Next Article in Journal
A Comparison Study on the Recovery of REEs from Red Mud by Sulfation Roasting–Water Leaching and Citric Acid Leaching
Previous Article in Journal
The Contribution of Carbonaceous Material to Gold Mineralization in the Huangjindong Deposit, Central Jiangnan Orogen, China
 
 
Font Type:
Arial Georgia Verdana
Font Size:
Aa Aa Aa
Line Spacing:
Column Width:
Background:
Article

Acceleration of Numerical Modeling of Uranium In Situ Leaching: Application of IDW Interpolation and Neural Networks for Solving the Hydraulic Head Equation

by
Maksat B. Kurmanseiit
1,2,*,
Madina S. Tungatarova
1,2,*,
Banu Z. Abdullayeva
3,
Daniar Y. Aizhulov
1,4 and
Nurlan M. Shayakhmetov
2
1
Joldasbekov Institute of Mechanics and Engineering, Almaty 050010, Kazakhstan
2
Department of Mechanical Engineering, Satbayev University, Almaty 050013, Kazakhstan
3
Department of Mechanics, Al-Farabi Kazakh National University, Almaty 050040, Kazakhstan
4
Department of Software Engineering, Satbayev University, Almaty 050013, Kazakhstan
*
Authors to whom correspondence should be addressed.
Minerals 2024, 14(10), 1043; https://doi.org/10.3390/min14101043
Submission received: 26 August 2024 / Revised: 11 October 2024 / Accepted: 15 October 2024 / Published: 18 October 2024
(This article belongs to the Section Mineral Processing and Extractive Metallurgy)

Abstract

The application of In Situ Leaching (ISL) has significantly boosted uranium production in countries like Kazakhstan. Given that hydrodynamic and chemical processes occur underground, mining enterprises worldwide have developed models of reactive transport. However, modeling these complex processes demands considerable computational resources. This issue is particularly significant in the context of numerical analyses of mining processes or when modeling production scenarios in uranium mining by the ISL technique, given that a substantial portion of computational resources is allocated to solving the hydraulic head equation. This work aims to explore the applicability of PINNs to accelerate hydrodynamic simulations of the ISL process. The solution of the Poisson equation is accelerated by generating an initial approximation for the iterative method through the application of the Inverse Distance Weighting (IDW) interpolation and PINNs. The impact of various factors, including the computational grid and the spacing between wells, on both the accuracy and efficiency of initial approximation and the overall solution of the elliptic equation are explored. Employing the hydraulic head distribution obtained through PINNs as the initial approximation led to a significant reduction in computation time and a decrease in the number of iterations by a factor of 2.8 to 7.10.

1. Introduction

The in situ leaching (ISL) method is widely used in the development of uranium deposits, specifically of rollfront types (infiltration-type deposits). These deposits are characterized by the accumulation of uranium within permeable sandstone formations [1]. The ISL method is particularly suitable for exploiting deposits with low mineral concentrations in highly permeable rocks. Among the key advantages of this method are its high environmental sustainability and economic efficiency [2,3,4,5,6]. This method has become widespread in the development of uranium deposits in Kazakhstan [5,6,7] due to its safety and cost-effectiveness compared to other approaches [8,9]. A distinctive feature of this method is the in situ extraction of uranium by injecting a leaching solution into the formation through a network of wells, dissolving the mineral directly at the deposit site, and subsequently pumping the productive solution out through a network of extraction wells, as shown in Figure 1 [2,4,5,6,7]. The leaching agent is selected depending on the mineralogical composition of the deposit; at uranium deposits in Kazakhstan, an aqueous solution of sulfuric acid is used [3,5,6]. The selection of the well placement pattern and the spacing between wells is primarily determined by the geometric properties of the deposit block and the depth of uranium mineralization. Well spacing typically ranges from 10 to 80 m, with distances of 30 to 50 m being the most commonly employed [10].
Currently, there is a decline in uranium reserves suitable for ISL, which underscores the need for a thorough investigation of uranium extraction processes. This can be achieved through the application of modeling techniques, both during the geological exploration phase to enhance the accuracy of reserve estimation and field development and during the operational phase to optimize extraction regimes.
In the process of geological exploration, traditional geostatistical methods [11] can be used to construct geological models and calculate reserves, as well as modern methods based on streamlines, which have higher accuracy for a given number of wells [12].
Models describing the process of uranium extraction using the ISL method during development and operation are presented in the works of [13,14,15,16,17,18,19]. The numerical investigation of ISL processes, particularly in the domain of uranium extraction, has become a focal area of research in countries such as France, Russia, and Kazakhstan. The works in [13,14,15] presented the development and validation of a three-dimensional model at the Tortkuduk uranium deposit, where full-scale modeling of the technological block and history matching were performed. Similarly, researchers from Seversk University have validated the software for the ISL process simulation using data from the Khiagda uranium deposit [16,17]. The authors of this article have developed specialized software for Kazatomprom, which has been employed for the modeling and simulation of uranium deposits at Inkai and Ortalyk. This software has played a crucial role in optimizing the ISL processes at these sites, contributing to more efficient resource extraction and better management of the technological operations involved.
The main difficulty that imposes restrictions on the application of these models is the computational time required to calculate history matching or for each of the development scenarios [14,20]. The process model can be conditionally divided into hydrodynamic modeling and reactive transport model.
The hydrodynamics of this process is described by the law of conservation of mass (1) and Darcy’s law (2), which are transformed into an elliptic differential equation for calculating the pressure or hydraulic head field (3). The right-hand term of the equation is the sum of the flow rates of injection and production wells, which change daily during operation as follows:
d i v ( u ϕ ) = i n Q i n δ ( x x i n , y y i n ) + p r Q p r δ ( x x p r , y y p r )
u ϕ = K f · grad ( H )
d i v ( K f · grad ( H ) ) = i n Q i n δ ( x x i n , y y i n ) + p r Q p r δ ( x x p r , y y p r )
where u [ m . d a y 1 ] —flow velocity, ϕ [ m 3 . m 3 ] —porosity, i n Q i n δ ( x x i n , y y i n ) + p r Q p r δ ( x x p r , y y p r ) [ d a y 1 ] —a term characterizing debits on wells, positive for injection and negative for production, δ ( x , y ) —Dirac’s delta function, and K f [ m . d a y 1 ] —hydraulic conductivity coefficient.
The right-hand side of Equation (3) contains a term representing the flow rates at the wells, with these rates varying on a daily basis. Given the elliptic nature of the equation, any change in flow rate, even at a single well, necessitates an iterative solution. Consequently, for each time step, the hydraulic head equation must be recalculated through iterative methods. This process results in a considerable increase in computational time.
The reduction in computational time can be achieved through the use of modern high-performance methods [21,22,23], including GPU calculations [24,25,26]. In this paper, a method for accelerating the solution of Equation (3) is proposed by finding an initial approximation.
Given the available flow rate values at the wells, it is proposed to utilize an interpolation method, specifically Inverse Distance Weighting (IDW), to estimate the distribution of the hydraulic head across the computational domain. This interpolated distribution is subsequently used as an initial approximation for the iterative solution method. The distribution determined by the interpolation method is subsequently used as an initial approximation for the iterative method, thereby decreasing the number of necessary iterations.
Another approach to accelerating computations involves the use of machine learning techniques. These models require input data for training and test data to evaluate the effectiveness of the learning process. These data can either be experimental or derived from extensive direct simulations, particularly when employing neural networks based on the principles of PINNs [27,28,29]. The implementation of PINNs leverages neural networks that incorporate the underlying physics of the process, enabling effective training even with a relatively small dataset.
The uniqueness of PINNs lies in the training mechanism, which incorporates both empirical data and physical laws directly into the model’s loss function [27,30]. This dual approach enables PINNs to effectively address both direct and inverse problems, including those that involve estimating unknown parameters. PINNs are particularly effective in scenarios where data are limited, provided that the physical laws governing the system are well-understood and remain constant [27].
In this article, the authors explored methods to accelerate the computation of the hydraulic head equation for uranium leaching using the ISL method, without relying on high-performance computing resources. In particular, they proposed using interpolation and machine learning methods to determine the initial approximation for the iterative solution of the hydraulic head equation.

