Petrogenesis and Geochronology of the Shazuoquan Ophiolite, Beishan Orogenic Belt: Constraints on the Evolution of the Beishan Ocean
Abstract
1. Introduction
2. Geological Setting
3. Petrography
4. Isotope Chronology
5. Geochemistry
5.1. Ultramafic Rocks



5.2. Basic Rock
6. Discussion
6.1. Petrogenesis
6.2. Tectonic Setting and Geological Significance
7. Conclusions
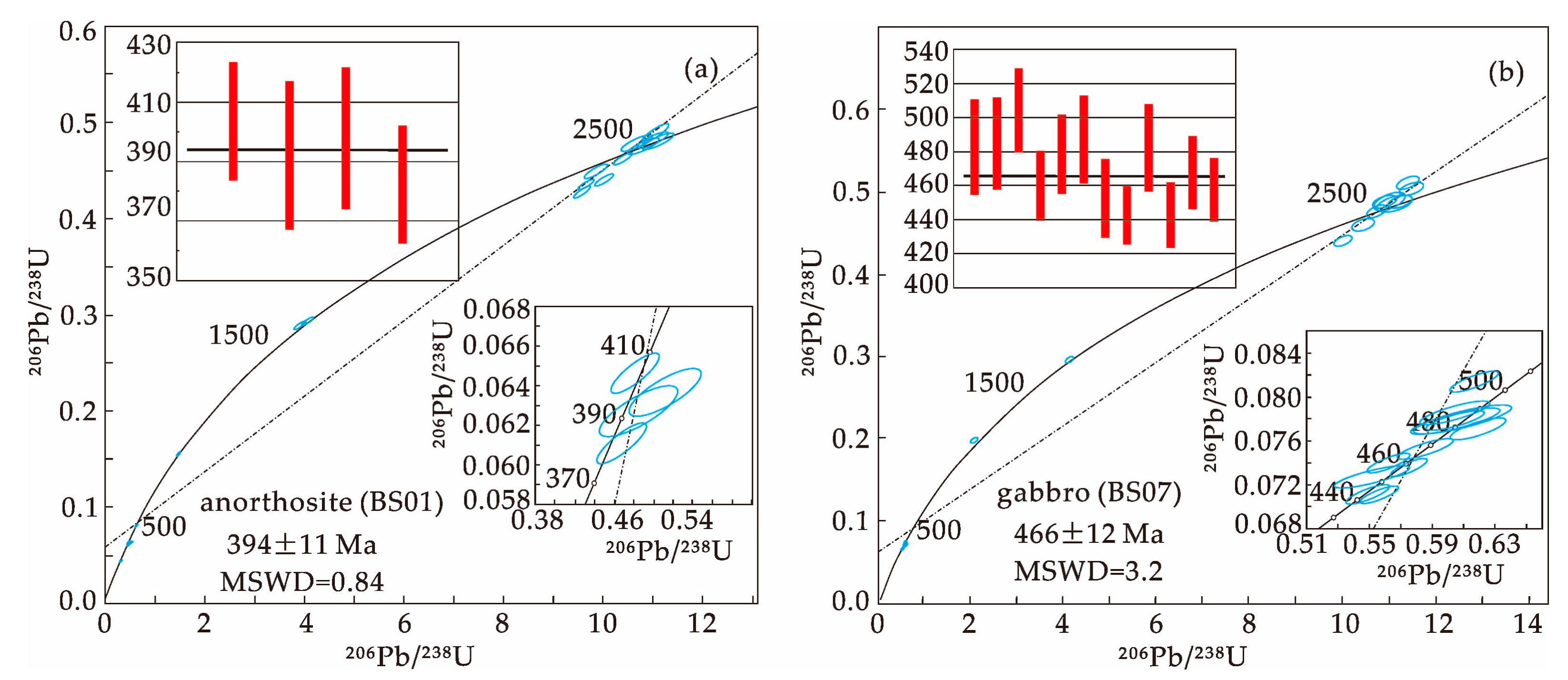
- SSZ-type ophiolite is exposed in the Shazouquan area of the BOB. Shazouquan Ophiolites consist of dunites, wehrlites, gabbros, and anorthosites and have the typical characteristics of an ophiolitic mélange belt. The zircon U-Pb age of gabbro in the ophiolite is 466 ± 12 Ma (MSWD = 3.2), and the zircon U-Pb age of anorthosite is 394 ± 11 Ma (MSWD=0.84). The ophiolite was dated to a period from the Middle Ordovician to Early Devonian.
