The Açdif Gold-Bearing Shear Zone (Zenaga Inlier, Central Anti-Atlas, Morocco): New Petro-Structural and Geochemical Data
Abstract
:1. Introduction
2. Geological Context

3. Materials and Methods
4. Results
4.1. Petrography and Lithology
4.2. Tectonic
4.3. Geochemistry
4.3.1. Major Elements and Traces
- -
- Mafic and intermediate rocks (together, E1) are represented by dolerites, microgabbro and quartz diorite. They show variable levels of SiO2 (46.4–57.6 wt%), TiO2 (0.54–2.39 wt%), K2O (0.31–3.93 wt%), and Na2O (0.26–9.23 wt%).
- -
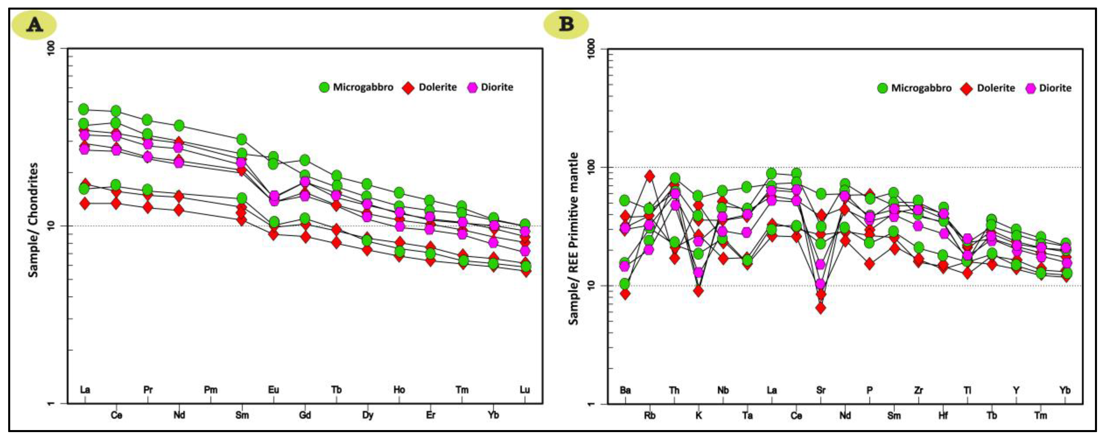
- Felsic rocks (together, E2) are represented by granodiorite with SiO2 contents (63.68–70.76 wt%), TiO2 (0.34–0.53 wt%), K2O (2.72–4.62 wt%), and Na2O (1.06–3.84 wt%). The plots of the chemical analyses in the TAS diagrams [23,24], and Zr/TiO2—Nb/Y diagram [25] show two sets (E1 and E2) with a variety of compositions ranging from basalt, including diorite, and gabbro-diorite (Figure 10). As for the E2 set, it occupies the field of granodiorites and confirms petrographic observations (Figure 10A–D). The dykes of the E1 set are characterized by average silica values ranging from 46.40 to 57.60 wt% from microgabbro-dolerite to diorite. MgO contents are low and slightly decrease from microgabbro (6.56 wt%) to quartz diorite (6.06 wt%). The Mg* ratio varies from 41 for microgabbro-dolerite to 33 for quartz diorite. These low values are accompanied by a fall in the contents of elements in transition traces, especially chromium and nickel (Figure 11). The low ratios in Mg* have the characteristics of magmas that have evolved by fractional crystallization [26]. CaO gradually decreases from microgabbro-dolerites (6.12 wt%) to quartz diorite (3.32 wt%). This decrease is accompanied by an increase in Na2O (3.40 wt%) levels. MnO contents are low, but significant. They are relatively lower in microgabbro and dolerite (0.25 wt%) and higher in microgabbro-dolerites by reaching the maximum values (0.30 wt%) in diorite. The increase in Fe2O3, TiO2, Zr, Hf, Sr, and Th with the decrease in MgO in these facies may be compatible with early fractionation of plagioclase and pyroxene compared to other mineral phases. This membership is confirmed by the increase in Fe2O3 and TiO2 contents during differentiation (Figure 11). The early crystallizations of plagioclases and pyroxenes compared to ferro-titaniferous oxides and quartz are typical of rocks in the tholeiitic series.
4.3.2. REE
5. Discussion and Interpretation
5.1. Structural Control
5.2. Geochemical Constraints
5.3. Geodynamic Context
5.4. Characterization of the Source
5.5. Age of Implementation
6. Conclusions
- (i)
- The Açdif sector is formed from a set of plutonic magmatic rocks composed mainly of granodiorite (Azguemerzi granitoids) and a set of late mafic dykes (Ifzwane suite) materialized by microgabbros, dolerites, and quartz diorite. These sets of dykes would come from the same magmatic chamber by fractional crystallization process.
- (ii)
- The structural analysis made it possible to distinguish a dextral shear zone evolving from a ductile to brittle regime, with the development of gold mineralization in the deformed host-rocks and which is mainly associated with the iron oxides in the brecciated quartz veins.
- (iii)
- The geochemical data confirm the field observations and the petrographic investigations of the dykes and granodiorites. These latter have calc-alkaline signatures with highly potassium calc-alkaline affinity relating to a geodynamic arc context. On the other hand, mafic dykes show a bimodal character of continental tholeiites comparable to those of E-MORB and linked to a context of distension.