2. Methods and Materials

A two-dimensional homogeneous porous domain with a constant hydraulic conductivity coefficient K f with a size of 150 × 150 m, with one injection well and one pumping well located along a diagonal line D is considered (Figure 2). The distance between wells varies from 30 to 70 m. Distances below 30 m significantly affect the number of wells and their construction costs, while distances exceeding 70 m lead to a substantial extension of the recovery time and operational costs [10]. The flow rates Q at the wells are fixed. The boundaries of the region are impermeable. The calculated data used in the modeling are given in Table 1.
The boundary conditions for Equation (3) are as follows: d H / d n Ω = 0 .
Equation (3) can be solved iteratively by the successive over-relaxation (SOR) method [31], and the time necessary to find a solution depends on the choice of the initial approximation; in most cases, the initial approximation is given as H τ = 0 = 0 .
Figure 2b shows the distribution of the hydraulic head in the considered domain on a computational grid with dimensions of 101 × 101, where the distance between wells is 50 m. To achieve the convergence of the solution with an accuracy of ϵ = 10 6 , 3123 iterations were performed in 2.7 s.
To study the convergence of the method, several computational grids were considered, varying in the range from 11 to 201 nodes along each axis. Figure 3 shows the change in the mean value of the hydraulic head depending on the number of cells in one direction. The results show that the convergence of the SOR method is achieved already on a computational grid of 101 × 101.
To reduce the number of iterations and computation time, an initial approximation was selected to solve Equation (3) using IDW interpolation and machine learning, specifically PINNs.

2.1. Application of the Interpolation Method to Find the Initial Approximation for Solving the Hydraulic Head Equation

To determine the initial approximation for the hydraulic head, the Inverse Distance Weighting interpolation method is employed. In this approach, the value at an arbitrary point is calculated as a weighted sum of the values from points with known data, with the influence of each point diminishing with an increase in the distance between it and the arbitrary point as follows [32]:
H * ( x ) = i = 1 n 1 d i p H ( x i ) j = 1 n 1 d j p
where H * ( x ) —an unknown value of a hydraulic head at an arbitrary node x , H ( x i ) —known values of a hydraulic head at node x i , coinciding with wells, d i —distance from the arbitrary node x and node x with established hydraulic head value, and p—power parameter.
Positions (in the domain) of well coordinates and values of hydraulic head on them are known. These two points are marked in blue and red on Figure 2. For the other grid nodes, the values are not yet known.
Figure 4 shows the distributions of the hydraulic head determined by the IDW interpolation method with p = 2 (Figure 4a) and the iterative SOR method (Figure 4b). Utilizing the interpolated hydraulic head distribution as an initial approximation for the iterative method resulted in a reduction in the number of iterations from 3123 to 2564, while the overall computation time decreased by a factor of 2.1.
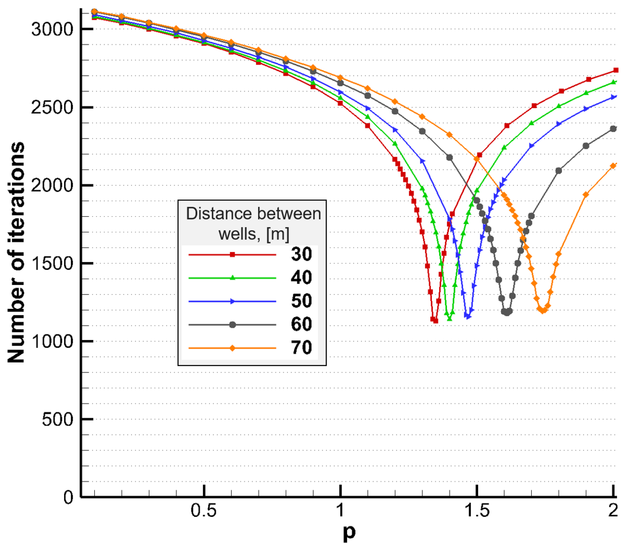
Similar calculations were conducted for various values of the distance between wells, which were arranged along the diagonal line D (Figure 2). Since the power parameter p in Formula (4) is determined empirically, a study was undertaken to investigate the influence of the p value on the number of iterations and the computation time required for calculating the hydraulic head (Figure 5). The results indicate that increasing the p parameter initially reduces the number of iterations up to a certain point, beyond which the number of iterations begins to increase. For instance, when the distance between wells is 50 m, the minimum number of iterations, 1157, is achieved at p = 1.47 (Figure 6). Additionally, the value of p that minimizes the number of iterations varies depending on the distance between the wells.
Table 2 presents the values of the power parameter p with the respective minimum number of iterations achieved for various distances between wells. Applying these optimized power parameter values in the interpolation of the initial approximation enabled a reduction in the computation time of Equation (3) by a factor of 2.49 to 2.78, depending on the distance between the wells.
Similar calculations were performed with different values of the distance between wells for the computational grid as follows: 151 × 151 and 201 × 201. The calculations indicate that as the computational grid becomes denser, the influence of the distance between wells on the optimal power parameter p for minimizing iterations is significantly reduced (Figure 7). The power parameter p changes in the range of 0.54–0.59 and 0.3–0.31 on the computational grids 151 × 151 (Table 3) and 201 × 201 (Table 4), respectively.
The use of the found values of the power parameter in the interpolation of the initial approximation allowed the reduction in the calculation time of Equation (3) by 2.99–3.21 times and 3.18–3.73 times on the grids of 151 × 151 and 201 × 201, respectively.
The results of the calculations indicate that employing interpolation methods for selecting the initial approximation in solving the hydraulic head or hydrodynamic pressure in Equation (3) yields a reduction in the number of iterations required for convergence. However, the effectiveness of this approach is significantly influenced by the characteristics of the computational grid and the choice of the power parameter p. Consequently, while interpolation proves beneficial for improving the efficiency of the initial approximation, its application is constrained by these dependencies.
Conversely, the reliance of the power parameter p on the distances between wells imposes limitations on its practical application to real technological blocks. In practice, the distances between wells within a single block typically vary within the range of 40 to 50 m, thereby complicating the consistent application of this parameter across different well configurations [33].

