Next Article in Journal
Characterizing Archaeological Rhyolites in the Nenana Valley, Interior Alaska
Previous Article in Journal
Awaruite, a New Large Nickel Resource: Flotation under Weakly Acidic Conditions
 
 
Font Type:
Arial Georgia Verdana
Font Size:
Aa Aa Aa
Line Spacing:
Column Width:
Background:
Article

Mild Conditions Method to Remediate Hazardous Jarosite and Its Application as Adsorbent of Arsenic(V) and Water

by
Arely Monserrat López-Martínez
* and
Prócoro Gamero-Melo
*
Sustainability of Natural Resources and Energy, Cinvestav Saltillo, Ramos Arizpe 25900, Mexico
*
Authors to whom correspondence should be addressed.
Minerals 2023, 13(9), 1148; https://doi.org/10.3390/min13091148
Submission received: 30 June 2023 / Revised: 19 August 2023 / Accepted: 25 August 2023 / Published: 30 August 2023
(This article belongs to the Section Mineral Processing and Extractive Metallurgy)

Abstract

:
The environmental risks of industrial jarosite (JAR) were mainly attributed to its average particle size (8.6 µm) and its content of leachable heavy metals such as cadmium (Cd, 64.2 mg L−1), lead (Pb, 4.16 mg L−1), and arsenic (As, 0.27 mg L−1). In this study, various methods were reported to eliminate the leachable elements contained in JAR without collapsing the crystalline structure: acid leaching, ionic exchange, and extended remediation. The effect of pH (2–10), temperature (20–175 °C), and time (<30 min) on the leaching of Cd, Pb, and As were studied. The ultrasound-assisted leaching process (at <60 °C and for 12 min) using a 0.19 M H2SO4 solution allowed to obtain a reduction of leachable Cd (99.2 wt. %), Pb (94.2 wt. %), and As (98.1 wt. %). Although the H2SO4 remediated jarosite, for example, still had a content of Pb, Cd, As, and Mn of 9.25, 0.91, 3.89, and 2.41 g kg−1, respectively, these metallic compounds were insoluble in the pH interval of 2 to 10. The jarosite obtained using acid leaching, JAR2L, had the highest adsorption capacity of As(V) (Qmax = 7.55 g kg−1), while the jarosite obtained using extended remediation had the highest water adsorption capacity (165 mL kg−1). The JAR can be remediated using acid ultrasound-assisted leaching and it can be applied in formulating strategic materials for the chemical industry.

1. Introduction

One of the commonly used strategies used in the metallurgical industry to separate iron (Fe) and other heavy metals from a zinc (Zn) solution involves the formation of solid jarosites. Jarosite typically has the molecular formula of AFe(TO4)2OH6n H2O, where: A = Na+, NH4+, Zn2+, Cd2+, Pb2+, Ag+, Cu2+, others; T = S6+, Mo6+, Cr6+, As5+, others· [1,2,3]. The electrolytic zinc refinery located in San Luis Potosí, México, is one of the largest plants in Latin America to manufacture metallic zinc. Approximately 146,000 tons per year of jarosite are generated in Mexican refinery plants, which are typically disposed of in open spaces exposed to environmental conditions [4].
Industrial jarosite has an average particle size near 10 μm [5]. Particles with a size of 10 μm or less (PM10) can be inhaled into the lungs and can induce adverse human health effects. The industrial jarosite waste must be handled, analyzed, and remediated according to regional rules established for hazardous wastes. Hazardous wastes are those that possess any of the CRETFB characteristics, where C is corrosivity, R is reactivity, E is explosiveness, T is toxicity, F is flammability, and B is biological-infectious. When industrial jarosite waste gets in touch with water, a pH < 3.5 [3] or a high content of toxic metals such as Cd, Pb, As, Tl, or Cr [6,7,8] is obtained; then, jarosite is corrosive or toxic.
Jarosite residues have been mainly investigated to improve the Zn and Pb recovery process [9], to recover precious metals [5,10,11,12], and to mitigate the possible environmental damage that these processes could cause [6]. However, the challenge faced by researchers in both cases is that jarosites are chemically and thermally stable [5], and they must be previously decomposed to facilitate the leaching of polluting chemical elements [13]. The main route reported for decomposition and metals recovering from hazardous jarosite residues is the pyrometallurgical route [14,15]. Under 600–1500 °C, the jarosite decomposes and releases the encapsulated valuable metallic species and minerals [7,16,17].
Although the pyrometallurgical process has been dominant in the secondary metal recycling processes, there is growing interest in promoting the decomposition of the jarosite using chemical processes [18,19]. Strongly alkaline or acid solutions have been used for its decomposition [5]. For example, the potassium jarosite dissolution rates, for instance, increased at both low (1) and high (11) pH, with minimum dissolution rates observed at intermediate pH values [20]. This process depends on the nature of the metallic hydroxide nature, temperature, reaction time, and pH. Decomposition is higher with NaOH and it is directly proportional to temperature and pH [21]. Temperature is the parameter that most affects the jarosite’s decomposition, followed by the pH [6].
Most investigations related to the chemical decomposition and contaminants leaching from jarosites have been performed at atmospheric pressure and temperatures close to the boiling point of water using conventional heating. Under these conditions, it is possible to leach soluble contaminants that are mixed with industrial jarosite but not those encapsulated into jarosite particles nor those ions forming part of the chemical composition of other jarosite, e.g., As(V), Cr(VI), Zn(II), Cd(II), Hg(II), Cu(II), and Mn(II).
Ultrasound and microwave-assisted processes have been broadly reported to speed up the dissolution of compounds, promote reactions, accelerate the diffusion of mass from the particle’s interior to the solution, and obtain sustainable methods [22,23,24,25,26,27,28,29]. However, no specific reports were found in which these energy sources were used to leach or exchange jarosites to reduce the content of contaminants. In this work, it was found that ultrasonically assisted acid leaching reduces the content of contaminating metals in jarosite, maintains its structural characteristics, and enables its use as an As(V) and water adsorbent.

