA Style

Li, Y., Lv, J., Li, Z., Zhou, Y., & Qin, L. (2024). A Novel Technology for the Recovery and Separation of Cassiterite- and Iron-Containing Minerals from Tin-Containing Tailing. Minerals, 14(10), 1058. https://doi.org/10.3390/min14101058

Note that from the first issue of 2016, this journal uses article numbers instead of page numbers. See further details here.

Article Metrics

Back to TopTop