2.2. Using Neural Networks to Find an Initial Approximation for Solving the Hydraulic Head Equation

To reduce the number of iterations and decrease computation time, the initial approximation was derived using the Physics-Informed Neural Networks (PINNs) approach, which integrates artificial neural networks with underlying physical principles. This method leverages both data-driven and physics-based insights to enhance the accuracy and efficiency of the computational process [30].
PINN models incorporate a mathematical representation of the physical process directly into the loss function of the neural network. This integration ensures that the physical processes are accurately modeled and upheld during the training phase. By training on both physical laws and empirical data derived from a mathematical model, as outlined by [34], PINNs are capable of predicting hydraulic head values across arbitrary computational grids. The implementation algorithm for the PINN model is depicted in Figure 8. The neural network architecture consists of an input layer that receives information regarding the coordinates of the injection and extraction wells. This is followed by two hidden layers, each comprising 250 neurons. The output layer generates an array of hydraulic head data. The output is then evaluated using a loss function, which, in the PINNs model, is a composite metric. This loss function accounts for several types of losses: data losses, physical losses, and losses associated with the initial and boundary conditions as follows [35,36]:
L = L d a t a + L p h y s i c s + L b o u n d a r y + L i n i t i a l
  • Data loss L d a t a quantifies the discrepancy between the predicted and actual values of hydraulic head as follows:
    L d a t a = 1 n i = 1 n H p r e d ( i ) H t r u e ( i ) 2 ;
  • Physical loss L p h y s i c s represents the degree to which the model satisfies the constraints imposed by Equation (3) as follows:
    L p h y s i c s = 1 n i = 1 n 2 H p r e d ( i ) x 2 + 2 H p r e d ( i ) y 2 Q ( i ) 2 ;
  • The initial condition loss is quantified as the mean square error between the predicted values of H n and the specified initial conditions as follows:
    L i n i t i a l = 1 n i = 1 n H t r u e ( i ) H n ( i ) 2 ;
  • The boundary condition loss is calculated as the mean square error between the predicted gradients and the expected gradients at the boundaries of the domain as follows:
    L b o u n d a r y = 1 m i = 1 m B C t r u e ( i ) B C [ r e d ] ( i ) 2 .
The training of the PINNs is implemented using the Python programming language. Automatic differentiation (AD) is provided by the TensorFlow library, which utilizes the GradientTape() function to monitor operations and compute gradients of the loss function with respect to the model parameters. This functionality simplifies the optimization process and enhances the efficiency of neural network training. The model was trained over 3000 epochs with a batch size of 128. Employing batches after each layer contributes to stabilizing the training process and accelerating the convergence of the model.
The network architecture comprises the following:
  • Input layer: two neurons;
  • Hidden layers: two layers with 250 neurons each, with ReLU activation function;
  • Output layer: one neuron with a linear activation function;
  • An ‘Adam’ optimizer [27,35,37];
  • Physical loss function (calculated based on equations and their gradients) [35,36];
Model training:
  • 3000 epochs;
  • 128 batch size;
  • Learning rate: 0.0001;
Figure 9 presents the distributions of the hydraulic head as determined by the machine learning method (Figure 9a) and the iterative Successive Over-Relaxation (SOR) method for a well spacing of 50 m on a 101 × 101 computational grid. Although there is qualitative agreement between the hydraulic head distributions obtained using PINNs and those from the SOR method, the normalized root mean square deviation (NRMSD) is 0.23%. Consequently, the PINN-derived values were employed as the initial approximation for solving Equation 3 using the SOR method. Utilizing the PINN-derived distribution as the initial approximation resulted in a reduction in the number of iterations by a factor of 2.045, decreasing from 3123 to 1527.
Following the methodology described in previous subsection, calculations were performed with well spacings ranging from 30 to 70 m along the diagonal line D (see Figure 10, Figure 11, Figure 12 and Figure 13). Table 5 provides data on the number of iterations and computational time required to solve Equation (3) using both the initial approximation derived from PINNs and a zero initial approximation on a 101 × 101 computational grid for various well spacings. The results indicate that employing the hydraulic head distribution obtained through PINNs as the initial approximation significantly reduced the computational time for solving Equation (3), with reductions ranging from 2.22 to 3.86 times across different well spacings.
The solution of the hydraulic head, Equation (3), was carried out using the initial approximations obtained through the PINN method across various well spacings on computational grids of different sizes: 101 × 101, 151 × 151, and 201 × 201. The results, presented in Table 5, Table 6 and Table 7, indicate that the number of iterations required when using the initial approximation determined by PINNs is predominantly influenced by the size of the computational grid. In contrast, the number of iterations shows minimal variation with changes in well spacings.
Furthermore, employing the hydraulic head distribution obtained via PINNs as the initial approximation for solving Equation (3) led to a substantial reduction in computation time and a decrease in the number of iterations by a factor of 2.8 to 7.10, depending on the distance between wells, across the various computational grid configurations examined (Table 6 and Table 7).
Figure 14 and Figure 15 show the dependence of time and maximum computational error on the learning rate and the number of epochs.