- The wehrlite and dunite in the Shazouquan Ophiolite are characterised by high Mg# and Cr#, low TiO2, and rich MgO contents, which may be derived from the weakly depleted mantle source area and due to varying degrees of metasomatism from subduction zone fluids.
- The anorthosite and gabbro in the Shazuoquan ophiolite are rich in Rb, Sr, and other LILEs, depleted in Nb, Ta, Ti, and other high field strength elements, and lacking in Zr and Hf elements. They are derived from the mantle peridotite formed under the tectonic background of subduction and have been modified by the fluid materials in the subduction zone.
- Shazouquan Ophiolites may belong to the same ophiolitic mélange belt as Huitongshan ophiolites. The Beishan oceanic basin was located in a subduction tectonic setting during the Ordovician–Middle Devonian period, suggesting that the Beishan Ocean may have evolved as a trench arc basin system caused by plate subduction and subduction.
Supplementary Materials
Author Contributions
Funding
Data Availability Statement
Acknowledgments
Conflicts of Interest
References
- Șengör, A.M.C.; Natal’in, B.A.; Burtman, V.S. Evolution of the Altaid tectonic collage and Paleozoic crustal growth in Eurasia. Nature 1993, 364, 299–307. [Google Scholar] [CrossRef]
- Jahn, B.M.; Wu, F.Y.; Chen, B. Granitoids of the Central Asian Orogenic Belt and continental growth in the Phanerozoic. Transactions of the Royal Society of Edinburgh. Earth Sci. 2000, 91, 181–193. [Google Scholar]
- He, S.P.; Ren, B.S.; Yao, W.G.; Fu, L.P. The division of tectonic units of Beishan area, Gansu-Inner Mongolia. Northwest. Geol. 2002, 35, 30–40, (In Chinese with English Abstract). [Google Scholar]
- Gong, Q.S.; Liu, M.Q.; Li, H.L.; Liang, M.H.; Dai, W.J. The type and basic characteristics of Beishan orogenic belt, Gansu. Northwest. Geol. 2002, 35, 28–34, (In Chinese with English Abstract). [Google Scholar]
- Zuo, G.C.; Liu, Y.K.; Liu, C.Y. Frame work and evolution of the tectonic structure in Beishan Area across Gansu Province, Xinjiang Autonomous Region and Inner Mongolia Autonomous Region. Acta Geol. Gansu 2003, 12, 1–15, (In Chinese with English Abstract). [Google Scholar]
- Hong, D.; Zhang, J.; Wang, T.; Wang, S.; Xie, X. Continental crustal growth and the supercontinental cycle: Evidence from the Central Asian Orogenic Belt. J. Asian Earth Sci. 2004, 23, 799–813. [Google Scholar] [CrossRef]
- Kovalenko, V.I.; Yarmolyuk, V.V.; Kovach, V.P.; Kotov, A.B.; Kozakov, I.K.; Salnikova, E.B.; Larin, A.M. Isotopic provinces, mechanism of generation and sources of the continental curst in the Central Asian mobile belt: Geological and isotopic evidence. J. Asian Earth Sci. 2004, 23, 605–627. [Google Scholar] [CrossRef]
- He, S.P.; Zhou, H.W.; Ren, B.S.; Yao, W.G.; Fu, L.P. Crustal evolution of Paleozoic in Beishan area, Gansu and Inner Mongolia, China. Northwest. Geol. 2005, 38, 6–15, (In Chinese with English Abstract). [Google Scholar]
- Kröner, A.; Windley, B.F.; Badarch, G.; Tomurtogoo, O.; Catalán, M. Accretionary growth and crust formation in the Central Asian Orogenic Belt and comparison with the Arabian—Nubian Shield. Geol. Soc. Am. Mem. 2007, 200, 181–209. [Google Scholar]
- Windley, B.F.; Alexeiev, D.; Xiao, W.J.; Kröner, A.; Badarch, G. Tectonic models for accretion of the Central Asian Orogenic Belt. J. Geol. Soc. 2007, 164, 31–47. [Google Scholar] [CrossRef]
- Xu, X.Y.; He, S.P.; Wang, H.L.; Chen, J.L.; Zhang, E.; Feng, Y.M. Geology of Northwest China; Science Press: Beijing, China, 2008; pp. 1–347. (In Chinese) [Google Scholar]