Author Contributions
Funding
Conflicts of Interest
References
- Bleeker, W. The late Archean record: A puzzle in ca. 35 pieces. Lithos 2003, 71, 99–134. [Google Scholar] [CrossRef]
- Leblanc, M. The late Proterozoic ophiolites of Bou Azzer (Morocco): Evidence for Pan-African plate tectonics. In Developments in Precambrian Geology; Elsevier: Amsterdam, The Netherlands, 1981; Volume 4, pp. 435–451. [Google Scholar]
- Saquaque, A.; Admou, H.; Cisse, A.; Benyousef, A.; Reuber, I. Les intrusions calco-alcalines de la boutonnière de Bou Azzer-El Graara (Anti-Atlas, Maroc): Marqueurs de la déformation panafricaine majeure dans un contexte de collision d’arc. C. R. Acad. Sci. 1989, 308, 1279–1283. [Google Scholar]
- Choubert, G. Histoire Géologique du Précambrien de l’Anti-Atlas; Éditions du Service géologique du Maroc: Rabat, Morocco, 1963. [Google Scholar]
- Thomas, R.; Chevallier, L.; Gresse, P.; Harmer, R.; Eglington, B.; Armstrong, R.; De Beer, C.; Martini, J.; De Kock, G.; Macey, P. Precambrian evolution of the Sirwa window, Anti-Atlas orogen, Morocco. Precambrian Res. 2002, 118, 1–57. [Google Scholar] [CrossRef]
- Kouyaté, D.; Söderlund, U.; Youbi, N.; Ernst, R.; Hafid, A.; Ikenne, M.; Soulaimani, A.; Bertrand, H.; Chaham, K.R. U–Pb baddeleyite and zircon ages of 2040 Ma, 1650 Ma and 885 Ma on dolerites in the West African Craton (Anti-Atlas inliers): Possible links to break-up of Precambrian supercontinents. Lithos 2013, 174, 71–84. [Google Scholar] [CrossRef]
- Horrenberger, J.-C. Tectonique Superposées Dans le Précambrien de Taznakht (Anti-Atlas Central, Maroc); 15p+planches+annexes; University Louis Pasteur: Strasbourg, France, 1973. [Google Scholar]
- Hafid, A.; Sagon, J.; Julivert, M.; Arboleya, M.; Saquaque, A.; El Boukhari, A.; Saidi, A.; Soler, J. Neoproterozoic basic dykes of the Zenaga Inlier, central Anti-Atlas, Morocco: Petrology, geochemistry and geodynamic significance. J. Afr. Earth Sci. 2001, 32, 707–721. [Google Scholar] [CrossRef]
- Youbi, N.; Kouyaté, D.; Söderlund, U.; Ernst, R.E.; Soulaimani, A.; Hafid, A.; Ikenne, M.; El Bahat, A.; Bertrand, H.; Chaham, K.R. The 1750 Ma magmatic event of the west African craton (Anti-Atlas, Morocco). Precambrian Res. 2013, 236, 106–123. [Google Scholar] [CrossRef]
- Thomas, R.J.; Fekkak, A.; Ennih, N.; Errami, E.; Loughlin, S.; Gresse, P.; Chevallier, L.; Liégeois, J.-P. A new lithostratigraphic framework for the Anti-Atlas Orogen, Morocco. J. Afr. Earth Sci. 2004, 39, 217–226. [Google Scholar] [CrossRef]
- Ikenne, M.; Mortaji, A.; Gasquet, D.; Stussi, J.M. Les filons basiques des boutonnières du Bas Drâa et de la Tagragra d’Akka: Témoins des distensions néoprotérozoïques de l’Anti-Atlas occidental (Maroc). J. Afr. Earth Sci. 1997, 25, 209–223. [Google Scholar] [CrossRef]
- El Bahat, A.; Ikenne, M.; Söderlund, U.; Youbi, N.; Ernst, R.; Soulaimani, A.; El Janati, M.; Hafid, A. U–Pb ages of dolerite dykes in the Bas Drâa Inlier of the Anti-Atlas of Morocco: Newly identified 1380 Ma event in the West African Craton. Lithos 2013, 174, 85–98. [Google Scholar] [CrossRef]
- Hafid, A.; Sagon, J.; Saidi, A. La serie metamorphique du Proterozoique inferieur de la boutonniere d’Irherm (Anti-Atlas Occidental, Maroc): Petrographie, geochimie et apercu structural. Afr. Geosci. Rev. 1998, 5, 145–150. [Google Scholar]
- Hafid, A. Magmatisme Basique Filonien Néoproterozoïque (Précambrien II Inférieur) dans l’Anti-Atlas Central et Occidental: Minéralogie, Géochimie, Pétrogenèse et Implication Géodynamique; Faculté des Sciences-Semlalia, Université Cadi Ayyad: Marrakesh, Morocco, 1999. [Google Scholar]
- Caby, R. Paleogeodynamique d’une marge passive et d’une marge active au Precambrien superieur; leur collision dans la chaine pan-africaine du Mali. Bull. Société Géologique Fr. 1978, 7, 857–861. [Google Scholar] [CrossRef]
- Black, R.; Caby, R.; Moussine-Pouchkine, A.; Bayer, R.; Bertrand, J.; Boullier, A.; Fabre, J.; Lesquer, A. Evidence for late Precambrian plate tectonics in West Africa. Nature 1979, 278, 223–227. [Google Scholar] [CrossRef]