2. Materials and Methods

The jarosite (JAR) used in this work was an industrial residue recovered from an Mexican electrolytic zinc refinery. Samples of the jarosite paste taken at the filter press’s output were collected in a 200 L metal container. The coning and quartering method was used to obtain a representative sample of 20 kg with an average moisture content of 35.5 wt. %. Additionally, a second jarosite sample was acquired from the same refinery in 2017 (RJAR) and used for specific studies. Figure 1 illustrates the approach utilized to obtain As(V) and water adsorbents from a jarosite residue. The strategy consists of a series of stages that involves the determination of the physicochemical properties, assessment of the environmental risks that industrial jarosite can represent if it is not appropriately handled, the study of alternatives to leach heavy metals that make jarosite dangerous, and the evaluation of remediated jarosites to be applied in a productive process.
The mineralogical characterization of jarosite residues and remediated products was carried out by X-ray diffraction (XRD) using a Philips PW3040 Xpert diffractometer (Almelo, The Netherlands). The operating conditions were as follows: Cu-Kα radiation at 45 Kv and 40 Ma, with a step of 0.025° 2θ, and an acquisition time of 0.25 s. Compacted density or vibratory packing density was determined according to the ASTM D4180-13(2018) [30]. For the statistical analysis of the particle size distribution (PSD) used, a HORIBA model LA950V2 brand equipment (Kyoto, Japan) was used. For infrared (IR) analysis, a PERKIN ELMER FRONTIER brand equipment (Shelton, CT, USA) was used in the 400–4000 cm−1 range with 16 scans, and the samples were analyzed with the Attenuated Total Reflectance* (ATR) accessory. Thermogravimetric analysis (TGA) and differential thermal analysis (DTA) were performed using TA Instruments equipment (New Castle, DE, USA) in the interval from 25 to 700 °C, and the samples were heated at a rate of 5 °C min−1 under a nitrogen atmosphere.
A Philips microscope model XL30 ESEM JEOL 70, 800 Prime Fegsem Field emission gun (Akishima, Tokyo, Japan) was used to carry out the morphological analysis and the punctual chemical analysis. The microscope was equipped with an EDAX brand EDS microanalysis system, Genesis 4000 model (Livonia, MI, USA). The samples were dispersed in a copper sample holder and covered with a gold film. The remediation of JAR and its As(V) adsorption capacity was monitored by inductively coupled plasma (ICP-OES) spectroscopy using a PERKIN ELMER model OPTIMA 8300 (Shelton, CT, USA).
The solutions for the acid leaching were prepared by dissolving in deionized water hydrochloric acid (HCl; 38.0 wt. %; AnalyticaTM, Monterrey Nuevo Leon, Mexico) or sulfuric acid (H2SO4; 98.0 wt. %; JalmekTM, San Nicolas de los Garza, Mexico). Sodium sulfate (Na2SO4; 99.9 wt. %; J.T. BakerTM, Phillipsburg, NJ, USA) was applied in the ion exchange process, and the pH was adjusted with sodium hydroxide (NaOH; 87.6 wt. %; AnalyticaTM, Monterrey Nuevo Leon, Mexico). For the As(V) adsorption tests, disodium hydrogen arsenate (Na2HAsO4·7H2O; 98–100 wt. %; SpectrumTM, Escobedo Nuevo Leon, Mexico) was used.
The leaching and ion exchange processes involved in jarosite remediation were assisted with a sonicator (HielscherTM; UP400St, Teltow, Germany) at conditions of 80% pulse and 100% amplitude or with a microwave digestion oven (CEMTM; Mars 5, Matthews NC, USA) provided with easy prep 100 mL vessels. As(V) adsorption experiments were conducted in a batch process in an orbital incubator (Prendo; INO-650M, Puebla, Mexico).

2.1. Remediation of JAR by Removal of Regulated Heavy Metals

The aim of the JAR remediation in this study is to reduce heavy metal content at the lowest possible temperature, shortest time, and pH between 2 and 10. The water-soluble salts were leached using acid leaching and the heavy metal cations that neutralize the jarosite surface were removed using an ion exchange process. Both approaches used ultrasound and microwaves to achieve high efficiency at mild reaction conditions [31]. Figure 2 shows the strategies for acid remediation of JAR.

2.1.1. Jarosite Acid Leaching by Conventional Hydrothermal Treatment

In total, 100 g of JAR, previously dried at 120 °C for 2 h, were suspended in a beaker in 0.5 L of hot DI water at 80 °C. The mixture was stirred and heated at 80 °C for 30 min. The suspension was vacuum filtered with filter paper, qualitative grade No. 2 (Whatman; Maidstone, UK), and the solid obtained was washed three times with 0.5 L of hot DI water at 80 °C. The described process of suspending the solid in water, heating the suspension, separating the solid by filtration, and washing was repeated twice. In total, 1 L of a 0.036 N HCl solution was added to the resulting solid and was kept stirring for 30 min at 80 °C. Finally, the solid was separated using vacuum filtration and washed three times with 0.5 L of hot DI water at 80 °C. The obtained solid material was dried in the oven at 120 °C for 4 h, deagglomerated, weighed, and stored until use. It obtained 95.5 g of a material that was labeled as JAR1L.

2.1.2. Jarosite Ultrasound-Assisted Acid Leaching

In total, 100 g of the dry JAR was added to a gentle stirring solution of 0.5 L of 0.19 M H2SO4, which was sonicated for 12 min. During this time, the temperature increased from 18 to 60 °C. The solid was separated using vacuum filtration and washed twice with 0.5 L of hot DI water at 80 °C. Afterward, the solid obtained was resuspended in 0.5 L of DI water, sonicated again for 12 min, separated using vacuum filtration, resuspended in water, and washed twice with 0.5 L of hot DI water at 80 °C. The solid was dried for 24 h at 120 °C, deagglomerated, weighed, and stored until use. It obtained 96.1 g of a brown powder that was labeled as JAR2L. The same procedure was followed to obtain the JAR3L but with one additional washing with water at 70 °C.

2.1.3. Ion Exchange of Heavy Metals Contained in JAR

In total, 12 g of dry JAR2L was used for the ion exchange process using a solution prepared with 7.533 g (53 mmol) of Na2SO4 and 30 mL of DI water. The pH of the resulting suspension was adjusted to 3.9, 2.8, and 2.1 using a 2N H2SO4 solution. The ion exchange process was performed using ultrasound and microwaves. For ultrasound-assisted ionic exchange, the suspension volume was completed to 100 mL and sonicated for 15 min maintaining a temperature up to 60 °C. For the microwave-assisted ion exchange, the suspension volume was filled to 70 mL. Then, the reaction system was transferred to a 100 mL microwave reactor and heated at 175 °C for 15 min. In both cases, the resulting solid was filtered off and washed thrice with 60 mL of DI water at 85 °C. Finally, the solid material was dried at 120 °C for 4 h, obtaining 11.5 and 11.8 g, respectively, of a brown powder.
The extraction efficiency through the leaching and the ion exchange of elements regulated in the jarosites was determined based on the content of each component as follows:
Extraction efficiency, % = [(C0 − Cf)/C0]100
where C0 and Cf are the concentrations of the element before and after the corresponding treatment.

2.1.4. Extended Process for JAR Remediation

The strategy of acid leaching ionic exchange-basic leaching ion exchange was explored to remove the soluble metals in JAR at 2 ≤ pH ≤ 10. The effect of the energy source (conventional heating, ultrasound), type of acid (HCl, H2SO4), and acid concentration (0.19, 0.09, 0.05 eq) was evaluated. The jarosite previously underwent acid leaching and the ionic exchange process was mixed with water, the pH was adjusted to 10 with a 1 M NaOH solution and allowed to react at different temperatures and time conditions. The jarosites obtained using extended remediation were labeled as LABn; n = 1–16. Details of the experimentation related to extended remediation have been included in the File S1 in Supplementary Materials. To obtain LAB2 and LAB5, a solution with half of the H2SO4 (0.19 eq) used to obtain JAR2L and ultrasound as an energy source was used. The potential use of these two remediated jarosites as As(V) and water adsorbents was evaluated as indicated in Section 2.3.

2.2. Environmental Risk Assessment of Jarosites

The level of danger of JAR and a remediated jarosite was determined following the Official Mexican standards NOM-052-SEMARNAT-2005 [32] and NOM-052-SEMARNAT-1993 [33]. The corrosivity was determined by mixing the jarosite with water and measuring the pH. To evaluate the reactivity of the jarosites, they were placed in contact with air for 5 min and observed if they ignited in the absence of an external ignition source. The jarosite was also mixed with water to see if it would react spontaneously and generate flammable gases. The degree of environmental toxicity of jarosite was determined by the content of organic and inorganic compounds released from them.

2.3. Evaluation of the Potential Use of Jarosites as Adsorbents

The ability of remediated jarosites to absorb As(V) was evaluated. The adsorption kinetics of As(V) presented by jarosites obtained using acid leaching (JAR1L, JA2L, JAR3L) and those obtained using the extended remediation process (LAB2, LAB5) were determined. The adsorption of As(V) of remediated materials at the equilibrium was also included. Additionally, the ability of acid-remediated jarosites to absorb water is discussed.