- Xiao, W.J.; Mao, Q.G.; Windley, B.F.; Han, C.M.; Qu, J.F.; Zhang, J.E.; Ao, S.J.; Guo, Q.Q.; Cleven, N.R.; Lin, S.F.; et al. Paleozoic multiple accretionary and collisional processes of the Beishan orogenic collage. Am. J. Sci. 2010, 310, 1553–1594. [Google Scholar] [CrossRef]
- Song, D.F.; Xiao, W.J.; Han, C.M.; Tian, Z.H. A Paleozoic Japan-type subduction-accretion system in the Beishan orogenic collage, southern Central Asian Orogenic Belt. Lithos 2015, 224, 195–213. [Google Scholar] [CrossRef]
- Zong, K.Q.; Klemd, R.; Yuan, Y.; He, Z.Y.; Guo, J.L.; Shi, X.L.; Liu, Y.S.; Hu, Z.C.; Zhang, Z.M. The assembly of Rodinia: The correlation of early Neoproterozoic (ca. 900 Ma) high—Grade metamorphism and continental arc formation in the southern Beishan Orogen, southern Central Asian Orogenic Belt (CAOB). Precambrian Res. 2017, 290, 32–48. [Google Scholar] [CrossRef]
- Shi, Y.R.; Zhang, W.; Krner, A.; Li, L.L.; Jian, P. Cambrian ophiolite complexes in the Beishan area, China, southern margin of the Central Asian Orogenic Belt. J. Asian Earth Sci. 2018, 153, 193–205. [Google Scholar] [CrossRef]
- Wang, B.R.; Yang, X.S.; Li, S.C.; Teng, C.; Yang, X.J.; Huang, F.Y.; Zhang, X.F.; Cao, J.; Zhou, Y.; Zhang, H.C.; et al. Geochronology, geochemistry, and tectonic implications of early Neoproterozoic granitic rocks from the eastern Beishan Orogenic Belt, southern Central Asian Orogenic Belt. Precambrian Res. 2021, 352, 106016–106028. [Google Scholar] [CrossRef]
- De Jordy, V.; Lin, S.F.; Cees Van, S.; Chris, Y. A structural–metamorphic study of the Gubaoquan eclogites and enveloping rock units in the Beishan Orogenic Collage, NW China, with emphasis on the structural evolution, nature of juxtaposition and exhumation. Int. J. Earth Sci. 2022, 111, 2603–2632. [Google Scholar]
- Yu, F.S.; Wang, C.Y.; Qi, J.F.; Wang, T. The clarification and tectonic implication of the Early Silurian ophiolite mélange in Hongliuhe area. J. Mineral. Petrol. 2000, 20, 60–66, (In Chinese with English Abstract). [Google Scholar]
- Wei, Z.J.; Huang, Z.B.; Jin, X.; Sun, Y.J.; Huo, J.C. Geological characteristics of ophiolite migmatitic complex of Hongshishan region, Gansu. Northwest. Geol. 2004, 37, 13–18, (In Chinese with English Abstract). [Google Scholar]
- Huang, Z.B.; Jin, X. Tectonic environment of basic volcanic rocks in the Hongshishan ophiolite mélange zone, Beishan Mountains, Gansu. Geol. China 2006, 33, 1030–1037, (In Chinese with English Abstract). [Google Scholar]
- Yang, H.Q.; Li, Y.; Zhao, G.B.; Li, W.Y.; Wang, X.H.; Jiang, H.B.; Tan, W.J.; Sun, N.Y. Character and structural attribute of the Beishan Ophiolite. Northwest. Geol. 2010, 43, 26–36, (In Chinese with English Abstract). [Google Scholar]
- Wang, S.J.; Dai, P.; Wang, J.X.; She, Y.M.; Zhang, K.X.; Hu, Q.H. Mazongshan ophiolite in the Beishan Orogen, NW China: Relicts of the major branch of Paleo-Asian oceanic crust. Int. J. Earth Sci. 2022, 111, 2353–2367. [Google Scholar] [CrossRef]
- Zhang, Q.; Zhou, G.Q.; Wang, Y. The distribution of time and space of Chinese ophiolites, and their tectonic settings. Acta Petrol. Sin. 2003, 19, 1–8, (In Chinese with English Abstract). [Google Scholar]
- Dai, W.J. The formation background and tectonic singnificance of the ophiolite mélange in the Niuquanzi area, Beishan, Gansu Province. J. Mineral Petrol. 2011, 31, 44–51, (In Chinese with English Abstract). [Google Scholar]