- Castaing, C.; Feybesse, J.; Thiéblemont, D.; Triboulet, C.; Chevremont, P. Palaeogeographical reconstructions of the Pan-African/Brasiliano orogen: Closure of an oceanic domain or intracontinental convergence between major blocks? Precambrian Res. 1994, 69, 327–344. [Google Scholar] [CrossRef]
- Dupont, P.; Lapierre, H.; Gravelle, M.; Bertrand, J. Caractérisation du magmatisme Protérozoïque supérieur en Afrique de l’ouest et implications géodynamiques: Des rifts intracratoniques au Panafricain? Can. J. Earth Sci. 1987, 24, 96–109. [Google Scholar] [CrossRef]
- Ennih, N.; Liégeois, J.-P. The Moroccan Anti-Atlas: The West African craton passive margin with limited Pan-African activity. Implications for the northern limit of the craton. Precambrian Res. 2001, 112, 289–302. [Google Scholar] [CrossRef]
- Saidi, A. Pétrographie, Géochimie, et Structure Des Formations Métamorphiques D’âge Paléoprotérozoïque et Des Zones de Cisaillements Ductile au Nord de la Boutonnière de Zenaga (Anti-Atlas, Maroc); Université Cadi Ayyad: Marrakech, Morocco, 2002. [Google Scholar]
- Gasquet, D.; Ennih, N.; Liégeois, J.-P.; Soulaimani, A.; Michard, A. The pan-african belt. In Continental Evolution: The Geology of Morocco: Structure, Stratigraphy, Tectonics of the Africa-Atlantic-Mediterranean Triple Junction; Springer: Berlin/Heidelberg, Germany, 2008; pp. 33–64. [Google Scholar]
- Gresse, P.G.; De Beer, C.H.; De Kock, G.S.; Thomas, R.J.; Chevallier, L.P. Carte Géologique du Maroc: Taghdout-Echelle 1/50,000; Notes et Mémoires du Service Géologique du Maroc N° 396; CGS South Africa: Pretoria, South Africa, 2000. [Google Scholar]
- Middlemost, E.A. Naming materials in the magma/igneous rock system. Earth-Sci. Rev. 1994, 37, 215–224. [Google Scholar] [CrossRef]
- Cox, K.; Bell, J.; Pankhurst, R. The Interpretation of Igneous Rocks George; Allen and Unwin: London, UK, 1979; p. 450. [Google Scholar]
- Winchester, J.A.; Floyd, P.A. Geochemical discrimination of different magma series and their differentiation products using immobile elements. Chem. Geol. 1977, 20, 325–343. [Google Scholar] [CrossRef]
- Perfit, M.R.; Gust, D.; Bence, A.E.; Arculus, R.; Taylor, S.R. Chemical characteristics of island-arc basalts: Implications for mantle sources. Chem. Geol. 1980, 30, 227–256. [Google Scholar] [CrossRef]
- Bowen, N. The Evolution of the Igneous Rocks; Princeton University Press: Princeton, NJ, USA, 1928. [Google Scholar]
- Peccerillo, A.; Taylor, S. Geochemistry of Eocene calc-alkaline volcanic rocks from the Kastamonu area, northern Turkey. Contrib. Mineral. Petrol. 1976, 58, 63–81. [Google Scholar] [CrossRef]
- Irvine, T.N.; Baragar, W. A guide to the chemical classification of the common volcanic rocks. Can. J. Earth Sci. 1971, 8, 523–548. [Google Scholar] [CrossRef]
- Cabanis, B.; Lecolle, M. Le diagramme La/10-Y/15-Nb/8: Un outil pour la discrimination des séries volcaniques et la mise en évidence des processus de mélange et/ou de contamination crustale. C. R. Acad. Sci. 1989, 309, 2023–2029. [Google Scholar]
- Pearce, J.A. Trace element characteristics of lavas from destructive plate boundaries. In Orogenic Andesites and Related Rocks; John Wiley and Sons: Hoboken, NJ, USA, 1982; pp. 528–548. [Google Scholar]
- Pearce, J.; Harris, N.B.; Tindle, A.G. Trace element discrimination diagrams for the tectonic interpretation of granitic rocks. J. Pet. 1984, 25, 956–983. [Google Scholar] [CrossRef]
- Dupuy, C.; Dostal, J. Trace element geochemistry of some continental tholeiites. Earth Planet. Sci. Lett. 1984, 67, 61–69. [Google Scholar] [CrossRef]
- McDonough, W.F.; Sun, S.-S. The composition of the Earth. Chem. Geol. 1995, 120, 223–253. [Google Scholar] [CrossRef]
- Bertrand, H.; Dostal, J.; Dupuy, C. Geochemistry of early Mesozoic tholeiites from Morocco. Earth Planet. Sci. Lett. 1982, 58, 225–239. [Google Scholar] [CrossRef]
- Vicat, J.-P.; Léger, J.-M.; Nsifa, E.; Piguet, P.; Nzenti, J.-P.; Tchameni, R. Distinction, au sein du craton congolais du sud-ouest du Cameroun, de deux épisodes doléritiques initiant les cycles orogéniques éburnéen (Paléoprotérozoïque) et panafricain (Néoprotérozoïque). C. R. Acad. Sci. 1996, 323, 575–582. [Google Scholar]