2.3.1. Arsenate Adsorption Study on Experimental Jarosites

To determine the adsorption kinetics of As(V), 0.25 g of the corresponding jarosite was suspended in 0.25 L of aqueous solution with 754 μg L−1 of As(V). The suspension was kept at 25 ± 3 °C with gentle agitation and samples were taken more frequently during the first 6 h to monitor arsenic content in the solution. Then, the solid was separated by filtering and the solution was analyzed by ICP.
To ensure the equilibrium state and obtain the maximum adsorption capacity of As(V) of the jarosites, solutions with As(V) concentrations of 0.5, 1, 2, 5, 10, 20, 50, 100, and 200 mg L−1 were prepared. In total, 0.02 g of the corresponding jarosite was added to 20 mL of each solution and the suspension was stirred for 24 h at 25 ± 3 °C. Finally, the liquid was separated using filtration and analyzed by ICP. The following equations were used to calculate the percentage removal and adsorption capacity (qe) at time t, Equations (2) and (3), respectively. The jarosite’s maximum theoretical adsorption capacity (Qmax) was calculated with the linearized Langmuir equation, Equation (4) [28].
Removal, % = [(C0 − Cf)/C0] ∗ 100
qe = [(C0 − Cf) ∗ V]/m
1/qe = 1/Qmax + 1/QmaxKLCe
In these equations, Cf = concentration at time t, qe = amount of ions adsorbed in the equilibrium (mg g−1), Ce = equilibrium concentration in the liquid phase (mg L−1), and KL = adsorption equilibrium constant (Lm g−1). In a graph of 1/Ce vs. 1/Qmax, the intercept point on the ordinate axis corresponds to the inverse of the maximum adsorption capacity of the adsorbent under study (1/Qmax).

2.3.2. The Water Adsorption Capacity of Jarosite

A sample of 1 g of each jarosite (JAR, JAR1L, JAR2L, LAB2, and LAB5) was saturated with deionized water. The desorption of water as a function of temperature was determined using TGA and DTA. The samples were heated under a nitrogen atmosphere at a heating rate of 5 °C min−1 from 25 to 350 °C.

3. Results and Discussion

3.1. Characterization of Jarosites

According to the mineralogical analysis, JAR is mainly constituted by natrojarosite (NaFe3(SO4)2(OH)6n H2O), hardly appreciable quantities of magnetite (Fe+2Fe2+3O4) and hematite. Figure 3a shows the XRD pattern of JAR, which is characterized by high-intensity diffraction peaks at 29.1, 28.6, and 17.5° of 2θ. It also presents medium-intensity peaks at 49.7, 45.8, 40.24, 15.8, and 14.8° of 2θ and other low-intensity peaks. The mineralogical phases observed in both JAR, JAR1L, and JAR2L are the same as those reported for this type of materials [20,34,35].
Figure 3a also shows that the jarosite structure collapses at temperatures between 300 and 400 °C, observing the magnetite that was present in the JAR and the hematite formed during the decomposition of the jarosite. These findings are consistent with the differential thermal and thermogravimetric analysis shown in Figure 3b. In the temperature range from 25 to 250 °C, the observed mass loss of 0.4 wt. % was attributed to the removal of humidity removal. Between 260 and 325 °C, the hydration water was lost. The change observed at 325–425 °C was attributed to the dehydroxylation process, which led to the destruction of the jarosite structure.
Finally, a weight loss of 10.09 wt. % was observed at 500 °C, which was attributed to the release of SO3 resulting from the decomposition of the sulfate ligands characteristic of JAR. From these findings, it can be concluded that JAR is thermally stable at temperatures up to 300 °C. However, its structure breaks down at higher temperatures. It has been reported that jarosites decompose under heat treatment at temperatures of 450 to 800 °C, either in air or nitrogen atmosphere [17]. Figure 3c shows that in the first 30 min, the humidity and the water of crystallization of the JAR were lost. At 40 min, the dehydroxylation process and, consequently, the destruction of the jarosite structure were complete.
Both jarosites, JAR, JAR1L, and JAR2L have the same thermal decomposition behavior, as shown in Figure 3c. This means the thermal stability of the JAR does not change significantly with the acid-leaching treatments that the JAR underwent to obtain JAR1L and JAR2L jarosites. This statement was corroborated by the XRD and FTIR analyses shown in Figure 3d and Figure 4a, respectively. The untreated and chemically treated jarosite spectra are similar in both cases.
The dry JAR has a humidity of 2.3 wt. %, a compacted density of 1.25 g cm−1, and an average particle size (APS) of 8.6 μm. The JAR2L had a humidity of 1.3 wt. %, a compacted density of 1.15 g cm−1, and an APS of 5.8 μm. The decrease in density due to the leaching is attributable to the fact that the soluble salts in the JAR were extracted from the jarosite generating pores in the particles. As a result, the mass per unit volume was reduced as well. Figure 4b shows the effect of the remediation process on the particle size distribution (PSD). JAR had a bimodal PSD in which 90% of the particles are smaller than 87.6 µm. The large particles were disaggregated during the remediation process, resulting in the monomodal PSD observed for both JAR1L and JAR2L. The PSD of jarosite underwent ultrasound-assisted leaching treatment with H2SO4 (JAR2L) shifts towards sizes smaller than 10 μm. Based on the morphological analysis, it was found that JAR and JAR2L jarosites consist of particles with irregular shapes. It is observed in Figure 4c that JAR contained large particles, which were reduced in size after ultrasound-assisted leaching, as seen in Figure 4d.
Two batches of industrial jarosite (RJAR, JAR) and the remediate jarosites (JAR1L and JAR2L) were analyzed using the X-ray fluorescence (XRF) technique. The main elements found were reported in the form of their corresponding oxides. Losses due to calcination (950 °C, 1 h) were added to the total oxides and the resulting data were normalized to 100%. The chemical composition in dry bases is also reported. Table 1 shows the chemical composition of JAR and its leaching products JAR1L and JAR2L.
It was found that the jarosite sampled in 2017 (RJAR) and the one sampled in 2018 (JAR) had a similar chemical composition. This means that JAR could be produced with similar characteristics over time. Consequently, it is possible to infer that, with adequate processing, it could be applied in a given production process or used as raw material to obtain a specific product. As expected, iron, oxygen, and sulfur were the main elements found in the jarosite. However, the presence of silicon, aluminum, and other metals is expected because JAR was obtained by precipitation from a solution resulting from a mining-metallurgical process. Therefore, various compounds of these elements were present.
While the content of Zn, Cd, Cu, As, Al, and Mg in the jarosite decreases, the content of Si, Na, K, and Mn increases relative to JAR. This fact is attributed to the reconstitution of the material’s composition. While some elements were leached, others were concentrated in the matrix. This is shown by the fact that the sum of the differences between the content of the oxides in the JAR1L and JAR2L jarosites, compared to the average of JAR, tends to be zero (see Table 1). After the leaching process, the elements remaining in the jarosite matrix could be part of insoluble compounds in the aqueous medium. Thus, although JAR1L and JAR2L have a high content of heavy metals, they are not released by suspending these materials in water during the study period. However, it is necessary to perform long-term leaching tests to corroborate this claim.

3.2. Environmental Risk of Industrial and Remediated Jarosite

Jarosites JAR and JAR2L did not generate heat or ignite in contact with air. In contact with water, they did not react spontaneously or generate flammable gases. The release of cyanide and sulfide was lower than the detection limits recommended by the Mexican Standards. Therefore, they are “non-flammable” and “non-reactive”. Because of the pH in jarosites suspension, they are considered “non-corrosive”. Nevertheless, the high Cd and Pb content in JAR indicates it is a “toxic” material and a risk to the environment [36,37]. Table 2 shows the results obtained for the main parameters that indicate the danger of industrial jarosites.
The Cd content is above the maximum limit permitted; it was the primary hazard indicator of the JAR. Although the lead content in the JAR and the pH of the resulting water suspension are within the limits allowed by Mexican standards, it is important to monitor these parameters to reduce the risks to human health and the ecosystems near where this residue accumulates.