3. Discussion of Results

This section of the article provides a comparative analysis of the efficiency of utilizing distributions obtained through the Inverse Distance Weighting interpolation method and those derived from Physics-Informed Neural Networks as initial approximations for solving the hydraulic head, Equation (3).
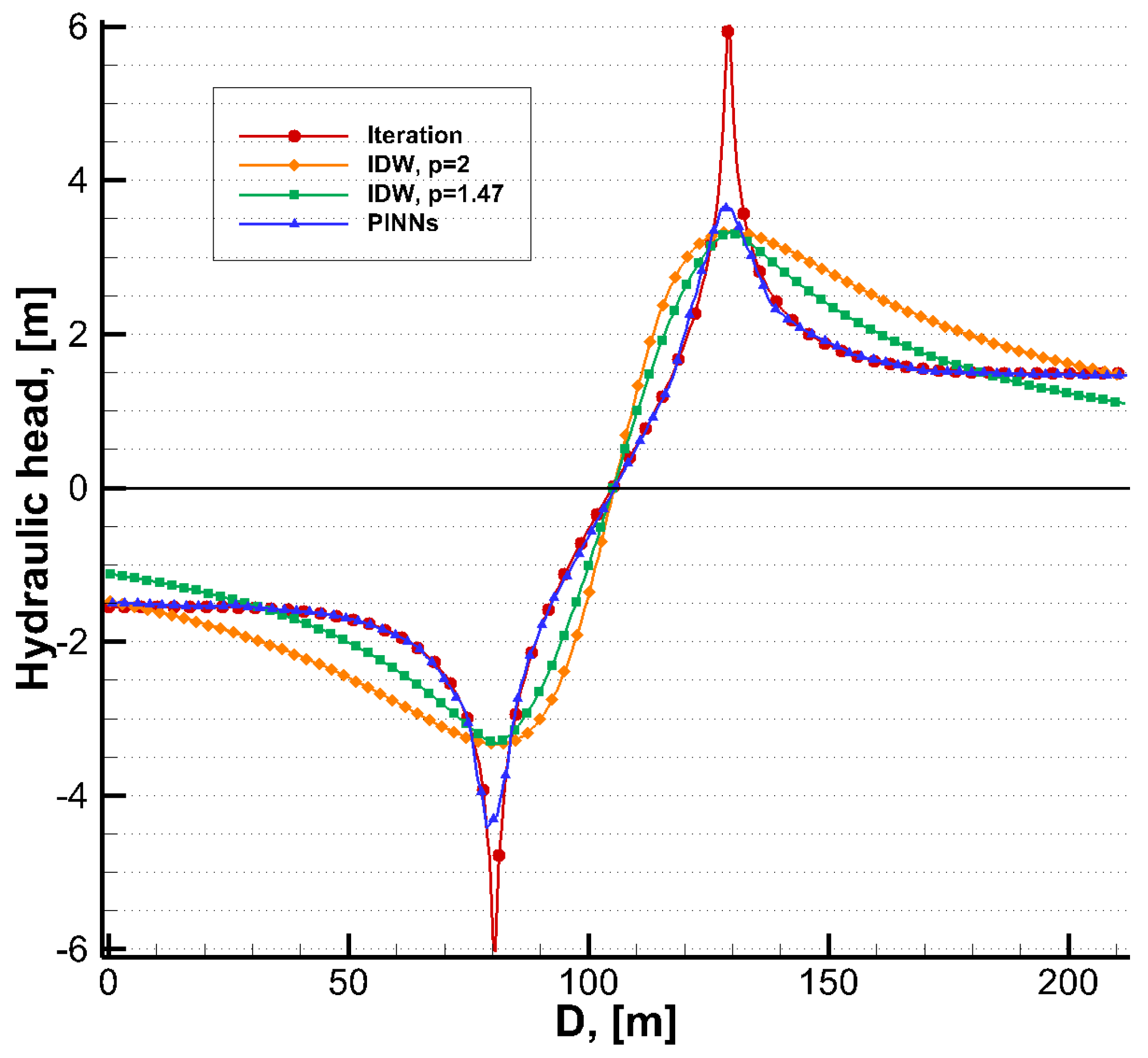
Figure 16 presents a comparison of the hydraulic head distributions along line D (refer to Figure 2), as calculated through iterative methods (red line), and initial approximations obtained using the IDW interpolation method with a power parameter p = 2 (orange line) and the optimal value p = 1.47 (green line), alongside the distribution generated by the PINN method (blue line) on a 101 × 101 computational grid.
Similar results with a condensed computational grid are shown in Figure 17, where only the optimal value p = 0.56 and p = 0.3 for the 151 × 151 (Figure 17a) and 201 × 201 (Figure 17b) grids, respectively, are used as the power parameter p in Equation (4). In this case, a significant change in the value of the power parameter p is associated with a decrease in the spatial step, where Δ = Δ x = Δ y = 1.5 for a 101 × 101 computational grid, while Δ = 1.0 and Δ = 0.75 for the 151 × 151 and 201 × 201 grids, respectively.
A comparison of the deviations, including mean error (ME), mean absolute error (MAE), root mean square error (RMSE), normalized root mean square deviation (NRMSD), and maximal error (Max), between the iterative solution of the hydraulic head Equation (3) and the initial approximations obtained by IDW interpolation (Table 8) and PINNs (Table 9) on a 201 × 201 computational grid was conducted. During the determination of the initial approximation, the power parameter p was adjusted based on the distance between wells, following the conclusions outlined in the previous section. The analysis revealed that the maximum error decreases as the distance between wells increases and is primarily located at the well positions.
Utilizing PINNs to determine the initial approximation reduces the maximum error by a factor of 1.5 to 2.5 compared to the IDW interpolation method, across various well spacings.