- Thompson, R.; Morrison, M.; Hendry, G.; Parry, S. An assessment of the relative roles of crust and mantle in magma genesis: An elemental approach. Philos. Trans. R. Soc. Lond. 1984, 310, 549–590. [Google Scholar]
- Winchester, J.; Floyd, P. Geochemical magma type discrimination: Application to altered and metamorphosed basic igneous rocks. Earth Planet. Sci. Lett. 1976, 28, 459–469. [Google Scholar] [CrossRef]
- Thompson, A.B. Dehydration melting of pelitic rocks and the generation of H2O-undersaturated granitic liquids. Am. J. Sci. 1982, 282, 1567–1595. [Google Scholar] [CrossRef]
- Boyton, W. Geochemistry of the rare earth elements: Meteorite studies. In Rare Earth Element Geochemistry; Elsevier: Amsterdam, The Netherlands, 1984; pp. 63–114. [Google Scholar]
- Saquaque, A.; Benharref, M.; Abia, H.; Mrini, Z.; Reuber, I.; Karson, J.A. Evidence for a Panafrican volcanic arc and wrench fault tectonics in the Jbel Saghro, Anti-Atlas, Morocco. Geol. Rundsch. 1992, 81, 1–13. [Google Scholar] [CrossRef]
- Leblanc, M. Ophiolites Précambriennes et Gites Arseniés de Cobalt: Bou Azzer (Maroc); Faculte des Science Paris VI, Memoires Centre Geologique et Geophysique: Paris, France, 1975. [Google Scholar]
- Chabane, A.; El Boukhari, A.; Rocci, G.; TANE, J.-L. Découverte d’un magmatisme d’affinité boninitique d’arc associé à l’ophiolite panafricaine de Khzama (Massif du Siroua, Anti-Atlas marocain). C. R. Acad. Sci. 1991, 313, 1301–1304. [Google Scholar]
- EL Boukhari, A.; Chabane, A.; Rocci, G.; Tane, J.-L. Le volcanisme de la région de N’Kob (SE du Siroua, Anti-Atlas marocain) témoin de l’existence d’un rift au Protérozoïque supérieur, à la marge NE du Craton ouest africain. C. R. Acad. Sci. 1991, 312, 735–738. [Google Scholar]
- Admou, H. Structuration de la Paléo Suture Ophiolitique Panafricaine de Bou Azzer-Siroua (Anti-Atlas Central, Maroc); Université Cadi Ayyad, Faculty of Sciences Semlalia: Marrakech, Morocco, 2000. [Google Scholar]
- Sun, S.-S.; Nesbitt, R.W. Petrogenesis of Archaean ultrabasic and basic volcanics: Evidence from rare earth elements. Contrib. Mineral. Petrol. 1978, 65, 301–325. [Google Scholar] [CrossRef]
- Sun, S.-S.; Nesbitt, R.W.; Sharaskin, A.Y. Geochemical characteristics of mid-ocean ridge basalts. Earth Planet. Sci. Lett. 1979, 44, 119–138. [Google Scholar] [CrossRef]
- Le Roex, A.P.; Erlank, A.; Needham, H. Geochemical and mineralogical evidence for the occurrence of at least three distinct magma types in the ‘Famous’ region. Contrib. Mineral. Petrol. 1981, 77, 24–37. [Google Scholar] [CrossRef]
- Le Roex, A.P. Geochemistry, mineralogy and magmatic evolution of the basaltic and trachytic lavas from Gough Island, South Atlantic. J. Petrol. 1985, 26, 149–186. [Google Scholar] [CrossRef]
- Marcelot, G.; Dupuy, C.; Dostal, J.; Rancon, J.P.; Pouclet, A. Geochemistry of mafic volcanic rocks from the Lake Kivu (Zaire and Rwanda) section of the western branch of the African Rift. J. Volcanol. Geotherm. Res. 1989, 39, 73–88. [Google Scholar] [CrossRef]
- Sun, S.-S.; McDonough, W.F. Chemical and Isotopic Systematics of Oceanic Basalts: Implications for Mantle Composition and Processes; Geological Society, London, Special Publications: London, UK, 1989; Volume 42, pp. 313–345. [Google Scholar] [CrossRef]
- Morata, D.; Puga, E.; Demant, A.; Aguirre, L. Geochemistry and tectonic setting of the «ophites» from the external zones ofthe Betic Cordilleras (S. Spain). Estudios Geol. 1997, 53, 107–120. [Google Scholar] [CrossRef]
- Ait Malek, H.; Gasquet, D.; Bertrand, J.-M.; Leterrier, J. Géochronologie U-Pb sur zircon de granitoïdes éburnéens et panafricains dans les boutonnières protérozoïques d’Igherm, du Kerdous et du Bas Drâa (Anti-Atlas occidental, Maroc). C. R. Acad. Sci. 1998, 327, 819–826. [Google Scholar]