3.3. Remediation of JAR by Leaching and Ion Exchange

The JAR contains mobile or leachable heavy metals that complicate the final disposal, which limits the possibilities of being used in the formulation of adsorbents for hydrocarbon effluents or ion exchangers to treat contaminated aqueous effluents. The main challenge of this study was to extract the leachable metallic salts and exchange heavy metal cations contained in the JAR, keeping the structure of the jarosite intact.

3.3.1. Remediation of JAR by Ultrasound-Assisted H2SO4 Leaching

The extraction of metallic salts depends on the solubility of the species present in the jarosite, the leaching and washing conditions; and the number of washes. RJAR and two JAR samples of non-remediated jarosites were analyzed. Additionally, the remediated jarosites JAR2L and JAR3L obtained from the procedure described in Section 2.1.2 were analyzed in triplicate. Table 3 shows the results obtained from the content of the main contaminants in jarosites. The high Zn content in jarosites stands out in both the RJAR recovered in 2017 (91.9 g kg−1) and the JAR samples recovered in 2018 (average of 69.59 g kg−1). This means that the Zn recovery process in the electrolytic Zn refining plant could be improved to minimize the amount of Zn in jarosite residues [16].
With the JAR leaching conditions used in the process to obtain JAR2L, the metals removed in the highest proportion were Cd (56.7%), Mn (30.0%), Zn (21.6%), Cu (18.8%), and As (14.9%). Conversely, the lowest efficiency removing Pb (5.16%) was observed. In the case of JAR3L, the higher removal efficiency of Zn (40.9%) and Pb (10.43%) was achieved and the Mn removal observed in JAR2L (29.3%) was maintained. However, the extraction of Cu (3.6%), Cd (27.3%), and As (8.3%) were the lowest. As described in Section 2.1.2, the maximum temperature reached with ultrasonic leaching was 60 °C; the water temperature used to wash JAR3L and JAR2L was 70 and 80 °C, respectively. So, the efficiency in the extraction of contaminants is directly related to the temperature of the leaching and washing process. In summary, the removal efficiency of metals under the conditions studied is relatively low, which can be attributed to the fact that those metals are part of insoluble compounds trapped in the jarosite particle [15,38].

3.3.2. Improving Remediation of JAR2L by Ion Exchange

JAR was mixed with a concentrated H2SO4-Na2SO4 solution and treated under ionic exchange conditions to improve the metal removal achieved by acid leaching of the contaminating metals. The reaction mixture was treated under a low-temperature process assisted by ultrasound. A second reaction mixture sample was exposed to a microwave-assisted high-temperature hydrothermal process. In both cases, the hypothesis was the same: the cations A+ and anions (e.g., such as AsO43−, MoO42− and CrO42−) in jarosites can be exchanged by H+, Na+, and SO42− from the solution. As a result, the concentration of Zn, Pb, Cu, Cd, Mn, As, Cr, and other metals would be reduced in JAR2L. In order to determine the possible effect of the concentration of H+ and SO42− ions on the exchange of heavy metals, ion exchange experiments were carried out at pH values of 4, 3, and 2. The obtained solids from both ionic exchanged processes were analyzed by ICP-OES.
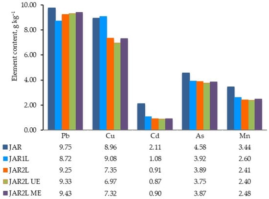
The ion exchange processes were carried out for 15 min at a pH between 2 and 4. The temperature was less than 60 °C for the exchange promoted by ultrasound and 175 °C for the exchange promoted by microwaves. In both experiments, the results were almost identical and the metal concentration was practically unaffected by the ionic exchange. The same behavior occurs even at different pH values. Figure 5 shows the average results obtained by the ultrasound and microwave-assisted ion exchange of JAR2L.
The ion exchange process did not contribute significantly to the reduction of the metal content, regardless of whether it was carried out with an ultrasound at low temperature (<60 °C) or with a microwave at high temperature (175 °C). Nevertheless, the amount of Zn, Pb, Cu, Cd, As, and Mn contained in JAR2L was still high, as these metallic species were not soluble in water. Under the conditions at which JAR2L is obtained, salts dissolve and heavy metals that occupy the A and TO4 sites in the structure of jarosite are exchanged by protons (H+) and SO42−.
According to the XRD patterns shown by the jarosites previously leached and then interchanged, it is possible to affirm that there are no structural changes in the JAR2L when it is hydrothermally treated for 15 min with a pH in the range of 2 to 4, of 60 °C using ultrasound or 175 °C using microwaves. In addition, as was demonstrated in Section 3.1, the JAR is thermally stable at least up to 300 °C.

3.3.3. Remediation of JAR by Conventional HCl Leaching

Conventional acid leaching with 0.018 eq of HCl, as indicated in Section 2.1.1, resulted in a solid material identified as JAR1L; the efficiency in the extraction of Zn, Pb, Cd, As, and Mn observed was 42.75, 10.56, 48.93, 14.43, and 24.42 wt. %, respectively. JAR1L had a lower content of Zn (39.84 g kg−1) and Pb (8.72 g kg−1) than the material obtained by treating via ultrasound in a solution of 0.09 eq H2SO4 (JAR2L): 54.54 and 9.25 g kg−1, respectively. Although the amount of H2SO4 used per kg of JAR was five times greater than that of HCl, the removal of Zn and Pb is more effective with HCl than with H2SO4. As shown in Figure 5, JAR1L and JAR2L have similar Cd, As, and Mn content, but less than that of JAR. H2SO4 was chosen as a lixiviant agent because it has a high boiling point (337 °C), allowing greater operational flexibility. In contrast, HCl solutions must be handled at low temperatures to avoid the release of HCl(g).
The filtrate obtained from the JAR aqueous leaching process was separated, labeled JAR1L F1, and analyzed. In the second stage, a previously washed JAR sample was leached with the HCl solution, and the filtrate was labeled JAR1L F2. In both cases, the resulting solids were washed three times. The washing solutions obtained from each process were analyzed. Table 4 summarizes the amount of each element that was extracted.
The results obtained from the hot water (80 °C) extraction process are consistent with the solubility properties of the salts of the elements contained in the JAR. The higher the temperature, the higher the solubility of the salts [11]. Regarding the total content of the extracted elements, the extraction of Mn (100%), Zn (99.18%), Cu (91.43%), and Cd (96.53%) is favored with water. While Pb (97.0%) and As (47.63%) extraction occur more efficiently in the acid extraction.
In the case of the filtrate obtained from the extraction with hot water (JAR1L F1), a higher content of Zn (65.59%), Cu (84.28%), and Mn (85.54%) was found. The solution from the first washing (JAR1L W1) contains almost the rest of these metals. This means that to extract most of the leachable salts of these metals from JAR, single leaching and one washing are enough. On the contrary, the Pb, Cd, and As were distributed between the filtrate and the washing solutions (JAR1L F1 and JAR1L Wn; n = 1, 2, 3). This means that the more water used to extract these, the greater the efficiency of removing these elements. Figure 6a shows the percentage fraction of the extracted elements that remained in the filtrates (Fn) and the solutions of the first three washes (Wn) resulting from the hot water leaching. Figure 6b shows the JAR leaching results with the HCl solution and washing with hot water.
The extraction of elements was influenced by the solubility of the salts contained in JAR, the type of acid-leaching agent, the pH, the temperature, the number of washes, and the amount of water used in the remediation process. The second and third washing would be recommended, depending on the intended use of JAR1L.