- Zhang, Y.Y.; Dostal, J.; Zhao, Z.H.; Chang, L.; Guo, Z.J. Geochronology, geochemistry and petrogenesis of mafic and ultramafic rocks from Southern Beishan area, NW China: Implications for crust—Mantle interaction. Gondwana Res. 2011, 20, 816–830. [Google Scholar] [CrossRef]
- Wu, P.; Wang, G.Q.; Li, X.M.; Yu, J.Y.; Kang, L. The age of Niujuanzi ophiolit in Beishan area of Gansu Province and its geological significances. Geol. Bull. China. 2012, 31, 2032–2037, (In Chinese with English Abstract). [Google Scholar]
- Tian, Z.H.; Xiao, W.J.; Windley, B.F.; Lin, L.N.; Han, C.M.; Zhang, J.E.; Wan, B.; Ao, S.J.; Song, D.F.; Feng, J.Y. Structure, age, and tectonic development of the Huoshishan–Niujuanzi ophiolitic mélange, Beishan, southernmost Altaids. Precambrian Res. 2014, 25, 820–841. [Google Scholar] [CrossRef]
- Cleven, N.R.; Lin, S.F.; Xiao, W.J. The Hongliuhe fold-and-thrust belt: Evidence of terminal collision and suture-reactivation after the Early Permian in the Beishan orogenic collage, Northwest China. Precambrian Res. 2015, 27, 796–810. [Google Scholar] [CrossRef]
- Li, X.M.; Yu, J.Y.; Wang, G.Q.; Wu, P. Geochronology of Jijitaizi ophiolite in Beishan area, Gansu Province, and its geological significance. Geol. Bull. China 2012, 31, 2025–2031, (In Chinese with English Abstract). [Google Scholar]
- Wang, X.H.; Yang, J.G.; Xie, X.; Wang, L. The genetic type and tectonic significance of Hongshishan basic- ulteabasic Rocks in Beishan, Gansu Province. Northwest. Geol. 2013, 46, 40–55, (In Chinese with English Abstract). [Google Scholar]
- Wang, G.Q.; Li, X.M.; Xu, X.Y.; Yu, J.Y.; Wu, P. Ziron U-Pb chronological study of the Hongshishan ophiolite in the Beishan area and their tectonic significance. Acta Petrol. Sin. 2014, 30, 1685–1694, (In Chinese with English Abstract). [Google Scholar]
- Niu, W.C.; Ren, B.F.; Ren, Y.W.; Sun, L.X.; Duan, X.L.; Duan, L.F.; Li, M.; Zhang, J.H. Discovery of Neoproterozoic gneissic granite from the Beishan area, Inner Mongolia:Zircon U-Pb chronologic evidence. Geol. China 2017, 44, 409–410, (In Chinese with English Abstract). [Google Scholar]
- Niu, W.C.; Xin, H.T.; Duan, L.F.; Wang, G.H.; Zhao, Z.L.; Zhang, G.Z.; Zheng, Y.L. The identification and subduction polarity of the Baiheshan ophiolite mélanges belt in the Beishan area, Inner Mongolia—New understanding based on the geological map of Qinghegou Sheet (1:50000). Geol. China 2019, 46, 977–994, (In Chinese with English Abstract). [Google Scholar]
- Li, C.Y. China and its adjacent northern areas of the ancient border of plate tectonics and the formation of the Eurasian continent. Collect. Work. Plate Tecton. North China 1987, 3–17. (In Chinese) [Google Scholar]
- Mao, Q.G.; Xiao, W.J.; Windley, B.F.; Han, C.M.; Qu, J.F.; Zhang, J.E.; Guo, Q.Q. The Liuyuan complex in the Beishan, NW China: A Carboniferous—Permian ophiolitic fore—Arc sliver in the southern Altaids. Geolo. Mag. 2011, 149, 483–506. [Google Scholar] [CrossRef]
- Yu, J.Y.; Li, X.M.; Wang, G.Q.; Wu, P.; Yan, Q.J. Zircon U-Pb ages of Huitongshan and Zhangfangshan ophiolite in Beishan of Gansu-Inner Mongolia border area and their significance. Geol. Bull. China. 2012, 31, 2038–2045, (In Chinese with English Abstract). [Google Scholar]
- Meng, Y.; Chen, F.N.; Yu, J.Y.; Ji, W.H.; Feng, Y.M.; Zhang, X.; Gu, P.Y.; Li, X.M.; Wang, K.; Zhu, X.H.; et al. Tectonic Evolution in Northwest China and its Adjacent Areas; China University of Geosciences Press: Wuhan, China, 2022; pp. 73–194, (In Chinese with English Abstract). [Google Scholar]