4. Conclusions

This study contributes to the ongoing advancements in computational modeling for in situ leaching, particularly in uranium recovery, by proposing a novel application of precomputed initial approximations to enhance computational efficiency. Despite the availability of advanced software solutions such as those developed in Seversk (Russia), HYTEC by ORANO (France), and Kazatomprom (Kazakhstan), modeling ISL remains a computationally demanding process, especially in redetermining the hydraulic head field due to frequent variations in flow rates on wells, which can change daily. These variations necessitate recalculating hydraulic head fields, which, in turn, affect the movement of the solution front, making real-time forecasting and decision-making challenging.
High-performance computing clusters could theoretically address these issues, but their implementation in remote mining sites is impractical due to data transfer limitations. To address this, the authors propose using initial approximations determined by IDW interpolation and PINNs, which can significantly reduce the computational load. In this study, both IDW and PINNs were applied to a simplified scenario with two wells in a homogeneous porous medium. The distance between the wells varied from 30 to 70 m, and calculations were performed on computational grids of 101 × 101, 151 × 151, and 201 × 201.
However, methods such as IDW, along with many other geostatistical approaches, are highly dependent on subjective parameters, such as the power parameter p in IDW, as demonstrated in this study, or the variogram function in the kriging-based methods. This dependency can result in unstable performance outcomes. In contrast, PINNs demonstrated a more consistent improvement, with computation times reduced by a factor of 2.8 to 7.10, depending on well spacing and grid resolution, and a significant reduction in maximum error compared to IDW.
The novelty of this study lies in demonstrating the applicability of PINNs as an initial approximation method for solving the hydraulic head equation during ISL. This study represents a significant step forward in applying neural network-based methods to ISL process modeling. Although the current work focuses on simplified scenarios, future research will explore the application of PINNs to more complex, field-specific conditions to fully validate the effectiveness of this approach in operational environments.

Author Contributions

Ideas, M.B.K., D.Y.A. and M.S.T.; methodology M.B.K., M.S.T. and N.M.S.; software and tests, M.B.K. and B.Z.A.; case study, M.B.K., B.Z.A. and D.Y.A.; writing—original draft preparation, M.B.K., M.S.T. and D.Y.A.; writing—review and editing, M.S.T. and D.Y.A.; visualization, M.B.K., B.Z.A. and N.M.S.; supervision, M.S.T.; funding acquisition M.S.T. All authors have read and agreed to the published version of the manuscript.

Funding

The work has been funded by the Ministry of Science and Higher Education of Kazakhstan through the Program of targeted financing BR18574136.

Data Availability Statement

Data is contained within the article.

Acknowledgments

The authors thank the reviewers with constructive suggestions/improvements. We are grateful to Joldasbekov Institute of Mechanics and Engineering and Satbayev University for their support.

Conflicts of Interest

The authors declare no conflicts of interest.

Abbreviations

The following abbreviations are used in this manuscript:
GPUGraphics processing unit
ISLIn Situ Leaching
IDWInverse Distance Weighting
PINNsPhysics-Informed Neural Networks
SORSuccessive over-relaxation