- Walsh, G.J.; Aleinikoff, J.N.; Benziane, F.; Yazidi, A.; Armstrong, T.R. U–Pb zircon geochronology of the Paleoproterozoic Tagragra de Tata inlier and its Neoproterozoic cover, western Anti-Atlas, Morocco. Precambrian Res. 2002, 117, 1–20. [Google Scholar] [CrossRef]
- Hawkins, M.; Smith, M.; Powell, J.; Waters, C. Carte Géologique du Maroc: Al YounDar a-Echelle 1/50,000; Notes et Mémoires Du Service Géologique Maroc; Editeur British Geological Survey: Rabat, Morocco, 2001. [Google Scholar]
- De Beer, C.; Chevallier, L.; De Kock, G.; Gresse, P.; Thomas, R. Mémoire Explicatif de la Carte Géologique du Maroc au 1/50,000, Feuille Sirwa; Notes et Mémoires Du Service Géologique Maroc; Editeur British Geological Survey: Rabat, Morocco, 2000; Volume 395, p. 86. [Google Scholar]
- Saïdi, A.; Hafid, A.; Sagon, J.-P.; Julivert, M.; Arboleya, M.L.; Saquaque, A.; Rizki, A. La série de Zenaga (Anti-Atlas, Maroc): Pétrologie et structure des formations métamorphiques paléoprotérozoïques. Géologie Méditerranéenne 2001, 28, 203–221. [Google Scholar] [CrossRef]
- Debon, F.; Le Fort, P. A chemical–mineralogical classification of common plutonic rocks and associations. Earth Environ. Sci. Trans. R. Soc. Edinb. 1983, 73, 135–149. [Google Scholar] [CrossRef]
- Lameyre, J. Les magmas granitiques: Leurs comportements, leurs associations et leurs sources. Mem. Hors Ser. Soc. Geol. Fr. 1980, 10, 51–62. [Google Scholar]
- Dostal, J.; Baragar, W.; Dupuy, C. Geochemistry and petrogenesis of basaltic rocks from Coppermine River area, Northwest Territories. Can. J. Earth Sci. 1983, 20, 684–698. [Google Scholar] [CrossRef]
- Cox, K.; Hawkesworth, C. Geochemical stratigraphy of the Deccan Traps at Mahabaleshwar, Western Ghats, India, with implications for open system magmatic processes. J. Petrol. 1985, 26, 355–377. [Google Scholar] [CrossRef]
- Cabanis, B.; Cochemé, J.; Vellutini, P.; Joron, J.; Treuil, M. Post-collisional Permian volcanism in northwestern Corsica: An assessment based on mineralogy and trace-element geochemistry. J. Volcanol. Geotherm. Res. 1990, 44, 51–67. [Google Scholar] [CrossRef]
- Fitton, J.; Saunders, A.; Larsen, L.; Fram, M.; Demant, A.; Sinton, C.; Party, T. Magma sources and plumbing systems during break-up of the SE Greenland margin: Preliminary results from ODP Leg 152. J. Geol. Soc. 1995, 152, 985–990. [Google Scholar] [CrossRef]
- Hildreth, W.; Halliday, A.N.; Christiansen, R.L. Isotopic and chemical evidence concerning the genesis and contamination of basaltic and rhyolitic magma beneath the Yellowstone Plateau volcanic field. J. Petrol. 1991, 32, 63–138. [Google Scholar] [CrossRef]
- Hofmann, A.W.; Jochum, K.P.; Seufert, M.; White, W.M. Nb and Pb in oceanic basalts: New constraints on mantle evolution. Earth Planet. Sci. Lett. 1986, 79, 33–45. [Google Scholar] [CrossRef]
- Taylor, S.R.; McLennan, S.M. The Continental Crust: Its Composition and Evolution; Blackwell Scientific Publications: Oxford, UK, 1985. [Google Scholar]
- Alibert, C. A Sr-Nd isotope and REE study of Late Triassic dolerites from the Pyrenees (France) and the Messejana Dyke (Spain and Portugal). Earth Planet. Sci. Lett. 1985, 73, 81–90. [Google Scholar] [CrossRef]
- Dupuy, C.; Marsh, J.; Dostal, J.; Michard, A.; Testa, S. Asthenospheric and lithospheric sources for Mesozoic dolerites from Liberia (Africa): Trace element and isotopic evidence. Earth Planet. Sci. Lett. 1988, 87, 100–110. [Google Scholar] [CrossRef]
- Hafid, A. Granites et Dolérites Protérozoïques de la Boutonnière d’Irherm (Anti-Atlas Occidental, Maroc):(Pétrologie, Géochimie et Signification Géodynamique); Universite Pierre et Marie Curie, Paris VI: Paris, France, 1992. [Google Scholar]
- Irving, E.; Baker, J.; Hamilton, M.; Wynne, P. Early Proterozoic geomagnetic field in western Laurentia: Implications for paleolatitudes, local rotations and stratigraphy. Precambrian Res. 2004, 129, 251–270. [Google Scholar] [CrossRef]
- Gladkochub, D.P.; Pisarevsky, S.A.; Donskaya, T.V.; Ernst, R.E.; Wingate, M.T.; Söderlund, U.; Mazukabzov, A.M.; Sklyarov, E.V.; Hamilton, M.A.; Hanes, J.A. Proterozoic mafic magmatism in Siberian craton: An overview and implications for paleocontinental reconstruction. Precambrian Res. 2010, 183, 660–668. [Google Scholar] [CrossRef]