- Wang, J.X.; Zhang, K.X.; Jin, J.S.; Song, B.W.; Yu, Y.; Wang, L.J.; Wang, S.D.; Sun, S. Early Paleozoic ocean plate stratigraphy of the Beishan Orogenic Zone, NW China: Implications for regional tectonic evolution. Acta Geol. Sin. 2020, 94, 1042–1059. [Google Scholar] [CrossRef]
- Huang, B.T.; Wang, G.Q.; Li, X.M.; Bu, T.; Dong, Z.C.; Zhu, T. Precambrian tectonic affinity of the Beishan Orogenic Belt: Constraints from Proterozoic metasedimentary rocks. Precambrian Res. 2022, 376, 106686–106698. [Google Scholar] [CrossRef]
- Andersen, T. Correlation of common lead in U-Pb analyses that do not report 204Pb. Chem. Geol. 2002, 192, 59–79. [Google Scholar] [CrossRef]
- Ludwig, K.R. User’s manual for Isoplot/Ex, Version 3.00, a Geochronological Toolkit for Microsoft Excel; Berkeley Geochronology Center Special Publication: Berkeley, CA, USA, 2003; Volume 4, pp. 1–70. [Google Scholar]
- Li, Y.G.; Wang, S.S.; Liu, M.W.; Meng, E.; Wei, X.Y.; Zhao, H.B.; Jin, M.Q. U-Pb study of baddeleyite by LA-ICP-MS: Technique and application. Acta Geol. Sin. 2015, 89, 2400–2418, (In Chinese with English Abstract). [Google Scholar]
- Cai, Z.H.; Xu, Z.Q.; He, B.Z.; Wang, R.R. Age and tectonic evolution of ductile shear zones in the eastern TianshanBeishan orogenic belt. Acta Petrol. Sin. 2012, 28, 1875–1895, (In Chinese with English Abstract). [Google Scholar]
- Liu, Y.S.; Hu, Z.C.; Zong, K.Q.; Gao, C.G.; Gao, S.; Xu, J.; Chen, H.H. Reappraisement and refinement of zircon U-Pb isotope and trace element analyses by LA-ICP-MS. Chin. Sci. Bull. 2010, 55, 1535–1546. [Google Scholar] [CrossRef]
- Rubatto, D.; Gebauer, D. Use of cathodoluminescence for U-Pb zircon dating by ion microprobe: Some examples from the Western Alps. In Cathodoluminescence in Geosciences; Springer: Berlin/Heidelberg, Germany, 2000; pp. 373–400. [Google Scholar]
- Möller, A.; O’Brien, P.J.; Kennedy, A.; Kröner, A. Linking growth episodes of zircon and metamorphic textures to zircon chemistry: An example from the ultrahigh-temperature granulites of Rogaland (SW Norway). Geol. Soc. Spec. Publ. 2003, 220, 65–81. [Google Scholar] [CrossRef]
- Rollinson, H.R. Using Geochemical Data: Evaluation, Presentation, Interpretation; Longman Scientific & Technical Press: New York, NY, USA, 1993; pp. 1–352. [Google Scholar]
- McDonough, W.F.; Sun, S.S. The composition of the Earth. Chem. Geol. 1995, 120, 223–253. [Google Scholar] [CrossRef]
- Elthon, D.; Casey, J.F.; Komor, S. Mineral chemistry of ultramafic cumulates from the North Arm Mountain massif of the Bay of Islands ophiolite: Evidence for high-pressure crystal fractionation of oceanic basalts. J. Geophys. Res. 1982, 87, 8717–8734. [Google Scholar] [CrossRef]
- Pearce, J.A.; Lippard, S.J.; Roberts, S. Characteristics and tectonic significance of supra-subduction zone ophiolites. Geol. Soc. Spec. Publ. 1984, 16, 77–94. [Google Scholar] [CrossRef]
- Leblanc, M. Chromite growth, dissolution and deformation from a morphological view point: SEM investigations. Miner. Deposita 1980, 15, 201–210. [Google Scholar] [CrossRef]
- Dick, H.J.B.; Bullen, T. Chromium spinel as a petrogenetic indicator in abyssal and alpine-type peridotites and spatially associated lavas. Contrib. Mineral. Petrol. 1984, 86, 54–76. [Google Scholar] [CrossRef]
- Coleman, R.G. Ophiolite Ancient Oceanic Lithosphere? Springer: Berlin/Heidelberg, Germany, 1977; pp. 1–229. [Google Scholar]
- Sun, S.S.; Mcdonough, W.F. Chemical and isotopic systematics of oceanic basalts: Implications for mantle composition and processes. Geol. Soc. Spec. Publ. 1989, 42, 313–345. [Google Scholar] [CrossRef]