3.3.4. Metallic Contaminants in Jarosites Obtained by Extended Remediation

As commented in Section 2.1.4, the extended remediation process consists of the following steps: acid leaching, ion exchange, basic leaching, and ion exchange. Half of the H2SO4 used in the one-step acid leaching was used in the extended remediation process to find a more ecological approach. Under those conditions, the content of contaminants in the solids obtained from the extended remediation is higher or equal to those obtained by simple acid leaching. However, some significant findings were identified: (a) the same degree of removal of most of the contaminating metals from the JAR is achieved using conventional heating (90 °C, 30 min) or ultrasound (<60 °C, 10 min); (b) the level of removal of Zn, Pb, Cu, Cd, and As from the JAR is directly proportional to the number of ion exchanges performed, and to the concentration of the acid used; (c) at the studied conditions of pH (2–10) and temperature (25–90 °C), the jarosite structure remains stable. In Supplementary File S1, details of the characterization of the JARs obtained through the extended remediation process and the results obtained were included. The reference in this study was the remediated jarosite that showed higher efficiency in extracting metals, JAR2L. It was obtained by remediation with 0.37 eq of H2SO4 vs. 0.19, 0.09, and 0.05 eq. The variable that had the most significant effect on removing contaminants was the acid concentration. The simple H2SO4 leaching could be enough to remediate JAR. Setting the extended strategy into practice is not recommended because of its complex nature and limited effectiveness.

3.4. Potential Use of Jarosites as Adsorbents

Although there have been few investigations related to the use of jarosites as adsorbents, their use for adsorption of organic compounds [39] or Cr(VI) dissolved in water [40] has been reported. Jarosite JAR1L, JAR2L, JAR3L, LAB2, and LAB5 are mainly constituted by sodium jarosite, NaFe(SO4)2OH6n H2O. Therefore, the hypothesis in this study is that the charge-compensating ion, Na+, can be exchanged for other cations, and the ligand SO4 can be exchanged for AsO4. In addition, if molecules of H2O bind reversibly to its structure, jarosite can be used to remove water from a hydrocarbon effluent.

3.4.1. Removal of As(V) from an Aqueous Solution Using Jarosites

As can be seen in Figure 7a,b that the JAR and the JARs obtained at a pH of around 2 (JAR1L, 2L, and 3L) have a greater capacity to absorb As(V) than those obtained at a pH of 10 (LAB2 and LAB5).
The capacity to adsorb As(V) that LAB2 and LAB5 showed can be explained by the modification of the jarosite surface by sodium hydroxide, which saturates it with OH ions. By nature, the OH groups repel the arsenate anion, and consequently, the adsorption of As(V) is even lower than the absorption of untreated jarosite.
The adsorption of AsO43− in the JAR, JAR1L, 2L, and 3L takes place in three steps. For instance, the first adsorption step in JAR2L occurs in the first 10 min, reaching 50 wt. % of As(V) removal and an adsorption capacity of 0.40 mg g−1. The second adsorption step is slower, occurring between 10 and 360 min. In this step, the removal of As(V) of 97.3 wt. % and a specific adsorption capacity of 0.73 mg g−1 was reached. Finally, in the third step, the adsorption tends to achieve the equilibrium. The speed of the adsorption steps observed was attributed to the diffusion phenomenon of the AsO43− ions from the solution towards the interior of the jarosite particles. Thus, the arsenate ions are rapidly adsorbed on the external surface of the particles. Once the external surface of the particles is saturated, the remaining arsenate ions in the solution diffuse slowly inside the particles to be adsorbed in their pores.
The equilibrium of As(V) adsorption observed in jarosites that were obtained by JAR remediation is summarized in Figure 7c. Moreover, JAR2L stands out because it removes 90% of the As(V) contained in solutions of up to 7000 µg L−1. By analogy between the linear representation of the Langmuir isotherm (Equation (4)) and the equations of the trend lines shown in Figure 7d, the values of the maximum theoretical adsorption capacity of As(V) by JAR, JAR1L, and JAR2L are 2.24, 2.41, and 7.55 mg g−1, respectively.
Natural zeolites and chemically modified synthetic zeolites have been reported to have the ability to remove As(V) [29]. For example, the Fe-Na-Clinoptilolite, Fe-Chabazite, and Al-Zeolite Shirasu systems have a Qmax of 0.196, 0.983, and 5.63 mg g−1, respectively. Recently, our research group reported that chemically modified synthetic zeolites, Fe- Zeolite W and FeZr-Zeolite W, have a Qmax of 27 and 42.31 mg g−1 [29]. Although JAR2L jarosite has a lower capacity to adsorb As(V) species (7.55 mg g−1) than those chemically modified synthetic zeolites, it has a higher Qmax than chemically modified natural zeolites considered good alternatives to remove As(V). The greatest advantage JAR2L jarosite has over chemically modified zeolites is that it is obtained by leaching under mild conditions from abundant and very low-cost industrial waste. In contrast, zeolite must be synthesized at high temperatures (175 °C) for long times (16 h) and it must be modified with an expensive metal such as zirconium.

3.4.2. Water Adsorption Capacity of the Experimental Jarosites

For this study, a molecular sieve (MM) formulated with zeolite A, which was used commercially for drying natural gas, was taken as a reference. Based on the experiments mentioned in Section 2.3.2, the water adsorption capacity of jarosites was inferred. The thermal analysis indicated that there were two water desorption events in MM. In the first one, between 25 °C and 70 °C, there was a loss of 26 wt. %, which was attributed to the weakly adsorbed water. A second event took place between 70 and 150 °C in which an additional weight loss of 11 wt. % was shown. This was attributed to the fact that the water molecules bind with different strengths to two types of sites on the zeolite surface. On the contrary, all jarosites showed only one water desorption event at a temperature between 25 °C and 65 °C, approximately. The fact that desorption occurs at low temperatures means that the bond strength between jarosite and water is relatively low and that it is possible to regenerate the jarosite surface at mild conditions.
The adsorbed water in jarosites JAR, JAR1L, JAR2L, LAB2, and LAB5 was 8.4, 9.0, 12.8, 16.5, and 15.6 wt. %, respectively. These values showed that the remediation processes to which the JAR was exposed improved its water adsorption capacity. For example, acid leaching and the extended remediation process increased the water adsorption capacity of the JAR by 52.3 and 96.4 wt. %, respectively. To assess the feasibility of using LAB2 in the formulation of desiccants, it is essential to consider additional factors such as cost-benefit ratio, half-life, regenerability, and final disposal, among others.

4. Conclusions

The hazardous nature of jarosite, which was produced in electrolytic zinc refineries, is due to its low density, small particle size, and high heavy metals content. The heavy metal content in jarosites is the main characteristic that limits the safe disposal of this waste and its application in any production process. Industrial jarosites are constituted by jarosites, leachable salts, and other heavy metal compounds. Leachable salts were separated from metallic jarosites and other insoluble metallic compounds by conventional heating and ultrasound-assisted or microwave-assisted leaching. The heavy metals that occupy the A and TO4 sites in the structure of the jarosite family, AFe(TO4)2OH6n H2O, were exchanged for Na+ and sulfate (SO42−) ions in 15 min using a hydrothermal ion exchange process assisted by microwaves at 175 °C, or assisted by ultrasound at a temperature below 60 °C.
At high concentrations of H2SO4 (0.37 eq) and/or temperature (175 °C), the dissolution of salts and the ionic exchange of heavy metals occur without the jarosite crystalline structure collapsing. Therefore, acid leaching was enough to remediate jarosite, and the higher temperature and acid concentration favor this process. To enhance the benefits of the remediation and the use of the treated jarosite, it is recommended to take actions such as including adding an ionic exchange agent to the acid-leaching solution to improve the extraction of heavy metals, optimizing the amount of water used in each washing step of the remediation process, assessing the feasibility of recovering economically valuable metals such as Zn, Cu, Cd, Mn, Ag, and Au from the resulting solution, and validating the benefits of the jarosite remediation and its applications through a technical, economic, and environmental viability study.
It was demonstrated that the remediation process plays an important role in the application for which the jarosites are intended to be used. For instance, jarosite JAR2L obtained by acid leaching has a specific adsorption capacity for As(V) of 4.9 times greater than the jarosite LAB2 obtained by the extended remediation process. In contrast, LAB2 adsorbs 1.3 times more water than JAR2L. It is recommended to incorporate jarosite into a porous matrix, shaped and stabilized to retain its particles in the adsorbent bed of a continuous process. In addition, it is advised to check the efficiency of the shaped adsorbent, its regenerability, and half-life, and finally, to carry out a cost/benefit study and disposal of aged adsorbents.