References

  1. Bruneton, P.; Cuney, M. Geology of Uranium Deposits Uranium for Nuclear Power; Woodhead Publishing: Boston, MA, USA, 2016; Volume 2, pp. 11–52. [Google Scholar] [CrossRef]
  2. Bhargava, S.K.; Ram, R.; Pownceby, M.; Grocott, S.; Ring, B.; Tardio, J.; Jones, L. A review of acid leaching of uraninite. Hydrometallurgy 2015, 151, 10–24. [Google Scholar] [CrossRef]
  3. Seredkin, M.; Zabolotsky, A.; Jeffress, G. In situ recovery, an alternative to conventional methods of mining: Exploration, resource estimation, environmental issues, project evaluation and economics. Ore Geol. Rev. 2016, 79, 500–514. [Google Scholar] [CrossRef]
  4. Li, G.; Yao, J. A Review of In Situ Leaching (ISL) for Uranium Mining. Mining 2024, 4, 120–148. [Google Scholar] [CrossRef]
  5. Brovin, K.G.; Grabovnikov, V.A.; Shumilin, M.V.; Yazikov, V.G. Forecast, Search, Exploration and Industrial Estimation of Uranium Deposits for Production with In-Situ Leaching Method [Prognoz, Poiski, Razvedka I Promyshlennaya Ocenka Mestorozhdeniy Urana Dlya Otrabotki Podzemnym Vyshelachivaniyem]; Gylym: Almaty, Kazakhstan, 1997; p. 384. (In Russian) [Google Scholar]
  6. Gromov, B.V. Introduction to Chemical Technology of Uranium [VVedenie v Himicheskuyu Tehnologiyu Urana]; Atomizdat: Moscow, Russia, 1978; p. 326. (In Russian) [Google Scholar]
  7. NEA/IAEA. Uranium 2022: Resources, Production and Demand; OECD Publishing: Paris, France, 2023; pp. 75–94. Available online: https://read.oecd-ilibrary.org/nuclear-energy/uranium-2022_2c4e111b-en (accessed on 6 October 2024).
  8. Abzalov, M.Z. Sandstone-Hosted Uranium Deposits Amenable for Exploitation by In Situ Leaching Technologies. Appl. Earth Sci. 2012, 121, 55–64. [Google Scholar] [CrossRef]
  9. Abzalov, M.Z.; Drobov, S.R.; Gorbatenko, O.; Vershkov, A.F.; Bertoli, O.; Renard, D.; Beucher, H. Resource Estimation of In Situ Leach Uranium Projects. Appl. Earth Sci. 2014, 123, 71–85. [Google Scholar] [CrossRef]
  10. IAEA. Wellfield systems for ISL mining in sandstone deposits. In Manual of Acid In Situ Leach Uranium Technology; International Atomic Energy Agency (IAEA): Vienna, Austria, 2001; pp. 147–163. Available online: https://www-pub.iaea.org/MTCD/Publications/PDF/te_1239_prn.pdf (accessed on 6 October 2024).
  11. Renard, D.; Beucher, H. 3D representations of a uranium roll-front deposit. Appl. Earth Sci. 2012, 121, 84–89. [Google Scholar] [CrossRef]
  12. Aizhulov, D.; Tungatarova, M.; Kaltayev, A. Streamlines Based Stochastic Methods and Reactive Transport Simulation Applied to Resource Estimation of Roll-Front Uranium Deposits Exploited by In-Situ Leaching. Minerals 2022, 12, 1209. [Google Scholar] [CrossRef]
  13. Regnault, O.; Lagneau, V.; Fiet, N. 3D reactive transport simulations of uranium in situ leaching: Forecast and process optimization. In Proceedings of the 7th International Conference on Uranium Mining and Hydrogeology, Freiberg, Germany, 11 September 2014; pp. 725–730. [Google Scholar] [CrossRef]
  14. Collet, A.; Regnault, O.; Ozhogin, A.; Imantayeva, A.; Garnier, L. Three-dimensional reactive transport simulation of Uranium in situ recovery: Large-scale well field applications in Shu Saryssu Bassin, Tortkuduk deposit (Kazakhstan). Hydrometallurgy 2022, 211, 105873. [Google Scholar] [CrossRef]
  15. Escario, S.; Seigneur, N.; Collet, A.; Regnault, O.; de Boissezon, H.; Lagneau, V.; Descostes, M. A reactive transport model designed to predict the environmental footprint of an ‘in-situ recovery’ uranium exploitation. J. Contam. Hydrol. 2023, 254, 104106. [Google Scholar] [CrossRef]
  16. Ushakov, A.O.; Zherin, I.I.; Muslimova, A.V.; Noskov, M.D. Research of the influence of the feed solution flow rate on the uranium refining in an extraction column cascade. Atom. Energy 2023, 135, 40–46. [Google Scholar] [CrossRef]
  17. Noskov, M.D.; Mikhailov, A.N.; Narushkin, R.S.; Rusin, R.S. “Smart field” of in situ leach uranium mining. Gornyi Zhurnal 2022, 4, 39–45. [Google Scholar] [CrossRef]
  18. Li, Y.; Zhang, C.; Tang, Z.; Li, C.; Liu, Z.; Tan, K.; Liu, L. Hydrodynamics control for the well field of in-situ leaching of uranium. Nucl. Eng. Technol. 2024, in press, corrected proof. [Google Scholar] [CrossRef]
  19. Kurmanseiit, M.B.; Tungatarova, M.S.; Kaltayev, A.; Royer, J.-J. Reactive Transport Modeling during Uranium In Situ Leaching (ISL): The Effects of Ore Composition on Mining Recovery. Minerals 2022, 12, 1340. [Google Scholar] [CrossRef]
  20. Shayakhmetov, N.M.; Alibayeva, K.A.; Kaltayev, A.; Panfilov, I. Enhancing uranium in-situ leaching efficiency through the well reverse technique: A study of the effects of reversal time on production efficiency and cost. Hydrometallurgy 2023, 219, 106086. [Google Scholar] [CrossRef]
  21. Kurmanseiit, M.B.; Tungatarova, M.S.; Royer, J.-J.; Aizhulov, D.Y.; Shayakhmetov, N.M.; Kaltayev, A. Streamline-based reactive transport modeling of uranium mining during in-situ leaching: Advantages and drawbacks. Hydrometallurgy 2023, 220, 106107. [Google Scholar] [CrossRef]
  22. Wan, Y.; He, L.; Zhang, Y.; Zhao, Z.; Liu, J.; Zhang, H. An efficient communication strategy for massively parallel computation in CFD. J. Supercomput. 2023, 79, 7560–7583. [Google Scholar] [CrossRef]
  23. Czarnul, P. Investigation of Parallel Data Processing Using Hybrid High Performance CPU+GPU Systems and CUDA Streams. Comput. Inform. 2019, 32, 1001–1026. [Google Scholar] [CrossRef]
  24. Tungatarova, M.S.; Kurmanseiit, M.B.; Shayakhmetov, N. GPU accelerated modeling of In-Situ Leaching process and Streamline based reactive transport simulation. Procedia Comput. Sci. 2020, 178, 145–152. [Google Scholar] [CrossRef]
  25. Akhmed-Zaki, D.; Daribayev, B.; Imankulov, T. High-performance computing of oil recovery problem on a mobile platform using CUDA technology. Eurasian J. Math. Comput. Appl. 2017, 5, 4–13. [Google Scholar] [CrossRef]
  26. Zhu, A.; Chang, Q.; Xu, J.; Ge, W. A dynamic load balancing algorithm for CFD–DEM simulation with CPU–GPU heterogeneous computing. Powder Technol. 2023, 4281, 118782. [Google Scholar] [CrossRef]
  27. Raissi, M.; Perdikaris, P.; Karniadakis, G.E. Physics-informed neural networks: A deep learning framework for solving forward and inverse problems involving nonlinear partial differential equations. J. Comput. Phys. 2019, 378, 686–707. [Google Scholar] [CrossRef]
  28. Karniadakis, G.E.; Kevrekidis, I.G.; Lu, L.; Perdikaris, P.; Wang, S.; Yang, L. Physics-informed machine learning. Nat. Rev. Phys. 2021, 3, 422–440. [Google Scholar] [CrossRef]
  29. Kharazmi, E.; Zhang, Z.; Karniadakis, G. hp-VPINNs: Variational physics-informed neural networks with domain decomposition. Comput. Methods Appl. Mech. Eng. 2021, 374, 113547. [Google Scholar] [CrossRef]
  30. Shin, Y.; Darbon, J.; Karniadakis, G.E. On the Convergence of Physics Informed Neural Networks for Linear Second-Order Elliptic and Parabolic Type PDEs. Commun. Comput. Phys. 2020, 28, 2042–2074. [Google Scholar] [CrossRef]
  31. Chung, T.J. Computational Fluid Dynamics, 2nd ed.; Cambridge University Press: Cambridge, UK, 2010; pp. 65–67. [Google Scholar] [CrossRef]
  32. Li, Z.; Wang, K.; Ma, H.; Wu, Y. An Adjusted Inverse Distance Weighted Spatial Interpolation Method. Adv. Comput. Sci. Res. 2018, 65, 128–132. [Google Scholar] [CrossRef]
  33. Shayakhmetov, N.M.; Aizhulov, D.Y.; Alibayeva, K.A.; Serovajsky, S.; Panfilov, I. Application of hydrochemical simulation model to determination of optimal well pattern for mineral production with In-Situ Leaching. Procedia Comput. Sci. 2020, 178, 84–93. [Google Scholar] [CrossRef]
  34. Ramos, D.J.; Cunha, B.Z.; Daniel, G.B. Evaluation of physics-informed neural networks (PINN) in the solution of the Reynolds equation. J. Braz. Soc. Mech. Sci. Eng. 2023, 45, 568. [Google Scholar] [CrossRef]
  35. Cai, S.; Mao, Z.; Wang, Z.; Yin, M.; Karniadakis, G.M. Physics-informed neural networks (PINNs) for fluid mechanics: A review. Acta Mech. Sin. 2021, 37, 1727–1738. [Google Scholar] [CrossRef]
  36. Mao, Z.; Jagtap, A.D.; Karniadakis, G.M. Physics-informed neural networks for high-speed flows. Comput. Methods Appl. Mech. Eng. 2020, 360, 112789. [Google Scholar] [CrossRef]
  37. Meng, X.; Li, Z.; Zhang, D.; Karniadakis, G.E. PPINN: Parareal physics-informed neural network for time-dependent PDEs. Comput. Methods Appl. Mech. Eng. 2020, 370, 113250. [Google Scholar] [CrossRef]
Figure 1. In-Situ Leaching process involves injection of leaching solution into subsoil (green arrows) and recovery of pregnant solution into the surface (yellow arrows).
Figure 1. In-Situ Leaching process involves injection of leaching solution into subsoil (green arrows) and recovery of pregnant solution into the surface (yellow arrows).
Minerals 14 01043 g001
Figure 2. Calculation domain (a) and distribution of hydraulic pressure (b) at a distance between wells of 50 m.
Figure 2. Calculation domain (a) and distribution of hydraulic pressure (b) at a distance between wells of 50 m.
Minerals 14 01043 g002
Figure 3. Dependence of mean value on grid size.
Figure 3. Dependence of mean value on grid size.
Minerals 14 01043 g003
Figure 4. Distributions of hydraulic head determined by the IDW interpolation method with p = 2 (a) and the iterative SOR method (b) at a distance between wells of 50 m.
Figure 4. Distributions of hydraulic head determined by the IDW interpolation method with p = 2 (a) and the iterative SOR method (b) at a distance between wells of 50 m.
Minerals 14 01043 g004
Figure 5. Resulting number of iterations from various initial approximations used to calculate hydraulic head distribution at various power parameters p and distances between wells (101 × 101 grid dimensions).
Figure 5. Resulting number of iterations from various initial approximations used to calculate hydraulic head distribution at various power parameters p and distances between wells (101 × 101 grid dimensions).
Minerals 14 01043 g005