- Frey, F.A.; Green, D.H.; Roy, S.D. Integrated models of basalt petrogenesis: A study of quartz tholeiites to olivine melilitites from South Eastern Australia utilizing geochemical and experimental petrological data. J. Petrol. 1978, 19, 463–513. [Google Scholar] [CrossRef]
- Nicolas, A.; Prinzhofer, A. Cumulative or residual origin for the transition zone in ophiolites: Structure evidence. J. Petrol. 1983, 24, 188–206. [Google Scholar] [CrossRef]
- Hartmann, G.; Wedepohl, K.H. The composition of peridotite tectonics from the Ivrea complex, northem Italy, residues from melt extraction. Geochim. Cosmochim. Acta 1993, 57, 1761–1782. [Google Scholar] [CrossRef]
- Yang, J.S.; Xiong, F.H.; Guo, G.L.; Liu, F.; Liang, F.H.; Chen, S.Y.; Li, Z.L.; Zhang, L.W. The Dongbo ultramafic massif:A mantle peridotite in the western part of the Yarlung Zangbo suture zone, Tibet, with excellent prospects for a major chromite deposit. Acta Petrol. Sin. 2011, 27, 3207–3222, (In Chinese with English Abstract). [Google Scholar]
- Qiu, R.Z.; Deng, J.F.; Zhou, S.; Li, T.D.; Xiao, Q.H.; Guo, T.Y.; Cai, Z.Y.; Li, G.L.; Huang, G.C.; Meng, X.J. Ophiolite types in western Qinghai-Tibetan plateau—Evidences from petrology and geochemistry. Earth Sci. Front. 2005, 12, 277–291, (In Chinese with English Abstract). [Google Scholar]
- Pearce, J.A. Ocean floor comes ashore. Nature 1991, 354, 110–111. [Google Scholar] [CrossRef]
- Wilson, M. Review of igneous igneous petrogenesis: A global tectonic approach. Terra Nova 1989, 1, 218–222. [Google Scholar] [CrossRef]
- Condie, K.C. Geochemical changes in basalts and andsites across the Archaean–Proterozoic boundary: Identification and significance. Lithos 1989, 23, 1–18. [Google Scholar] [CrossRef]
- Coleman, R.G.; Keith, T.E. A chemical study of serpentinization-Burro Mountain, California. J. Petrol. 1971, 12, 311–328. [Google Scholar] [CrossRef]
- Dewey, J.F.; Bird, J. Origin and emplacement of the ophiolite suite: Appalachian ophiolites in Newfoundland. J. Geophys. Res. 1971, 76, 3179–3206. [Google Scholar] [CrossRef]
- Moores, E.M.; Jackson, E.D. Ophiolites and oceanic crust. Nature 1974, 250, 136–139. [Google Scholar] [CrossRef]
- Kidd, R.G.W. A model for the process of formation of the upper oceanic crust. Geophys. J. R. Astron. Soc. 1977, 50, 149–183. [Google Scholar] [CrossRef]
- Dilek, Y.; Furnes, H. Ophiolite genesis and global tectonics: Geochemical and tectonic fingerprinting of ancient oceanic lithosphere. Geol. Soc. Am. Bull. 2011, 123, 387–411. [Google Scholar] [CrossRef]
- Shi, R.D.; Yang, J.S.; Xu, Z.Q.; Qi, X.X. Recognition of MOR- and SSZ-type ophiolites in the Bangong Lake ophiolite mélange, western Tibet: Evidence from two kinds of mantle peridotites. Acta Petrol. Mineral. 2005, 24, 397–408, (In Chinese with English Abstract). [Google Scholar]
- Arai, S. Characterization of spinel peridotites by olivine spinel compositional relationships: Review and interpretation. Chem. Geol. 1994, 113, 191–204. [Google Scholar] [CrossRef]
- Meschede, M. A method of discriminating between different types of mid-ocean ridge basalts and continental tholeiites with the Nb-Zr-Y diagram. Chem. Geol. 1986, 56, 207–218. [Google Scholar] [CrossRef]
- Mullen, E.D. MnO-TiO2-P2O5: A minor element discriminant for basaltic rocks of oceanic environments and its implications for petrogenesis. Earth Planet. Sci. Lett. 1983, 62, 53–62. [Google Scholar] [CrossRef]
- Wood, D.A. The application of a Th-Hf-Ta diagram to problems of tectonomagmatic classification and to establishing the nature of crustal contamination of basaltic lavas of the British Tertiary Volcanic Province. Earth Planet. Sci. Lett. 1980, 50, 11–30. [Google Scholar] [CrossRef]