Supplementary Materials

The following supporting information can be downloaded at: https://www.mdpi.com/article/10.3390/min13091148/s1, Supplementary File S1: Extended process for JAR remediation.

Author Contributions

Methodology, formal analysis, organizing, investigation, data discussion, and writing—original draft preparation, review, and editing, A.M.L.-M.; conceptualization, resources, supervision, project administration, funding acquisition, and writing—review and editing the final manuscript, P.G.-M. Both authors have read and agreed to the published version of the manuscript. All authors have read and agreed to the published version of the manuscript.

Funding

This research was funded by CONAHCyT Mexico through project number PDCPN-247660. In addition, FONCyT of Coahuila state, Mexico, contributed to the funding of this work through project numbers COAH-2019-C13-C034 and COAH-2021-C15-C020.

Data Availability Statement

Not applicable.

Acknowledgments

The authors thank M. Socorro García Guillermo, J. Alfonso Mercado Silva, Sergio Rodríguez Arias, Miguel A. Aguilar González, M. Elena Rivas Aguilar, and Francisco Botello Rionda for their help in materials characterization.

Conflicts of Interest

The authors declare no conflict of interest.

References

  1. Shi, M.; Min, X.; Ke, Y.; Lin, Z.; Yang, Z.; Wang, S.; Peng, N.; Yan, X.; Luo, S.; Wu, J.; et al. Recent progress in understanding the mechanism of heavy metals retention by iron (oxyhydr)oxides. Sci. Total Environ. 2021, 752, 141930. [Google Scholar] [CrossRef] [PubMed]
  2. López-Martínez, A.M.; Khamkure, S.; Gamero-Melo, P. Bifunctional Adsorbents Based on Jarosites for Removal of Inorganic Micropollutants from Water. Separations 2023, 10, 309. [Google Scholar] [CrossRef]
  3. Cogram, P. Jarosite; Elsevier: London, UK, 2018. [Google Scholar] [CrossRef]
  4. Islas, H.; Patiño, F.; Reyes, M.; Flores, M.U.; Reyes, I.A.; Palacios, E.G.; Ordoñez, S.; Flores, V.H. Síntesis, caracterización y naturaleza de la reacción alcalina de jarosita de talio. Rev. Latinam. Metal. Mat. 2017, 37, 228–236. [Google Scholar]
  5. Calla-Choque, D.; Nava-Alonso, F.; Fuentes-Aceituno, J.C. Acid decomposition and thiourea leaching of silver from hazardous jarosite residues: Effect of some cations on the stability of the thiourea system. J. Hazard. Mater. 2016, 317, 440–448. [Google Scholar] [CrossRef] [PubMed]
  6. Islas, H.; Flores, M.U.; Reyes, I.A.; Juárez, J.C.; Reyes, M.; Teja, A.M.; Palacios, E.G.; Pandiyan, T.; Aguilar-Carrillo, J. Determination of the dissolution rate of hazardous jarosites in different conditions using the shrinking core kinetic model. J. Hazard. Mater. 2020, 386, 121664. [Google Scholar] [CrossRef]
  7. Mombelli, D.; Mapelli, C.; Barella, S.; Gruttadauria, A.; Spada, E. Jarosite wastes reduction through blast furnace sludges for cast iron production. J. Environ. Chem. Eng. 2019, 7, 102966. [Google Scholar] [CrossRef]
  8. Kerolli–Mustafa, M.; Fajković, H.; Rončević, S.; Ćurković, L. Assessment of metal risks from different depths of jarosite tailing waste of Trepça Zinc Industry, Kosovo based on BCR procedure. J. Geochem. Explor. 2015, 148, 161–168. [Google Scholar] [CrossRef]
  9. Kaya, M.; Hussaini, S.; Kursunoglu, S. Critical review on secondary zinc resources and their recycling technologies. Hydrometallurgy 2020, 195, 105362. [Google Scholar] [CrossRef]
  10. González-Ibarra, A.A.; Nava-Alonso, F.; Uribe-Salas, A.; Castillo-Ventureño, E.N. Decomposition kinetics of industrial jarosite in alkaline media for the recovery of precious metals by cyanidation. Can. Metall. Q. 2016, 55, 448–454. [Google Scholar] [CrossRef]
  11. Calla-Choque, D.; Lapidus, G.T. Acid decomposition and silver leaching with thiourea and oxalate from an industrial jarosite sample. Hydrometallurgy 2020, 192, 105289. [Google Scholar] [CrossRef]
  12. Kasaini, H.; Kasongo, K.; Naude, N.; Katabua, J. Enhanced leachability of gold and silver in cyanide media: Effect of alkaline pre-treatment of jarosite minerals. Miner. Eng. 2008, 21, 1075–1082. [Google Scholar] [CrossRef]
  13. Wu, J.; Chai, L.; Lin, Z.; Wei, Y.; Shi, M.; Peng, J.; Peng, N.; Yan, X. Fe(II)-induced transformation of Jarosite residues generated from zinc hydrometallurgy: Influence on metals behaviors during acid washing. Hydrometallurgy 2021, 200, 105523. [Google Scholar] [CrossRef]
  14. Ma, X.; Tan, H.; Dong, F.; Li, B.; Wang, J.; He, X.; Liu, C. Influence of troilite on the decomposition of ammonium jarosite and estimated activation energy. J. Therm. Anal. Calorim. 2020, 139, 933–939. [Google Scholar] [CrossRef]
  15. Zhu, D.; Yang, C.; Pan, J.; Guo, Z.; Li, S. New pyrometallurgical route for separation and recovery of Fe, Zn, In, Ga and S from jarosite residues. J. Clean. Prod. 2018, 205, 781–788. [Google Scholar] [CrossRef]
  16. Han, H.; Sun, W.; Hu, Y.; Jia, B.; Tang, H. Anglesite and silver recovery from jarosite residues through roasting and sulfidization-flotation in zinc hydrometallurgy. J. Hazard. Mater. 2014, 278, 49–54. [Google Scholar] [CrossRef]
  17. Linsong, W.; Peng, Z.; Yu, F.; Sujun, L.; Yue, Y.; Li, W.; Wei, S. Recovery of metals from jarosite of hydrometallurgical nickel production by thermal treatment and leaching. Hydrometallurgy 2020, 198, 105493. [Google Scholar] [CrossRef]
  18. Chanshetti, U. Concepts of Green Chemistry. Curr. Perspect. Chem. Sci. 2021, 7, 144–150. [Google Scholar] [CrossRef]
  19. Grison, C.; Lock, Y.; Ki, T. Ecocatalysis, a new vision of Green and Sustainable Chemistry. Curr. Opin. Green Sustain. Chem. 2021, 29, 100461. [Google Scholar] [CrossRef]
  20. Eftekhari, N.; Kargar, M.; Zamin, F.R.; Rastakhiz, N.; Manafi, Z. A Review on Various Aspects of Jarosite and Its Utilization Potentials. Ann. Chim.—Sci. Mat. 2020, 44, 43–52. [Google Scholar] [CrossRef]
  21. Patiño, F.; Reyes, I.A.; Flores, M.U.; Pandiyan, T.; Roca, A.; Reyes, M.; Hernández, J. Kinetic modeling and experimental design of the sodium arsenojarosite decomposition in alkaline media: Implications. Hydrometallurgy 2013, 137, 115–125. [Google Scholar] [CrossRef]
  22. Tang, X.; Liu, M.; Tang, Q.; Du, Z.; Bai, S.; Zhu, Y. Effect of ultrasound on the dissolution of magnesium hydroxide: pH-stat and nanoscale observation. Ultrason. Sonochem. 2019, 55, 223–231. [Google Scholar] [CrossRef] [PubMed]
  23. Li, H.; Zhang, L.; Xie, H.; Yin, S.; Peng, J.; Li, S.; Yang, K.; Zhu, F. Ultrasound-Assisted Silver Leaching Process for Cleaner Production. JOM 2020, 72, 766–773. [Google Scholar] [CrossRef]
  24. Larrabure, G.; Chero-Osorio, S.; Silva-Quiñones, D.; Benndorf, C.; Williams, M.; Gao, F.; Gamarra, C.; Alarcón, A.; Segura, C.; Teplyakov, A.; et al. Surface processes at a polymetallic (Mn-Fe-Pb) sulfide subject to cyanide leaching under sonication conditions and with an alkaline pretreatment: Understanding differences in silver extraction with X-ray photoelectron spectroscopy (XPS). Hydrometallurgy 2021, 200, 105544. [Google Scholar] [CrossRef]
  25. Shunda, L.; Mamdouh, O.; Shenghui, G. Recovery of Metals and Rare Earth Elements by Microwave heating Technology—A Review. Curr. Microw. Chem. 2020, 7, 196–206. [Google Scholar] [CrossRef]
  26. Sabzezari, B.; Koleini, S.M.J.; Ghassa, S.; Shahbazi, B.; Chelgani, S.C. Microwave-Leaching of Copper Smelting Dust for Cu and Zn. Extraction. Materials 2019, 12, 1822. [Google Scholar] [CrossRef]
  27. Zhou, S.; Zhang, Y.; Meng, Q.; Dong, P.; Fei, Z.; Li, Q. Recycling of LiCoO2 cathode material from spent lithium ion batteries by ultrasonic enhanced leaching and one-step regeneration. J. Environ. Manag. 2021, 277, 111426. [Google Scholar] [CrossRef]
  28. Abdellaoui, Y.; Oualid, H.A.; Hsini, A.; Ibrahimi, B.E.; Laabd, M.; Ouardi, M.E.; Giácoman-Vallejos, G.; Gamero-Melo, P. Synthesis of zirconium-modified Merlinoite from fly ash for enhanced removal of phosphate in aqueous medium: Experimental studies supported by Monte Carlo/SA simulations. Chem. Eng. J. 2021, 404, 126600. [Google Scholar] [CrossRef]
  29. Abdellaoui, Y.; Ibrahimi, B.E.; Oualid, H.A.; Kassab, Z.; Quintal-Franco, C.; Gíacoman-Vallejos, G.; Gamero-Melo, P. Iron-zirconium microwave-assisted modification of small-pore zeolite W and its alginate composites for enhanced aqueous removal of As(V) ions: Experimental and theoretical studies. Chem. Eng. J. 2021, 421, 129909. [Google Scholar] [CrossRef]
  30. American Society for Testing and Materials Home Page. Available online: https://webstore.ansi.org/standards/astm/astmd4180132018 (accessed on 28 August 2023).