- Charlot, R. Caractérisation des Événements Éburnéens et Panafricains dans l’Anti-Atlas Marocain: Apport de la Méthode Géochronologique Rb-Sr; Editions du Service géologique du Maroc: Rabat, Morocco, 1982. [Google Scholar]














| Sample | 1819 E4 | 2107 E4 | 2107 E6 | TZL 05-01 | TZL 05-02 | TZL 0502 A | 1819 E6 | 2107 E5 | 1819 E7 |
|---|---|---|---|---|---|---|---|---|---|
| Facies | Dolerite | Microgabbro | Quartz Diorite | ||||||
| (%) | |||||||||
| SiO2 | 46.4 | 50.3 | 47.8 | 49.3 | 50.7 | 48.7 | 51.1 | 50.9 | 50.3 |
| TiO2 | 2.39 | 2.13 | 1.65 | 1.29 | 2.38 | 1.64 | 1.68 | 1.69 | 1.82 |
| Al2O3 | 12.9 | 13.4 | 14.4 | 14.6 | 14.3 | 14.4 | 13.2 | 13.7 | 15.2 |
| Fe2O3 | 9.31 | 7.47 | 10.16 | 10.31 | 13.15 | 9.72 | 8.35 | 5.74 | 7.95 |
| FeO | 7.56 | 7.4 | 6.36 | 4.28 | 2.28 | 4 | 5.52 | 7.96 | 6.48 |
| MnO | 0.26 | 0.26 | 0.22 | 0.24 | 0.28 | 0.25 | 0.28 | 0.26 | 0.33 |
| MgO | 5.04 | 6.3 | 6.41 | 6.34 | 3.5 | 6.56 | 5.36 | 6.32 | 6.06 |
| CaO | 9.23 | 4.16 | 3.55 | 6.82 | 6.34 | 6.42 | 6.56 | 4.27 | 2.38 |
| Na2O | 1.32 | 3.15 | 2.67 | 2.39 | 2.3 | 3.93 | 2.25 | 3.67 | 3.14 |
| K2O | 0.13 | 0.52 | 0.7 | 0.39 | 0.8 | 0.27 | 0.14 | 0.34 | 0.18 |
| P2O5 | 0.31 | 0.62 | 0.16 | 0.28 | 0.39 | 0.24 | 0.57 | 0.41 | 0.37 |
| LOI | 5.24 | 4.62 | 5.87 | 3.76 | 3.55 | 4.04 | 5.15 | 5.06 | 5.14 |
| Total | 100.09 | 100.33 | 99.95 | 100 | 99.97 | 100.17 | 100.16 | 100.32 | 99.35 |
| (ppm) | |||||||||
| Sc | 39.00 | 34.42 | 40.47 | 42.06 | 37.67 | 36.80 | 35.37 | 36.63 | 39.09 |
| V | 462.24 | 381.51 | 345.60 | 319.66 | 376.79 | 334.99 | 319.07 | 262.23 | 352.80 |
| Cr | 84.00 | 69.85 | 131.12 | 207.60 | 56.63 | 242.95 | 47.22 | 120.76 | 82.50 |
| Co | 41.38 | 14.60 | 47.08 | 49.02 | 42.87 | 51.20 | 53.29 | 50.16 | 57.66 |
| Ni | 71.56 | 62.98 | 93.22 | 105.79 | 51.98 | 101.22 | 51.28 | 74.87 | 74.78 |
| Cu | 104.27 | 61.58 | 12.01 | 77.40 | 13.10 | 157.39 | 189.36 | 37.17 | 33.27 |
| Zn | 377.75 | 297.09 | 258.56 | 296.54 | 240.55 | 196.20 | 371.65 | 281.08 | 409.18 |
| Ga | 25.53 | 23.01 | 21.07 | 20.84 | 28.86 | 20.53 | 27.06 | 21.65 | 24.94 |
| Rb | 15.18 | 13.73 | 31.90 | 13.58 | 15.41 | 10.70 | 8.42 | 11.39 | 7.14 |
| Sr | 452.29 | 74.47 | 100.93 | 316.78 | 695.33 | 266.77 | 379.68 | 120.70 | 173.69 |
| Y | 42.92 | 47.22 | 27.63 | 32.95 | 54.13 | 29.55 | 58.47 | 45.15 | 40.75 |
| Zr | 309.44 | 324.30 | 114.09 | 108.06 | 343.74 | 141.89 | 263.64 | 270.02 | 219.12 |
| Nb | 18.20 | 12.48 | 8.42 | 5.93 | 22.09 | 8.84 | 16.45 | 12.58 | 10.18 |
| Sn | 4.15 | 2.22 | 1.49 | 1.95 | 3.48 | 1.60 | 4.01 | 2.23 | 2.21 |
| Cs | 0.25 | 0.40 | 0.78 | 0.69 | 0.35 | 0.60 | 0.35 | 0.44 | 0.34 |
| Ba | 59.29 | 214.75 | 197.03 | 261.20 | 366.52 | 108.60 | 70.40 | 206.49 | 100.88 |
| La | 18.86 | 22.38 | 8.68 | 11.17 | 23.87 | 10.49 | 29.23 | 21.11 | 17.34 |
| Ce | 45.91 | 55.74 | 22.45 | 26.25 | 64.03 | 27.97 | 74.01 | 53.54 | 44.14 |
| Pr | 6.21 | 7.83 | 3.21 | 3.78 | 8.22 | 4.00 | 9.96 | 7.17 | 6.07 |
| Nd | 29.09 | 36.68 | 15.29 | 18.16 | 37.64 | 19.04 | 45.83 | 34.07 | 27.81 |
| Sm | 8.38 | 9.64 | 4.39 | 5.18 | 10.35 | 5.77 | 12.46 | 8.95 | 8.07 |
| Eu | 2.09 | 2.22 | 1.38 | 1.52 | 3.74 | 1.55 | 3.44 | 2.24 | 2.10 |
| Gd | 8.43 | 9.62 | 4.75 | 5.58 | 10.48 | 5.99 | 12.81 | 9.65 | 8.04 |
| Tb | 1.30 | 1.52 | 0.79 | 0.93 | 1.64 | 0.96 | 1.88 | 1.43 | 1.29 |
| Dy | 7.90 | 8.96 | 4.94 | 5.75 | 9.80 | 5.52 | 11.51 | 8.81 | 7.35 |
| Ho | 1.61 | 1.75 | 1.01 | 1.20 | 1.93 | 1.11 | 2.28 | 1.78 | 1.46 |
| Er | 4.49 | 4.80 | 2.79 | 3.31 | 5.35 | 3.10 | 6.10 | 4.72 | 4.15 |
| Tm | 0.65 | 0.71 | 0.42 | 0.46 | 0.80 | 0.43 | 0.86 | 0.71 | 0.61 |
| Yb | 3.83 | 4.27 | 2.60 | 2.89 | 4.75 | 2.71 | 4.80 | 4.44 | 3.48 |
| Lu | 0.55 | 0.59 | 0.38 | 0.42 | 0.68 | 0.40 | 0.68 | 0.64 | 0.48 |
| Hf | 7.42 | 8.12 | 2.77 | 2.92 | 8.03 | 3.65 | 6.95 | 6.82 | 5.51 |
| Ta | 0.86 | 0.77 | 0.30 | 0.35 | 1.35 | 0.31 | 0.89 | 0.80 | 0.54 |
| W | 0.73 | 1.03 | 1.39 | 0.14 | 0.47 | 0.43 | 0.50 | 0.36 | 0.71 |