- Xiao, X.C.; Tang, Y.Q.; Feng, Y.M.; Zhu, B.Q.; Li, J.Y.; Zhao, M. Crustal Structure and Geological Evolution in Xinjiang, China; Geological Publishing House (China), Press: Beijing, China, 1992; pp. 1–169. (In Chinese) [Google Scholar]
- Wang, B.Y. Comprehensive Study on Geological Profile of Western Tianshan Mountain in China; Science Press (China), Press: Beijing, China, 1994. (In Chinese) [Google Scholar]
- Xia, L.Q.; Xia, Z.C.; Xu, X.Y.; Li, X.M.; Wang, L.S. Carboniferous Tianshan large igneous province and mantle plume. Geol. Bull. China 2004, 23, 903–910. [Google Scholar]
- Xia, L.Q.; Xia, Z.C.; Xu, X.Y.; Li, X.M.; Ma, Z.P.; Wang, L.S. Relationships between Basic and Silicic Magmatism in Continental Rift Settings: A Petrogeochemical Study of the Carboniferous Post-collisional Rift Silicic Volcanics in Tianshan, NW China. Acta Geol. Sin. 2005, 79, 633–653. [Google Scholar]
- Xia, L.Q.; Li, X.M.; Xu, X.Y.; Xia, Z.C.; Ma, Z.P.; Wang, L.S. Petrogenetic evolution of the Bayan Golophiolite-Geological record of an early Carboniferous “Red Sea Type” ocean basin in the Tianshan Mountains, Northwestern China. Acta Geol. Sin. 2005, 79, 174–192. [Google Scholar]
- Wang, B.; Faure, M.; Shu, L.S.; Jong, K.D.; Charvet, J.; Cluzel, D.; Jahn, B.M.; Chen, Y.; Ruffet, G. Structural and Geochronological Study of High-Pressure Metamorphic Rocks in the Kekesu Section (Northwestern China): Implications for the Late Paleozoic Tectonics of the Southern Tianshan. J. Geol. 2010, 118, 59–77. [Google Scholar] [CrossRef]
- Dong, Y.P.; Zhang, G.W.; Neubauer, F.; Liu, X.M.; Hauzenberger, C.; Zhou, D.W.; Li, W. Syn-and post-collisional granitoids in the Central Tianshan orogen. Gondwana Res. 2011, 20, 568–581. [Google Scholar]
- Gao, J.; Klemd, R. Formation of HP-LT rocks and their tectonic implications in the western Tianshan Orogen, NW China: Geochemical and age constraints. Lithos 2003, 66, 1–22. [Google Scholar] [CrossRef]
- Klemd, R.; Brocker, M.; Hacker, B.; Gao, J.; Gans, P.; Wemmer, K. New age constraints on the metamorphic Evolution of the high-pressure/low-temperature belt in the Western Tianshan Mountains, NW China. J. Geol. 2005, 113, 157–168. [Google Scholar] [CrossRef]
- Volkova, N.I.; Sklyarov, E.V. High-pressure complexes of Central Asian Fold Belt: Geologic setting, geochemistry, and geodynamic implications. Russian Geol. Geophys. 2007, 48, 83–90. [Google Scholar] [CrossRef]
- Windley, B.F.; Allen, M.B.; Zhang, C.; Zhao, Z.Y.; Wang, G.R. Paleozoic accretion and Cenozoic redeformation of the Chinese Tien Shan Range, central Asia. Geology 1990, 18, 128–131. [Google Scholar] [CrossRef]
- Solomovich, L.I.; Trifonov, B.A. Postcollisional granites in the South Tien Shan Variscan Collisional Belt, Kyrgyzstan. J. Asian Earth Sci. 2002, 21, 7–21. [Google Scholar] [CrossRef]
- Konopelko, D.; Biske, G.; Seltmann, R.; Eklund, O.; Belyatsky, B. Hercynian post-collisional A-type granites of the Kokshaal Range, Southern Tien Shan, Kyrgyzstan. Lithos 2007, 97, 140–160. [Google Scholar] [CrossRef]
- Glorie, S.; Grave, J.D.; Zhimulev, F.; Buslov, M.; Izmer, A.; Vandoorne, W.; Ryabinin, A.; Elburg, M. Tectonic formation and Paleozoic evolution of the Gorny-Altai—Altai-Mongolia suture zones, revealed by zircon LA-ICP-MS U/Pb geochronology. In Proceedings of the 7th International symposium on Gondwana to Asia, Qingdao, China, 25–29 September 2010. [Google Scholar]