  31. Güngör, H.; Elik, A. Comparison of ultrasound-assisted leaching with conventional and acid bomb digestion for determination of metals in sediment samples. Microchem. J. 2007, 86, 65–70. [Google Scholar] [CrossRef]
  32. Official Mexican Standard Home Page. 2005. Available online: https://www.dof.gob.mx/normasOficiales/1055/SEMARNA/SEMARNA.htm (accessed on 28 August 2023).
  33. Official Mexican Standard Home Page. 1993. Available online: https://www.vertic.org/media/National%20Legislation/Mexico/MX_NOM-052-ECOL-1993.pdf (accessed on 28 August 2023).
  34. Desborough, G.A.; Smith, K.S.; Lowers, H.A.; Swayze, G.A.; Hammarstrom, J.M.; Diehl, S.F.; Leinz, R.W.; Driscoll, R.L. Mineralogical and chemical characteristics of some natural jarosites. Geochim. Cosmochim. Acta 2010, 74, 1041–1056. [Google Scholar] [CrossRef]
  35. Zhao, R.; Li, Y.; Chan, C.K. Synthesis of Jarosite and Vanadium Jarosite Analogues Using Microwave Hydrothermal Reaction and Evaluation of Composition-Dependent Electrochemical Properties. J. Phys. Chem. C 2016, 20, 9702–9712. [Google Scholar] [CrossRef]
  36. Jaishankar, M.; Tseten, T.; Anbalagan, N.; Mathew, B.B.; Beeregowda, K.N. Toxicity, mechanism and health effects of some heavy metals. Interdiscip. Toxicol. 2014, 7, 60–72. [Google Scholar] [CrossRef]
  37. Rathia, B.S.; Kumar, P.S. A review on sources, identification and treatment strategies for the removal of toxic Arsenic from water system. J. Hazard. Mater. 2021, 418, 126299. [Google Scholar] [CrossRef] [PubMed]
  38. Hudson-Edwards, K.A.; Smith, A.M.L.; Dubbin, W.E.; Bennett, A.J.; Murphy, P.J.; Wright, K. Comparison of the structures of natural and synthetic Pb-Cu-jarosite-type compounds. Eur. J. Mineral. 2008, 20, 241–252. [Google Scholar] [CrossRef]
  39. Meng, X.; Zhang, C.; Zhuang, J.; Zheng, G.; Zhou, L. Assessment of schwertmannite, jarosite and goethite as adsorbents for efficient adsorption of phenanthrene in water and the regeneration of spent adsorbents by heterogeneous fenton-like reaction. Chemosphere 2020, 244, 125523. [Google Scholar] [CrossRef] [PubMed]
  40. Picazo-Rodríguez, N.G.; Carrillo-Pedroza, F.R.; Soria-Aguilar, M.J.; Baltierra, G.; González, G.; Martinez-Luevanos, A.; Guzmán, I.A. Use of Thermally Modified Jarosite for the Removal of Hexavalent Chromium by Adsorption. Crystals 2022, 12, 80. [Google Scholar] [CrossRef]
Figure 1. Strategy to characterize, remediate, and apply an industrial jarosite as adsorbent.
Figure 1. Strategy to characterize, remediate, and apply an industrial jarosite as adsorbent.
Minerals 13 01148 g001
Figure 2. Experimental methodology for acid remediation of the industrial jarosite.
Figure 2. Experimental methodology for acid remediation of the industrial jarosite.
Minerals 13 01148 g002
Figure 3. Jarosites characterization: (a) structural changes caused by heat; (b) JAR Thermal decomposition monitoring; (c) comparative thermal behavior of the experimental jarosites; (d) XRD spectra of JAR and remediated jarosites.
Figure 3. Jarosites characterization: (a) structural changes caused by heat; (b) JAR Thermal decomposition monitoring; (c) comparative thermal behavior of the experimental jarosites; (d) XRD spectra of JAR and remediated jarosites.
Minerals 13 01148 g003
Figure 4. Jarosites characterization. (a) FTIR Spectra; (b) particle size distribution; (c) JAR micrograph; (d) JAR2L micrograph.
Figure 4. Jarosites characterization. (a) FTIR Spectra; (b) particle size distribution; (c) JAR micrograph; (d) JAR2L micrograph.
Minerals 13 01148 g004
Figure 5. Metallic contaminants content in remediated jarosites, g kg−1. JAR1L = conventionally remediated jarosite; JAR2L = ultrasonically leached jarosite; UE = ultrasound exchanged; ME = microwaves exchanged.
Figure 5. Metallic contaminants content in remediated jarosites, g kg−1. JAR1L = conventionally remediated jarosite; JAR2L = ultrasonically leached jarosite; UE = ultrasound exchanged; ME = microwaves exchanged.
Minerals 13 01148 g005
Figure 6. Metals distribution in leaching solutions. (a) Extraction with hot water; (b) extraction with hot water followed by extraction with HCl 0.036 N solution.
Figure 6. Metals distribution in leaching solutions. (a) Extraction with hot water; (b) extraction with hot water followed by extraction with HCl 0.036 N solution.
Minerals 13 01148 g006
Figure 7. Adsorption of As(V) in jarosites. (a) Adsorption kinetics; (b) relationship between specific adsorption capacity and time; (c) effect of concentration of As(V) on its removal; (d) maximum adsorption capacity of As(V) at equilibrium.
Figure 7. Adsorption of As(V) in jarosites. (a) Adsorption kinetics; (b) relationship between specific adsorption capacity and time; (c) effect of concentration of As(V) on its removal; (d) maximum adsorption capacity of As(V) at equilibrium.
Minerals 13 01148 g007
Table 1. Chemical composition of jarosites determined by XRF in wt. %.
Table 1. Chemical composition of jarosites determined by XRF in wt. %.
Fe2O3SO3SiO2ZnONa2OAl2O3CuOAs2O3MnOCdOK2OCaOPbOLOI 1
Chemical composition on wet base, wt. %
RJAR30.0718.974.577.252.651.200.890.330.000.220.120.000.6731.90
JAR33.7518.134.066.672.231.130.950.490.400.230.301.090.9429.50
JAR Avg.31.9118.554.326.962.441.170.920.410.200.230.210.550.8130.70
JAR1L30.8020.504.866.343.410.670.840.410.400.200.371.290.8028.90
JAR2L35.1818.414.986.023.310.730.960.410.400.120.400.060.9427.90
Chemical composition on dry base, wt. %
RJAR44.7128.216.8010.773.941.781.320.490.000.330.180.000.99-
JAR47.8625.715.769.453.161.601.350.690.570.330.431.551.34-
JAR Avg.46.2926.966.2810.113.551.691.340.590.280.330.310.771.17-
JAR1L43.3628.866.848.924.800.941.180.570.560.280.521.811.13-
JAR2L48.8025.546.918.354.591.011.330.570.550.170.560.091.30-
Difference between JAR1L and JAR2L Vs. average JAR, wt. %
JAR1L−2.931.900.56−1.191.25−0.75−0.15−0.020.28−0.040.221.04−0.03-
JAR2L2.52−1.420.63−1.761.04−0.690.00−0.020.27−0.160.25−0.690.13-
1 LOI: Lost on ignition.
Table 2. Indicators of the hazardousness of jarosites industrial and remediated.
Table 2. Indicators of the hazardousness of jarosites industrial and remediated.
pH in Aqueous SuspensionCd
mg L−1
Pb
mg L−1
As
mg L−1
Cyanides
mg kg−1
Sulfides
mg kg−1
Permitted2–12.5155250500
JAR3.3464.24.160.27<39.5<51.4
JAR2L2.550.490.24<0.005<39.5<51.4
Removal, wt. %-94.2399.2398.15--
Table 3. Chemical composition of solids resulting from ultrasound-assisted H2SO4 leaching, g kg−1.
Table 3. Chemical composition of solids resulting from ultrasound-assisted H2SO4 leaching, g kg−1.
ElementZnPbCuCdAsMn
RJAR91.909.2010.003.004.504.80
JAR average, g kg−169.599.758.962.114.583.44
DESVEST9.491.770.080.690.880.79
1 kg of JAR; 5L of solution H2SO4 0.1 M; 5 L H2O; 2 washes with 5L of H2O
JAR2L average, g kg−154.549.257.270.913.892.41
DESVEST0.800.140.110.050.170.02
Extraction Efficiency, %21.625.1618.7856.7114.9730.04
1 kg of JAR; 5 L of solution H2SO4 0.1 M; 5 L H2O; 3 washes with 5 L of H2O
JAR3L average, g kg−141.138.738.631.534.172.43
DESVEST0.320.210.210.150.060.06
Extraction Efficiency, %40.8910.433.5927.338.9329.26
Table 4. Contaminants distribution in solutions from conventional acid leaching.
Table 4. Contaminants distribution in solutions from conventional acid leaching.
Extracted ElementsZnPbCuCdAsMn
Aqueous leaching: 1 kg of JAR; 5.25 L H2O; 3 washes with 3 L of H2O each, mg kg−1
JAR1L F11227.927.93288.49198.083.62513.77
JAR1L W1543.754.2641.6167.290.8779.44
JAR1L W272.753.936.6683.850.605.01
JAR1L W327.693.605.5271.880.692.37
Acid leaching: 1kg of JAR; 10 L HCl 0.015N; 3 washes with 3 L of H2O, mg kg−1
JAR1L F212.00582.1027.6013.004.000.00
JAR1L W42.1650.253.451.800.690.00
JAR1L W50.663.390.660.360.570.00
JAR1L W60.661.170.390.000.000.00
Aqueous extraction1872.1119.72342.28421.105.78600.59
Acid extraction15.48636.9132.1015.165.260.00
Total extraction1887.59656.63374.38436.2611.04600.59
Aqueous extraction, %99.183.0091.4396.5352.37100.00
Acid extraction, %0.8297.008.573.4747.630.00
Fraction of elements extracted with aqueous leaching, %
JAR1L F165.5940.2184.2847.0462.6585.54
JAR1L W129.0421.6112.1615.9815.0513.23
JAR1L W23.8919.931.9519.9110.380.83
JAR1L W31.4818.261.6117.0711.930.39
Fraction of elements extracted with acid leaching, %
JAR1L F277.5291.3985.9885.7576.050.00
JAR1L W413.957.8910.7511.8713.120.00
JAR1L W54.260.532.062.3710.840.00
JAR1L W64.260.181.210.000.000.00
Disclaimer/Publisher’s Note: The statements, opinions and data contained in all publications are solely those of the individual author(s) and contributor(s) and not of MDPI and/or the editor(s). MDPI and/or the editor(s) disclaim responsibility for any injury to people or property resulting from any ideas, methods, instructions or products referred to in the content.