| Pb | 15.36 | 7.29 | 7.18 | 15.00 | 15.00 | 13.87 | 10.15 | 6.42 | 7.96 |
| Th | 2.56 | 2.92 | 0.72 | 0.88 | 3.43 | 0.94 | 3.24 | 2.46 | 2.036 |
| U | 1.07 | 0.85 | 0.24 | 0.33 | 1.07 | 0.33 | 0.94 | 0.81 | 0.57 |
| Sample | TZL76 | TZL77 | TZL78 | TZL79 | TZL80 | TZL81 | TZL82 | TZL83 | TZL84 | TZL85 | TZL86 | TZL87 | TZL88 | TZL89 | TZL90 |
|---|---|---|---|---|---|---|---|---|---|---|---|---|---|---|---|
| Facies | Granodiorite | ||||||||||||||
| (%) | |||||||||||||||
| SiO2 | 70.73 | 69.2 | 69.1 | 65.57 | 65.73 | 70.76 | 70.36 | 60.84 | 62.74 | 68.17 | 65.14 | 71.25 | 63.68 | 65.87 | 64.4 |
| TiO2 | 0.53 | 0.5 | 0.48 | 0.47 | 0.46 | 0.41 | 0.42 | 0.46 | 0.47 | 0.36 | 0.44 | 0.48 | 0.44 | 0.34 | 0.35 |
| Al2O3 | 14.66 | 16.42 | 19.83 | 19.05 | 20.73 | 19.47 | 19.37 | 17.62 | 18.3 | 17.44 | 18.31 | 19.53 | 17.48 | 17.57 | 16.22 |
| Fe2O3 | 4.08 | 4.54 | 3.22 | 3.15 | 2.79 | 2.27 | 2.23 | 2.89 | 2.94 | 3.91 | 3.13 | 2.76 | 2.47 | 2.01 | 5.02 |
| FeO | 4.96 | 4.96 | 3.96 | 3.96 | 2.96 | 2.96 | 2.96 | 2.96 | 2.96 | 3.96 | 3.96 | 2.96 | 2.96 | 2.96 | 2.96 |
| MnO | 0.03 | 0.02 | 0.01 | 0.01 | 0.01 | bdl | 0.01 | bdl | bdl | 0.02 | 0.04 | bdl | bdl | 0.01 | 0.01 |
| MgO | 1.55 | 1.52 | 0.82 | 0.94 | 1 | 0.7 | 0.62 | 0.69 | 0.66 | 1 | 0.87 | 0.7 | 0.72 | 0.57 | 0.76 |
| CaO | 0.69 | 0.15 | bdl | bdl | bdl | bdl | bdl | bdl | bdl | 0.33 | 2.12 | bdl | bdl | 0.24 | bdl |
| Na2O | 1.46 | 1.42 | 2.01 | 2.61 | 3.08 | 2.83 | 2.76 | 2.34 | 2.06 | 2.29 | 2.02 | 3.84 | 3.54 | 2.94 | 1.06 |
| K2O | 3.93 | 3.15 | 3.66 | 3.64 | 4.59 | 3.51 | 2.89 | 3.93 | 3.93 | 2.72 | 3.69 | 2.94 | 2.59 | 3.14 | 4.62 |
| P2O5 | 0.05 | 0.05 | 0.07 | 0.07 | 0.09 | 0.06 | 0.06 | 0.07 | 0.07 | 0.05 | 0.08 | 0.08 | 0.07 | 0.07 | 0.05 |
| LOI | 2.25 | 1.79 | 0.90 | 1.03 | 1.1 | 0.77 | 0.682 | 0.759 | 0.73 | 1.36 | 2.62 | 0.77 | 0.79 | 0.81 | 0.84 |
| Total | 99.96 | 98.76 | 100.10 | 96.54 | 99.58 | 100.78 | 99.40 | 89.60 | 91.90 | 97.65 | 98.46 | 102.35 | 91.78 | 93.57 | 93.33 |
| (ppm) | |||||||||||||||
| Sc | 5.21 | 12.23 | 7.16 | 4.96 | 4.00 | 4.42 | 4.01 | 4.23 | 4.14 | 3.30 | 7.70 | 4.75 | 4.58 | 3.31 | 4.62 |
| V | 109.71 | 109.71 | 109.71 | 109.71 | 109.71 | 109.71 | 109.71 | 109.7 | 109.71 | 109.71 | 109.71 | 109.71 | 109.71 | 109.71 | 109.71 |
| Cr | 135.00 | 175.00 | 146.00 | 217.00 | 187.00 | 111.00 | 164.00 | 91.00 | 125.00 | 128.00 | 106.00 | 105.00 | 103.00 | 257.00 | 116.00 |
| Co | 143.00 | bdl | bdl | bdl | bdl | bdl | bdl | 49.00 | bdl | 76.00 | bdl | bdl | bdl | bdl | 14.00 |
| Ni | 88.00 | 39.00 | 41.00 | 52.00 | 39.00 | 30.00 | 47.00 | 51.00 | 35.00 | 42.00 | 33.00 | 42.00 | 39.00 | 30.00 | 54.00 |
| Cu | 56.00 | 50.00 | 25.00 | 26.00 | 18.00 | 23.00 | 69.00 | 29.00 | 15.00 | 23.00 | 62.00 | 30.00 | 27.00 | 14.00 | 25.00 |
| Zn | 61.00 | 33.00 | bdl | 29.00 | 2.00 | 6.00 | 20.00 | bdl | bdl | 10.00 | bdl | bdl | bdl | bdl | 17.00 |
| Ga | 26.03 | 26.03 | 26.03 | 26.03 | 26.03 | 26.03 | 26.03 | 26.03 | 26.03 | 26.03 | 26.03 | 26.03 | 26.03 | 26.03 | 26.03 |
| Rb | 151.33 | 150.33 | 153.33 | 149.33 | 143.33 | 151.33 | 150.33 | 152.33 | 154.33 | 152.33 | 151.33 | 150.33 | 155.33 | 152.33 | 154.33 |
| Sr | 60.00 | 58.00 | 87.00 | 90.00 | 91.00 | 92.00 | 99.00 | 77.00 | 69.00 | 75.00 | 54.00 | 94.00 | 92.00 | 92.00 | 49.00 |
| Y | 6.00 | 11.00 | 5.00 | 5.00 | bdl | 2.00 | 2.00 | 2.00 | 2.00 | 3.00 | 4.00 | bdl | bdl | 2.00 | 4.00 |
| Zr | 25.10 | 26.60 | 23.00 | 19.70 | 31.10 | 39.90 | 17.30 | 43.40 | 21.40 | 20.80 | 27.40 | 33.80 | 28.70 | 15.90 | 36.50 |
| Nb | 10.00 | 10.00 | 9.00 | 10.00 | 11.00 | 10.00 | 10.00 | 9.00 | 10.00 | 10.00 | 10.00 | 10.00 | 11.00 | 10.00 | 10.00 |
| Sn | 40.00 | 65.00 | 44.00 | 56.00 | 21.00 | 53.00 | 59.00 | 39.00 | 55.00 | 45.00 | bdl | 55.00 | 22.00 | 45.00 | 26.00 |
| Cs | 2.73 | 2.73 | 2.73 | 2.73 | 2.73 | 2.73 | 2.73 | 2.73 | 2.73 | 2.73 | 2.73 | 2.73 | 2.73 | 2.73 | 2.73 |
| Ba | 957.00 | 550.00 | 536.00 | 520.00 | 615.00 | 656.00 | 1258.00 | 1027.00 | 980.00 | 1115.00 | 495.00 | 380.00 | 467.00 | 749.00 | 749.00 |