- Xiao, W.J.; Han, C.M.; Yuan, C.; Sun, M.; Lin, S.F.; Chen, H.L.; Li, Z.L.; Li, J.L.; Sun, S. Middle Cambrian to Permian subduction-related accretionary orogenesis of Northern Xinjiang, NW China: Implications for the tectonic evolution of central Asia. J. Asian Earth Sci. 2008, 32, 2–4. [Google Scholar] [CrossRef]
- Allen, M.B.; Windley, B.F.; Zang, C. Paleozoic collisional tectonics and magmatism of the Chinese Tienshan, central Asia. Tectonophysics 1992, 220, 89–115. [Google Scholar] [CrossRef]
- Brookfield, M.E. Geological development and phanerozoic crustal accretion in the western segment of the southern Tienshan (kyrgyzstan, uzbekistan and tajikistan). Tectonophysics 2000, 328, 1–14. [Google Scholar] [CrossRef]
- Zhang, J.X.; Meng, F.C.; Wan, Y.S. A cold Early Paleozoic subduction zone in the Northern Qilian Mountains, NW China: Petrological and U-Pb geochronological constrains. J. Metamorph. Geol. 2007, 25, 285–304. [Google Scholar] [CrossRef]
- Li, X.M.; Yu, J.Y.; Wang, G.Q.; Wu, P.; Zhou, Z.Q. LA-ICP-MS zircon U-Pb dating of Devonian Sangejing Formation and Dundunshan Group in Hongliuyuan, Beishan area, Gansu Province. Geol. Bull. China. 2011, 30, 1501–1507, (In Chinese with English Abstract). [Google Scholar]
- Tian, J.; Xin, H.T.; Teng, X.J.; Li, M.; Liao, Q.A.; Zhang, Y.; Ren, B.F. Petrogenesis and tectonic implications of the Late Silurian–Early Devonian bimodal intrusive rocks in the Central Beishan Orogenic Belt, NW China: Constraints by petrology, geochemistry and Hf isotope. J. Earth Sci. 2023, 34, 431–443. [Google Scholar] [CrossRef]
- Shan, L.; Tao, W.; Ying, T.; YanBin, W.; DaWei, H.; ZhiXia, O. Zircon U-Pb age, origin and its tectonic significances of Huitongshan Devonian K-feldspar granites from Beishan orogen, NW China. Acta Petrol. Sin. 2011, 27, 3055–3070, (In Chinese with English Abstract). [Google Scholar]









Disclaimer/Publisher’s Note: The statements, opinions and data contained in all publications are solely those of the individual author(s) and contributor(s) and not of MDPI and/or the editor(s). MDPI and/or the editor(s) disclaim responsibility for any injury to people or property resulting from any ideas, methods, instructions or products referred to in the content. |
© 2023 by the authors. Licensee MDPI, Basel, Switzerland. This article is an open access article distributed under the terms and conditions of the Creative Commons Attribution (CC BY) license (https://creativecommons.org/licenses/by/4.0/).
Share and Cite
Meng, Y.; Zhang, X.; Bai, J.; Wang, K.; Qi, Y.; Zhao, H.; Han, Y. Petrogenesis and Geochronology of the Shazuoquan Ophiolite, Beishan Orogenic Belt: Constraints on the Evolution of the Beishan Ocean. Minerals 2023, 13, 1067. https://doi.org/10.3390/min13081067
Meng Y, Zhang X, Bai J, Wang K, Qi Y, Zhao H, Han Y. Petrogenesis and Geochronology of the Shazuoquan Ophiolite, Beishan Orogenic Belt: Constraints on the Evolution of the Beishan Ocean. Minerals. 2023; 13(8):1067. https://doi.org/10.3390/min13081067
Chicago/Turabian StyleMeng, Yong, Xin Zhang, Jianke Bai, Kai Wang, Yaogang Qi, Haibo Zhao, and Yuan Han. 2023. "Petrogenesis and Geochronology of the Shazuoquan Ophiolite, Beishan Orogenic Belt: Constraints on the Evolution of the Beishan Ocean" Minerals 13, no. 8: 1067. https://doi.org/10.3390/min13081067
APA StyleMeng, Y., Zhang, X., Bai, J., Wang, K., Qi, Y., Zhao, H., & Han, Y. (2023). Petrogenesis and Geochronology of the Shazuoquan Ophiolite, Beishan Orogenic Belt: Constraints on the Evolution of the Beishan Ocean. Minerals, 13(8), 1067. https://doi.org/10.3390/min13081067