Share and Cite

MDPI and ACS Style

López-Martínez, A.M.; Gamero-Melo, P. Mild Conditions Method to Remediate Hazardous Jarosite and Its Application as Adsorbent of Arsenic(V) and Water. Minerals 2023, 13, 1148. https://doi.org/10.3390/min13091148

AMA Style

López-Martínez AM, Gamero-Melo P. Mild Conditions Method to Remediate Hazardous Jarosite and Its Application as Adsorbent of Arsenic(V) and Water. Minerals. 2023; 13(9):1148. https://doi.org/10.3390/min13091148

Chicago/Turabian Style

López-Martínez, Arely Monserrat, and Prócoro Gamero-Melo. 2023. "Mild Conditions Method to Remediate Hazardous Jarosite and Its Application as Adsorbent of Arsenic(V) and Water" Minerals 13, no. 9: 1148. https://doi.org/10.3390/min13091148

APA Style

López-Martínez, A. M., & Gamero-Melo, P. (2023). Mild Conditions Method to Remediate Hazardous Jarosite and Its Application as Adsorbent of Arsenic(V) and Water. Minerals, 13(9), 1148. https://doi.org/10.3390/min13091148

Note that from the first issue of 2016, this journal uses article numbers instead of page numbers. See further details here.

Article Metrics

Back to TopTop