| La | 51.28 | 33.68 | 45.40 | 70.60 | 59.85 | 55.84 | 57.76 | 48.12 | 52.84 | 45.46 | 45.54 | 34.14 | 34.06 | 45.65 | 50.71 |
| Ce | 115.00 | 73.68 | 97.67 | 148.40 | 129.20 | 113.90 | 124.00 | 102.70 | 113.30 | 92.84 | 104.30 | 78.51 | 77.75 | 93.56 | 106.20 |
| Pr | 12.67 | 8.07 | 11.51 | 16.31 | 14.00 | 13.24 | 14.84 | 11.62 | 13.34 | 10.51 | 11.71 | 8.84 | 8.67 | 9.76 | 11.36 |
| Nd | 52.79 | 32.45 | 42.02 | 60.49 | 56.99 | 52.16 | 53.32 | 44.82 | 51.60 | 38.46 | 48.72 | 36.41 | 35.64 | 37.77 | 45.02 |
| Sm | 9.53 | 7.49 | 7.68 | 11.30 | 8.82 | 7.29 | 7.78 | 10.44 | 9.36 | 8.40 | 10.16 | 7.28 | 7.10 | 6.53 | 8.49 |
| Eu | 1.17 | 0.99 | 1.14 | 1.64 | 1.34 | 1.16 | 1.32 | 1.41 | 1.57 | 1.06 | 2.11 | 1.32 | 1.33 | 0.99 | 1.29 |
| Gd | 6.41 | 6.40 | 6.97 | 6.50 | 5.38 | 4.40 | 4.87 | 5.70 | 7.10 | 4.69 | 7.74 | 5.06 | 4.95 | 4.72 | 6.18 |
| Tb | 0.49 | 0.43 | 0.41 | 0.45 | 0.38 | 0.30 | 0.34 | 0.41 | 0.43 | 0.35 | 0.64 | 0.35 | 0.34 | 0.35 | 0.49 |
| Dy | 1.35 | 1.60 | 1.34 | 1.31 | 1.05 | 0.78 | 0.97 | 1.08 | 1.13 | 1.01 | 2.16 | 0.88 | 0.84 | 1.01 | 1.45 |
| Ho | 0.20 | 0.27 | 0.22 | 0.21 | 0.16 | 0.11 | 0.16 | 0.15 | 0.45 | 0.15 | 0.37 | 0.11 | 0.11 | 0.15 | 0.19 |
| Er | 0.57 | 0.75 | 0.63 | 0.69 | 0.53 | 0.37 | 1.46 | 0.46 | 1.39 | 0.43 | 1.11 | 0.36 | 0.34 | 0.42 | 0.51 |
| Tm | 0.07 | 0.09 | 0.07 | 0.17 | 0.05 | 0.03 | 0.05 | 0.05 | 0.05 | 0.05 | 0.26 | 0.04 | 0.04 | 0.04 | 0.05 |
| Yb | 0.43 | 0.63 | 0.52 | 0.49 | 0.32 | 0.19 | 0.39 | 0.31 | 0.31 | 0.30 | 0.99 | 0.27 | 0.26 | 0.26 | 0.29 |
| Lu | 0.08 | 0.10 | 0.08 | 0.07 | 0.05 | 0.03 | 0.05 | 0.05 | 0.05 | 0.04 | 0.15 | 0.04 | 0.04 | 0.04 | 0.04 |
| Hf | 9.77 | 9.37 | 9.17 | 8.97 | 9.07 | 9.87 | 9.17 | 8.77 | 10.00 | 8.92 | 9.06 | 9.77 | 9.47 | 8.87 | 9.78 |
| Ta | 0.64 | 0.44 | 0.54 | 0.59 | 0.57 | 0.56 | 0.61 | 0.49 | 0.46 | 0.51 | 0.49 | 0.47 | 0.53 | 0.57 | 0.52 |
| W | bdl | bdl | bdl | bdl | bdl | bdl | bdl | bdl | bdl | bdl | bdl | bdl | bdl | bdl | bdl |
| Pb | 64.00 | 34.00 | bdl | 37.00 | bdl | bdl | bdl | bdl | bdl | bdl | bdl | bdl | bdl | bdl | 43.00 |
Disclaimer/Publisher’s Note: The statements, opinions and data contained in all publications are solely those of the individual author(s) and contributor(s) and not of MDPI and/or the editor(s). MDPI and/or the editor(s) disclaim responsibility for any injury to people or property resulting from any ideas, methods, instructions or products referred to in the content. |
© 2023 by the authors. Licensee MDPI, Basel, Switzerland. This article is an open access article distributed under the terms and conditions of the Creative Commons Attribution (CC BY) license (https://creativecommons.org/licenses/by/4.0/).
Share and Cite
El Azmi, M.; Aissa, M.; Moussaid, A.; Ilmen, S.; Mezougane, H.; Prokopyev, I.; Loudaoued, I.; Souiri, M.; Ouguir, H.; Aarab, M.; et al. The Açdif Gold-Bearing Shear Zone (Zenaga Inlier, Central Anti-Atlas, Morocco): New Petro-Structural and Geochemical Data. Minerals 2023, 13, 1116. https://doi.org/10.3390/min13091116
El Azmi M, Aissa M, Moussaid A, Ilmen S, Mezougane H, Prokopyev I, Loudaoued I, Souiri M, Ouguir H, Aarab M, et al. The Açdif Gold-Bearing Shear Zone (Zenaga Inlier, Central Anti-Atlas, Morocco): New Petro-Structural and Geochemical Data. Minerals. 2023; 13(9):1116. https://doi.org/10.3390/min13091116
Chicago/Turabian StyleEl Azmi, Mohammed, Mohamed Aissa, Azizi Moussaid, Said Ilmen, Hafid Mezougane, Ilya Prokopyev, Ilyasse Loudaoued, Muhammad Souiri, Hassane Ouguir, Mohammed Aarab, and et al. 2023. "The Açdif Gold-Bearing Shear Zone (Zenaga Inlier, Central Anti-Atlas, Morocco): New Petro-Structural and Geochemical Data" Minerals 13, no. 9: 1116. https://doi.org/10.3390/min13091116
APA StyleEl Azmi, M., Aissa, M., Moussaid, A., Ilmen, S., Mezougane, H., Prokopyev, I., Loudaoued, I., Souiri, M., Ouguir, H., Aarab, M., Zouhair, M., Maacha, L., & Admou, S. (2023). The Açdif Gold-Bearing Shear Zone (Zenaga Inlier, Central Anti-Atlas, Morocco): New Petro-Structural and Geochemical Data. Minerals, 13(9), 1116. https://doi.org/10.3390/min13091116