Figure 6. Initial approximation of hydraulic head determined by the IDW interpolation method with p = 1.47 (a) and the iterative SOR method (b) with the distance between wells of 50 m.
Figure 6. Initial approximation of hydraulic head determined by the IDW interpolation method with p = 1.47 (a) and the iterative SOR method (b) with the distance between wells of 50 m.
Minerals 14 01043 g006
Figure 7. Dependence of the number of iterations on power parameter p in IDW method for the computational grids of 151 × 151 (a) and 201 × 201 (b) for different values of the distances between wells.
Figure 7. Dependence of the number of iterations on power parameter p in IDW method for the computational grids of 151 × 151 (a) and 201 × 201 (b) for different values of the distances between wells.
Minerals 14 01043 g007
Figure 8. Physics-Informed Neural Network (PINN) algorithm architecture.
Figure 8. Physics-Informed Neural Network (PINN) algorithm architecture.
Minerals 14 01043 g008
Figure 9. Distribution of the initial approximation of the hydraulic head determined by the PINN method (a) and the distribution of the hydrodynamic head calculated by the iterative SOR method (b) on a 101 × 101 computational grid with a distance between wells of 50 m.
Figure 9. Distribution of the initial approximation of the hydraulic head determined by the PINN method (a) and the distribution of the hydrodynamic head calculated by the iterative SOR method (b) on a 101 × 101 computational grid with a distance between wells of 50 m.
Minerals 14 01043 g009
Figure 10. Initial approximation for hydraulic head distribution defined by PINNs (a) and hydraulic head calculated by SOR method (b) for a distance of 30 m between wells.
Figure 10. Initial approximation for hydraulic head distribution defined by PINNs (a) and hydraulic head calculated by SOR method (b) for a distance of 30 m between wells.
Minerals 14 01043 g010
Figure 11. Initial approximation for hydraulic head distribution defined by PINNs (a) and hydraulic head calculated by SOR method (b) for a distance of 40 m between wells.
Figure 11. Initial approximation for hydraulic head distribution defined by PINNs (a) and hydraulic head calculated by SOR method (b) for a distance of 40 m between wells.
Minerals 14 01043 g011
Figure 12. Initial approximation for hydraulic head distribution defined by PINNs (a) and hydraulic head calculated by SOR method (b) for a distance of 60 m between wells.
Figure 12. Initial approximation for hydraulic head distribution defined by PINNs (a) and hydraulic head calculated by SOR method (b) for a distance of 60 m between wells.
Minerals 14 01043 g012
Figure 13. Initial approximation for hydraulic head distribution defined by PINNs (a) and hydraulic head calculated by SOR method (b) for a distance of 70 m between wells.
Figure 13. Initial approximation for hydraulic head distribution defined by PINNs (a) and hydraulic head calculated by SOR method (b) for a distance of 70 m between wells.
Minerals 14 01043 g013
Figure 14. Dependence of computation time on learning rate and number of epochs.
Figure 14. Dependence of computation time on learning rate and number of epochs.
Minerals 14 01043 g014
Figure 15. Dependence of the maximum calculation error on the learning rate and the number of epochs.
Figure 15. Dependence of the maximum calculation error on the learning rate and the number of epochs.
Minerals 14 01043 g015
Figure 16. Distribution of hydrodynamic pressure along the diagonal line, determined by the iterative method (red line), and initial approximations defined by interpolation IDW with power parameters p = 2 (orange line), p = 1.47 (green line) and by PINNs (blue line) on computational mesh 101 × 101.
Figure 16. Distribution of hydrodynamic pressure along the diagonal line, determined by the iterative method (red line), and initial approximations defined by interpolation IDW with power parameters p = 2 (orange line), p = 1.47 (green line) and by PINNs (blue line) on computational mesh 101 × 101.
Minerals 14 01043 g016
Figure 17. Distribution of hydrodynamic pressure along the diagonal line, determined by the iterative method (red line), and initial approximations defined by interpolation IDW (green line) and by PINNs (blue line) with power parameter p = 0.56 for calculation mesh 151 × 151 (a) and p = 0.3 for mesh 201 × 201 (b).
Figure 17. Distribution of hydrodynamic pressure along the diagonal line, determined by the iterative method (red line), and initial approximations defined by interpolation IDW (green line) and by PINNs (blue line) with power parameter p = 0.56 for calculation mesh 151 × 151 (a) and p = 0.3 for mesh 201 × 201 (b).
Minerals 14 01043 g017
Table 1. Calculation data.
Table 1. Calculation data.
K f [m/Day] ϕ Q in [m3/Day] Q pr [m3/Day]
20.225−5
Table 2. Number of iterations and computation time for different values of the distance between wells on a 101 × 101 computational grid.
Table 2. Number of iterations and computation time for different values of the distance between wells on a 101 × 101 computational grid.
D wells * [m] p min **SOR IDWSOR H τ = 0 = 0 AF ***
Iterations Time [s] Iterations Time [s]
301.3511291.063731072.65392.49
401.411400.964731142.66662.76
501.4711570.971131232.70102.78
601.6111800.999131412.70322.71
701.7411941.015831462.69542.65
* Distance between wells. ** Minimum iterations achieved with respective p. *** Acceleration factor.
Table 3. Number of iterations and computation time for different values of the distance between wells on a 151 × 151 computational grid.
Table 3. Number of iterations and computation time for different values of the distance between wells on a 151 × 151 computational grid.
D wells * [m] p min **SOR IDWSOR H τ = 0 = 0 AF ***
Iterations Time [s] Iterations Time [s]
300.5419083.5577601511.28253.17
400.5518903.5767603411.41673.19
500.5618963.5428605811.35983.21
600.5720183.7918609311.54513.04
700.5920253.8379610411.49112.99
* Distance between wells. ** Minimum iterations achieved with respective p. *** Acceleration factor.
Table 4. Number of iterations and computation time for different values of the distance between wells on a 201 × 201 computational grid.
Table 4. Number of iterations and computation time for different values of the distance between wells on a 201 × 201 computational grid.
D wells * [m] p min **SOR IDWSOR H τ = 0 = 0 AF ***
Iterations Time [s] Iterations Time [s]
300.328579.6752962832.76633.38
400.325878.9033965033.49093.76
500.3304611.0617969835.17273.17
600.3128239.5286975733.19183.48
700.3128409.7046977233.85033.48
* Distance between wells. ** Minimum iterations achieved with respective p. *** Acceleration factor.
Table 5. Number of iterations and computation time for different values of the distance between wells on a 101 × 101 computational grid.
Table 5. Number of iterations and computation time for different values of the distance between wells on a 101 × 101 computational grid.
D wells * [m]SOR IDWSOR H τ = 0 = 0 AF **
Iterations Time [s] Iterations Time [s]
309140.831431072.65393.19
4013351.177831142.66662.26
5013101.164031232.70102.32
608260.701031412.70323.86
7014051.213531462.69542.22
* Distance between wells. ** Acceleration factor.
Table 6. Number of iterations and computation time for different values of the distance between wells on a 151 × 151 computational grid.
Table 6. Number of iterations and computation time for different values of the distance between wells on a 151 × 151 computational grid.
D wells * [m]SOR IDWSOR H τ = 0 = 0 AF **
Iterations Time [s] Iterations Time [s]
3017112.8448601511.28253.97
4023214.0806603411.41672.80
509781.5996605811.35987.10
6019803.4481609311.54513.35
7022053.6450610411.49113.15
* Distance between wells. ** Acceleration factor.
Table 7. Number of iterations and computation time for different values of the distance between wells on a 201 × 201 computational grid.
Table 7. Number of iterations and computation time for different values of the distance between wells on a 201 × 201 computational grid.
D wells * [m]SOR IDWSOR H τ = 0 = 0 AF **
Iterations Time [s] Iterations Time [s]
3016995.0805962832.76636.45
4016224.7989965033.49096.98
5017345.3447969835.17276.58
6016324.8825975733.19186.80
7031519.5955977233.85033.53
* Distance between wells. ** Acceleration factor.
Table 8. Deviations between the iterative solution of the hydraulic head equation and the initial approximation obtained by the IDW method for different distances between wells on a 201 × 201 computational grid.
Table 8. Deviations between the iterative solution of the hydraulic head equation and the initial approximation obtained by the IDW method for different distances between wells on a 201 × 201 computational grid.
D wells [m]pMEMAERMSENRMSDMax
300.300.00170.09620.22270.00836.8877
400.300.00220.11250.24920.00936.5425
500.300.00290.12740.26950.01326.1688
600.310.00360.14840.30590.01475.8022
700.310.00400.15210.30800.01475.5338
Table 9. Deviations between the iterative solution of the hydrodynamic head equation and the initial approximation obtained using PINNs for different well spacings on a 201 × 201 computational grid.
Table 9. Deviations between the iterative solution of the hydrodynamic head equation and the initial approximation obtained using PINNs for different well spacings on a 201 × 201 computational grid.
D wells [m]MEMAERMSENRMSDMax
300.00090.01610.03220.00242.8052
400.00280.01460.02760.00202.5220
500.04530.05180.07750.00543.4406
600.02180.05050.09860.00653.8660
700.00820.021240.03710.00232.8654
Disclaimer/Publisher’s Note: The statements, opinions and data contained in all publications are solely those of the individual author(s) and contributor(s) and not of MDPI and/or the editor(s). MDPI and/or the editor(s) disclaim responsibility for any injury to people or property resulting from any ideas, methods, instructions or products referred to in the content.

Share and Cite

MDPI and ACS Style

Kurmanseiit, M.B.; Tungatarova, M.S.; Abdullayeva, B.Z.; Aizhulov, D.Y.; Shayakhmetov, N.M. Acceleration of Numerical Modeling of Uranium In Situ Leaching: Application of IDW Interpolation and Neural Networks for Solving the Hydraulic Head Equation. Minerals 2024, 14, 1043. https://doi.org/10.3390/min14101043

AMA Style

Kurmanseiit MB, Tungatarova MS, Abdullayeva BZ, Aizhulov DY, Shayakhmetov NM. Acceleration of Numerical Modeling of Uranium In Situ Leaching: Application of IDW Interpolation and Neural Networks for Solving the Hydraulic Head Equation. Minerals. 2024; 14(10):1043. https://doi.org/10.3390/min14101043

Chicago/Turabian Style

Kurmanseiit, Maksat B., Madina S. Tungatarova, Banu Z. Abdullayeva, Daniar Y. Aizhulov, and Nurlan M. Shayakhmetov. 2024. "Acceleration of Numerical Modeling of Uranium In Situ Leaching: Application of IDW Interpolation and Neural Networks for Solving the Hydraulic Head Equation" Minerals 14, no. 10: 1043. https://doi.org/10.3390/min14101043

APA Style

Kurmanseiit, M. B., Tungatarova, M. S., Abdullayeva, B. Z., Aizhulov, D. Y., & Shayakhmetov, N. M. (2024). Acceleration of Numerical Modeling of Uranium In Situ Leaching: Application of IDW Interpolation and Neural Networks for Solving the Hydraulic Head Equation. Minerals, 14(10), 1043. https://doi.org/10.3390/min14101043

Note that from the first issue of 2016, this journal uses article numbers instead of page numbers. See further details here.

Article Metrics

Back to TopTop